Effect of Acute Normobaric Hypoxia Exposure on Executive Functions among Young Physically Active Males
Abstract
1. Introduction
2. Materials and Methods
2.1. Participants
2.2. Measures
2.2.1. Anthropometric Measurements
2.2.2. Normobaric Hypoxia (NH)
2.3. Cognitive Functions
2.3.1. Stroop Interference Test (ST)
2.3.2. Design and Procedures
2.3.3. Statistical Analysis
3. Results
3.1. Cognitive Functions
Experiment 1
Experiment 2
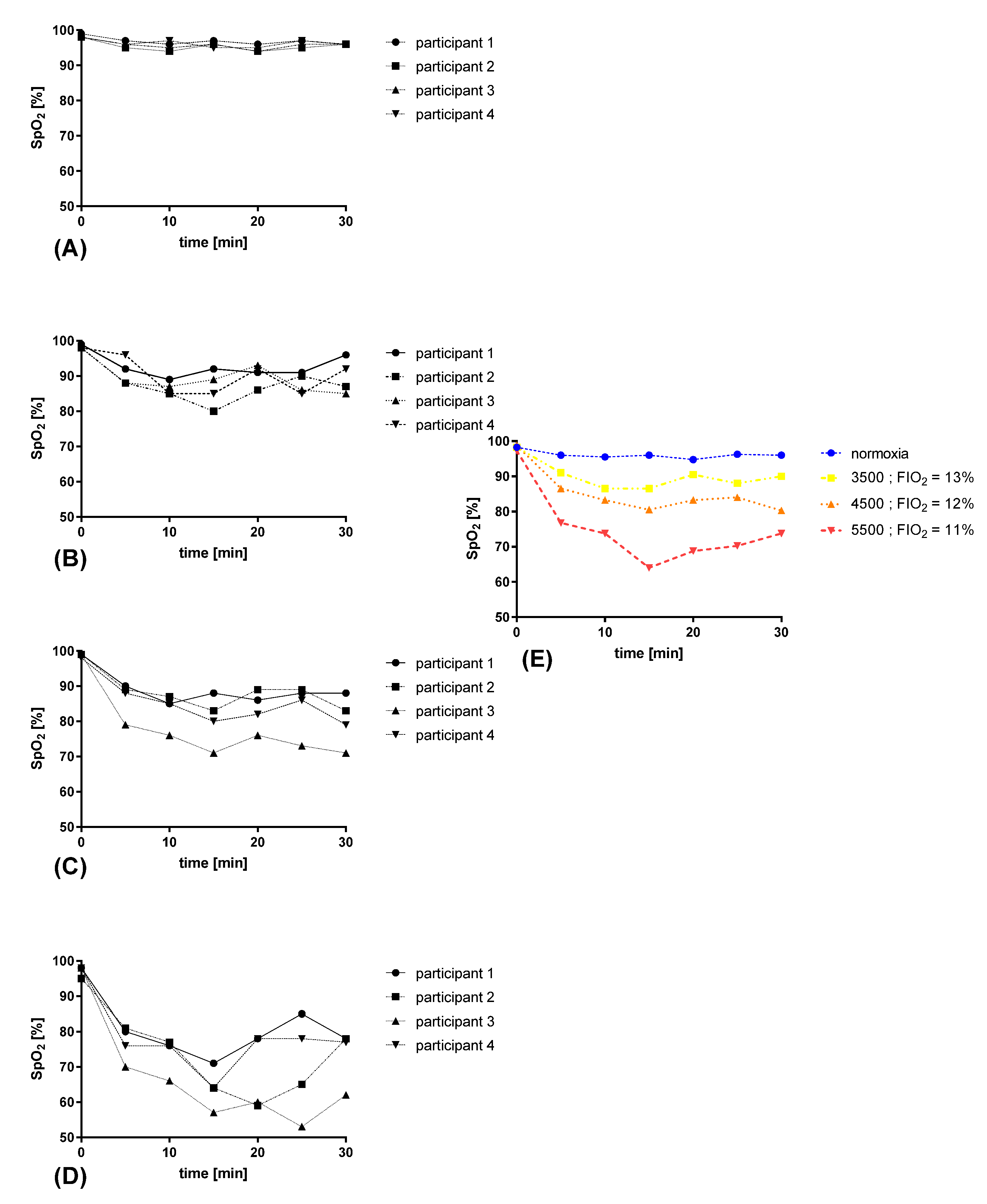
3.2. Blood Saturation
Experiment 1
Experiment 2
4. Discussion
Author Contributions
Funding
Institutional Review Board Statement
Informed Consent Statement
Acknowledgments
Conflicts of Interest
References
- Vingerhoets, G.; Stroobant, N. Lateralization of cerebral blood flow velocity changes during cognitive tasks. A simultaneous bilateral transcranial doppler study. Stroke 1999, 30, 2152–2158. [Google Scholar] [CrossRef]
- Turner, C.E.; Barker-Collo, S.L.; Connell, C.J.; Gant, N. Acute hypoxic gas breathing severely impairs cognition and task learning in humans. Physiol. Behav. 2015, 142, 104–110. [Google Scholar] [CrossRef]
- Elman, I.; Sokoloff, L.; Adler, C.M.; Weisenfeld, N.; Breier, A. The effects of pharmacological doses of 2-deoxyglucose on cerebral blood flow in healthy volunteers. Brain Res. 1999, 815, 243–249. [Google Scholar] [CrossRef]
- Grafton, S.T.; Mazziotta, J.C.; Presty, S.; Friston, K.J.; Frackowiak, R.S.; Phelps, M.E. Functional anatomy of human procedural learning determined with regional cerebral blood flow and PET. J. Neurosci. Off. J. Soc. Neurosci. 1992, 12, 2542–2548. [Google Scholar] [CrossRef]
- Phelps, M.E.; Mazziotta, J.C. Positron emission tomography: Human brain function and biochemistry. Science 1985, 228, 799–809. [Google Scholar] [CrossRef]
- Shetty, P.K.; Galeffi, F.; Turner, D.A. Cellular Links between Neuronal Activity and Energy Homeostasis. Front. Pharmacol. 2012, 3, 43. [Google Scholar] [CrossRef]
- Kryskow, M.A.; Beidleman, B.A.; Fulco, C.S.; Muza, S.R. Performance during simple and complex military psychomotor tasks at various altitudes. Aviat. Space Environ. Med. 2013, 84, 1147–1152. [Google Scholar] [CrossRef]
- Pun, M.; Guadagni, V.; Drogos, L.L.; Pon, C.; Hartmann, S.E.; Furian, M.; Lichtblau, M.; Muralt, L.; Bader, P.R.; Moraga, F.A.; et al. Cognitive effects of repeated acute exposure to very high altitude Among altitude-experienced workers at 5050 m. High Alt. Med. Biol. 2019, 20, 361–374. [Google Scholar] [CrossRef] [PubMed]
- Rimoldi, S.F.; Rexhaj, E.; Duplain, H.; Urben, S.; Billieux, J.; Allemann, Y.; Romero, C.; Ayaviri, A.; Salinas, C.; Villena, M.; et al. Acute and chronic altitude-induced cognitive dysfunction in children and adolescents. J. Pediatrics 2016, 169, 238–243. [Google Scholar] [CrossRef] [PubMed]
- Anderson, C.A.; Arciniegas, D.B. Cognitive sequelae of hypoxic-ischemic brain injury: A review. NeuroRehabilitation 2010, 26, 47–63. [Google Scholar] [CrossRef] [PubMed]
- Armengol, C.G. Acute oxygen deprivation: Neuropsychological profiles and implications for rehabilitation. Brain Inj. 2000, 14, 237–250. [Google Scholar] [CrossRef]
- Hopkins, R.O.; Gale, S.D.; Johnson, S.C.; Anderson, C.V.; Bigler, E.D.; Blatter, D.D.; Weaver, L.K. Severe anoxia with and without concomitant brain atrophy and neuropsychological impairments. J. Int. Neuropsychol. Soc. JINS 1995, 1, 501–509. [Google Scholar] [CrossRef] [PubMed]
- Hopkins, R.O.; Tate, D.F.; Bigler, E.D. Anoxic versus traumatic brain injury: Amount of tissue loss, not etiology, alters cognitive and emotional function. Neuropsychology 2005, 19, 233–242. [Google Scholar] [CrossRef] [PubMed]
- Peskine, A.; Picq, C.; Pradat-Diehl, P. Cerebral anoxia and disability. Brain Inj. 2004, 18, 1243–1254. [Google Scholar] [CrossRef] [PubMed]
- Peskine, A.; Rosso, C.; Picq, C.; Caron, E.; Pradat-Diehl, P. Neurological sequelae after cerebral anoxia. Brain Inj. 2010, 24, 755–761. [Google Scholar] [CrossRef] [PubMed]
- Wilson, B.A. Cognitive functioning of adult survivors of cerebral hypoxia. Brain Inj. 1996, 10, 863–874. [Google Scholar] [CrossRef] [PubMed]
- Wilson, F.C.; Harpur, J.; Watson, T.; Morrow, J.I. Adult survivors of severe cerebral hypoxia--case series survey and comparative analysis. NeuroRehabilitation 2003, 18, 291–298. [Google Scholar] [CrossRef]
- Allone, C.; Lo Buono, V.; Corallo, F.; Bonanno, L.; Palmeri, R.; Di Lorenzo, G.; Marra, A.; Bramanti, P.; Marino, S. Cognitive impairment in Parkinson’s disease, Alzheimer’s dementia, and vascular dementia: The role of the clock-drawing test. Psychogeriatrics Off. J. Jpn. Psychogeriatr. Soc. 2018, 18, 123–131. [Google Scholar] [CrossRef] [PubMed]
- Fujishima, M.; Ibayashi, S.; Fujii, K.; Mori, S. Cerebral blood flow and brain function in hypertension. Hypertens. Res. Off. J. Jpn. Soc. Hypertens. 1995, 18, 111–117. [Google Scholar] [CrossRef]
- Hase, Y.; Horsburgh, K.; Ihara, M.; Kalaria, R.N. White matter degeneration in vascular and other ageing-related dementias. J. Neurochem. 2018, 144, 617–633. [Google Scholar] [CrossRef]
- Mori, S.; Sadoshima, S.; Ibayashi, S.; Lino, K.; Fujishima, M. Relation of cerebral blood flow to motor and cognitive functions in chronic stroke patients. Stroke 1994, 25, 309–317. [Google Scholar] [CrossRef]
- McMorris, T.; Hale, B.J.; Barwood, M.; Costello, J.; Corbett, J. Effect of acute hypoxia on cognition: A systematic review and meta-regression analysis. Neurosci. Biobehav. Rev. 2017, 74, 225–232. [Google Scholar] [CrossRef]
- Friedmann, B.; Frese, F.; Menold, E.; Bartsch, P. Effects of acute moderate hypoxia on anaerobic capacity in endurance-trained runners. Eur. J. Appl. Physiol. 2007, 101, 67–73. [Google Scholar] [CrossRef] [PubMed]
- Navarrete-Opazo, A.; Mitchell, G.S. Therapeutic potential of intermittent hypoxia: A matter of dose. Am. J. Physiol. Regul. Integr. Comp. Physiol. 2014, 307, R1181–R1197. [Google Scholar] [CrossRef] [PubMed]
- Rodriguez, F.A.; Ventura, J.L.; Casas, M.; Casas, H.; Pages, T.; Rama, R.; Ricart, A.; Palacios, L.; Viscor, G. Erythropoietin acute reaction and haematological adaptations to short, intermittent hypobaric hypoxia. Eur. J. Appl. Physiol. 2000, 82, 170–177. [Google Scholar] [CrossRef] [PubMed]
- Twomey, R.; Wrightson, J.; Fletcher, H.; Avraam, S.; Ross, E.; Dekerle, J. Exercise-induced fatigue in severe hypoxia after an intermittent hypoxic protocol. Med. Sci. Sports Exerc. 2017, 49, 2422–2432. [Google Scholar] [CrossRef] [PubMed]
- Li, X.Y.; Wu, X.Y.; Fu, C.; Shen, X.F.; Yang, C.B.; Wu, Y.H. Effects of acute exposure to mild or moderate hypoxia on human psychomotor performance and visual-reaction time. Hang Tian Yi Xue Yu Yi Xue Gong Cheng = Space Med. Med. Eng. 2000, 13, 235–239. [Google Scholar]
- Kourtidou-Papadeli, C.; Papadelis, C.; Koutsonikolas, D.; Boutzioukas, S.; Styliadis, C.; Guiba-Tziampiri, O. High altitude cognitive performance and COPD interaction. Hippokratia 2008, 12 (Suppl. 1), 84–90. [Google Scholar]
- Pavlicek, V.; Schirlo, C.; Nebel, A.; Regard, M.; Koller, E.A.; Brugger, P. Cognitive and emotional processing at high altitude. Aviat. Space Environ. Med. 2005, 76, 28–33. [Google Scholar]
- Taylor, L.; Watkins, S.L.; Marshall, H.; Dascombe, B.J.; Foster, J. The Impact of different environmental conditions on cognitive function: A focused review. Front. Physiol. 2015, 6, 372. [Google Scholar] [CrossRef]
- Rybnikova, E.; Vataeva, L.; Tyulkova, E.; Gluschenko, T.; Otellin, V.; Pelto-Huikko, M.; Samoilov, M.O. Mild hypoxia preconditioning prevents impairment of passive avoidance learning and suppression of brain NGFI-A expression induced by severe hypoxia. Behav. Brain Res. 2005, 160, 107–114. [Google Scholar] [CrossRef] [PubMed]
- Zhu, X.H.; Yan, H.C.; Zhang, J.; Qu, H.D.; Qiu, X.S.; Chen, L.; Li, S.J.; Cao, X.; Bean, J.C.; Chen, L.H.; et al. Intermittent hypoxia promotes hippocampal neurogenesis and produces antidepressant-like effects in adult rats. J. Neurosci. Off. J. Soc. Neurosci. 2010, 30, 12653–12663. [Google Scholar] [CrossRef]
- Schega, L.; Peter, B.; Brigadski, T.; Lessmann, V.; Isermann, B.; Hamacher, D.; Torpel, A. Effect of intermittent normobaric hypoxia on aerobic capacity and cognitive function in older people. J. Sci. Med. Sport 2016, 19, 941–945. [Google Scholar] [CrossRef] [PubMed]
- Kushwah, N.; Jain, V.; Deep, S.; Prasad, D.; Singh, S.B.; Khan, N. Neuroprotective role of intermittent hypobaric hypoxia in unpredictable chronic mild stress induced depression in rats. PLoS ONE 2016, 11, e0149309. [Google Scholar] [CrossRef] [PubMed]
- Loprinzi, P.D.; Matalgah, A.; Crawford, L.; Yu, J.J.; Kong, Z.; Wang, B.; Liu, S.; Zou, L. Effects of acute normobaric hypoxia on memory interference. Brain Sci. 2019, 9, 323. [Google Scholar] [CrossRef] [PubMed]
- Virues-Ortega, J.; Buela-Casal, G.; Garrido, E.; Alcazar, B. Neuropsychological functioning associated with high-altitude exposure. Neuropsychol. Rev. 2004, 14, 197–224. [Google Scholar] [CrossRef]
- Wang, H.; Yuan, G.; Prabhakar, N.R.; Boswell, M.; Katz, D.M. Secretion of brain-derived neurotrophic factor from PC12 cells in response to oxidative stress requires autocrine dopamine signaling. J. Neurochem. 2006, 96, 694–705. [Google Scholar] [CrossRef]
- Kujach, S.; Olek, R.A.; Byun, K.; Suwabe, K.; Sitek, E.J.; Ziemann, E.; Laskowski, R.; Soya, H. Acute sprint interval exercise increases both cognitive functions and peripheral neurotrophic factors in humans: The possible involvement of lactate. Front. Neurosci. 2019, 13, 1455. [Google Scholar] [CrossRef]
- Shatilo, V.B.; Korkushko, O.V.; Ischuk, V.A.; Downey, H.F.; Serebrovskaya, T.V. Effects of intermittent hypoxia training on exercise performance, hemodynamics, and ventilation in healthy senior men. High Alt. Med. Biol. 2008, 9, 43–52. [Google Scholar] [CrossRef] [PubMed]
- Griffin, E.W.; Mullally, S.; Foley, C.; Warmington, S.A.; O’Mara, S.M.; Kelly, A.M. Aerobic exercise improves hippocampal function and increases BDNF in the serum of young adult males. Physiol. Behav. 2011, 104, 934–941. [Google Scholar] [CrossRef]
- Asmaro, D.; Mayall, J.; Ferguson, S. Cognition at altitude: Impairment in executive and memory processes under hypoxic conditions. Aviat. Space Environ. Med. 2013, 84, 1159–1165. [Google Scholar] [CrossRef]
- Xu, L.; Wu, Y.; Zhao, T.; Liu, S.H.; Zhu, L.L.; Fan, M.; Wu, K.W. Effect of high altitude hypoxia on cognitive flexibility. Zhongguo Ying Yong Sheng Li Xue Za Zhi = Zhongguo Yingyong Shenglixue Zazhi = Chin. J. Appl. Physiol. 2014, 30, 106–109. [Google Scholar]
- Bugg, J.M.; DeLosh, E.L.; Davalos, D.B.; Davis, H.P. Age differences in Stroop interference: Contributions of general slowing and task-specific deficits. Aging Neuropsychol. Cogn. 2007, 14, 155–167. [Google Scholar] [CrossRef]
- Ochi, G.; Yamada, Y.; Hyodo, K.; Suwabe, K.; Fukuie, T.; Byun, K.; Dan, I.; Soya, H. Neural basis for reduced executive performance with hypoxic exercise. NeuroImage 2018, 171, 75–83. [Google Scholar] [CrossRef]
- Bugg, J.M.; Zook, N.A.; DeLosh, E.L.; Davalos, D.B.; Davis, H.P. Age differences in fluid intelligence: Contributions of general slowing and frontal decline. Brain Cogn. 2006, 62, 9–16. [Google Scholar] [CrossRef]
- Ochi, G.; Kanazawa, Y.; Hyodo, K.; Suwabe, K.; Shimizu, T.; Fukuie, T.; Byun, K.; Soya, H. Hypoxia-induced lowered executive function depends on arterial oxygen desaturation. J. Physiol. Sci. JPS 2018, 68, 847–853. [Google Scholar] [CrossRef]
- Chapman, R.F. The individual response to training and competition at altitude. Br. J. Sports Med. 2013, 47 (Suppl. 1), i40–i44. [Google Scholar] [CrossRef]
- Friedmann, B.; Frese, F.; Menold, E.; Bartsch, P. Individual variation in the reduction of heart rate and performance at lactate thresholds in acute normobaric hypoxia. Int. J. Sports Med. 2005, 26, 531–536. [Google Scholar] [CrossRef]
- Guo, X.F.; Zhao, Y.N.; Li, J.M.; Chen, C.X.; Li, S.X. Effect of obstructive sleep apnea hypoxia on learning memory capacity after cerebral ischemia-reperfusion in rats. Zhonghua Er Bi Yan Hou Tou Jing Wai Ke Za Zhi = Chin. J. Otorhinolaryngol. Head Neck Surg. 2016, 51, 282–285. [Google Scholar] [CrossRef]
- Bayer, U.; Likar, R.; Pinter, G.; Stettner, H.; Demschar, S.; Trummer, B.; Neuwersch, S.; Glazachev, O.; Burtscher, M. Intermittent hypoxic-hyperoxic training on cognitive performance in geriatric patients. Alzheimer’s Dement. 2017, 3, 114–122. [Google Scholar] [CrossRef]
- Jung, M.E.; Mallet, R.T. Intermittent hypoxia training: Powerful, non-invasive cerebroprotection against ethanol withdrawal excitotoxicity. Respir. Physiol. Neurobiol. 2018, 256, 67–78. [Google Scholar] [CrossRef] [PubMed]
- Serebrovska, Z.O.; Serebrovska, T.V.; Kholin, V.A.; Tumanovska, L.V.; Shysh, A.M.; Pashevin, D.A.; Goncharov, S.V.; Stroy, D.; Grib, O.N.; Shatylo, V.B.; et al. Intermittent hypoxia-hyperoxia training improves cognitive function and decreases circulating biomarkers of alzheimer’s disease in patients with mild cognitive impairment: A pilot study. Int. J. Mol. Sci. 2019, 20, 5405. [Google Scholar] [CrossRef] [PubMed]
- Shimada, Y.; Kobayashi, M.; Yoshida, K.; Terasaki, K.; Fujiwara, S.; Kubo, Y.; Beppu, T.; Ogasawara, K. Reduced hypoxic tissue and cognitive improvement after revascularization surgery for chronic cerebral ischemia. Cerebrovasc. Dis. 2019, 47, 57–64. [Google Scholar] [CrossRef]
- Dreimuller, N.; Schlicht, K.F.; Wagner, S.; Peetz, D.; Borysenko, L.; Hiemke, C.; Lieb, K.; Tadic, A. Early reactions of brain-derived neurotrophic factor in plasma (pBDNF) and outcome to acute antidepressant treatment in patients with major depression. Neuropharmacology 2012, 62, 264–269. [Google Scholar] [CrossRef]
- Scholzke, M.N.; Schwaninger, M. Transcriptional regulation of neurogenesis: Potential mechanisms in cerebral ischemia. J. Mol. Med. 2007, 85, 577–588. [Google Scholar] [CrossRef]
- Xie, H.; Leung, K.L.; Chen, L.; Chan, Y.S.; Ng, P.C.; Fok, T.F.; Wing, Y.K.; Ke, Y.; Li, A.M.; Yung, W.H. Brain-derived neurotrophic factor rescues and prevents chronic intermittent hypoxia-induced impairment of hippocampal long-term synaptic plasticity. Neurobiol. Dis. 2010, 40, 155–162. [Google Scholar] [CrossRef]
- Loprinzi, P.D.; Frith, E. A brief primer on the mediational role of BDNF in the exercise-memory link. Clin. Physiol. Funct. Imaging 2019, 39, 9–14. [Google Scholar] [CrossRef]




| N = 15 | X | SD |
|---|---|---|
| Age [years] | 23.1 | 2.1 |
| Height [cm] | 181 | 2.7 |
| Weight [kg] | 76.7 | 1.5 |
| FAT [%] | 13.9 | 1.4 |
| FAT [kg] | 11.2 | 1.6 |
| FFM [kg] | 67.1 | 1.5 |
| BMI [kg∙m−2] | 22.8 | 0.9 |
Publisher’s Note: MDPI stays neutral with regard to jurisdictional claims in published maps and institutional affiliations. |
© 2021 by the authors. Licensee MDPI, Basel, Switzerland. This article is an open access article distributed under the terms and conditions of the Creative Commons Attribution (CC BY) license (https://creativecommons.org/licenses/by/4.0/).
Share and Cite
Chroboczek, M.; Kostrzewa, M.; Micielska, K.; Grzywacz, T.; Laskowski, R. Effect of Acute Normobaric Hypoxia Exposure on Executive Functions among Young Physically Active Males. J. Clin. Med. 2021, 10, 1560. https://doi.org/10.3390/jcm10081560
Chroboczek M, Kostrzewa M, Micielska K, Grzywacz T, Laskowski R. Effect of Acute Normobaric Hypoxia Exposure on Executive Functions among Young Physically Active Males. Journal of Clinical Medicine. 2021; 10(8):1560. https://doi.org/10.3390/jcm10081560
Chicago/Turabian StyleChroboczek, Maciej, Maciej Kostrzewa, Katarzyna Micielska, Tomasz Grzywacz, and Radosław Laskowski. 2021. "Effect of Acute Normobaric Hypoxia Exposure on Executive Functions among Young Physically Active Males" Journal of Clinical Medicine 10, no. 8: 1560. https://doi.org/10.3390/jcm10081560
APA StyleChroboczek, M., Kostrzewa, M., Micielska, K., Grzywacz, T., & Laskowski, R. (2021). Effect of Acute Normobaric Hypoxia Exposure on Executive Functions among Young Physically Active Males. Journal of Clinical Medicine, 10(8), 1560. https://doi.org/10.3390/jcm10081560

