Three-Dimensional Cephalometric Landmarking and Frankfort Horizontal Plane Construction: Reproducibility of Conventional and Novel Landmarks
Abstract
:1. Introduction
- to assess landmarking repeatability and reproducibility of a set of 33 landmarks containing “conventional”, “foraminal” and “dental” landmarks;
- to assess repeatability and reproducibility of vertical cephalometric measurements using either the conventional or the newly proposed FH planes as references for horizontal head reorientation;
- to assess the parallelism between the conventional and the newly proposed FH planes.
2. Materials and Methods
2.1. Dataset
2.2. Landmark Annotation
2.3. Statistical Analysis
2.3.1. New Coordinate System for Each CT Scan
2.3.2. Landmark Repeatability and Reproducibility
2.3.3. Repeatability and Reproducibility of Vertical Measurements with the Conventional FH Plane and the Newly Proposed FH Plane
2.3.4. Parallelism between Conventional and Newly Proposed FH Planes
2.3.5. Time Needed for Landmark Localization
3. Results
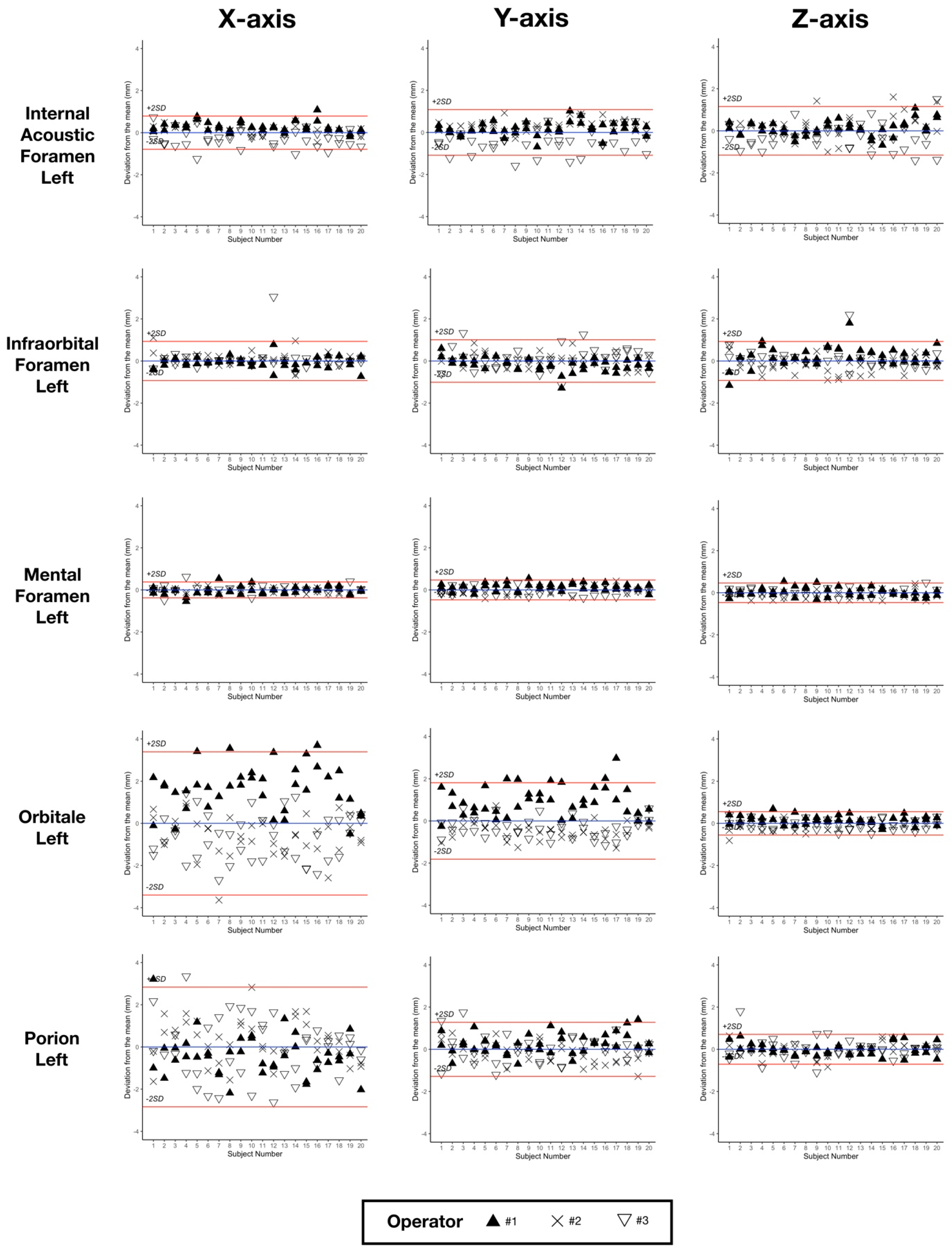
3.1. Landmark Repeatability and Reproducibility
3.2. Repeatability and Reproducibility of Conventional and Newly Proposed FH Planes
3.3. Parallelism between Conventional and Novel FH Planes
3.4. Time Needed for Landmark Localization
4. Discussion
Supplementary Materials
Author Contributions
Funding
Institutional Review Board Statement
Informed Consent Statement
Data Availability Statement
Acknowledgments
Conflicts of Interest
References
- Kapila, S.D.; Nervina, J.M. CBCT in Orthodontics: Assessment of Treatment Outcomes and Indications for Its Use. Dentomaxillofacial Radiol. 2015, 44, 20140282. [Google Scholar] [CrossRef] [PubMed] [Green Version]
- Pietzka, S.; Wilde, F.; Schramm, A.; Mascha, F. Navigated Orbital Floor Reconstruction with Cad/Cam Guide and Patient-Specific Implant. Int. J. Oral Maxillofac. Surg. 2019, 48, 28. [Google Scholar] [CrossRef]
- Schouman, T.; Murcier, G.; Goudot, P. The Key to Accuracy of Zygoma Repositioning: Suitability of the SynpliciTi Customized Guide-Plates. J. Cranio-Maxillofac. Surg. 2015, 43, 1942–1947. [Google Scholar] [CrossRef]
- Patel, A.; Otterburn, D.; Saadeh, P.; Levine, J.; Hirsch, D.L. 3D Volume Assessment Techniques and Computer-Aided Design and Manufacturing for Preoperative Fabrication of Implants in Head and Neck Reconstruction. Facial Plast. Surg. Clin. N. Am. 2011, 19, 683–709. [Google Scholar] [CrossRef]
- Quast, A.; Santander, P.; Witt, D.; Damm, A.; Moser, N.; Schliephake, H.; Meyer-Marcotty, P. Traditional Face-Bow Transfer versus Three-Dimensional Virtual Reconstruction in Orthognathic Surgery. Int. J. Oral Maxillofac. Surg. 2019, 48, 347–354. [Google Scholar] [CrossRef] [PubMed]
- Noori, S.M.R.; Farnia, P.; Bayat, M.; Bahrami, N.; Shakourirad, A.; Ahmadian, A. Automatic Detection of Symmetry Plane for Computer-Aided Surgical Simulation in Craniomaxillofacial Surgery. Phys. Eng. Sci. Med. 2020, 43, 1087–1099. [Google Scholar] [CrossRef] [PubMed]
- Di Angelo, L.; Di Stefano, P.; Governi, L.; Marzola, A.; Volpe, Y. A Robust and Automatic Method for the Best Symmetry Plane Detection of Craniofacial Skeletons. Symmetry 2019, 11, 245. [Google Scholar] [CrossRef]
- Pittayapat, P.; Limchaichana-Bolstad, N.; Willems, G.; Jacobs, R. Three-Dimensional Cephalometric Analysis in Orthodontics: A Systematic Review. Orthod. Craniofacial Res. 2014, 17, 69–91. [Google Scholar] [CrossRef]
- Sam, A.; Currie, K.; Oh, H.; Flores-Mir, C.; Lagravére-Vich, M. Reliability of Different Three-Dimensional Cephalometric Landmarks in Cone-Beam Computed Tomography: A Systematic Review. Angle Orthod. 2019, 89, 317–332. [Google Scholar] [CrossRef] [Green Version]
- Chien, P.; Parks, E.; Eraso, F.; Hartsfield, J.; Roberts, W.; Ofner, S. Comparison of Reliability in Anatomical Landmark Identification Using Two-Dimensional Digital Cephalometrics and Three-Dimensional Cone Beam Computed Tomography In Vivo. Dentomaxillofacial Radiol. 2009, 38, 262–273. [Google Scholar] [CrossRef]
- Da Neiva, M.B.; Soares, Á.C.; de Oliveira Lisboa, C.; de Vasconcellos Vilella, O.; Motta, A.T. Evaluation of Cephalometric Landmark Identification on CBCT Multiplanar and 3D Reconstructions. Angle Orthod. 2015, 85, 11–17. [Google Scholar] [CrossRef] [Green Version]
- De Oliveira, A.E.F.; Cevidanes, L.H.S.; Phillips, C.; Motta, A.; Burke, B.; Tyndall, D. Observer Reliability of Three-Dimensional Cephalometric Landmark Identification on Cone-Beam Computerized Tomography. Oral Surg. Oral Med. Oral Pathol. Oral Radiol. Endodontology 2009, 107, 256–265. [Google Scholar] [CrossRef] [Green Version]
- Hassan, B.; Nijkamp, P.; Verheij, H.; Tairie, J.; Vink, C.; van der Stelt, P.; van Beek, H. Precision of Identifying Cephalometric Landmarks with Cone Beam Computed Tomography In Vivo. Eur. J. Orthod. 2013, 35, 38–44. [Google Scholar] [CrossRef] [PubMed]
- Lagravère, M.O.; Low, C.; Flores-Mir, C.; Chung, R.; Carey, J.P.; Heo, G.; Major, P.W. Intraexaminer and Interexaminer Reliabilities of Landmark Identification on Digitized Lateral Cephalograms and Formatted 3-Dimensional Cone-Beam Computerized Tomography Images. Am. J. Orthod. Dentofac. Orthop. 2010, 137, 598–604. [Google Scholar] [CrossRef] [PubMed]
- Naji, P.; Alsufyani, N.A.; Lagravère, M.O. Reliability of Anatomic Structures as Landmarks in Three-Dimensional Cephalometric Analysis Using CBCT. Angle Orthod. 2014, 84, 762–772. [Google Scholar] [CrossRef] [Green Version]
- Olszewski, R.; Tanesy, O.; Cosnard, G.; Zech, F.; Reychler, H. Reproducibility of Osseous Landmarks Used for Computed Tomography Based Three-Dimensional Cephalometric Analyses. J. Cranio-Maxillofac. Surg. 2010, 38, 214–221. [Google Scholar] [CrossRef]
- Schlicher, W.; Nielsen, I.; Huang, J.C.; Maki, K.; Hatcher, D.C.; Miller, A.J. Consistency and Precision of Landmark Identification in Three-Dimensional Cone Beam Computed Tomography Scans. Eur. J. Orthod. 2012, 34, 263–275. [Google Scholar] [CrossRef] [PubMed] [Green Version]
- Titiz, I.; Laubinger, M.; Keller, T.; Hertrich, K.; Hirschfelder, U. Repeatability and Reproducibility of Landmarks--a Three-Dimensional Computed Tomography Study. Eur. J. Orthod. 2012, 34, 276–286. [Google Scholar] [CrossRef] [Green Version]
- Zamora, N.; Llamas, J.M.; Cibrian, R.; Gandia, J.; Paredes, V. A Study on the Reproducibility of Cephalometric Landmarks When Undertaking a Three-Dimensional (3D) Cephalometric Analysis. Med. Oral 2012, 17, e678–e688. [Google Scholar] [CrossRef] [Green Version]
- Pittayapat, P.; Jacobs, R.; Bornstein, M.M.; Odri, G.A.; Lambrichts, I.; Willems, G.; Politis, C.; Olszewski, R. Three-Dimensional Frankfort Horizontal Plane for 3D Cephalometry: A Comparative Assessment of Conventional versus Novel Landmarks and Horizontal Planes. Eur. J. Orthod. 2018, 40, 239–248. [Google Scholar] [CrossRef] [Green Version]
- De Oliveira Ruellas, A.C.; Tonello, C.; Gomes, L.R.; Yatabe, M.S.; Macron, L.; Lopinto, J.; Goncalves, J.R.; Garib Carreira, D.G.; Alonso, N.; Souki, B.Q.; et al. Common 3-Dimensional Coordinate System for Assessment of Directional Changes. Am. J. Orthod. Dentofac. Orthop. 2016, 149, 645–656. [Google Scholar] [CrossRef] [PubMed]
- Shahen, S.; Lagravère, M.O.; Carrino, G.; Fahim, F.; Abdelsalam, R.; Flores-Mir, C.; Perillo, L. United Reference Method for Three-Dimensional Treatment Evaluation. Prog. Orthod. 2018, 19, 47. [Google Scholar] [CrossRef]
- Dos Santos, R.M.G.; De Martino, J.M.; Haiter Neto, F.; Passeri, L.A. Influence of Different Setups of the Frankfort Horizontal Plane on 3-Dimensional Cephalometric Measurements. Am. J. Orthod. Dentofac. Orthop. 2017, 152, 242–249. [Google Scholar] [CrossRef] [PubMed]
- Lin, H.-H.; Chuang, Y.-F.; Weng, J.-L.; Lo, L.-J. Comparative Validity and Reproducibility Study of Various Landmark-Oriented Reference Planes in 3-Dimensional Computed Tomographic Analysis for Patients Receiving Orthognathic Surgery. PLoS ONE 2015, 10, e0117604. [Google Scholar] [CrossRef]
- Oh, S.; Ahn, J.; Nam, K.-U.; Paeng, J.-Y.; Hong, J. Frankfort Horizontal Plane Is an Appropriate Three-Dimensinal Reference in the Evaluation of Clinical and Skeletal Cant. J. Korean Assoc. Oral Maxillofac. Surg. 2013, 39, 71–76. [Google Scholar] [CrossRef] [Green Version]
- Lonic, D.; Sundoro, A.; Lin, H.-H.; Lin, P.-J.; Lo, L.-J. Selection of a Horizontal Reference Plane in 3D Evaluation: Identifying Facial Asymmetry and Occlusal Cant in Orthognathic Surgery Planning. Sci. Rep. 2017, 7, 2157. [Google Scholar] [CrossRef]
- McAlinden, C.; Khadka, J.; Pesudovs, K. Precision (Repeatability and Reproducibility) Studies and Sample-Size Calculation. J. Cataract. Refract. Surg. 2015, 41, 2598–2604. [Google Scholar] [CrossRef]
- ISO 5725-1. Accuracy (Trueness and Precision) of Measurement Methods and Results; ISO: Geneva, Switzerland, 1994. [Google Scholar]
- Donatelli, R.E.; Lee, S.-J. How to Report Reliability in Orthodontic Research: Part 1. Am. J. Orthod. Dentofac. Orthop. 2013, 144, 156–161. [Google Scholar] [CrossRef] [Green Version]
- Donatelli, R.E.; Lee, S.-J. How to Report Reliability in Orthodontic Research: Part 2. Am. J. Orthod. Dentofac. Orthop. 2013, 144, 315–318. [Google Scholar] [CrossRef] [Green Version]
- Dot, G.; Rafflenbeul, F.; Arbotto, M.; Gajny, L.; Rouch, P.; Schouman, T. Accuracy and Reliability of Automatic Three-Dimensional Cephalometric Landmarking. Int. J. Oral Maxillofac. Surg. 2020, 49, 1367–1378. [Google Scholar] [CrossRef]
- Bland, J.M.; Altman, D.G. Statistics Notes: Measurement Error. BMJ 1996, 313, 744. [Google Scholar] [CrossRef] [PubMed]
- American Academy of Oral and Maxillofacial Radiology. Clinical Recommendations Regarding Use of Cone Beam Computed Tomography in Orthodontics. Position Statement by the American Academy of Oral and Maxillofacial Radiology. Oral Surg. Oral Med. Oral Pathol. Oral Radiol. 2013, 116, 238–257. [Google Scholar] [CrossRef] [PubMed] [Green Version]
- Wang, H.; Minnema, J.; Batenburg, K.J.; Forouzanfar, T.; Hu, F.J.; Wu, G. Multiclass CBCT Image Segmentation for Orthodontics with Deep Learning. J. Dent. Res. 2021, 100, 943–949. [Google Scholar] [CrossRef] [PubMed]
- Granata, S.; Giberti, L.; Vigolo, P.; Stellini, E.; Fiore, A.D. Incorporating a Facial Scanner into the Digital Workflow: A Dental Technique. J. Prosthet. Dent. 2020, 123, 781–785. [Google Scholar] [CrossRef]



| Landmark Name | Description |
|---|---|
| Nasion (Na) | Medial (and upper) point of the frontonasal suture |
| Orbitale L/R (Or-L/Or-R) | Lowest point of the orbital rim L/R |
| Anterior Nasal Spine (ANS) | Medial and most anterior point of the nasal spine |
| A Point (A) | Medial and most posterior point of the maxilla |
| B Point (B) | Medial and most posterior point of the mandible |
| Pogonion (Pog) | Medial and most anterior point of the mandible |
| Gnathion (Gn) | Medial and midpoint between Pog and Me |
| Menton (Me) | Medial and lowest point of the mandible |
| Gonion L/R (Go-L/Go-R) | Midpoint of the gonial angle L/R |
| Porion L/R (Po-L/Po-R) | External & uppermost point of the auditory canal L/R |
| Posterior Nasal Spine (PNS) | Medial & most distal point of the osseous palate |
| Sella (S) | Central point of the sella |
| Landmark Name | Description |
|---|---|
| Infraorbital Foramen L/R (IF-L/IF-R) | External & most distal point of the infraorbital foramen L/R |
| Mental Foramen L/R (MF-L/MF-R) | External & most mesial point of the mental foramen L/R |
| Internal Acoustic Foramen L/R (IAF-L/IAF-R) | External, most mesial and posterior point of the internal acoustic foramen L/R |
| Landmark Name | Description |
|---|---|
| 11, 21, 31, 41 edges (11E, 21E, 31E, 41E) | Midpoint of 11/21/31/41 incisal edges |
| 11, 21, 31, 41 apexes (11A, 21A, 31A, 41A) | Root apex of 11/21/31/41 |
| 16, 26 occlusal (16O, 26O) | Summit of the mesio-palatal cusp of 16/26 |
| 36, 46 occlusal (36O, 46O) | Central fossa of 36/46 |
| Landmark | X Axis | Y Axis | Z Axis | |||
|---|---|---|---|---|---|---|
| Repet. 2×SD | Repro. 2×SD | Repet. 2×SD | Repro. 2×SD | Repet. 2×SD | Repro. 2×SD | |
| 11 Apex | 0.24 | 0.35 | 0.38 | 0.58 | 0.28 | 0.38 |
| 11 Edge | 0.25 | 0.34 | 0.24 | 0.30 | 0.08 | 0.10 |
| 16 Occlusal | 0.63 | 0.76 | 1.27 | 1.51 | 0.21 | 0.28 |
| 21 Apex | 0.30 | 0.41 | 0.33 | 0.58 | 0.28 | 0.47 |
| 21 Edge | 0.29 | 0.39 | 0.26 | 0.34 | 0.05 | 0.08 |
| 26 Occlusal | 0.65 | 0.83 | 0.68 | 0.88 | 0.17 | 0.23 |
| 31 Apex | 0.18 | 0.24 | 0.25 | 0.32 | 0.27 | 0.36 |
| 31 Edge | 0.40 | 0.26 | 0.18 | 0.25 | 0.14 | 0.10 |
| 36 Occlusal | 0.63 | 0.87 | 1.15 | 1.43 | 0.38 | 0.47 |
| 41 Apex | 0.18 | 0.22 | 0.35 | 0.50 | 0.23 | 0.35 |
| 41 Edge | 0.19 | 0.24 | 0.20 | 0.22 | 0.05 | 0.07 |
| 46 Occlusal | 0.40 | 0.54 | 0.55 | 0.82 | 0.23 | 0.30 |
| A Point | 0.80 | 0.86 | 0.29 | 0.34 | 1.31 | 1.59 |
| Anterior Nasal Spine | 0.57 | 0.67 | 0.80 | 1.31 | 0.57 | 1.10 |
| B Point | 0.65 | 1.12 | 0.55 | 0.63 | 2.46 | 2.89 |
| Gnathion | 0.75 | 1.14 | 0.76 | 0.92 | 1.05 | 1.25 |
| Gonion L | 0.63 | 0.93 | 1.55 | 2.02 | 1.96 | 2.64 |
| Gonion R | 0.61 | 0.82 | 1.38 | 1.75 | 1.94 | 2.45 |
| Infraorbital Foramen L | 0.88 | 0.93 | 0.81 | 1.01 | 0.63 | 0.93 |
| Infraorbital Foramen R | 0.87 | 0.99 | 0.80 | 0.93 | 0.66 | 0.82 |
| Internal Acoustic Foramen L | 0.52 | 0.79 | 0.81 | 1.09 | 0.84 | 1.15 |
| Internal Acoustic Foramen R | 0.51 | 0.82 | 0.88 | 1.04 | 0.56 | 1.01 |
| Mental Foramen L | 0.23 | 0.38 | 0.26 | 0.47 | 0.30 | 0.47 |
| Mental Foramen R | 0.23 | 0.35 | 0.25 | 0.45 | 0.32 | 0.43 |
| Menton | 0.76 | 1.11 | 1.29 | 1.84 | 0.37 | 0.54 |
| Nasion | 0.41 | 0.52 | 0.22 | 0.27 | 0.62 | 0.84 |
| Orbitale L | 2.05 | 3.40 | 1.00 | 1.82 | 0.40 | 0.56 |
| Orbitale R | 1.83 | 3.23 | 1.07 | 1.75 | 0.37 | 0.46 |
| Posterior Nasal Spine | 0.29 | 0.53 | 0.36 | 0.50 | 0.61 | 0.92 |
| Pogonion | 0.71 | 1.15 | 0.38 | 0.49 | 1.64 | 1.99 |
| Porion L | 2.39 | 2.84 | 0.88 | 1.28 | 0.61 | 0.71 |
| Porion R | 2.16 | 2.73 | 1.13 | 1.37 | 0.69 | 0.87 |
| Sella | 0.94 | 1.12 | 0.60 | 0.70 | 0.82 | 1.15 |
| Landmark | Conventional FH | Novel FH | ||
|---|---|---|---|---|
| Repet. 2×SD | Repro. 2×SD | Repet. 2×SD | Repro. 2×SD | |
| 11 Apex | 0.54 | 0.74 | 0.35 | 0.46 |
| 11 Edge | 0.61 | 0.82 | 0.40 | 0.54 |
| 16 Occlusal | 0.51 | 0.68 | 0.29 | 0.39 |
| 21 Apex | 0.53 | 0.71 | 0.35 | 0.46 |
| 21 Edge | 0.58 | 0.78 | 0.40 | 0.54 |
| 26 Occlusal | 0.37 | 0.54 | 0.31 | 0.43 |
| 31 Apex | 0.52 | 0.68 | 0.32 | 0.42 |
| 31 Edge | 0.57 | 0.75 | 0.37 | 0.49 |
| 36 Occlusal | 0.35 | 0.52 | 0.31 | 0.43 |
| 41 Apex | 0.52 | 0.69 | 0.31 | 0.42 |
| 41 Edge | 0.58 | 0.77 | 0.37 | 0.49 |
| 46 Occlusal | 0.47 | 0.64 | 0.29 | 0.40 |
| A Point | 0.58 | 0.77 | 0.37 | 0.49 |
| Anterior Nasal Spine | 0.61 | 0.81 | 0.39 | 0.53 |
| B Point | 0.53 | 0.70 | 0.33 | 0.45 |
| Gnathion | 0.53 | 0.70 | 0.33 | 0.45 |
| Gonion L | 0.48 | 0.56 | 0.52 | 0.74 |
| Gonion R | 0.59 | 0.76 | 0.46 | 0.70 |
| Infraorbital Foramen L | 0.41 | 0.58 | 0.35 | 0.48 |
| Infraorbital Foramen R | 0.62 | 0.80 | 0.33 | 0.43 |
| Internal Acoustic Foramen L | 0.60 | 0.71 | 0.61 | 0.91 |
| Internal Acoustic Foramen R | 0.63 | 0.80 | 0.59 | 0.90 |
| Mental Foramen L | 0.40 | 0.55 | 0.32 | 0.43 |
| Mental Foramen R | 0.55 | 0.72 | 0.30 | 0.39 |
| Menton | 0.50 | 0.67 | 0.31 | 0.42 |
| Nasion | 0.56 | 0.75 | 0.35 | 0.46 |
| Orbitale L | 0.40 | 0.56 | 0.38 | 0.50 |
| Orbitale R | 0.65 | 0.84 | 0.34 | 0.43 |
| Posterior Nasal Spine | 0.39 | 0.53 | 0.31 | 0.46 |
| Pogonion | 0.54 | 0.71 | 0.33 | 0.46 |
| Porion L | 0.61 | 0.71 | 0.65 | 0.93 |
| Porion R | 0.69 | 0.87 | 0.59 | 0.88 |
| Sella | 0.43 | 0.55 | 0.40 | 0.60 |
Publisher’s Note: MDPI stays neutral with regard to jurisdictional claims in published maps and institutional affiliations. |
© 2021 by the authors. Licensee MDPI, Basel, Switzerland. This article is an open access article distributed under the terms and conditions of the Creative Commons Attribution (CC BY) license (https://creativecommons.org/licenses/by/4.0/).
Share and Cite
Dot, G.; Rafflenbeul, F.; Kerbrat, A.; Rouch, P.; Gajny, L.; Schouman, T. Three-Dimensional Cephalometric Landmarking and Frankfort Horizontal Plane Construction: Reproducibility of Conventional and Novel Landmarks. J. Clin. Med. 2021, 10, 5303. https://doi.org/10.3390/jcm10225303
Dot G, Rafflenbeul F, Kerbrat A, Rouch P, Gajny L, Schouman T. Three-Dimensional Cephalometric Landmarking and Frankfort Horizontal Plane Construction: Reproducibility of Conventional and Novel Landmarks. Journal of Clinical Medicine. 2021; 10(22):5303. https://doi.org/10.3390/jcm10225303
Chicago/Turabian StyleDot, Gauthier, Frédéric Rafflenbeul, Adeline Kerbrat, Philippe Rouch, Laurent Gajny, and Thomas Schouman. 2021. "Three-Dimensional Cephalometric Landmarking and Frankfort Horizontal Plane Construction: Reproducibility of Conventional and Novel Landmarks" Journal of Clinical Medicine 10, no. 22: 5303. https://doi.org/10.3390/jcm10225303
APA StyleDot, G., Rafflenbeul, F., Kerbrat, A., Rouch, P., Gajny, L., & Schouman, T. (2021). Three-Dimensional Cephalometric Landmarking and Frankfort Horizontal Plane Construction: Reproducibility of Conventional and Novel Landmarks. Journal of Clinical Medicine, 10(22), 5303. https://doi.org/10.3390/jcm10225303

