Investigation of the Indications for Endoscopic Papillectomy and Transduodenal Ampullectomy for Ampullary Tumors
Abstract
:1. Introduction
2. Methods
2.1. Preoperative Tests
2.2. Treatment Details
2.2.1. Endoscopic Papillectomy
2.2.2. Transduodenal Ampullectomy
2.2.3. Observation of Postoperative Progress
2.3. Statistical Analysis
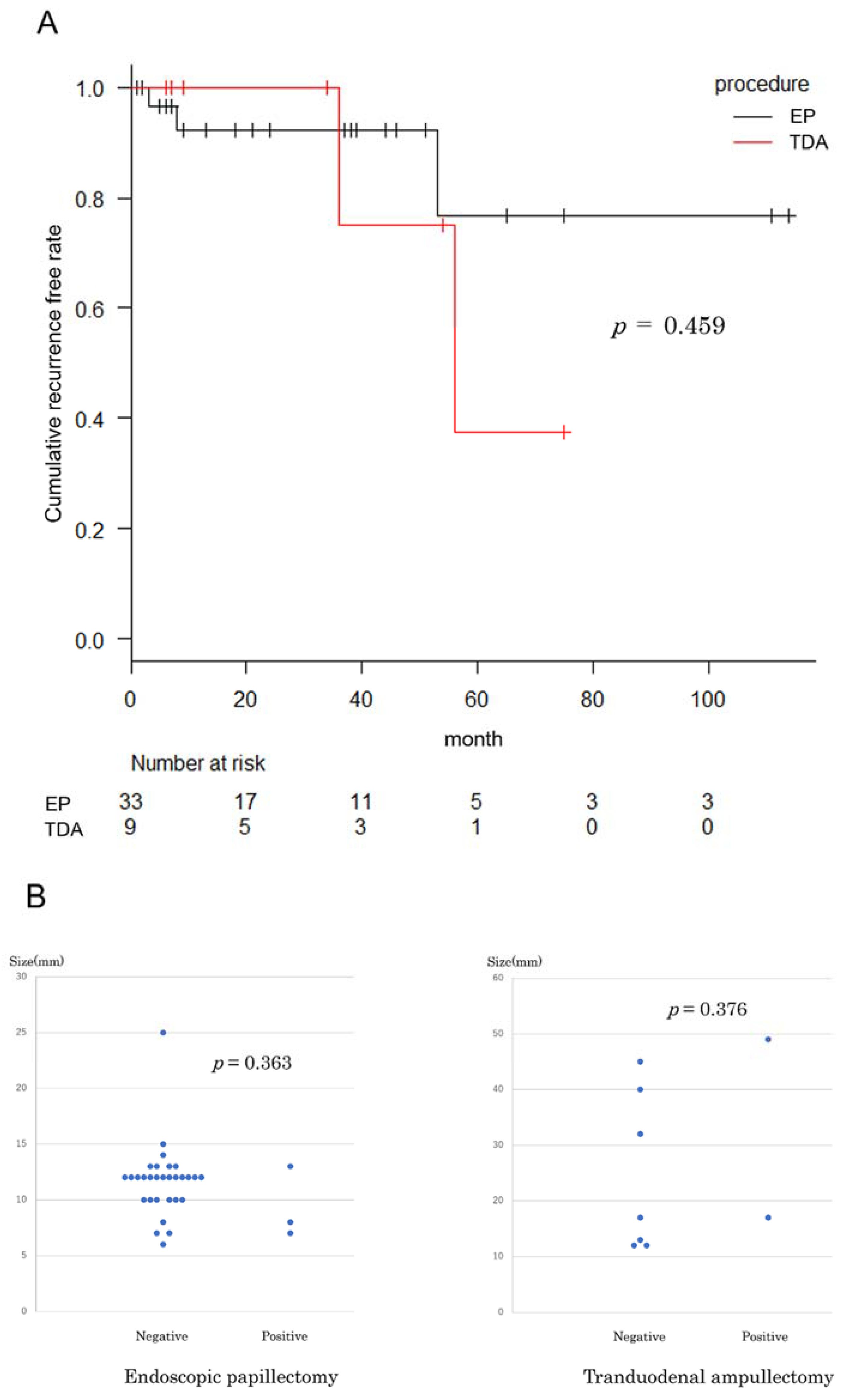
3. Results
4. Discussion
5. Conclusions
Author Contributions
Funding
Data Availability Statement
Conflicts of Interest
References
- Suzuki, K.; Kantou, U.; Murakami, Y. Two cases with ampullary cancer who underwent endoscopic excision. Prog. Dig. Endosc. 1983, 23, 236–239. [Google Scholar]
- Halsted, W.S. Contributions to the surgery of the bile passages, especially of the common bile duct. Boston Med. Surg. J. 1899, 141, 645–654. [Google Scholar] [CrossRef] [Green Version]
- Vanbiervliet, G.; Strijker, M.; Arvanitakis, M.; Aelvoet, A.; Arnelo, U.; Beyna, T.; Busch, O.; Deprez, P.H.; Kunovsky, L.; Larghi, A.; et al. Endoscopic management of ampullary tumors: European Society of Gastrointestinal Endoscopy (ESGE) Guideline. Endoscopy 2021, 53, 429–448. [Google Scholar] [PubMed]
- Heise, C.; Abou Ali, E.; Hasenclever, D.; Auriemma, F.; Gulla, A.; Regner, S.; Gaujoux, S.; Hollenbach, M. Systematic Review with Meta-Analysis: Endoscopic and Surgical Resection for Ampullary Lesions. J. Clin. Med. 2020, 9, 3622. [Google Scholar] [CrossRef] [PubMed]
- Kanda, Y. Investigation of the freely available easy-to-use software ‘EZR’ for medical statics. Bone Marrow Transplant. 2013, 48, 452–458. [Google Scholar] [CrossRef] [PubMed] [Green Version]
- Fischer, H.-P.; Zhou, H. Pathogenesis of carcinoma of the papilla of Vater. J. Hepatobiliary Pancreat. Surg. 2004, 11, 301–309. [Google Scholar] [CrossRef] [PubMed]
- Ruemmele, P.; Dietmaier, W.; Terracciano, L.; Tornillo, L.; Bataille, F.; Kaiser, A.; Wuensch, P.H.; Heinmoeller, E.; Homayounfar, K.; Luettges, J.; et al. Histopathologic features and microsatellite instability of cancers of the papilla of Vater and their precursor lesions. Am. J. Surg. Pathol. 2009, 33, 691–704. [Google Scholar] [CrossRef] [PubMed]
- Wittekind, C.; Tannapfel, A. Adenoma of the papilla and ampulla—premalignant lesions? Langenbeck’s Arch. Surg. 2001, 20, 172–175. [Google Scholar] [CrossRef] [PubMed]
- Kim, J.; Choi, S.H.; Choi, D.W.; Heo, J.S.; Jang, K.T. Role of transduodenal ampullectomy for tumors of the ampulla of Vater. J. Korean Surg. Soc. 2011, 81, 250–256. [Google Scholar] [CrossRef] [PubMed] [Green Version]
- Yoon, Y.S.; Kim, S.W.; Park, S.J.; Lee, H.S.; Jang, J.Y.; Choi, M.G.; Kim, W.H.; Lee, K.U.; Park, Y.H. Clinicopathologic analysis of early ampullary cancers with a focus on the feasibility of ampullectomy. Ann. Surg. 2005, 242, 92–100. [Google Scholar] [CrossRef] [PubMed]
- Yoon, S.M.; Kim, M.-H.; Kim, M.J.; Jang, S.J.; Lee, T.Y.; Kwon, S.; Oh, H.-C.; Lee, S.S.; Seo, D.W.; Lee, S.K. Focal early stage cancer in ampullary adenoma: Surgery or endoscopic papillectomy? Gastrointest. Endosc. 2007, 66, 701–707. [Google Scholar] [CrossRef] [PubMed] [Green Version]
- Trikudanathan, G.; Njei, B.; Attam, R.; Arain, M.; Shaukat, A. Staging accuracy of ampullary tumors by endoscopic ultrasound: Meta-analysis and systematic review. Dig. Endosc. 2014, 26, 617–626. [Google Scholar] [CrossRef] [PubMed]
- Ardengh, J.C.; Kemp, R.; Lima-Filho, É.R.; Dos Santos, J.S. Endoscopic papillectomy: The limits of the indication, technique and results. World J. Gastrointest. Endosc. 2015, 7, 987–994. [Google Scholar] [CrossRef] [PubMed]
- de Castro, S.M.; van Heek, N.T.; Kuhlmann, K.F.; Busch, O.R.; Offerhaus, G.J.; van Gulik, T.M.; Obertop, H.; Gouma, D.J. Surgical management of neoplasms of the ampulla of Vater: Local resection or pancreatoduodenectomy and prognostic factors for survival. Surgery 2004, 136, 994–1002. [Google Scholar] [CrossRef] [PubMed]
- Askew, J.; Connor, S. Review of the investigation and surgical management of resectable ampullary adenocarcinoma. HPB (Oxford) 2013, 15, 829–838. [Google Scholar] [CrossRef] [PubMed] [Green Version]
- Takahara, N.; Tsuji, Y.; Nakai, Y.; Suzuki, Y.; Inokuma, A.; Kanai, S.; Noguchi, K.; Sato, T.; Hakuta, R.; Ishigaki, K. A novel technique of endoscopic papillectomy with hybrid endoscopic submucosal dissection for ampullary tumors: A proof-of-concept study (with video). J. Clin. Med. 2020, 9, 2671. [Google Scholar] [CrossRef] [PubMed]
- Fong, Z.V.; Tan, W.P.; Lavu, H.; Kennedy, E.P.; Mitchell, D.G.; Koniaris, L.G.; Sauter, P.K.; Rosato, E.L.; Yeo, C.J.; Winter, J.M. Preoperative imaging for resectable periampullary cancer: Clinicopathologic implications of reported radiographic findings. J. Gastrointest. Surg. 2013, 17, 1098–1106. [Google Scholar] [CrossRef] [PubMed]
- Kim, A.L.; Choi, Y.I. Safety of duodenal ampullectomy for benign periampullary tumors. Ann. Hepatobiliary Pancreat. Surg. 2017, 21, 146–150. [Google Scholar] [CrossRef] [PubMed] [Green Version]




| Total (42) | EP (33) | TDA (9) | p-Value | |
|---|---|---|---|---|
| Gender | 0.0805 | |||
| Male | 28 | 24 | 4 | |
| Female | 14 | 9 | 5 | |
| Age (years median range) | 67.7 (31–83) | 67.9 (44–81) | 66.8 (31–83) | 0.975 |
| Tumor size (mm median range) | 14.6 (6–49) | 11.5 (6–25) | 26.3 (12–49) | 0.0196 |
| Preoperative diagnosis | 0.347 | |||
| Adenoma | 39 | 32 | 7 | |
| Adenocarcinoma | 3 | 1 | 2 | |
| Extensive intraepithelial progress in the common bile duct | 0.195 | |||
| Nagative | 37 | 30 | 7 | |
| Positive | 1 | 0 | 1 | |
| Unevaluable | 4 | 3 | 1 | |
| Extensive intraepithelial progress in the main pancreatic duct | 0.374 | |||
| Nagative | 38 | 30 | 8 | |
| Positive | 0 | 0 | 0 | |
| Unevaluable | 4 | 3 | 1 |
| Total (42) | EP (33) | TDA (9) | p-Value | |
|---|---|---|---|---|
| Postoperative diagnosis | 0.0353 | |||
| Adenoma | 32 | 26 | 6 | |
| Adenocarcinoma | 8 | 5 | 3 | |
| Normal epithelium | 2 | 2 | 0 | |
| En block resection | NA | |||
| Yes | 40 | 31 | 9 | |
| No | 2 | 2 | 0 | |
| Lateral margin | 0.195 | |||
| Negative | 33 | 26 | 7 | |
| Positive | 3 | 2 | 1 | |
| Unevaluable | 6 | 5 | 1 | |
| Vertical margin | 0.195 | |||
| Negative | 30 | 23 | 7 | |
| Positive | 3 | 3 | 0 | |
| Unevaluable | 9 | 7 | 2 | |
| Adverse event | 6 | 7 | 3 | 0.594 |
| Bleeding | 3 | 3 | 0 | |
| Mild pancreatitis | 2 | 3 | 1 | |
| Bile duct stenosis | 1 | 1 | 0 | |
| Perforation | 1 | 0 | 1 | |
| Intra-abdominal abscess | 1 | 0 | 1 | |
| Mortarity | 0 | 0 | 0 | |
| Duration of hospitalization (day, mean, range) | 15.7 (8–52) | 13.6 (8–28) | 23.4 (13–52) | 0.0471 |
| Follow-up period (month, mean, range) | 37.4 (1–114) | 36.5 (1–114) | 40.3 (6–96) | 0.587 |
| Recurrence | 5 | 3 | 2 | 0.169 |
| Time to recurrence (month, mean, range) | 31.2 (3–56) | 21.3 (3–53) | 46 (36–56) | 0.169 |
| Tumor Size (mm) | Preoperative Diagnosis | Extensive Intraepithelial Progress in the Common Bile Duct | Extensive Intraepithelial Progress in the Main Pancreatic Duct | En Block Resection | Postoperative Diagnosis | Lateral Margin | Vertical Margin | Time to Recurrence (Month) | Treatment for Recurrence |
|---|---|---|---|---|---|---|---|---|---|
| 8 | Adenoma | Negative | Negative | Yes | Adenoma | Unevaluable | Unevaluable | 53 | APC |
| 17 | Adenoma | Positive | Negative | Yes | Adenoma | Unevaluable | Negative | 56 | APC, RFA |
| 13 | Adenoma | Negative | Negative | No | Adenoma | Negative | Unevaluable | 8 | EP, Hot biopsy |
| 7 | Adenoma | Negative | Negative | Yes | Adenoma | Negative | Negative | 3 | EP |
| 49 | Adenoma | Negative | Negative | Yes | Adenoma | Negative | Negative | 36 | Hot biopsy |
Publisher’s Note: MDPI stays neutral with regard to jurisdictional claims in published maps and institutional affiliations. |
© 2021 by the authors. Licensee MDPI, Basel, Switzerland. This article is an open access article distributed under the terms and conditions of the Creative Commons Attribution (CC BY) license (https://creativecommons.org/licenses/by/4.0/).
Share and Cite
Sekine, M.; Watanabe, F.; Ishii, T.; Miura, T.; Koito, Y.; Kashima, H.; Matsumoto, K.; Noda, H.; Rikiyama, T.; Mashima, H. Investigation of the Indications for Endoscopic Papillectomy and Transduodenal Ampullectomy for Ampullary Tumors. J. Clin. Med. 2021, 10, 4463. https://doi.org/10.3390/jcm10194463
Sekine M, Watanabe F, Ishii T, Miura T, Koito Y, Kashima H, Matsumoto K, Noda H, Rikiyama T, Mashima H. Investigation of the Indications for Endoscopic Papillectomy and Transduodenal Ampullectomy for Ampullary Tumors. Journal of Clinical Medicine. 2021; 10(19):4463. https://doi.org/10.3390/jcm10194463
Chicago/Turabian StyleSekine, Masanari, Fumiaki Watanabe, Takehiro Ishii, Takaya Miura, Yudai Koito, Hitomi Kashima, Keita Matsumoto, Hiroshi Noda, Toshiki Rikiyama, and Hirosato Mashima. 2021. "Investigation of the Indications for Endoscopic Papillectomy and Transduodenal Ampullectomy for Ampullary Tumors" Journal of Clinical Medicine 10, no. 19: 4463. https://doi.org/10.3390/jcm10194463
APA StyleSekine, M., Watanabe, F., Ishii, T., Miura, T., Koito, Y., Kashima, H., Matsumoto, K., Noda, H., Rikiyama, T., & Mashima, H. (2021). Investigation of the Indications for Endoscopic Papillectomy and Transduodenal Ampullectomy for Ampullary Tumors. Journal of Clinical Medicine, 10(19), 4463. https://doi.org/10.3390/jcm10194463

