Applying Nanofiltration to Decrease Energy Consumption and Sensitivity toward Feed Composition Fluctuations in Salt Production
Abstract
1. Introduction
2. Experimental
2.1. Batch-Mode Nanofiltration
2.2. Scaling Risk Analysis
2.3. Plant Modeling
- Calculate the composition of the feed water using ‘Ziemowit-650’ and the required variation in Cl−/Mg2+/Ca2+/SO42− concentration (from −10% to +10%), change the Na+ concentration to ensure the electroneutrality condition is preserved;
- If nanofiltration is included, calculate the permeate composition assuming the ion rejection coefficient obtained in batch-mode experiments, permeate recovery of 74.3%, and the ionic composition obtained in Step 2. Calculate the NF energy consumption [23], assuming 1 m3 of feed, 74.3% permeate recovery, and 40 bar operating pressure;
- Using mass balance equations, calculate the composition of the process streams in the evaporator step, assuming the final Cl− concentration in the concentrate as 176 kg/m3 [23] and 1 m3 of ‘Ziemowit-650’ or 0.743 m3 of NF permeate as evaporator feed;
- Knowing the amount of water that must be evaporated, calculate the energy consumption in the evaporator, assuming a specific energy consumption of 44 kWh/m3 of distillate. This is the empirical value of the electric energy consumption of the vapor compression unit, part of the ZOD technology implemented in the Czerwionka-Leszczyny salt production plant. While it should be possible to decrease the energy consumption of the evaporator by applying modern more efficient technology or by utilizing waste heat where available, we have chosen to stick to the current industrial practice and decided that redesigning the thermal part of the technology is beyond the scope of this paper;
- Minimize the error function of the crystallizer using the mass balance equations. The amount of evaporated water, crystallized salt, and gypsum are independent variables, while the maximum chloride concentration after crystallization (200 g/dm3), the value of the gypsum solubility product (4.302 × 10−6), and the maximum concentration of bivalent cations as their respective chlorides in the post-crystallization lyes (8% w/w) are the boundary conditions;
- Calculate the energy consumption of the crystallizer, assuming the specific energy consumption of 66 kWh/m3 of the distillate.
2.4. Economic Model
3. Results and Discussion
3.1. Batch-Mode Nanofiltration
3.2. Scaling Risk Assessment
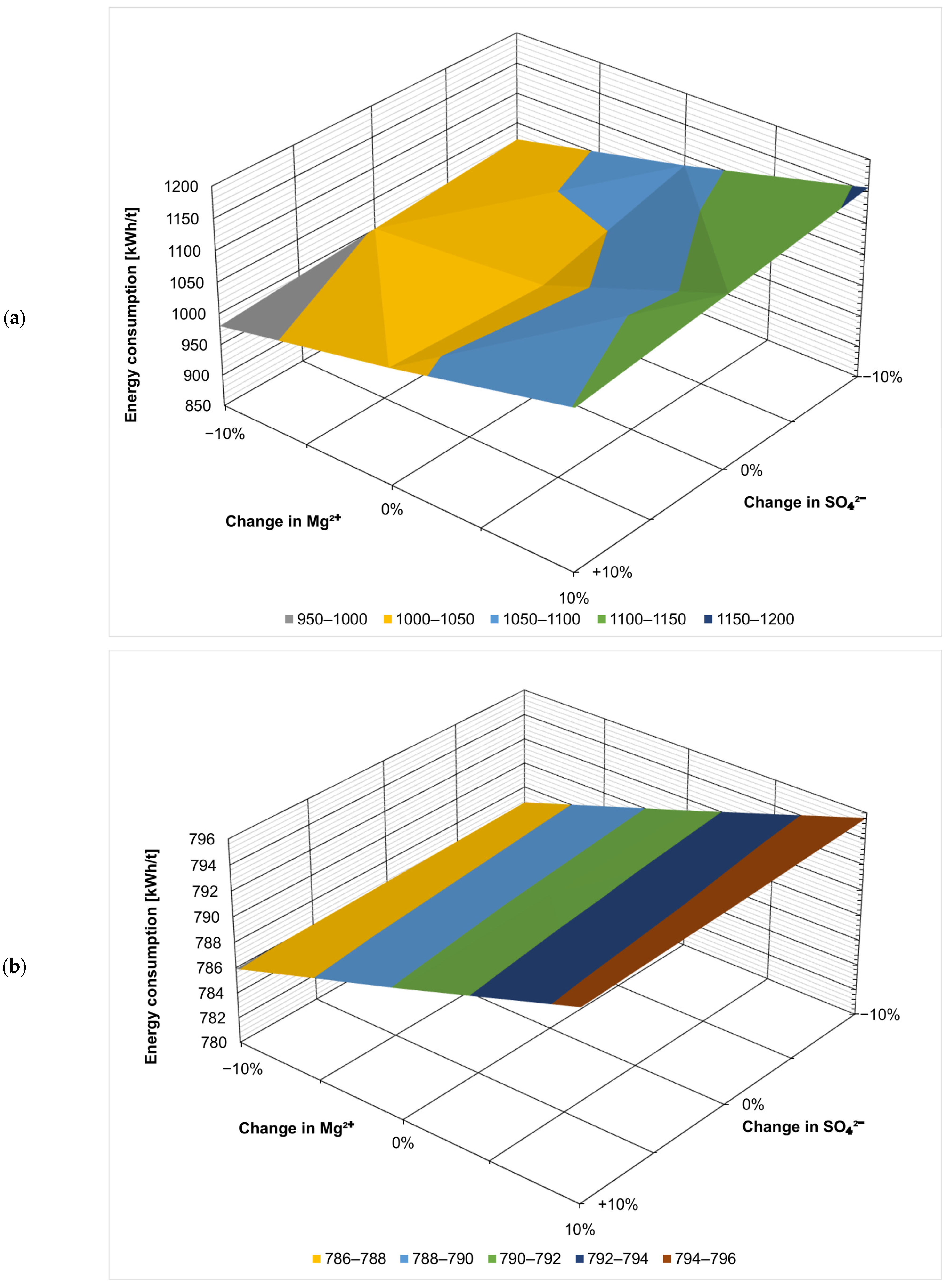
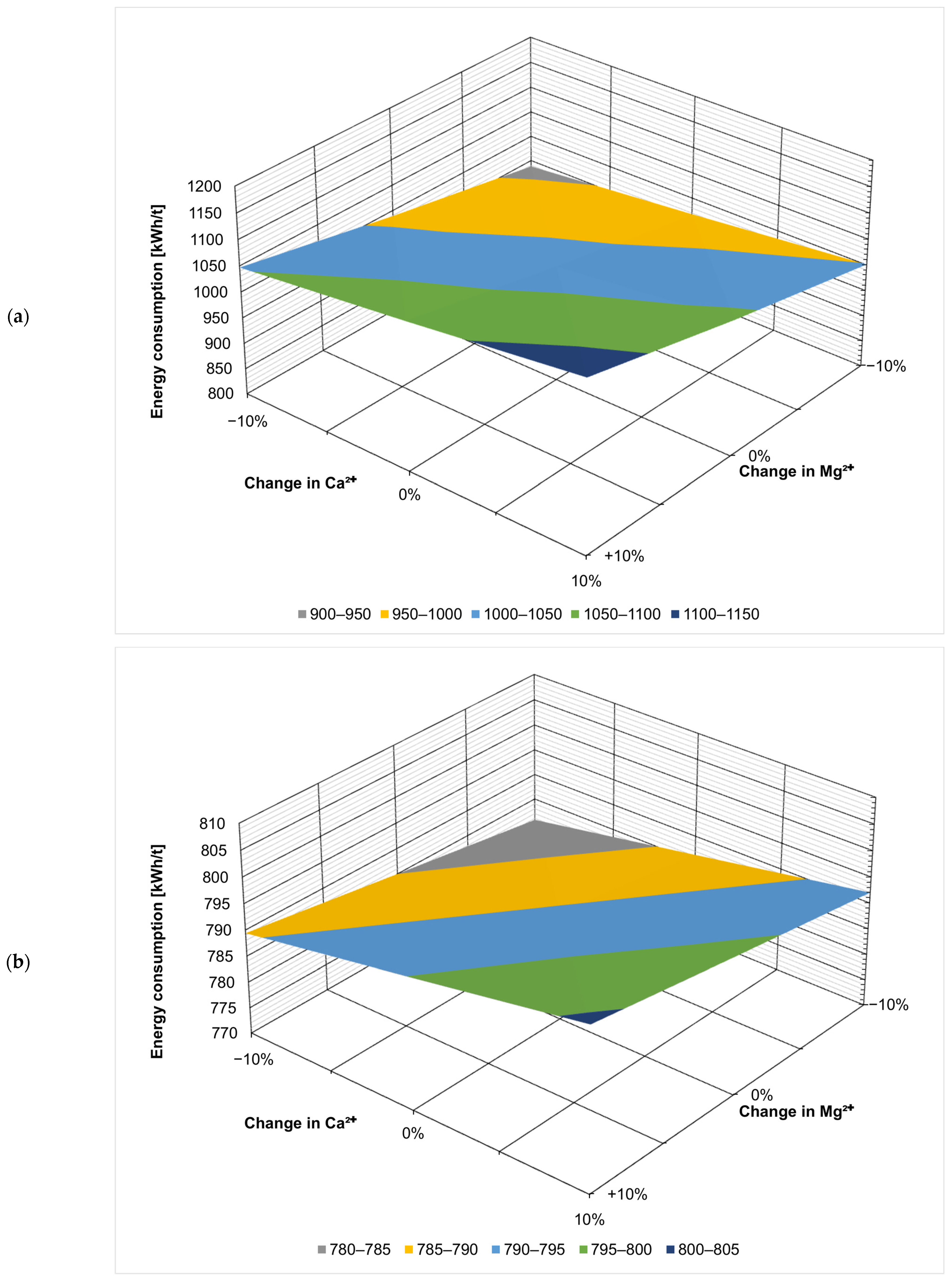
3.3. Plant Modeling
3.4. Economic Assessment
4. Conclusions
Author Contributions
Funding
Institutional Review Board Statement
Informed Consent Statement
Data Availability Statement
Conflicts of Interest
Appendix A
References
- Żuk, P.; Żuk, P.; Pluciński, P. Coal basin in Upper Silesia and energy transition in Poland in the context of pandemic: The socio-political diversity of preferences in energy and environmental policy. Resour. Policy 2021, 71, 101987. [Google Scholar] [CrossRef]
- Janson, E.; Gzyl, G.; Banks, D. The Occurrence and Quality of Mine Water in the Upper Silesian Coal Basin, Poland. Mine. Water Environ. 2009, 28, 232–244. [Google Scholar] [CrossRef]
- Gzyl, G.; Janson, E.; Łabaj, P. Mine Water Discharges in Upper Silesian Coal Basin (Poland). In Assessment, Restoration and Reclamation of Mining Influenced Soils; Elsevier: Amsterdam, The Netherlands, 2017; pp. 463–486. [Google Scholar]
- Ericsson, B.; Hallmans, B. Treatment and Disposal of Saline Waste-Water from Coal-Mines in Poland. Desalination 1994, 98, 239–248. [Google Scholar] [CrossRef]
- Ericsson, B.; Hallmans, B. Treatment of saline wastewater for zero discharge at the Debiensko coal mines in Poland. Desalination 1996, 105, 115–123. [Google Scholar] [CrossRef]
- Sikora, J.; Szyndler, K. Debiensko, Poland Desalination Plant Treats Drainage for Zero Liquid Discharge (ZLD); GE Technical Paper 2005; TP1039EN; General Electric: Trevose, PA, USA, 2005; pp. 1–5. [Google Scholar]
- Morgante, C.; Lopez, J.; Cortina, J.L.; Tamburini, A. New generation of commercial nanofiltration membranes for seawater/brine mining: Experimental evaluation and modelling of membrane selectivity for major and trace elements. Sep. Purif. Technol. 2024, 340, 126758. [Google Scholar] [CrossRef]
- Mohammad, A.W.; Teow, Y.H.; Ang, W.L.; Chung, Y.T.; Oatley-Radcliffe, D.L.; Hilal, N. Nanofiltration membranes review: Recent advances and future prospects. Desalination 2015, 356, 226–254. [Google Scholar] [CrossRef]
- Mohsen, M.S.; Jaber, J.O.; Afonso, M.D. Desalination of brackish water by nanofiltration and reverse osmosis. Desalination 2003, 157, 167. [Google Scholar] [CrossRef]
- Al-Amoudi, A.S.; Farooque, A.M. Performance restoration and autopsy of NF membranes used in seawater pretreatment. Desalination 2005, 178, 261–271. [Google Scholar] [CrossRef]
- López, J.; Reig, M.; Gibert, O.; Cortina, J.L. Recovery of sulphuric acid and added value metals (Zn, Cu and rare earths) from acidic mine waters using nanofiltration membranes. Sep. Purif. Technol. 2019, 212, 180–190. [Google Scholar] [CrossRef]
- López, J.; Reig, M.; Vecino, X.; Gibert, O.; Cortina, J.L. From nanofiltration membrane permeances to design projections for the remediation and valorisation of acid mine waters. Sci. Total Environ. 2020, 738, 139780. [Google Scholar] [CrossRef]
- López, J.; Gibert, O.; Cortina, J.L. Evaluation of an extreme acid-resistant sulphonamide based nanofiltration membrane for the valorisation of copper acidic effluents. Chem. Eng. J. 2021, 405, 127015. [Google Scholar] [CrossRef]
- Voigt, I.; Richter, H.; Weyd, M.; Milew, K.; Haseneder, R.; Günther, C.; Prehn, V. Treatment of Oily and Salty Mining Water by Ceramic Nanofiltration Membranes. Chem. Ing. Tech. 2019, 91, 1454–1459. [Google Scholar] [CrossRef]
- Abdelhay, A.O.; Fath, H.E.S.; Nada, S.A. Enviro-exergo-economic analysis and optimization of a nanofiltration-multi effect desalination, power generation and cooling in an innovative trigeneration plant. Case Stud. Therm. Eng. 2022, 31, 101857. [Google Scholar] [CrossRef]
- Hamed, O.A.; Hassan, A.M.; Al-Shail, K.; Bamardouf, K.; Al-Sulami, S.; Hamza, A.; Farooque, M.A.; Al-Rubaian, A. Operational performance of an integrate NF/MSF desalination pilot plant. In Proceedings of the IDA World Congress on Desalination and Water Reuse, Nassau, Bahamas, 28 September–3 October 2003. [Google Scholar]
- Al-Rawajfeh, A.E. Nanofiltration pretreatment as CO2 deaerator of desalination feed: CO2 release reduction in MSF distillers. Desalination 2016, 380, 12–17. [Google Scholar] [CrossRef]
- Micari, M.; Cipollina, A.; Tamburini, A.; Moser, M.; Bertsch, V.; Micale, G. Combined membrane and thermal desalination processes for the treatment of ion exchange resins spent brine. Appl. Energy 2019, 254, 113699. [Google Scholar] [CrossRef]
- Figueira, M.; Rodriguez-Jimenez, D.; Lopez, J.; Reig, M.; Cortina, J.L.; Valderrama, C. Evaluation of the nanofiltration of brines from seawater desalination plants as pre-treatment in a multimineral brine extraction process. Sep. Purif. Technol. 2023, 322, 124232. [Google Scholar] [CrossRef]
- Mitko, K.; Turek, M.; Dydo, P. Hybrid membrane-evaporative system for a near-ZLD utilization of coal mine brine. Desalin. Water Treat 2021, 242, 22–30. [Google Scholar] [CrossRef]
- Turek, M.; Mitko, K.; Skóra, P.; Dydo, P.; Jakóbik-Kolon, A.; Warzecha, A.; Tyrała, K. Improving the Performance of a Salt Production Plant by Using Nanofiltration as a Pretreatment. Membranes 2022, 12, 1191. [Google Scholar] [CrossRef]
- American Public Health Association; American Water Works Association; Water Environment Federation. Standard Methods for the Examination of Water and Wastewater, 24th ed.; Lipps, W.C., Braun-Howland, E.B., Baxter, T.E., Eds.; APHA Press: Washington, DC, USA, 2023. [Google Scholar]
- Turek, M.; Laskowska, E.; Mitko, K.; Chorążewska, M.; Dydo, P.; Piotrowski, K.; Jakóbik-Kolon, A. Application of nanofiltration and electrodialysis for improved performance of a salt production plant. Desalin. Water Treat 2017, 64, 244–250. [Google Scholar] [CrossRef]
- Pawar, N.D. BrineTechTools: Tools for Techno-Economic Modeling of Desalination- and Wastewater-Treatment Technologies. Available online: https://gitlab.com/dlr-ve/esy/items-brinetechtools/brinetechtools (accessed on 24 April 2024).
- Micari, M.; Cipollina, A.; Tamburini, A.; Moser, M.; Bertsch, V.; Micale, G. Techno-economic analysis of integrated processes for the treatment and valorisation of neutral coal mine effluents. J. Clean. Prod. 2020, 270, 122472. [Google Scholar] [CrossRef]
- Boerlage, S.F.E.; Kennedy, M.D.; Bremere, I.; Witkamp, G.J.; Van der Hoek, J.P.; Schippers, J.C. The scaling potential of barium sulphate in reverse osmosis systems. J. Membr. Sci. 2002, 197, 251–268. [Google Scholar] [CrossRef]
- He, S.; Oddo, J.E.; Tomson, M.B. The Nucleation kinetics of strontium sulfate in NaCl solutions up to 6 m and 90 C with or without inhibitors. J. Colloid. Interface. Sci. 1995, 174, 327–335. [Google Scholar] [CrossRef]
- Turek, M.; Mitko, K.; Laskowska, E.; Chorążewska, M.; Piotrowski, K.; Jakóbik-Kolon, A.; Dydo, P. Energy Consumption and Gypsum Scaling Assessment in a Hybrid Nanofiltration-Reverse Osmosis-Electrodialysis system. Chem. Eng. Technol. 2018, 41, 392–400. [Google Scholar] [CrossRef]








| Cl− [g/dm3] | Ca2+ [g/dm3] | Mg2+ [g/dm3] | SO42− [g/dm3] | Na+ [g/dm3] | Ba [mg/dm3] | Sr [mg/dm3] |
|---|---|---|---|---|---|---|
| 48.91 | 1.92 | 2.07 | 2.85 | 26.88 | <0.1 | 53.8 |
| Parameter | Value |
|---|---|
| Polymer | Proprietary PA TFC |
| Approx. molecular weight cut-off | 300–500 Da |
| MgSO4 rejection (test conditions: 2000 ppm MgSO4 solution at 7.6 bar operating pressure, 25 °C) | 97% |
| NaCl rejection (test conditions: 2000 ppm NaCl solution at 7.6 bar operating pressure, 25 °C) | 20% |
| Maximum operating pressure at temperature lower than 35 °C | 41.37 bar |
| Parameter | Value |
|---|---|
| Plant capacity | 128 m3/h |
| Interest rate | 6% |
| Chemical Engineering Plant Cost Index (CEPCI) | 576.7 |
| Depreciation of civil costs | 30 years |
| Depreciation of mechanical/electrical costs | 15 years |
| Depreciation of membrane costs | 5 years |
| Cost of a single membrane module | 1000 EUR |
| Plant availability | 94% |
| Electric energy cost | 0.06 EUR/kWh |
| Energy efficiency | 80% |
| Chemicals cost | 0.023 EUR/m3 of NF permeate |
| Sample | Permeate Recovery [%] | Concentration [g/dm3] | |||
|---|---|---|---|---|---|
| Cl− | Ca2+ | Mg2+ | SO42− | ||
| Permeate 1 | 10 | 37.57 | 0.28 | 0.27 | - |
| Permeate 2 | 20 | 39.34 | 0.20 | 0.19 | - |
| Permeate 3 | 31.3 | 40.05 | 0.36 | 0.12 | - |
| Permeate 4 | 40 | 45.36 | 0.40 | 0.17 | - |
| Permeate 5 | 50 | 45.01 | 0.48 | 0.19 | - |
| Permeate 6 | 60 | 47.14 | 0.68 | 0.27 | - |
| Permeate 7 | 70 | 50.32 | 1.04 | 0.39 | - |
| Permeate 8 | 74.3 | 52.45 | 1.04 | 0.83 | - |
| Retentate | 74.3 | 70.88 | 6.41 | 6.81 | 10.25 |
| Averaged permeate | 44.65 | 0.56 | 0.30 | 0.099 | |
| Species | Formula | Saturation Index (SI) | Saturation Level [%] |
|---|---|---|---|
| Anhydrite | CaSO4 | 0.42 | 263 |
| Barite | BaSO4 | 0.54 | 347 |
| Bischofite | MgCl2·6H2O | −5.36 | 0 |
| Bloedite | Na2Mg(SO4)2·4H2O | −3.69 | 0 |
| Brucite | Mg(OH)2 | −11.96 | 0 |
| Celestite | SrSO4 | 0.37 | 234 |
| Epsomite | MgSO4·7H2O | −1.87 | 1 |
| Glauberite | Na2Ca(SO4)2 | −0.9 | 13 |
| Gypsum | CaSO4·2H2O | 0.7 | 501 |
| H2O(g) | H2O | −1.54 | 3 |
| Halite | NaCl | −1.34 | 5 |
| Hexahydrite | MgSO4·6H2O | −2.11 | 1 |
| Kieserite | MgSO4·H2O | −3.23 | 0 |
| Labile S | Na4Ca(SO4)3·2H2O | −3.08 | 0 |
| Leonhardite | MgSO4·4H2O | −2.72 | 0 |
| Magnesium chloride dihydrate | MgCl2·2H2O | −15.18 | 0 |
| Magnesium chloride tetrahydrate | MgCl2·4H2O | −7.67 | 0 |
| Mirabilite | Na2SO4·10H2O | −1.55 | 3 |
| Pentahydrite | MgSO4·5H2O | −2.36 | 0 |
| Portlandite | Ca(OH)2 | −18.01 | 0 |
| Thenardite | Na2SO4 | −2.13 | 1 |
| Parameter | ZOD Technology | ZOD Technology with NF Pretreatment | |
|---|---|---|---|
| Energy consumption [kWh/t of salt produced] | Nanofiltration | 0 | 37 |
| Evaporator | 769 | 522 | |
| Crystallizer | 254 | 232 | |
| Total | 1023 | 791 | |
| Mass of salt produced salt [kg/m3 of coal mine water] | 41.31 | 46.77 | |
| Gypsum mass produced by crystallizer [kg/m3 of coal mine water] | 4.850 | 0.111 | |
| Salt recovery [%] | 51.3 | 58.0 | |
| Volume of postcrystallisation lyes [m3/m3 of coal mine water] | 0.119 | 0.024 | |
| Volume of NF retentate [m3/m3 of coal mine water] | 0 | 0.257 | |
| Parameter | ZOD Technology | ZOD Technology with NF Pretreatment |
|---|---|---|
| Mass of salt produced [t/y] | 46,320 * | 52,442 * |
| Electric energy costs [EUR/y] | 2,843,122 | 2,488,897 |
| Income from selling salt [EUR/y] | 6,067,920 | 6,869,902 |
| CAPEX of NF [EUR] | 0 | 3,646,294 |
| NF chemicals costs [EUR/y] | 0 | 21,694 |
| NF maintenance costs [EUR/y] | 0 | 72,926 |
| NF other costs excluding energy [EUR/y] | 0 | 145,852 |
Disclaimer/Publisher’s Note: The statements, opinions and data contained in all publications are solely those of the individual author(s) and contributor(s) and not of MDPI and/or the editor(s). MDPI and/or the editor(s) disclaim responsibility for any injury to people or property resulting from any ideas, methods, instructions or products referred to in the content. |
© 2024 by the authors. Licensee MDPI, Basel, Switzerland. This article is an open access article distributed under the terms and conditions of the Creative Commons Attribution (CC BY) license (https://creativecommons.org/licenses/by/4.0/).
Share and Cite
Turek, M.; Mitko, K.; Skóra, P. Applying Nanofiltration to Decrease Energy Consumption and Sensitivity toward Feed Composition Fluctuations in Salt Production. Membranes 2024, 14, 103. https://doi.org/10.3390/membranes14050103
Turek M, Mitko K, Skóra P. Applying Nanofiltration to Decrease Energy Consumption and Sensitivity toward Feed Composition Fluctuations in Salt Production. Membranes. 2024; 14(5):103. https://doi.org/10.3390/membranes14050103
Chicago/Turabian StyleTurek, Marian, Krzysztof Mitko, and Paweł Skóra. 2024. "Applying Nanofiltration to Decrease Energy Consumption and Sensitivity toward Feed Composition Fluctuations in Salt Production" Membranes 14, no. 5: 103. https://doi.org/10.3390/membranes14050103
APA StyleTurek, M., Mitko, K., & Skóra, P. (2024). Applying Nanofiltration to Decrease Energy Consumption and Sensitivity toward Feed Composition Fluctuations in Salt Production. Membranes, 14(5), 103. https://doi.org/10.3390/membranes14050103

