Computational Analysis of Amine Functionalization in Zwitterionized Polyether Sulfone Dialysis Membranes
Abstract
1. Introduction
2. Computational Methods
2.1. Molecular Docking
2.2. Molecular Dynamics Simulation
2.3. Assessing Water Mobility Using Molecular Dynamics Simulation
- Insight into molecular dynamics: MSD offers a detailed perspective on the diffusion and interaction of water molecules with the membrane, revealing how structural modifications influence mobility.
- Comparison to pure water: By normalizing the MSD of the modified structures to that of pure water, we could quantitatively assess the effectiveness of the proposed modifications in a restricted water movement.
- Critical for hemocompatibility: Reduced mobility is often associated with improved hemocompatibility, making MSD a crucial metric for evaluating the potential application of the membranes in biomedical settings.
- Complementary to structural analysis: While RMSD focuses on structural deviations, MSD enriched our analysis by focusing on dynamic properties, providing a comprehensive view of the material’s behavior.
3. Results and Discussion
3.1. Evaluating Membrane Models’ Interactions with Human Serum Fibrinogen
3.2. Evaluating Water Stability in Membrane Models
3.3. Integrating Computational Studies with Hemocompatibility
4. Conclusions
Author Contributions
Funding
Institutional Review Board Statement
Data Availability Statement
Acknowledgments
Conflicts of Interest
References
- Zhao, C.; Xue, J.; Ran, F.; Sun, S. Modification of polyethersulfone membranes–A review of methods. Prog. Mater. Sci. 2013, 58, 76–150. [Google Scholar] [CrossRef]
- Barzin, J.; Madaeni, S.; Mirzadeh, H.; Mehrabzadeh, M. Effect of polyvinylpyrrolidone on morphology and performance of hemodialysis membranes prepared from polyether sulfone. J. Appl. Polym. Sci. 2004, 92, 3804–3813. [Google Scholar] [CrossRef]
- Kaleekkal, N.J.; Thanigaivelan, A.; Tarun, M.; Mohan, D. A functional PES membrane for hemodialysis—Preparation, Characterization and Biocompatibility. Chin. J. Chem. Eng. 2015, 23, 1236–1244. [Google Scholar] [CrossRef]
- Vienken, J.; Gottschalk, O. Polymers in Nephrology. In Advanced Polymers in Medicine; Springer: Berlin/Heidelberg, Germany, 2015; pp. 371–400. [Google Scholar] [CrossRef]
- Otitoju, T.A.; Ahmad, A.L.; Ooi, B.S. Recent advances in hydrophilic modification and performance of polyethersulfone (PES) membrane via additive blending. RSC Adv. 2018, 8, 22710–22728. [Google Scholar] [CrossRef]
- Tallawi, M.; Rosellini, E.; Barbani, N.; Cascone, M.G.; Rai, R.; Saint-Pierre, G.; Boccaccini, A.R. Strategies for the chemical and biological functionalization of scaffolds for cardiac tissue engineering: A review. J. R. Soc. Interface 2015, 12, 20150254. [Google Scholar] [CrossRef]
- Spicer, C.D.; Pashuck, E.T.; Stevens, M.M. Achieving controlled biomolecule–biomaterial conjugation. Chem. Rev. 2018, 118, 7702–7743. [Google Scholar] [CrossRef]
- Amani, H.; Arzaghi, H.; Bayandori, M.; Dezfuli, A.S.; Pazoki-Toroudi, H.; Shafiee, A.; Moradi, L. Controlling cell behavior through the design of biomaterial surfaces: A focus on surface modification techniques. Adv. Mater. Interfaces 2019, 6, 1900572. [Google Scholar] [CrossRef]
- Mollahosseini, A.; Abdelrasoul, A.; Shoker, A. A critical review of recent advances in hemodialysis membranes hemocompatibility and guidelines for future development. Mater. Chem. Phys. 2020, 248, 122911. [Google Scholar] [CrossRef]
- Mollahosseini, A.; Abdelrasoul, A.; Shoker, A. Latest advances in zwitterionic structures modified dialysis membranes. Mater. Today Chem. 2020, 15, 100227. [Google Scholar] [CrossRef]
- Van der Bruggen, B. Chemical modification of polyethersulfone nanofiltration membranes: A review. J. Appl. Polym. Sci. 2009, 114, 630–642. [Google Scholar] [CrossRef]
- Alenazi, N.A.; Hussein, M.A.; Alamry, K.A.; Asiri, A.M. Modified polyether-sulfone membrane: A mini review. Des. Monomers Polym. 2017, 20, 532–546. [Google Scholar] [CrossRef] [PubMed]
- Guiver, M.D.; Robertson, G.P.; Foley, S. Chemical modification of polysulfones II: An efficient method for introducing primary amine groups onto the aromatic chain. Macromolecules 1995, 28, 7612–7621. [Google Scholar] [CrossRef]
- Wang, L.; Cai, Y.; Jing, Y.; Zhu, B.; Zhu, L.; Xu, Y. Route to hemocompatible polyethersulfone membranes via surface aminolysis and heparinization. J. Colloid Interface Sci. 2014, 422, 38–44. [Google Scholar] [CrossRef] [PubMed]
- Mollahosseini, A.; Abdelrasoul, A. Novel uremic metabolite-based zwitterionic polyethersulfone (PES) hemodialysis membrane for improved hemocompatibility: Towards the fourth generation of hemodialysis modifiers. Chem. Eng. Res. Des. 2023, 195, 466–479. [Google Scholar] [CrossRef]
- Abdelrasoul, A.; Mollahosseini, A.; Shoker, A. Uremic Metabolite-Zwitterionic Hemocompatible Dialysis Membranes. Patent Cooperation Treaty (PCT) International Application Number PCT/CA2023/051458. Internation Publication Number WO2024/092356A1, 10 May 2024. Available online: https://worldwide.espacenet.com/patent/search/family/090929120/publication/WO2024092356A1?q=pn%3DWO2024092356A1 (accessed on 19 October 2024).
- Kollman, J.M.; Pandi, L.; Sawaya, M.R.; Riley, M.; Doolittle, R.F. Crystal structure of human fibrinogen. Biochemistry 2009, 48, 3877–3886. [Google Scholar] [CrossRef]
- Mollahosseini, A.; Saadati, S.; Abdelrasoul, A. A comparative assessment of human serum proteins interactions with hemodialysis clinical membranes using molecular dynamics simulation. Macromol. Theory Simul. 2022, 31, 2200016. [Google Scholar] [CrossRef]
- González-Durruthy, M.; Concu, R.; Vendrame, L.F.O.; Zanella, I.; Ruso, J.M.; Cordeiro, M.N.D. Targeting beta-blocker drug–drug interactions with fibrinogen blood plasma protein: A computational and experimental study. Molecules 2020, 25, 5425. [Google Scholar] [CrossRef]
- Mayo, S.L.; Olafson, B.D.; Goddard, W.A. DREIDING: A generic force field for molecular simulations. J. Phys. Chem. 1990, 94, 8897–8909. [Google Scholar] [CrossRef]
- Dubbeldam, D.; Walton, K.S.; Vlugt, T.J.; Calero, S. Design, parameterization, and implementation of atomic force fields for adsorption in nanoporous materials. Adv. Theory Simul. 2019, 2, 1900135. [Google Scholar] [CrossRef]
- Shi, T.; Jiang, W.; An, L.; Li, B. Molecular Dynamics Simulation of Sub-Transition for Polyethersulfone. Macromol. Theory Simul. 2001, 10, 232–236. [Google Scholar] [CrossRef]
- Sasaki, K.; Yamashita, T. Modification and validation of the DREIDING force field for molecular liquid simulations (DREIDING-UT). J. Chem. Inf. Model. 2021, 61, 1172–1179. [Google Scholar] [CrossRef] [PubMed]
- Hanwell, M.D.; Curtis, D.E.; Lonie, D.C.; Vandermeersch, T.; Zurek, E.; Hutchison, G.R. Avogadro: An advanced semantic chemical editor, visualization, and analysis platform. J. Cheminformatics 2012, 4, 17. [Google Scholar] [CrossRef]
- Humphrey, W.; Dalke, A.; Schulten, K. VMD: Visual molecular dynamics. J. Mol. Graph. 1996, 14, 33–38. [Google Scholar] [CrossRef]
- Stukowski, A. Visualization and analysis of atomistic simulation data with OVITO–the Open Visualization Tool. Model. Simul. Mater. Sci. Eng. 2009, 18, 015012. [Google Scholar] [CrossRef]
- Thompson, A.P.; Aktulga, H.M.; Berger, R.; Bolintineanu, D.S.; Brown, W.M.; Crozier, P.S.; in’t Veld, P.J.; Kohlmeyer, A.; Moore, S.G.; Nguyen, T.D. LAMMPS-a flexible simulation tool for particle-based materials modeling at the atomic, meso, and continuum scales. Comput. Phys. Commun. 2022, 271, 108171. [Google Scholar] [CrossRef]
- Martínez, L.; Andrade, R.; Birgin, E.G.; Martínez, J.M. PACKMOL: A package for building initial configurations for molecular dynamics simulations. J. Comput. Chem. 2009, 30, 2157–2164. [Google Scholar] [CrossRef]
- Mieda, S. Analysis of the Interaction between a Protein and Polymer Membranes Using Steered Molecular Dynamics Simulation to Interpret the Fouling Behavior. Bull. Chem. Soc. Jpn. 2020, 93, 1443–1448. [Google Scholar] [CrossRef]
- Jianxiu, H.C.W. Preparation Method of Ethylene/Vinyl Alcohol Copolymer Film for Blood Purification. Donghua University, China. China Patent No. CN111495219A, 7 August 2020. Available online: https://patents.google.com/patent/CN111495219A/en (accessed on 19 October 2024).
- Mollahosseini, A.; Abdelrasoul, A. Novel insights in hemodialysis: Most recent theories on membrane hemocompatibility improvement. Biomed. Eng. Adv. 2022, 3, 100034. [Google Scholar] [CrossRef]
- Saadati, S.; Westphalen, H.; Eduok, U.; Abdelrasoul, A.; Shoker, A.; Choi, P.; Doan, H.; Ein-Mozaffari, F.; Zhu, N. Biocompatibility enhancement of hemodialysis membranes using a novel zwitterionic copolymer: Experimental, in situ synchrotron imaging, molecular docking, and clinical inflammatory biomarkers investigations. Mater. Sci. Eng. C 2020, 117, 111301. [Google Scholar] [CrossRef]
- Patra, A.; Bahig, J.; Kalugin, D.; Mollahosseini, A.; Shoker, A.; Abdelrasoul, A. Enhancing the hemocompatibility of polyethersulfone (PES) hemodialysis membranes using synthesized pseudo zwittronic polymers with various orientations. Results Surf. Interfaces 2023, 13, 100159. [Google Scholar] [CrossRef]
- Saadati, S.; Eduok, U.; Westphalen, H.; Abdelrasoul, A.; Shoker, A.; Choi, P.; Doan, H.; Ein-Mozaffari, F.; Zhu, N. Assessment of polyethersulfone and polyacrylonitrile hemodialysis clinical membranes: In situ synchrotron-based imaging of human serum proteins adsorption, interaction analyses, molecular docking and clinical inflammatory biomarkers investigations. Mater. Today Commun. 2021, 29, 102928. [Google Scholar] [CrossRef]
- Hoseinpour, V.; Ghaee, A.; Vatanpour, V.; Ghaemi, N. Surface modification of PES membrane via aminolysis and immobilization of carboxymethylcellulose and sulphated carboxymethylcellulose for hemodialysis. Carbohydr. Polym. 2018, 188, 37–47. [Google Scholar] [CrossRef] [PubMed]
- Doan, V.; Shoker, A.; Abdelrasoul, A. Quality of Life of Dialysis Patients: Exploring the Influence of Membrane Hemocompatibility and Dialysis Practices on Psychosocial and Physical Symptoms. J. Compos. Sci. 2024, 8, 172. [Google Scholar] [CrossRef]
- Emmanuel, K.; Cheng, C.; Erigene, B.; Mondal, A.N.; Hossain, M.M.; Khan, M.I.; Afsar, N.U.; Liang, G.; Wu, L.; Xu, T. Imidazolium functionalized anion exchange membrane blended with PVA for acid recovery via diffusion dialysis process. J. Membr. Sci. 2016, 497, 209–215. [Google Scholar] [CrossRef]
- Venault, A.; Chou, Y.-N.; Wang, Y.-H.; Hsu, C.-H.; Chou, C.-J.; Bouyer, D.; Lee, K.-R.; Chang, Y. A combined polymerization and self-assembling process for the fouling mitigation of PVDF membranes. J. Membr. Sci. 2018, 547, 134–145. [Google Scholar] [CrossRef]
- Kobayashi, S.; Wakui, M.; Iwata, Y.; Tanaka, M. Poly (ω-methoxyalkyl acrylate) s: Nonthrombogenic polymer family with tunable protein adsorption. Biomacromolecules 2017, 18, 4214–4223. [Google Scholar] [CrossRef]
- Yu, J.; Lin, T.; Huang, N.; Xia, X.; Li, J.; Qiu, Y.; Yang, X.; Mao, H.; Huang, F. Plasma fibrinogen and mortality in patients undergoing peritoneal dialysis: A prospective cohort study. BMC Nephrol. 2020, 21, 349. [Google Scholar] [CrossRef]











| Bonds | R0 (Å) |
|---|---|
| C-C | 1.53 |
| C-H | 0.98 |
| N-C | 1.46 |
| O-C | 1.42 |
| S-C | 1.8 |
| N-H | 1.02 |
| O-H | 0.98 |
| S-S | 2.07 |
| Central Atom | Angle Θ0 (Degrees) |
|---|---|
| Carbon | 109.47 |
| Hydrogen | 180 |
| Nitrogen | 106.7 |
| Sulfur | 92.1 |
| Oxygen | 104.51 |
| Atom | Ε (kcal/mol) | Σ (A) |
|---|---|---|
| C | 0.0238 | 3.473 |
| H | 0.0038 | 2.846 |
| N | 0.0194 | 3.263 |
| O | 0.0239 | 3.033 |
| S | 0.0860 | 3.590 |
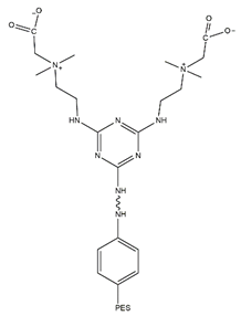
| No. | Name | Functionalization Method | Structure | Simulation Box Size | Number of Atoms | Number of Water Molecules |
|---|---|---|---|---|---|---|
| 1 | PES-M-TA-CB | Middle amine | ![]() | 70 × 70 × 78 | 6900 | 1000 |
| 2 | PES-S-TA-CB | Side amine | ![]() | 70 × 70 × 78 | 6950 | 1000 |
Disclaimer/Publisher’s Note: The statements, opinions and data contained in all publications are solely those of the individual author(s) and contributor(s) and not of MDPI and/or the editor(s). MDPI and/or the editor(s) disclaim responsibility for any injury to people or property resulting from any ideas, methods, instructions or products referred to in the content. |
© 2024 by the authors. Licensee MDPI, Basel, Switzerland. This article is an open access article distributed under the terms and conditions of the Creative Commons Attribution (CC BY) license (https://creativecommons.org/licenses/by/4.0/).
Share and Cite
Nazari, S.; Mollahosseini, A.; Abdelrasoul, A. Computational Analysis of Amine Functionalization in Zwitterionized Polyether Sulfone Dialysis Membranes. Membranes 2024, 14, 226. https://doi.org/10.3390/membranes14110226
Nazari S, Mollahosseini A, Abdelrasoul A. Computational Analysis of Amine Functionalization in Zwitterionized Polyether Sulfone Dialysis Membranes. Membranes. 2024; 14(11):226. https://doi.org/10.3390/membranes14110226
Chicago/Turabian StyleNazari, Simin, Arash Mollahosseini, and Amira Abdelrasoul. 2024. "Computational Analysis of Amine Functionalization in Zwitterionized Polyether Sulfone Dialysis Membranes" Membranes 14, no. 11: 226. https://doi.org/10.3390/membranes14110226
APA StyleNazari, S., Mollahosseini, A., & Abdelrasoul, A. (2024). Computational Analysis of Amine Functionalization in Zwitterionized Polyether Sulfone Dialysis Membranes. Membranes, 14(11), 226. https://doi.org/10.3390/membranes14110226



