A Fouling Comparison Study of Algal, Bacterial and Humic Organic Matters in Seawater Desalination Pretreatment Using Ceramic UF Membranes
Abstract
1. Introduction
2. Materials and Methods
2.1. AOM, BOM, and HOM Extraction
2.2. Filtration Experiment Protocol
2.3. Ceramic UF Membranes
2.4. Feed Water
2.5. Backwash Water
2.6. Membrane and Water Sample Analysis
2.6.1. Scanning Electron Microscope (SEM)
2.6.2. AOM/BOM/HOM/TEP Visualization
2.6.3. AOM and BOM Cultivation
2.6.4. TEP Analysis
2.6.5. MFI-UF
2.6.6. Particle Size Distribution and Calcium Binding Experiment
2.6.7. LC-OCD Characterization
3. Results and Discussion
3.1. Characteristics of Organics
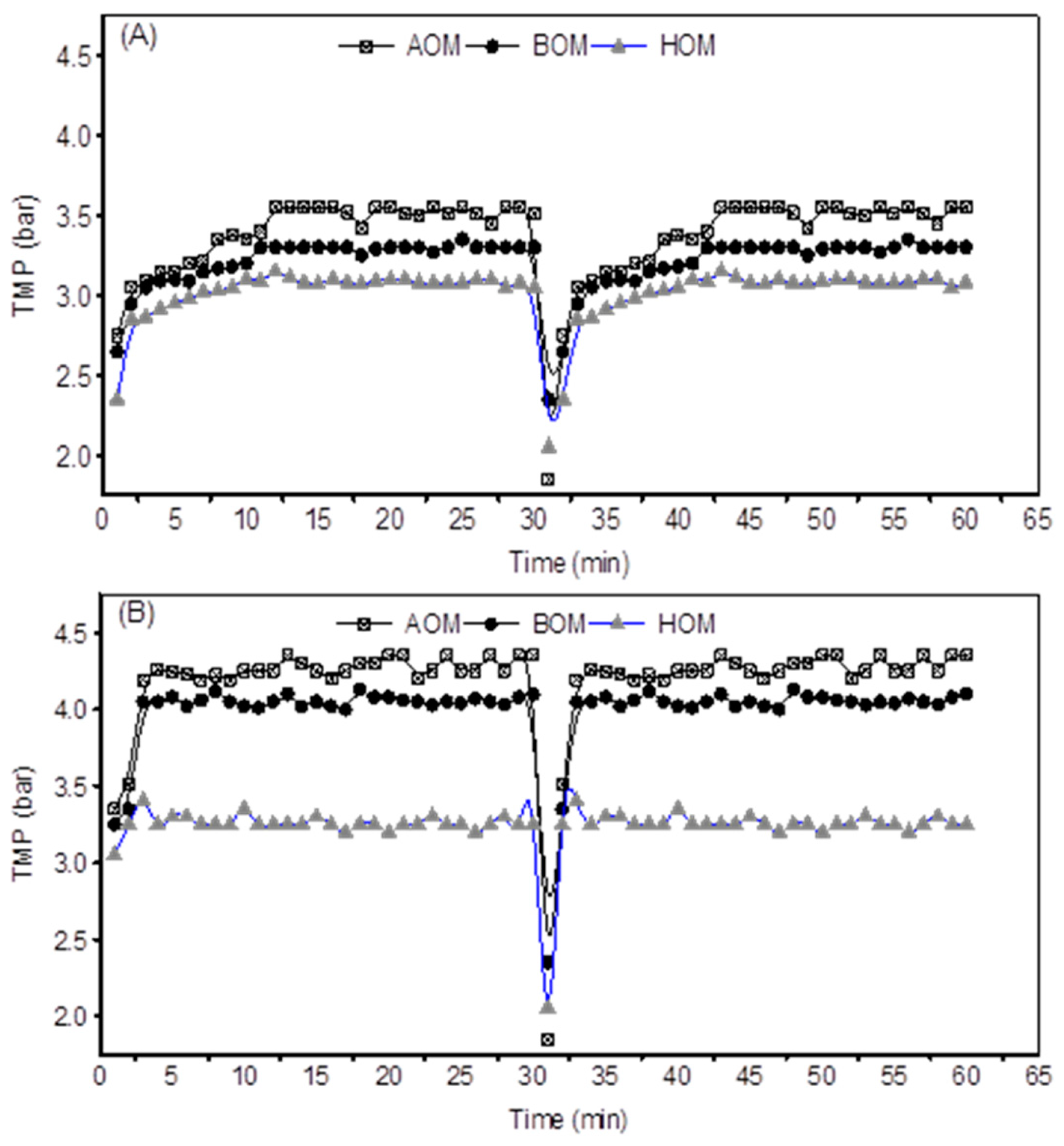
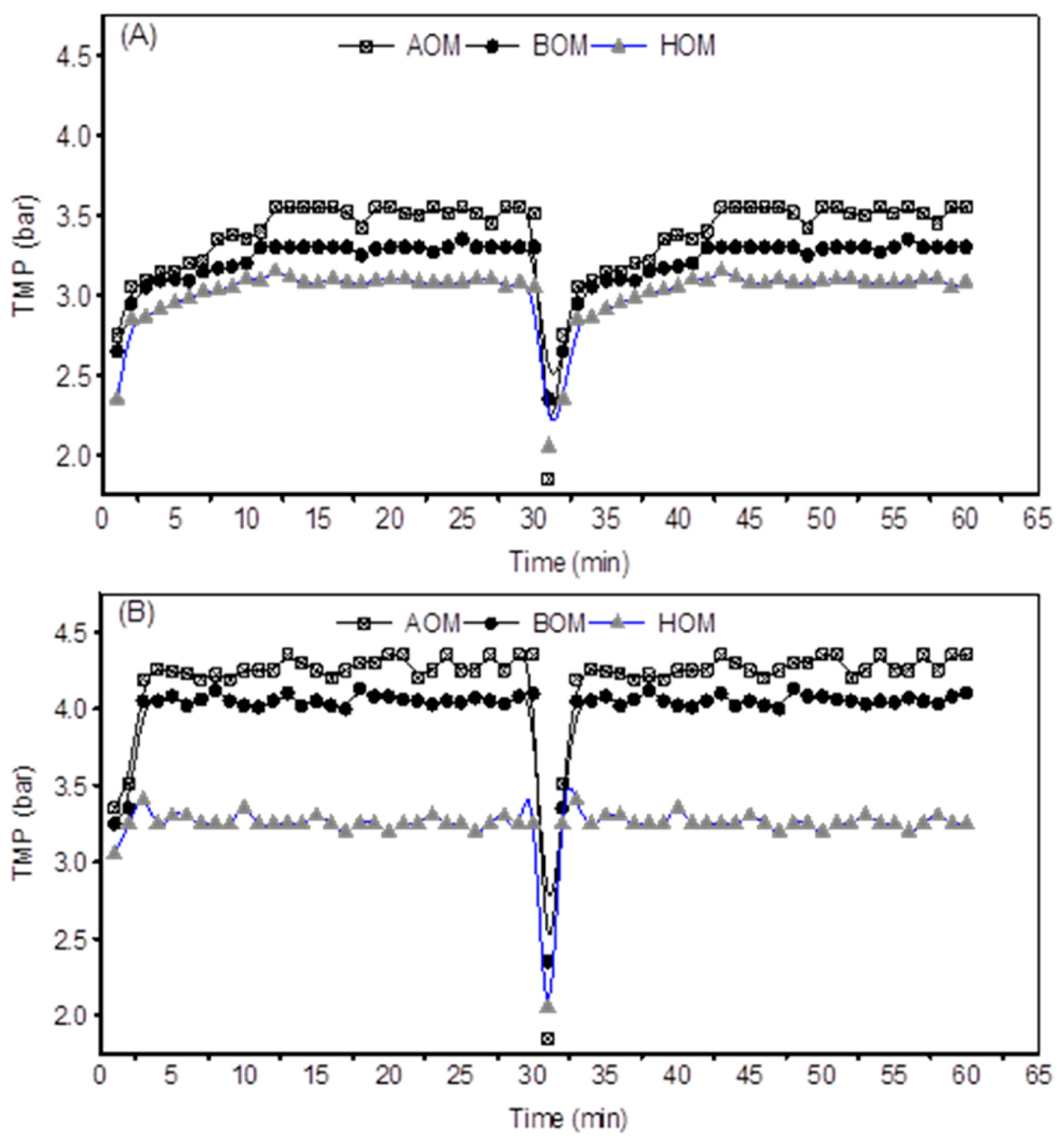
3.2. Filtration Performance of Ceramic UF Membranes
3.3. Impact of Calcium on fouling
4. Conclusions
- AOM gave the highest MFI-UF and TMP values among the three organics and during all filtration cycles for both membranes. The AOM fouling layer is well known for having high fouling potential due to its compressibility and compactness which increase the TMP and eventually the MFI-UF values. AOM and BOM organics presented a similar fouling behavior and mechanism. However, AOM was significantly higher compared to BOM in terms of TEP concentrations and gel-like formation. This is probably attributed to the high polysaccharide concentration in AOM.
- UF 5 kDa membranes can remove more TEP/organics compared to the 50 kDa membranes due to their lower MWCO. A cake layer fouling while the 50 kDa membrane showed a blockage fouling mechanism followed by a cake layer formation. For 5 kDa membranes, AOM and BOM showed thinner cake layer during all filtration cycles as TEP particles derived from AOM and BOM have evolved this process by making the cake layer more compact and compressible which in turns enhance the fouling resistance and reduce the porosity of the cake layer. HOM cake layer was thicker than those for AOM and BOM. This cake layer was found to be more porous and less compact, and this occurred more likely when HOM particles bind with Ca molecules offering big aggregates and leading to high porosity of the HOM cake layer on the membrane surface.
- The divalent cations such as calcium revealed a strong influence on membrane fouling. In this experiment, the HOM particles were most likely influenced by this phenomenon which bridge/adsorb more organic molecules when interacting with calcium ions making the membrane less negatively charged and enhancing the membrane fouling. However, this fouling was less severe compared to AOM and BOM fouling.
Author Contributions
Funding
Institutional Review Board Statement
Informed Consent Statement
Data Availability Statement
Conflicts of Interest
References
- Saeed, M.O.; Al-Otaibi, G.F. Filtration and Fouling Problems in a SWRO Plant on the Gulf Coast. In Proceedings of the Water Desalination Conference in Arab Countries, Jeddah, Saudi Arabia; pp. 74–82. Available online: https://www.researchgate.net/profile/Mohamed-Saeed-16/publication/237462800_FILTRATION_AND_FOULING_PROBLEMS_IN_A_SWRO_PLANT_ON_THE_GULF_COAST1/links/55c23bf908aeb975673e3e9e/FILTRATION-AND-FOULING-PROBLEMS-IN-A-SWRO-PLANT-ON-THE-GULF-COAST1.pdf (accessed on 12 December 2022).
- Berman, T.; Mizrahi, R.; Dosoretz, C.G. Transparent exopolymer particles (TEP): A critical factor in aquatic biofilm initiation and fouling on filtration membranes. Desalination 2011, 276, 184–190. [Google Scholar] [CrossRef]
- Li, S.; Sinha, S.; Leiknes, T.; Amy, G.L.; Ghaffour, N. Evaluation of potential particulate/colloidal TEP foulants on a pilot scale SWRO desalination study. Desalination 2016, 393, 127–134. [Google Scholar] [CrossRef]
- Li, S.; Winters, H.; Jeong, S.; Emwas, A.H.; Vigneswaran, S.; Amy, G.L. Marine bacterial transparent exopolymer particles (TEP) and TEP precursors: Characterization and RO fouling potential. Desalination 2016, 379, 68–74. [Google Scholar] [CrossRef]
- Li, S.; Lee, S.T.; Sinha, S.; Leiknes, T.; Amy, G.L.; Ghaffour, N. Transparent exopolymer particles (TEP) removal efficiency by a combination of coagulation and ultrafiltration to minimize SWRO membrane fouling. Water Res. 2016, 102, 485–493. [Google Scholar] [CrossRef]
- Bar-Zeev, E.; Berman-Frank, I.; Girshevitz, O.; Berman, T. Revised paradigm of aquatic biofilm formation facilitated by microgel transparent exopolymer particles. Proc. Natl. Acad. Sci. USA 2012, 109, 9119–9124. [Google Scholar] [CrossRef]
- Villacorte, L.O.; Schurer, R.; Kennedy, M.D.; Amy, G.L.; Schippers, J.C. The fate of transparent exopolymer particles (TEP) in seawater UF-RO system: A pilot plant study in Zeeland, The Netherlands. Desalination Water Treat. 2010, 13, 109–119. [Google Scholar] [CrossRef]
- Laîné, J.M.; Vial, D.; Moulart, P. Status after 10 years of operation—Overview of UF technology today. Desalination 2000, 131, 17–25. [Google Scholar] [CrossRef]
- Kennedy, M.D.; Muñoz Tobar, F.P.; Amy, G.; Schippers, J.C. Transparent exopolymer particle (TEP) fouling of ultrafiltration membrane systems. Desalination Water Treat. 2009, 6, 169–176. [Google Scholar] [CrossRef]
- Villacorte, L.O.; Kennedy, M.D.; Amy, G.L.; Schippers, J.C. The fate of Transparent Exopolymer Particles (TEP) in integrated membrane systems: Removal through pre-treatment processes and deposition on reverse osmosis membranes. Water Res. 2009, 43, 5039–5052. [Google Scholar] [CrossRef]
- Bar-Zeev, E.; Berman-Frank, I.; Liberman, B.; Rahav, E.; Passow, U.; Berman, T. Transparent exopolymer particles: Potential agents for organic fouling and biofilm formation in desalination and water treatment plants. Desalination Water Treat. 2009, 3, 136–142. [Google Scholar] [CrossRef]
- Loi-Brugger, A. Open up new doors in water treatment with ceramic membranes. In Proceedings of the 2007 Membrane Technology Conference & Exposition, Tampa, FL, USA, 18–21 March 2007. [Google Scholar]
- Xu, J.; Chang, C.Y.; Gao, C. Performance of a ceramic ultrafiltration membrane system in pretreatment to seawater desalination. Sep. Purif. Technol. 2010, 75, 165–173. [Google Scholar] [CrossRef]
- Ibrahim, H.D.; Xue, P.; Eltahir, E.A.B. Multiple Salinity Equilibria and Resilience of Persian/Arabian Gulf Basin Salinity to Brine Discharge. Front. Mar. Sci. 2020, 7, 573. [Google Scholar] [CrossRef]
- Li, S.; Winters, H.; Villacorte, L.O.; Ekowati, Y.; Emwas, A.H.; Kennedy, M.D.; Amy, G.L. Compositional similarities and differences between transparent exopolymer particles (TEPs) from two marine bacteria and two marine algae: Significance to surface biofouling. Mar. Chem. 2015, 174, 131–140. [Google Scholar] [CrossRef]
- Myklestad, S.; Holm-hansen, O.; Vårum, K.M.; Volcani, B.E. Rate of release of extracellular amino acids and carbohydrates from the marine diatom Chaetoceros affinis. J. Plankton Res. 1989, 11, 763–773. [Google Scholar] [CrossRef]
- Guillard, R.R.L. Culture of Phytoplankton for Feeding Marine Invertebrates. In Culture of Marine Invertebrate Animals, Proceedings of the 1st Conference on Culture of Marine Invertebrate Animals Greenport, New York, NY, USA, October 1972; Smith, W.L., Chanley, M.H., Eds.; Springer: Boston, MA, USA, 1975; pp. 29–60. [Google Scholar]
- Huber, S.A.; Balz, A.; Abert, M.; Pronk, W. Characterisation of aquatic humic and non-humic matter with size-exclusion chromatography-Organic carbon detection-Organic nitrogen detection (LC-OCD-OND). Water Res. 2011, 45, 879–885. [Google Scholar] [CrossRef]
- Abrahamse, A.J.; Lipreau, C.; Li, S.; Heijman, S.G.J. Removal of divalent cations reduces fouling of ultrafiltration membranes. J. Membr. Sci. 2008, 323, 153–158. [Google Scholar] [CrossRef]
- Heijman, S.G.J.; Vantieghem, M.; Raktoe, S.; Verberk, J.Q.J.C.; Van Dijk, J.C. Blocking of capillaries as fouling mechanism for dead-end ultrafiltration. J. Membr. Sci. 2007, 287, 119–125. [Google Scholar] [CrossRef]
- Li, S.; Heijman, S.G.J.; Van Dijk, J.C. A pilot-scale study of backwashing ultrafiltration membrane with demineralized water. J. Water Supply Res. Technol.-AQUA 2010, 59, 128–133. [Google Scholar] [CrossRef]
- Li, S.; Heijman, S.G.J.; Verberk, J.Q.J.C.; Amy, G.L.; Van Dijk, J.C. Seawater ultrafiltration fouling control: Backwashing with demineralized water/SWRO permeate. Sep. Purif. Technol. 2012, 98, 327–336. [Google Scholar] [CrossRef]
- Li, S.; Heijman, S.G.J.; Verberk, J.Q.J.C.; Le Clech, P.; Lu, J.; Kemperman, A.J.B.; Amy, G.L.; Van Dijk, J.C. Fouling control mechanisms of demineralized water backwash: Reduction of charge screening and calcium bridging effects. Water Res. 2011, 45, 6289–6300. [Google Scholar] [CrossRef]
- Li, S.; Winters, H.; Amy, G.L. Transparent exopolymer particles (TEP) production trends of two marine bacteria: Pseudidiomarina homiensis and Pseudoalteromonas atlantica. In Proceedings of the AMTA/AWWA Membrane Technology Conference and Exposition, San Antonio, TX, USA, 25–28 February 2013; pp. 728–736. [Google Scholar]
- Schippers, J.C.; Verdouw, J. The modified fouling index, a method of determining the fouling characteristics of water. Desalination 1980, 32, 137–148. [Google Scholar] [CrossRef]
- Salinas-Rodriguez, S.G.; Amy, G.L.; Schippers, J.C.; Kennedy, M.D. The Modified Fouling Index Ultrafiltration constant flux for assessing particulate/colloidal fouling of RO systems. Desalination 2015, 365, 79–91. [Google Scholar] [CrossRef]
- Boerlage, F.E.S.; Kennedy, D.M.; Dickson, R.M.; El-Hodali, E.Y.D.; Schippers, C.J. The modified fouling index using ultrafiltration membranes (MFI-UF): Characterisation, filtration mechanisms and proposed reference membrane. J. Membr. Sci. 2002, 197, 1–21. [Google Scholar] [CrossRef]
- Alizadeh Tabatabai, S.A.; Schippers, J.C.; Kennedy, M.D. Effect of coagulation on fouling potential and removal of algal organic matter in ultrafiltration pretreatment to seawater reverse osmosis. Water Res. 2014, 59, 283–294. [Google Scholar] [CrossRef] [PubMed]
- Li, S. A New Concept of Ultrafiltration Fouling Control: Backwashing with Low Ionic Strength Water. Ph.D. Thesis, Delft University of Technology, Delft, The Netherlands, 2011; p. 196. [Google Scholar]
- Alldredge, A.L.; Passow, U.; Logan, B.E. The abundance and significance of a class of large, transparent organic particles in the ocean. Deep-Sea Res. Part I 1993, 40, 1131–1140. [Google Scholar] [CrossRef]






| Manufacturer | TAMI |
| Pore size, or MWCO | 50 kDa, 5 kDa |
| Materials | Support layer: TiO2 Active layer ZrO2 + TiO2 |
| Surface Area (cm2) | 17.4 |
| Parameters | Concentration mg/L |
|---|---|
| Chloride (Cl) | 19,290 mg/L |
| Sodium | 10,780 mg/L |
| Boron | 5.6 mg/L |
| Sulfate | 2660 mg/L |
| Potassium | 420 mg/L |
| Calcium | 400 mg/L |
| Magnesium (Mg) DOC mg/L | 1320 mg/L 0.7 |
Disclaimer/Publisher’s Note: The statements, opinions and data contained in all publications are solely those of the individual author(s) and contributor(s) and not of MDPI and/or the editor(s). MDPI and/or the editor(s) disclaim responsibility for any injury to people or property resulting from any ideas, methods, instructions or products referred to in the content. |
© 2023 by the authors. Licensee MDPI, Basel, Switzerland. This article is an open access article distributed under the terms and conditions of the Creative Commons Attribution (CC BY) license (https://creativecommons.org/licenses/by/4.0/).
Share and Cite
Al Namazi, M.; Li, S.; Ghaffour, N.; Leiknes, T.; Amy, G. A Fouling Comparison Study of Algal, Bacterial and Humic Organic Matters in Seawater Desalination Pretreatment Using Ceramic UF Membranes. Membranes 2023, 13, 234. https://doi.org/10.3390/membranes13020234
Al Namazi M, Li S, Ghaffour N, Leiknes T, Amy G. A Fouling Comparison Study of Algal, Bacterial and Humic Organic Matters in Seawater Desalination Pretreatment Using Ceramic UF Membranes. Membranes. 2023; 13(2):234. https://doi.org/10.3390/membranes13020234
Chicago/Turabian StyleAl Namazi, Mohammed, Sheng Li, Noreddine Ghaffour, TorOve Leiknes, and Gary Amy. 2023. "A Fouling Comparison Study of Algal, Bacterial and Humic Organic Matters in Seawater Desalination Pretreatment Using Ceramic UF Membranes" Membranes 13, no. 2: 234. https://doi.org/10.3390/membranes13020234
APA StyleAl Namazi, M., Li, S., Ghaffour, N., Leiknes, T., & Amy, G. (2023). A Fouling Comparison Study of Algal, Bacterial and Humic Organic Matters in Seawater Desalination Pretreatment Using Ceramic UF Membranes. Membranes, 13(2), 234. https://doi.org/10.3390/membranes13020234

