Effect of Different Operational Conditions on the Treatment Performance of Milk Processing Wastewater (MPW) Using a Single Stage Flexible Fibre Biofilm Reactor (SS-FFBR)
Abstract
1. Introduction
2. Materials and Methods
2.1. Feedstock Preparation and Inoculum Culture
2.2. Experimental Set-Up and Operational Strategy
3. Results
3.1. SS-FFBR Start-Up Data
3.2. Bioreactor Performance
COD Removal Efficiencies
3.3. Effluent Qualities
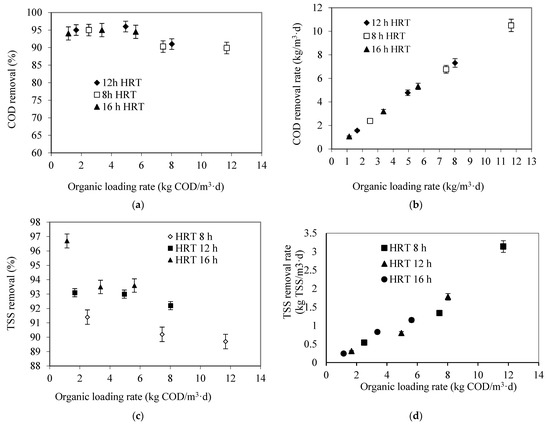
3.4. Effect of Organic Loading Rate on Reactor Performance
3.5. Effect of Suspended Solids Loading Rate (SLR)
4. Conclusions
Author Contributions
Funding
Institutional Review Board Statement
Informed Consent Statement
Data Availability Statement
Acknowledgments
Conflicts of Interest
References
- Boltz, J.P.; Smets, B.F.; Rittmann, B.E.; Van Loosdrecht, M.C.M.; Morgenroth, E.; Daigger, G.T. From Biofilm Ecology to Reactors: A Focused Review. Water Sci. Technol. 2017, 75, 1753–1760. [Google Scholar] [CrossRef] [PubMed]
- Abdulgader, M.; Yu, Q.J.; Zinatizadeh, A.; Williams, P. Biological Treatment of Milk Processing Wastewater in a Sequencing Batch Flexible Fibre Biofilm Reactor. Asia-Pac. J. Chem. Eng. 2009, 4, 698–703. [Google Scholar] [CrossRef]
- Zinatizadeh, A.A.L.; Ghaytooli, E. Simultaneous Nitrogen and Carbon Removal from Wastewater at Different Operating Conditions in a Moving Bed Biofilm Reactor (MBBR): Process Modeling and Optimization. J. Taiwan Inst. Chem. Eng. 2015, 53, 98–111. [Google Scholar] [CrossRef]
- Shreve, M.J.; Brennan, R.A. Trace Organic Contaminant Removal in Six Full-Scale Integrated Fixed-Film Activated Sludge (IFAS) Systems Treating Municipal Wastewater. Water Res. 2019, 151, 318–331. [Google Scholar] [CrossRef] [PubMed]
- Martin, K.J.; Nerenberg, R. The Membrane Biofilm Reactor (MBfR) for Water and Wastewater Treatment: Principles, Applications, and Recent Developments. Bioresour. Technol. 2012, 122, 83–94. [Google Scholar] [CrossRef] [PubMed]
- Courtens, E.N.P.; Boon, N.; De Clippeleir, H.; Berckmoes, K.; Mosquera, M.; Seuntjens, D.; Vlaeminck, S.E. Control of Nitratation in an Oxygen-Limited Autotrophic Nitrification/Denitrification Rotating Biological Contactor through Disc Immersion Level Variation. Bioresour. Technol. 2014, 155, 182–188. [Google Scholar] [CrossRef] [PubMed]
- Yu, Q.; Xu, H.; Williams, P. Development of Flexible Fibre Biofilm Reactor for Treatment of Food Processing Wastewater. Environ. Technol. 2003, 24, 429–434. [Google Scholar] [CrossRef] [PubMed]
- Abdulgader, M.; Yu, J.; Zinatizadeh, A.A.; Williams, P.; Rahimi, Z. Process Analysis and Optimization of Single Stage Flexible Fibre Biofilm Reactor Treating Milk Processing Industrial Wastewater Using Response Surface Methodology (RSM). Chem. Eng. Res. Des. 2019, 149, 169–181. [Google Scholar] [CrossRef]
- Yu, Q.J.; Xu, H.; Yao, D.; Williams, P. Development of a Two-Stage Flexible Fibre Biofilm Reactor for Treatment of Food Processing Wastewater. Water Sci. Technol. 2003, 47, 189–194. [Google Scholar] [CrossRef] [PubMed]
- Abdulgader, M.; Yu, Q.J.; Zinatizadeh, A.A.; Williams, P.; Rahimi, Z. Application of Response Surface Methodology (RSM) for Process Analysis and Optimization of Milk Processing Wastewater Treatment Using Multistage Flexible Fiber Biofilm Reactor. J. Environ. Chem. Eng. 2020, 8, 103797. [Google Scholar] [CrossRef]
- Abdulgader, M.; Yu, Q.J.; Zinatizadeh, A.A.; Williams, P.; Rahimi, Z. Treatment Capacity of a Novel Flexible Fibre Biofilm Bioreactor Treating High-Strength Milk Processing Wastewater. Environ. Technol. 2021, 42, 1–17. [Google Scholar] [CrossRef] [PubMed]
- Abdulgader, M.; Yu, Q.J.; Zinatizadeh, A.A.; Williams, P.; Rahimi, Z. Performance and Kinetics Analysis of an Aerobic Sequencing Batch Flexible Fibre Biofilm Reactor for Milk Processing Wastewater Treatment. J. Environ. Manag. 2020, 255, 109793. [Google Scholar] [CrossRef] [PubMed]
- Abdulgader, M.; Zinatizadeh, A.; Williams, P.; Yu, J. Feasibility of an Aerobic Sequencing Batch Flexible Fibre Biofilm Reactor for Treatment of Milk Processing Wastewater. In Proceedings of the AWA Ozwater 2009 Conference, Temp Venue, Australia, 16–18 March 2009. [Google Scholar]
- Abdulgader, M.E.; Yu, Q.J.; Williams, P.; Zinatizadeh, A.A.L. Biological Treatment of Dairy Wastewater by a Sequencing Batch Flexible Fibre Biofilm Reactor. WIT Trans. Ecol. Environ. 2009, 120, 911–920. [Google Scholar] [CrossRef]
- Mirghorayshi, M.; Zinatizadeh, A.A.; van Loosdrecht, M. Simultaneous Biodegradability Enhancement and High-Efficient Nitrogen Removal in an Innovative Single Stage Anaerobic/Anoxic/Aerobic Hybrid Airlift Bioreactor (HALBR) for Composting Leachate Treatment: Process Modeling and Optimization. Chem. Eng. J. 2021, 407, 127019. [Google Scholar] [CrossRef]
- Standard Methods for the Examination of Water and Wastewater; American Water Works: Camden, NJ, USA, 2012; Volume 49, ISBN 087553287X.
- Metcalf, E. Wastewater Engineering: Treatment, Disposal, Reuse 4th Edition, 3rd, ed.; McGraw-Hill: Singapore, 2003. [Google Scholar]
- Akhbari, A.; Zinatizadeh, A.A.L.; Mohammadi, P.; Irandoust, M.; Mansouri, Y. Process Modeling and Analysis of Biological Nutrients Removal in an Integrated RBC-AS System Using Response Surface Methodology. Chem. Eng. J. 2011, 168, 269–279. [Google Scholar] [CrossRef]
- Huang, C.; Shi, Y.; Xue, J.; Zhang, Y.; Gamal El-Din, M.; Liu, Y. Comparison of Biomass from Integrated Fixed-Film Activated Sludge (IFAS), Moving Bed Biofilm Reactor (MBBR) and Membrane Bioreactor (MBR) Treating Recalcitrant Organics: Importance of Attached Biomass. J. Hazard. Mater. 2017, 326, 120–129. [Google Scholar] [CrossRef] [PubMed]
- Najafpour, G.D.; Zinatizadeh, A.A.L.; Lee, L.K. Performance of a Three-Stage Aerobic RBC Reactor in Food Canning Wastewater Treatment. Biochem. Eng. J. 2006, 30, 297–302. [Google Scholar] [CrossRef]
- Resmi, G.; Gopalakrishna, K. Performance Studies of Aerobic FBBR for the Treatment of Dairy Wastewater. People-Centred Approaches to Water Environmental Sanitation. In Proceedings of the 30th WEDC Conference, Vientiane, Lao PDR, 25–29 October 2004; pp. 47–52. [Google Scholar]
- Borghei, S.M.; Sharbatmaleki, M.; Pourrezaie, P.; Borghei, G. Kinetics of Organic Removal in Fixed-Bed Aerobic Biological Reactor. Bioresour. Technol. 2008, 99, 1118–1124. [Google Scholar] [CrossRef] [PubMed]
- Hassani, A.H.; Borghei, S.M.; Samadyar, H.; Ghanbari, B. Utilization of Moving Bed Biofilm Reactor for Industrial Wastewater Treatment Containing Ethylene Glycol: Kinetic and Performance Study. Environ. Technol. 2014, 35, 499–507. [Google Scholar] [CrossRef] [PubMed]
- Amal Raj, S.; Murthy, D.V.S. Synthetic Dairy Wastewater Treatment Using Cross Flow Medium Trickling Filter. J. Environ. Sci. Health Part A Toxic/Hazardous Subst. Environ. Eng. 1999, 34, 357–369. [Google Scholar] [CrossRef]









| Parameters | Amount (mg/L) |
|---|---|
| COD | 4000–14,250 |
| BOD | 3000–8910 |
| pH | 11.70 |
| Total solids | 5790–6380 |
| Total suspended solid | 1420–3540 |
| Volatile suspended solid | 1350–3480 |
| Total nitrogen (as N) | N/A |
| Total Phosphate (as P) | 37 |
| Oil and grease | N/A |
| Parameters | Value |
|---|---|
| Bundle no. | 7 |
| Density, kg/m3 | 3 |
| Specific gravity | 1.02 |
| Specific surface area, m2/m3 | 2164 |
| Length of fibre, mm | 75 |
| Diameter of fibre, mm | 0.07 |
| Void ratio | 0.99 |
| Variables | Value |
|---|---|
| HRT, h | 8–16 |
| Influent flow rate, mL/min | 16.7–8.3 |
| CODin, mg/L | 800–4000 |
| OLR, kg COD/m3d | 2.4–12 |
| SLR, kg/m3d | 0.35–3.32 |
| Variables | Effluent Parameters | ||||||
|---|---|---|---|---|---|---|---|
| Influent COD mg/L | HRT h | OLR kg COD/m3d | pH | DO mg/L | COD mg/L | TSS mg/L | Turbidity NTU |
| 836 | 8 | 2.5 | 7.58 | 6 | 41 | 15 | 6.46 |
| 830 | 12 | 1.66 | 7.5 | 5.8 | 41.7 | 11.4 | 2.73 |
| 763 | 16 | 1.145 | 7.65 | 5.1 | 47.7 | 5 | 4.64 |
| 2480 | 8 | 7.44 | 7.73 | 3.45 | 238.5 | 40 | 36.2 |
| 2477 | 12 | 4.95 | 7.8 | 3 | 83.2 | 20 | 6 |
| 2266 | 16 | 3.37 | 7.9 | 3.19 | 111.5 | 25 | 18.25 |
| 3922 | 8 | 11.7 | 7.8 | 3.4 | 394.7 | 61.2 | 45.5 |
| 4010 | 12 | 8.02 | 7.5 | 3.6 | 352.8 | 51.4 | 41.7 |
| 3750 | 16 | 5.62 | 8.01 | 2.28 | 211.6 | 23.3 | 28.3 |
Disclaimer/Publisher’s Note: The statements, opinions and data contained in all publications are solely those of the individual author(s) and contributor(s) and not of MDPI and/or the editor(s). MDPI and/or the editor(s) disclaim responsibility for any injury to people or property resulting from any ideas, methods, instructions or products referred to in the content. |
© 2022 by the authors. Licensee MDPI, Basel, Switzerland. This article is an open access article distributed under the terms and conditions of the Creative Commons Attribution (CC BY) license (https://creativecommons.org/licenses/by/4.0/).
Share and Cite
Abdulgader, M.; Yu, J.; Zinatizadeh, A.A.; Williams, P.; Rahimi, Z. Effect of Different Operational Conditions on the Treatment Performance of Milk Processing Wastewater (MPW) Using a Single Stage Flexible Fibre Biofilm Reactor (SS-FFBR). Membranes 2023, 13, 37. https://doi.org/10.3390/membranes13010037
Abdulgader M, Yu J, Zinatizadeh AA, Williams P, Rahimi Z. Effect of Different Operational Conditions on the Treatment Performance of Milk Processing Wastewater (MPW) Using a Single Stage Flexible Fibre Biofilm Reactor (SS-FFBR). Membranes. 2023; 13(1):37. https://doi.org/10.3390/membranes13010037
Chicago/Turabian StyleAbdulgader, Mohamed, Jimmy Yu, Ali Akbar Zinatizadeh, Philip Williams, and Zahra Rahimi. 2023. "Effect of Different Operational Conditions on the Treatment Performance of Milk Processing Wastewater (MPW) Using a Single Stage Flexible Fibre Biofilm Reactor (SS-FFBR)" Membranes 13, no. 1: 37. https://doi.org/10.3390/membranes13010037
APA StyleAbdulgader, M., Yu, J., Zinatizadeh, A. A., Williams, P., & Rahimi, Z. (2023). Effect of Different Operational Conditions on the Treatment Performance of Milk Processing Wastewater (MPW) Using a Single Stage Flexible Fibre Biofilm Reactor (SS-FFBR). Membranes, 13(1), 37. https://doi.org/10.3390/membranes13010037

