Polybenzimidazole Membrane Crosslinked with Epoxy-Containing Inorganic Networks for Organic Solvent Nanofiltration and Aqueous Nanofiltration under Extreme Basic Conditions
Abstract
:1. Introduction
2. Materials and Methods
2.1. Materials
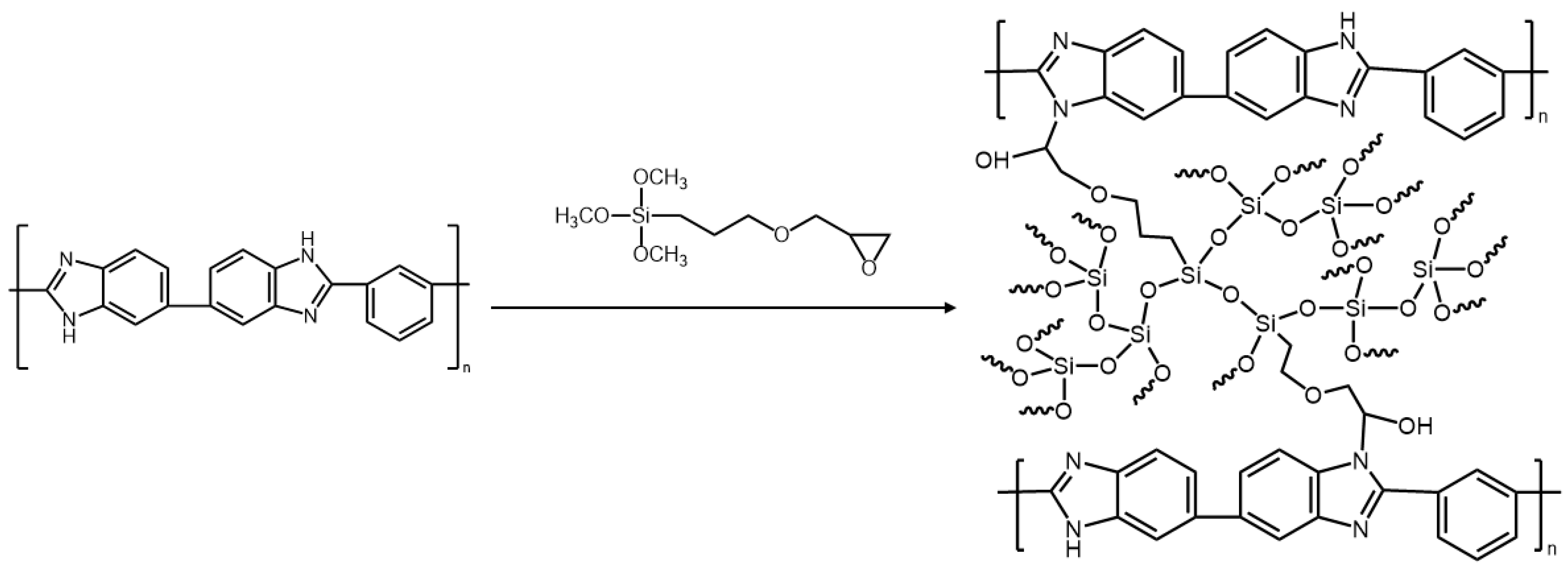
2.2. Fabrication of Crosslinked PBI Membranes
2.3. Characterizations
2.4. OSN Performance Test
3. Results and Discussion
3.1. Characterizations of PBI Membranes
3.1.1. FTIR and XPS
3.1.2. Visual Observation with FE-SEM
3.1.3. Chemical Stability Test
3.2. Performance Test for OSN
3.2.1. Performance under Ethanol Condition
3.2.2. Filtration Test under Basic Condition
4. Conclusions
Author Contributions
Funding
Institutional Review Board Statement
Informed Consent Statement
Data Availability Statement
Conflicts of Interest
References
- Sun, P.; Wang, K.; Zhu, H. Recent Developments in Graphene-Based Membranes: Structure, Mass-Transport Mechanism and Potential Applications. Adv. Mater. 2016, 28, 2287–2310. [Google Scholar] [CrossRef] [PubMed]
- Sheldon, R.A. Green Solvents for Sustainable Organic Synthesis: State of the Art. Green Chem. 2005, 7, 267–278. [Google Scholar] [CrossRef]
- Gadipelly, C.; Pérez-González, A.; Yadav, G.D.; Ortiz, I.; Ibáñez, R.; Rathod, V.K.; Marathe, K.V. Pharmaceutical Industry Wastewater: Review of the Technologies for Water Treatment and Reuse. Ind. Eng. Chem. Res. 2014, 53, 11571–11592. [Google Scholar] [CrossRef]
- Nie, L.; Chuah, C.Y.; Bae, T.H.; Lee, J.M. Graphene-Based Advanced Membrane Applications in Organic Solvent Nanofiltration. Adv. Funct. Mater. 2021, 31, 1–36. [Google Scholar] [CrossRef]
- Nie, L.; Goh, K.; Wang, Y.; Lee, J.; Huang, Y.; Enis Karahan, H.E.; Zhou, K.; Guiver, M.D.; Bae, T.H. Realizing Small-Flake Graphene Oxide Membranes for Ultrafast Size-Dependent Organic Solvent Nanofiltration. Sci. Adv. 2020, 6, 1–13. [Google Scholar] [CrossRef] [Green Version]
- Asadi Tashvigh, A.; Feng, Y.; Weber, M.; Maletzko, C.; Chung, T.S. 110th Anniversary: Selection of Cross-Linkers and Cross-Linking Procedures for the Fabrication of Solvent-Resistant Nanofiltration Membranes: A Review. Ind. Eng. Chem. Res. 2019, 58, 10678–10691. [Google Scholar] [CrossRef]
- Li, W.; Chuah, C.Y.; Nie, L.; Bae, T.H. Enhanced CO 2 /CH 4 Selectivity and Mechanical Strength of Mixed-Matrix Membrane Incorporated with NiDOBDC/GO Composite. J. Ind. Eng. Chem. 2019, 74, 118–125. [Google Scholar] [CrossRef]
- Li, W.; Goh, K.; Chuah, C.Y.; Bae, T.H. Mixed-Matrix Carbon Molecular Sieve Membranes Using Hierarchical Zeolite: A Simple Approach towards High CO2 Permeability Enhancements. J. Memb. Sci. 2019, 588, 117220. [Google Scholar] [CrossRef]
- Samarasinghe, S.A.S.C.; Chuah, C.Y.; Li, W.; Sethunga, G.S.M.D.P.; Wang, R.; Bae, T.H. Incorporation of CoIII Acetylacetonate and SNW-1 Nanoparticles to Tailor O2/N2 Separation Performance of Mixed-Matrix Membrane. Sep. Purif. Technol. 2019, 223, 133–141. [Google Scholar] [CrossRef]
- Chuah, C.Y.; Samarasinghe, S.A.S.C.; Li, W.; Goh, K.; Bae, T.H. Leveraging Nanocrystal HKUST-1 in Mixed-Matrix Membranes for Ethylene/Ethane Separation. Membranes 2020, 10, 74. [Google Scholar] [CrossRef]
- da Silva Burgal, J.; Peeva, L.G.; Kumbharkar, S.; Livingston, A. Organic Solvent Resistant Poly(Ether-Ether-Ketone) Nanofiltration Membranes. J. Memb. Sci. 2015, 479, 105–116. [Google Scholar] [CrossRef]
- Siang, K.; Yi, J.; Chen, Y.; Fang, W.; Bae, T.; Wang, R. Thin-Film Composite Hollow Fibre Membrane for Low Pressure Organic Solvent Nanofiltration. J. Memb. Sci. 2020, 597, 117760. [Google Scholar] [CrossRef]
- Lim, S.K.; Goh, K.; Bae, T.H.; Wang, R. Polymer-Based Membranes for Solvent-Resistant Nanofiltration: A Review. Chin. J. Chem. Eng. 2017, 25, 1653–1675. [Google Scholar] [CrossRef]
- Loh, X.X.; Sairam, M.; Bismarck, A.; Steinke, J.H.G.; Livingston, A.G.; Li, K. Crosslinked Integrally Skinned Asymmetric Polyaniline Membranes for Use in Organic Solvents. J. Memb. Sci. 2009, 326, 635–642. [Google Scholar] [CrossRef]
- Cano-Odena, A.; Vandezande, P.; Fournier, D.; Van Camp, W.; Du Prez, F.E.; Vankelecom, I.F.J. Solvent-Resistant Nanofiltration for Product Purification and Catalyst Recovery in Click Chemistry Reactions. Chem.-A Eur. J. 2010, 16, 1061–1067. [Google Scholar] [CrossRef] [Green Version]
- Hermans, S.; Dom, E.; Mariën, H.; Koeckelberghs, G.; Vankelecom, I.F.J. Efficient Synthesis of Interfacially Polymerized Membranes for Solvent Resistant Nanofiltration. J. Memb. Sci. 2015, 476, 356–363. [Google Scholar] [CrossRef]
- Valtcheva, I.B.; Kumbharkar, S.C.; Kim, J.F.; Bhole, Y.; Livingston, A.G. Beyond Polyimide: Crosslinked Polybenzimidazole Membranes for Organic Solvent Nanofiltration (OSN) in Harsh Environments. J. Memb. Sci. 2014, 457, 62–72. [Google Scholar] [CrossRef]
- Lee, K.P.; Bargeman, G.; de Rooij, R.; Kemperman, A.J.B.; Benes, N.E. Interfacial Polymerization of Cyanuric Chloride and Monomeric Amines: PH Resistant Thin Film Composite Polyamine Nanofiltration Membranes. J. Memb. Sci. 2017, 523, 487–496. [Google Scholar] [CrossRef]
- Bargeman, G. Recent Developments in the Preparation of Improved Nanofiltration Membranes for Extreme PH Conditions. Sep. Purif. Technol. 2021, 279, 119725. [Google Scholar] [CrossRef]
- Davood Abadi Farahani, M.H.; Chung, T.S. A Novel Crosslinking Technique towards the Fabrication of High-Flux Polybenzimidazole (PBI) Membranes for Organic Solvent Nanofiltration (OSN). Sep. Purif. Technol. 2019, 209, 182–192. [Google Scholar] [CrossRef]
- Asadi Tashvigh, A.; Chung, T.S. Robust Polybenzimidazole (PBI) Hollow Fiber Membranes for Organic Solvent Nanofiltration. J. Memb. Sci. 2019, 572, 580–587. [Google Scholar] [CrossRef]
- Özdemir, Y.; Özkan, N.; Devrim, Y. Fabrication and Characterization of Cross-Linked Polybenzimidazole Based Membranes for High Temperature PEM Fuel Cells. Electrochim. Acta 2017, 245, 1–13. [Google Scholar] [CrossRef]
- Xing, D.Y.; Chan, S.Y.; Chung, T.S. The Ionic Liquid [EMIM] OAc as a Solvent to Fabricate Stable Polybenzimidazole Membranes for Organic Solvent Nanofiltration. Green Chem. 2014, 16, 1383–1392. [Google Scholar] [CrossRef]
- Wang, K.Y.; Chung, T.S.; Rajagopalan, R. Novel Polybenzimidazole (PBI) Nanofiltration Membranes for the Separation of Sulfate and Chromate from High Alkalinity Brine to Facilitate the Chlor-Alkali Process. Ind. Eng. Chem. Res. 2007, 46, 1572–1577. [Google Scholar] [CrossRef]
- Lim, S.K.; Setiawan, L.; Bae, T.H.; Wang, R. Polyamide-Imide Hollow Fiber Membranes Crosslinked with Amine-Appended Inorganic Networks for Application in Solvent-Resistant Nanofiltration under Low Operating Pressure. J. Memb. Sci. 2016, 501, 152–160. [Google Scholar] [CrossRef]
- Siddique, H.; Rundquist, E.; Bhole, Y.; Peeva, L.G.; Livingston, A.G. Mixed Matrix Membranes for Organic Solvent Nanofiltration. J. Memb. Sci. 2014, 452, 354–366. [Google Scholar] [CrossRef]
- Chen, D.; Yu, S.; Yang, M.; Li, D.; Li, X. Solvent Resistant Nanofiltration Membranes Based on Crosslinked Polybenzimidazole. RSC Adv. 2016, 6, 16925–16932. [Google Scholar] [CrossRef]
- Zhu, L.; Swihart, M.T.; Lin, H. Tightening Polybenzimidazole (PBI) Nanostructure via Chemical Cross-Linking for Membrane H2/CO2 Separation. J. Mater. Chem. A 2017, 5, 19914–19923. [Google Scholar] [CrossRef]
- Venkateswara Rao, A.; Kalesh, R.R. Comparative Studies of the Physical and Hydrophobic Properties of TEOS Based Silica Aerogels Using Different Co-Precursors. Sci. Technol. Adv. Mater. 2003, 4, 509–515. [Google Scholar] [CrossRef]
- Zhang, Y.; Wang, R.; Yi, S.; Setiawan, L.; Hu, X.; Fane, A.G. Novel Chemical Surface Modification to Enhance Hydrophobicity of Polyamide-Imide (PAI) Hollow Fiber Membranes. J. Memb. Sci. 2011, 380, 241–250. [Google Scholar] [CrossRef]
- Kim, M.T. Deposition Behavior of Hexamethydisiloxane Films Based on the FTIR Analysis of Si-O-Si and Si-CH3 Bonds. Thin Solid Films 1997, 311, 157–163. [Google Scholar] [CrossRef]
- Wang, S.; Zhang, G.; Han, M.; Li, H.; Zhang, Y.; Ni, J.; Ma, W.; Li, M.; Wang, J.; Liu, Z.; et al. Novel Epoxy-Based Cross-Linked Polybenzimidazole for High Temperature Proton Exchange Membrane Fuel Cells. Int. J. Hydrogen Energy 2011, 36, 8412–8421. [Google Scholar] [CrossRef]
- Zuo, H.R.; Cao, G.P.; Wang, M.; Zhang, H.H.; Song, C.C.; Fang, X.; Wang, T. Controlling the Morphology and Performance of FO Membrane via Adjusting the Atmosphere Humidity during Casting Procedure. Appl. Surf. Sci. 2018, 433, 945–956. [Google Scholar] [CrossRef]
- See Toh, Y.H.; Lim, F.W.; Livingston, A.G. Polymeric Membranes for Nanofiltration in Polar Aprotic Solvents. J. Memb. Sci. 2007, 301, 3–10. [Google Scholar] [CrossRef]
- Dutczak, S.M.; Cuperus, F.P.; Wessling, M.; Stamatialis, D.F. New Crosslinking Method of Polyamide-Imide Membranes for Potential Application in Harsh Polar Aprotic Solvents. Sep. Purif. Technol. 2013, 102, 142–146. [Google Scholar] [CrossRef]
- Marchetti, P.; Jimenez Solomon, M.F.; Szekely, G.; Livingston, A.G. Molecular Separation with Organic Solvent Nanofiltration: A Critical Review. Chem. Rev. 2014, 114, 10735–10806. [Google Scholar] [CrossRef]
- Wang, K.Y.; Li, B.; Chung, T.S. 3D-Macrocycles Impregnated Polybenzimidazole Hollow Fiber Membranes with Excellent Organic Solvent Resistance for Industrial Solvent Recovery. J. Memb. Sci. 2021, 638, 119678. [Google Scholar] [CrossRef]
- Asadi Tashvigh, A.; Luo, L.; Chung, T.S.; Weber, M.; Maletzko, C. A Novel Ionically Cross-Linked Sulfonated Polyphenylsulfone (SPPSU) Membrane for Organic Solvent Nanofiltration (OSN). J. Memb. Sci. 2018, 545, 221–228. [Google Scholar] [CrossRef]
- Asadi Tashvigh, A.; Luo, L.; Chung, T.S.; Weber, M.; Maletzko, C. Performance Enhancement in Organic Solvent Nanofiltration by Double Crosslinking Technique Using Sulfonated Polyphenylsulfone (SPPSU) and Polybenzimidazole (PBI). J. Memb. Sci. 2018, 551, 204–213. [Google Scholar] [CrossRef]
- Gao, Z.F.; Naderi, A.; Wei, W.; Chung, T.S. Selection of Crosslinkers and Control of Microstructure of Vapor-Phase Crosslinked Composite Membranes for Organic Solvent Nanofiltration. J. Memb. Sci. 2020, 616, 118582. [Google Scholar] [CrossRef]
- Sheth, J.P.; Qin, Y.; Sirkar, K.K.; Baltzis, B.C. Nanofiltration-Based Diafiltration Process for Solvent Exchange in Pharmaceutical Manufacturing. J. Memb. Sci. 2003, 211, 251–261. [Google Scholar] [CrossRef]
- Ong, Y.K.; Chung, T.S. Mitigating the Hydraulic Compression of Nanofiltration Hollow Fiber Membranes through a Single-Step Direct Spinning Technique. Environ. Sci. Technol. 2014, 48, 13933–13940. [Google Scholar] [CrossRef] [PubMed]
- Mika, M.; Pihlajam, A.; Nystr, M. Effect of PH on Hydrophilicity and Charge and Their Effect on the Filtration Efficiency of NF Membranes at Different PH. J. Membr. Sci. 2006, 280, 311–320. [Google Scholar] [CrossRef]









| Sample | C1s (%) | N1s (%) | O1s (%) | Si2p (%) | O/Si Ratio |
|---|---|---|---|---|---|
| Unmodified PBI | 79.81 | 17.74 | 2.45 | - | - |
| Modified PBI | 70.37 | 10.05 | 15.26 | 4.32 | 3.53 |
| Membrane | Weight Loss (%) | |||||
|---|---|---|---|---|---|---|
| DMAc | DMF | NMP | ||||
| Unmodified PBI | 30 ± 2 | ![]() | 29 ± 1 | ![]() | 28 ± 0 | ![]() |
| Modified PBI | 0 ± 0 | ![]() | 0 ± 0 | ![]() | 0 ± 0 | ![]() |
Publisher’s Note: MDPI stays neutral with regard to jurisdictional claims in published maps and institutional affiliations. |
© 2022 by the authors. Licensee MDPI, Basel, Switzerland. This article is an open access article distributed under the terms and conditions of the Creative Commons Attribution (CC BY) license (https://creativecommons.org/licenses/by/4.0/).
Share and Cite
Lee, J.; Yang, H.; Bae, T.-H. Polybenzimidazole Membrane Crosslinked with Epoxy-Containing Inorganic Networks for Organic Solvent Nanofiltration and Aqueous Nanofiltration under Extreme Basic Conditions. Membranes 2022, 12, 140. https://doi.org/10.3390/membranes12020140
Lee J, Yang H, Bae T-H. Polybenzimidazole Membrane Crosslinked with Epoxy-Containing Inorganic Networks for Organic Solvent Nanofiltration and Aqueous Nanofiltration under Extreme Basic Conditions. Membranes. 2022; 12(2):140. https://doi.org/10.3390/membranes12020140
Chicago/Turabian StyleLee, Jaewon, Hyeonmin Yang, and Tae-Hyun Bae. 2022. "Polybenzimidazole Membrane Crosslinked with Epoxy-Containing Inorganic Networks for Organic Solvent Nanofiltration and Aqueous Nanofiltration under Extreme Basic Conditions" Membranes 12, no. 2: 140. https://doi.org/10.3390/membranes12020140
APA StyleLee, J., Yang, H., & Bae, T.-H. (2022). Polybenzimidazole Membrane Crosslinked with Epoxy-Containing Inorganic Networks for Organic Solvent Nanofiltration and Aqueous Nanofiltration under Extreme Basic Conditions. Membranes, 12(2), 140. https://doi.org/10.3390/membranes12020140







