Characteristics of Inorganic–Organic Hybrid Membranes Containing Carbon Nanotubes with Increased Iron-Encapsulated Content for CO2 Separation
Abstract
:1. Introduction
2. Materials and Methods
2.1. Materials
2.2. Synthesis of Fe@MWCNTs
2.3. Functionalization of Fe@MWCNTs
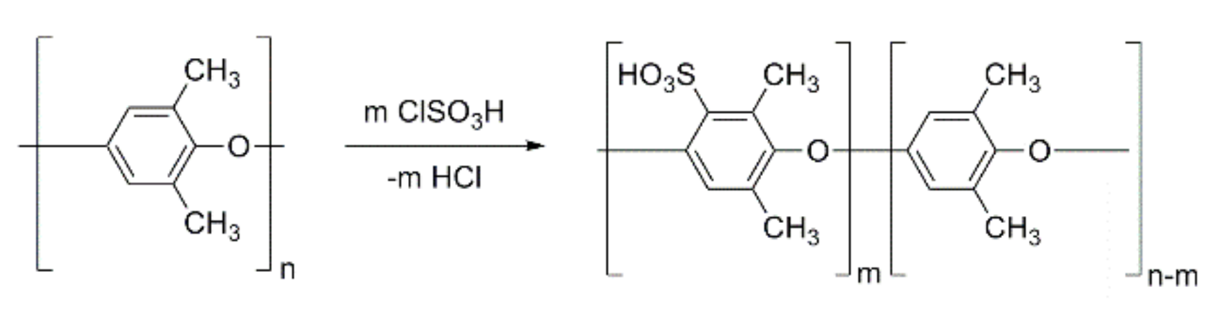
2.4. Sulfonation of PPO
2.5. Hybrid Membrane Preparation and Characterization
2.6. The Evaluation of Gas Transport Parameters
2.7. Modeling of Fe@MWCNT/PPO and Fe@MWCNT-OH/SPPO
3. Results and Discussion
3.1. Magnetic Parameters of Hybrid Membranes
3.2. Mechanical Properties of Hybrid Membranes
3.3. Thermal Properties of Composite Membranes
3.4. Gas Transport Parameters of Hybrid Membranes
4. Conclusions
Author Contributions
Funding
Institutional Review Board Statement
Informed Consent Statement
Data Availability Statement
Conflicts of Interest
References
- Ahmadi, M.; Janakiram, S.; Dai, Z.; Ansaloni, L.; Deng, L. Performance of Mixed Matrix Membranes Containing Porous Two-Dimensional (2D) and Three-Dimensional (3D) Fillers for CO2 Separation. Membranes 2018, 8, 50. [Google Scholar] [CrossRef] [PubMed] [Green Version]
- Bryan, N.; Lasseuguette, E.; van Dalen, M.; Permogorov, N.; Amieiro, A.; Brandani, S.; Ferrari, M.-C. Development of mixed matrix membranes containing zeolites for post-combustion carbon capture. Energy Procedia 2014, 63, 160–166. [Google Scholar] [CrossRef] [Green Version]
- Zhao, J.; Wang, Z.; Wang, J.; Wang, S. High-performance membranes comprising polyaniline nanoparticles incorporated into polyvinylamine matrix for CO2/N2 separation. J. Membr. Sci. 2012, 403–404, 203–215. [Google Scholar] [CrossRef]
- Wu, F.; Dellenback, P.A.; Fan, M. Highly efficient and stable calcium looping based pre-combustion CO2 capture for high-purity H2 production. Mater. Today Energy 2019, 13, 233–238. [Google Scholar] [CrossRef]
- Hillock, A.M.W.; Miller, S.J.; Koros, W.J. Crosslinked mixed matrix membranes for the purification of natural gas: Effects of sieve surface modification. J. Membr. Sci. 2008, 314, 193–199. [Google Scholar] [CrossRef]
- Kokkoli, A.; Zhan, Y.; Angelidaki, I. Microbial electrochemical separation of CO2 for biogas upgrading. Bioresour. Technol. 2018, 247, 380–386. [Google Scholar] [CrossRef] [Green Version]
- Liu, Y.; Peng, D.; He, G.; Wang, S.; Li, Y.; Wu, H.; Jiang, Z. Enhanced CO2 Permeability of Membranes by Incorporating Polyzwitterion@CNT Composite Particles into Polyimide Matrix. ACS Appl. Mater. Interfaces 2014, 6, 13051–13060. [Google Scholar] [CrossRef]
- Zhu, X.; Logan, B.E. Microbial electrolysis desalination and chemical-production cell for CO2 sequestration. Bioresour. Technol. 2014, 159, 24–29. [Google Scholar] [CrossRef]
- Kusworo, T.D.; Budiyono Ismail, A.F.; Mustafa, A. Fabrication and Characterization of Polyimide-CNTs hybrid membrane to enhance high performance CO2 separation. Int. J. Sci. Eng. 2015, 8, 115–119. [Google Scholar] [CrossRef]
- Perez, E.V.; Balkus, K.J.; Ferraris, J.P.; Musselman, I.H. Mixed-matrix membranes containing MOF-5 for gas separations. J. Membr. Sci. 2009, 328, 165–173. [Google Scholar] [CrossRef]
- Hasebe, S.; Aoyama, S.; Tanaka, M.; Kawakami, H. CO2 separation of polymer membranes containing silica nanoparticles with gas permeable nano-space. J. Membr. Sci. 2017, 536, 148–155. [Google Scholar] [CrossRef]
- Sarfraz, M.; Ba-Shammakh, M. A novel zeolitic imidazolate framework based mixed-matrix membrane for efficient CO2 separation under wet conditions. J. Taiwan Inst. Chem. Engin. 2016, 65, 427–436. [Google Scholar] [CrossRef]
- Ahmad, J.; Hagg, M.-B. Development of matrimid/zeolite 4A mixed matrix membranes using low boiling point solvent. Sep. Purif. Technol. 2013, 115, 190–197. [Google Scholar] [CrossRef]
- Sridhar, S.; Smith, B.; Ramakrishna, M.; Aminabhavi, T.M. Modified poly(phenylene oxide) membranes for the separation of carbon dioxide from methane. J. Membr. Sci. 2006, 280, 202–209. [Google Scholar] [CrossRef]
- Bershtein, V.A.; Egorova, L.M.; Yakushev, P.N.; Georgoussis, G.; Kyritsis, A.; Pissis, P.; Sysel, P.; Brozova, L. Molecular dynamics in nanostructured polyimide-silica hybrid materials and their thermal stability. J. Polym. Sci. B 2002, 40, 1056. [Google Scholar] [CrossRef]
- Chung, T.S.; Jiang, L.Y.; Li, Y.; Kulprathipanja, S. Mixed matrix membranes comprising organic polymers with dispersed inorganic fillers for gas separation. Progr. Polym. Sci. 2007, 32, 483. [Google Scholar] [CrossRef]
- Luebke, D.; Myers, C.; Pennline, H. Hybrid Membranes for Selective Carbon Dioxide Separation from Fuel Gas. Energy Fuels 2006, 20, 1906–1913. [Google Scholar] [CrossRef]
- Vu, D.Q.; Koros, W.J.; Miller, S.J. Mixed matrix membranes using carbon molecular sieves: I. Preparation and experimental results. J. Membr. Sci. 2003, 211, 311–334. [Google Scholar] [CrossRef]
- Chowdhury, G.; Kruczek, B.; Matsuura, T. Polyphenylene Oxide and Modified Polyphenylene Oxide Membranes, Gas, Vapor and Liquid Separation; Springer Science + Business Media: New York, NY, USA, 2001. [Google Scholar]
- Kruczek, B.; Matsuura, T. Effect of metal substitution of high molecular weight sulfonated polyphenylene oxide membranes on their gas separation performance. J. Membr. Sci. 2000, 167, 203–216. [Google Scholar] [CrossRef]
- Chen, C.; Martin, C. Gas-transport properties of sulfonated polystyrenes. J. Membr. Sci. 1994, 9, 51–61. [Google Scholar] [CrossRef]
- Chiou, J.S.; Paul, D.R. Gas permeation in a dry Nafion membrane. Ind. Eng. Chem. Res. 1988, 27, 2161–2164. [Google Scholar] [CrossRef]
- Khan, A.L.; Li, X.; Vankelecom, I.F.J. Mixed-gas CO2/CH4 and CO2/N2 separation with sulfonated PEEK membranes. J. Membr. Sci. 2011, 372, 87–96. [Google Scholar] [CrossRef]
- Kruczek, B.; Matsuura, T. Development and characterization of homogeneous membranes made from high molecular weight sulfonated polyphenylene oxide. J. Membr. Sci. 1998, 146, 263–275. [Google Scholar] [CrossRef]
- Dukali, R.M.; Radovic, I.; Stojanovic, D.B.; Uskokovic, P.S.; Romcevic, N.; Radojevic, V. Preparation, characterization and mechanical properties of Bi12SiO20-PMMA composite films. J. Alloys Compd. 2014, 583, 376–381. [Google Scholar] [CrossRef]
- Vinh-Thang, H.; Kaliaguine, S. Predictive Models for Mixed-Matrix Membrane Performance: A Review. Chem. Rev. 2013, 113, 4980–5028. [Google Scholar] [CrossRef]
- He, Z.; Pinnau, I.; Morisato, A. Nanostructured poly(4-methyl-2-pentyne)/silica hybrid membranes for gas separation. Desalination 2002, 146, 11–15. [Google Scholar] [CrossRef]
- Sysel, P.; Minko, E.; Hauf, M.; Friess, K.; Hynek, V.; Vopicka, O.; Pilnacek, K. Mixed matrix membranes based on hyperbranched polyimide and mesoporous silica for gas separation. Desalination Water Treat. 2011, 34, 211–215. [Google Scholar] [CrossRef] [Green Version]
- Suzuki, T.; Yamada, Y. Physical and gas transport properties of novel hyperbranched polyimide/silica hybrid membranes. Polym. Bull. 2005, 53, 139–146. [Google Scholar] [CrossRef]
- Krystl, V.; Hradil, J.; Bernauer, B.; Kocirik, M. Heterogeneous membranes based on zeolites for separation of small molecules. React. Funct. Polym. 2001, 48, 129–139. [Google Scholar] [CrossRef]
- Huang, J.; Li, X.; Luo, L.; Wang, H.; Wang, X.; Li, K. Releasing silica-confined macromolecular crystallization to enhance mechanical properties of polyimide/silica hybrid fibers. Compos. Sci. Technol. 2014, 101, 24–31. [Google Scholar] [CrossRef]
- Ionita, M.; Vasile, E.; Crica, L.E.; Voicu, S.I.; Pandele, A.M.; Dinescu, S.; Predoiu, L.; Galateanu, B.; Hermenean, A.; Costache, M. Synthesis, characterization and in vitro studies of polysulfone/graphene oxide composite membranes. Compos. B Eng. 2015, 72, 108–115. [Google Scholar] [CrossRef]
- Chandrappa, K.G.; Venkatesha, T.V. Generation of Co3O4 microparticles by solution combustion method and its Zn–Co3O4 composite thin films for corrosion protection. J. Alloys Compd. 2012, 542, 68–77. [Google Scholar] [CrossRef]
- Khafagy, R.M. Synthesis, characterization, magnetic and electrical properties of the novel conductive and magnetic PANI/MgFe2O4 nanocomposite having the core–shell structure. J. Alloys Compd. 2011, 509, 9849–9857. [Google Scholar] [CrossRef]
- Boncel, S.; Herman, A.P.; Walczak, K.Z. Magnetic carbon nanostructures in medicine. J. Mater. Chem. 2012, 22, 31–37. [Google Scholar] [CrossRef]
- Bok-Badura, J.; Jakobik-Kolon, A.; Turek, M.; Boncel, S.; Karon, K. A versatile method for direct determination of iron content in multi-wall carbon nanotubes by inductively coupled plasma atomic emission spectrometry with slurry sample introduction. RSC Adv. 2015, 5, 101634–101640. [Google Scholar] [CrossRef]
- Liu, S.; Boeshore, S.; Fernandez, A.; Sayagues, M.J.; Fischer, J.E.; Gedanken, A. Study of cobalt-filled carbon nanoflasks. J. Phys. Chem. B 2001, 105, 7606–7611. [Google Scholar] [CrossRef]
- Chang, I.P.; Hwang, K.C.; Chiang, C.S. Preparation of Fluorescent Magnetic Nanodiamonds and Cellular Imaging. J. Am. Chem. Soc. 2008, 130, 15476–15481. [Google Scholar] [CrossRef]
- Oueiny, C.; Berlioz, S.; Perrin, F.X. Carbon nanotube–PANI composites. Prog. Polym. Sci. 2014, 39, 707–748. [Google Scholar] [CrossRef]
- Muhulet, A.; Miculescu, F.; Voicu, S.I.; Schütt, F.; Thakur, V.K.; Mishra, Y.K. Fundamentals and scopes of doped carbon nanotubes towards energy and biosensing applications. Mater. Today Energy 2018, 9, 154–186. [Google Scholar] [CrossRef]
- Wu, B.; Li, X.; An, D.; Zhao, S.; Wang, Y. Electro-casting aligned MWCNTs/polystyrene composite membranes for enhanced gas separation performance. J. Membr. Sci. 2014, 462, 62–68. [Google Scholar] [CrossRef]
- Sieffert, D.; Staudt, C. Preparation of hybrid materials containing copolyimides covalently linked with carbon nanotubes. Sep. Purif. Technol. 2011, 77, 99–103. [Google Scholar] [CrossRef]
- Kim, A.R.; Vinothkannan, M.; Song, M.H.; Lee, J.Y.; Lee, H.K.; Yoo, D.J. Amine functionalized carbon nanotube (ACNT) filled in sulfonated poly(ether ether ketone) membrane: Effects of ACNT in improving polymer electrolyte fuel cell performance under reduced relative humidity. Compos. B Eng. 2020, 188, 107890. [Google Scholar] [CrossRef]
- Rybak, A.; Grzywna, Z.J.; Sysel, P. Mixed matrix membranes composed of various polymer matrices and magnetic powder for air separation. Sep. Purif. Technol. 2013, 118, 424–431. [Google Scholar] [CrossRef]
- Rybak, A.; Kaszuwara, W. Magnetic properties of the magnetic hybrid membranes based on various polymer matrices and inorganic fillers. J. Alloys Compd. 2015, 648, 205–214. [Google Scholar] [CrossRef]
- Rybak, A.; Rybak, A.; Kaszuwara, W.; Awietjan, S.; Jaroszewicz, J. The rheological and mechanical properties of magnetic hybrid membranes for gas mixtures separation. Mater. Lett. 2016, 183, 170–174. [Google Scholar] [CrossRef]
- Rybak, A.; Rybak, A.; Kaszuwara, W.; Awietjan, S.; Sysel, P.; Grzywna, Z.J. The studies on novel magnetic polyimide inorganic-organic hybrid membranes for air separation. Mater. Lett. 2017, 208, 14–18. [Google Scholar] [CrossRef]
- Rybak, A.; Rybak, A.; Kaszuwara, W.; Awietjan, S.; Molak, R.; Sysel, P.; Grzywna, Z.J. The magnetic inorganic-organic hybrid membranes based on polyimide matrices for gas separation. Compos. B Eng. 2017, 110, 161–170. [Google Scholar] [CrossRef]
- Rybak, A.; Rybak, A.; Kaszuwara, W.; Boncel, S. Poly(2,6-dimethyl-1,4-phenylene oxide) hybrid membranes filled with magnetically aligned iron-encapsulated carbon nanotubes (Fe@MWCNTs) for enhanced air separation. Diam. Relat. Mater. 2018, 83, 21–29. [Google Scholar] [CrossRef]
- Rybak, A.; Rybak, A.; Sysel, P. Modeling of Gas Permeation through Mixed-Matrix Membranes Using Novel Computer Application MOT. Appl. Sci. 2018, 8, 1166. [Google Scholar] [CrossRef] [Green Version]
- Rybak, A.; Rybak, A.; Kaszuwara, W.; Nyc, M. Metal substituted sulfonated poly(2,6-dimethyl-1,4-phenylene oxide) hybrid membranes with magnetic fillers for gas separation. Sep. Purif. Technol. 2019, 210, 479–490. [Google Scholar] [CrossRef]
- Boncel, S.; Herman, A.P.; Budniok, S.; Jędrysiak, R.G.; Jakobik-Kolon, A. In vitro targeting and selective killing of T47D breast cancer cells by purpurin and 5-fluorouracil anchored to magnetic CNTs: Nitrene-based functionalization versus uptake, cytotoxicity, and intracellular fate. ACS Biomater. Sci. Eng. 2016, 2, 1273–1285. [Google Scholar] [CrossRef]
- Zniszczoł, A.; Herman, A.P.; Szymanska, K.; Mrowiec-Białon, J.; Walczak, K.Z.; Jarzebski, A.; Boncel, S. Covalently immobilized lipase on aminoalkyl-, carboxy- and hydroxy-multi-wall carbon nanotubes in the enantioselective synthesis of Solketal esters. Enzym. Microb. Technol. 2016, 87–88, 61–69. [Google Scholar] [CrossRef]
- Huang, R.Y.M.; Kim, J.J. Synthesis and transport properties of thin composite membranes. I. Synthesis of PPO polymer and its sulfonation. J. Appl. Polym. Sci. 1984, 29, 4017. [Google Scholar] [CrossRef]
- Boncel, S.; Pluta, A.; Skonieczna, M.; Gondela, A.; Maciejewska, B.; Herman, A.P.; Jędrysiak, R.G.; Budniok, S.; Komędera, K.; Błachowski, A.; et al. Hybrids of Iron-Filled Multiwall Carbon Nanotubes and Anticancer Agents as Potential Magnetic Drug Delivery Systems: In Vitro Studies against Human Melanoma, Colon Carcinoma, and Colon Adenocarcinoma. J. Nanomater. 2017, 2017, 1262309. [Google Scholar] [CrossRef] [Green Version]
- Chehrazi, E.; Sharif, A.; Omidkhah, M.; Karimi, M. Modeling the Effects of Interfacial Characteristics on Gas Permeation Behavior of Nanotube−Mixed Matrix Membranes. ACS Appl. Mater. Interfaces 2017, 9, 37321–37331. [Google Scholar] [CrossRef]
- Hamilton, R.; Crosser, O. Thermal Conductivity of Heterogeneous two-component systems. Ind. Eng. Chem. Fundam. 1962, 1, 187–191. [Google Scholar] [CrossRef]
- Kang, D.Y.; Jones, C.W.; Anir, S. Modeling molecular transport in composite membranes with tubular fillers. J. Membr. Sci. 2011, 381, 50–63. [Google Scholar] [CrossRef]
- Witkowska, D. Basics of Econometrics and Forecasting; Economic Publishing House: Krakow, Poland, 2006. [Google Scholar]
- Boncel, S.; Pattinson, S.W.; Geiser, V.; Shaffer, M.S.P. En route to controlled catalytic CVD synthesis of densely packed and vertically aligned nitrogen-doped carbon nanotube arrays. Beilstein J. Nanotechnol. 2014, 5, 219–233. [Google Scholar] [CrossRef] [Green Version]
- Yang, S.; Gong, C.; Guan, R.; Zou, H.; Dai, H. Sulfonated poly(phenylene oxide) membranes as promising materials for new proton exchange membranes. Polym. Adv. Technol. 2006, 17, 360–365. [Google Scholar] [CrossRef]












| wt% Fe@MWCNT | B (mT) | Coercivity (kA/m) | Saturation Magnetization (emu/g) |
|---|---|---|---|
| 0.5 | 0 | 17.821 | 0.654 |
| 1 | 0 | 35.436 | 0.690 |
| 2 | 0 | 23.616 | 0.761 |
| 5 | 0 | 19.224 | 0.834 |
| 10 | 0 | 14.772 | 0.899 |
| 0.5 | 40 | 52.704 | 0.716 |
| 1 | 40 | 30.912 | 0.763 |
| 2 | 40 | 26.212 | 0.939 |
| 5 | 40 | 18.336 | 1.170 |
| 10 | 40 | 13.015 | 1.152 |
| 0.5 | 100 | 18.240 | 0.790 |
| 1 | 100 | 18.624 | 0.886 |
| 2 | 100 | 21.888 | 1.256 |
| 5 | 100 | 23.616 | 1.343 |
| 10 | 100 | 30.005 | 1.681 |
| (a) | (b) | ||||||||||||
| Membrane Fe@MWCNT/ PPO with Fe@MWCNTs (wt%) | α CO2/N2 | N2 | CO2 | N2 | CO2 | ||||||||
| P | S | P | S | P | S | P | S | ||||||
| 108 (cm2/s) | (Barrer) | 102 (cm3STP/ cm3cmHg) | 108 (cm2/s) | (Barrer) | 102 (cm3STP/ cm3cmHg) | 108 (cm2/s) | (Barrer) | 102 (cm3STP/ cm3cmHg) | 108 (cm2/s) | (Barrer) | 102 (cm3STP/ cm3cmHg) | ||
| 0.0 | 14.67 | 0.43 ± 0.04 | 3.40 ± 0.31 | 7.87 ± 0.71 | 7.60 ± 0.46 | 49.80 ± 2.99 | 6.55 ± 0.39 | 0.43 ± 0.06 | 3.40 ± 0.31 | 7.87 ± 0.71 | 7.60 ± 0.46 | 49.80 ± 2.99 | 6.55 ± 0.39 |
| 0.5 | 14.28 | 0.52 ± 0.05 | 3.90 ± 0.35 | 7.54 ± 0.68 | 8.32 ± 0.50 | 55.78 ± 3.34 | 6.70 ± 0.40 | 0.61 ± 0.06 | 4.42 ± 0.40 | 7.21 ± 0.68 | 9.15 ± 0.55 | 61.35 ± 3.68 | 6.70 ± 0.40 |
| 1.0 | 13.89 | 0.42 ± 0.05 | 3.27 ± 0.29 | 7.71 ± 0.69 | 7.39 ± 0.44 | 45.42 ± 2.73 | 6.15 ± 0.37 | 0.59 ± 0.05 | 4.50 ± 0.40 | 7.64 ± 0.69 | 9.60 ± 0.57 | 63.58 ± 3.81 | 6.62 ± 0.39 |
| 2.0 | 14.03 | 0.34 ± 0.03 | 2.51 ± 0.23 | 7.37 ± 0.66 | 5.66 ± 0.34 | 35.26 ± 2.11 | 6.23 ± 0.37 | 0.51 ± 0.05 | 3.72 ± 0.33 | 7.31 ± 0.66 | 10.19 ± 0.61 | 66.99 ± 4.02 | 6.57 ± 0.39 |
| 5.0 | 14.14 | 0.30 ± 0.03 | 2.17 ± 0.19 | 7.30 ± 0.66 | 4.88 ± 0.29 | 30.73 ± 1.84 | 6.30 ± 0.38 | 0.48 ± 0.05 | 3.47 ± 0.31 | 7.23 ± 0.66 | 9.27 ± 0.55 | 61.45 ± 3.68 | 6.63 ± 0.39 |
| 10.0 | 14.28 | 0.26 ± 0.03 | 1.90 ± 0.17 | 7.31 ± 0.66 | 4.08 ± 0.24 | 27.14 ± 1.63 | 6.65 ± 0.40 | 0.42 ± 0.04 | 3.13 ± 0.30 | 7.40 ± 0.66 | 7.78 ± 0.46 | 51.57 ± 3.09 | 6.64 ± 0.40 |
| (c) | (d) | ||||||||||||
| Membrane Fe@MWCNT-OH/ SPPO with Fe@MWCNT-OH ( wt%) | α CO2/N2 | N2 | CO2 | N2 | CO2 | ||||||||
| P | S | P | S | P | S | P | S | ||||||
| 108 (cm2/s) | (Barrer) | 102 (cm3STP/ cm3cmHg) | 108 (cm2/s) | (Barrer) | 102 (cm3STP/ cm3cmHg) | 108 (cm2/s) | (Barrer) | 102 (cm3STP/ cm3cmHg) | 108 (cm2/s) | (Barrer) | 102 (cm3STP/ cm3cmHg) | ||
| 0.0 | 28.83 | 0.13 ± 0.01 | 0.78 ± 0.07 | 6.00 ± 0.54 | 2.84 ± 0.18 | 22.49 ± 1.57 | 7.92 ± 0.55 | 0.13 ± 0.01 | 0.78 ± 0.07 | 6.00 ± 0.54 | 2.84 ± 0.18 | 22.49 ± 1.57 | 7.92 ± 0.55 |
| 0.5 | 29.47 | 0.15 ± 0.01 | 0.88 ± 0.08 | 5.87 ± 0.53 | 2.98 ± 0.21 | 25.86 ± 1.81 | 8.67 ± 0.61 | 0.21 ± 0.02 | 1.13 ± 0.10 | 5.35 ± 0.45 | 3.22 ± 0.21 | 31.04 ± 2.17 | 9.65 ± 0.67 |
| 1.0 | 30.19 | 0.15 ± 0.01 | 0.91 ± 0.08 | 6.08 ± 0.55 | 3.01 ± 0.22 | 27.44 ± 1.92 | 9.11 ± 0.64 | 0.21 ± 0.02 | 1.19 ± 0.10 | 5.63 ± 0.46 | 3.28 ± 0.22 | 35.67 ± 2.49 | 10.87 ± 0.76 |
| 2.0 | 31.80 | 0.18 ± 0.02 | 1.14 ± 0.10 | 6.39 ± 0.58 | 3.04 ± 0.24 | 36.21 ± 2.53 | 11.92 ± 0.83 | 0.25 ± 0.02 | 1.49 ± 0.13 | 5.93 ± 0.48 | 3.35 ± 0.24 | 50.69 ± 3.54 | 15.14 ± 1.05 |
| 5.0 | 34.60 | 0.21 ± 0.02 | 1.41 ± 0.12 | 6.80 ± 0.61 | 3.07 ± 0.25 | 48.92 ± 3.42 | 15.95 ± 1.12 | 0.29 ± 0.03 | 1.85 ± 0.16 | 6.30 ± 0.54 | 3.41 ± 0.25 | 73.37 ± 5.13 | 21.49 ± 1.50 |
| 10.0 | 34.14 | 0.21 ± 0.02 | 1.48 ± 0.13 | 6.91 ± 0.62 | 3.25 ± 0.26 | 50.60 ± 3.54 | 15.57 ± 1.09 | 0.30 ± 0.03 | 1.94 ± 0.17 | 6.40 ± 0.55 | 3.48 ± 0.26 | 86.02 ± 6.02 | 24.70 ± 1.73 |
| Membrane | φ | Experimental Data | Theoretical Data | Parameters for Simulation | AARE (%) |
|---|---|---|---|---|---|
| Peff/PmCO2 | Peff/PmCO2 | ||||
| PPO/Fe@MWCNT in a strong magnetic field | 0.005 | 1.232 | 1.039 | aint = 525 nm; PNT/Pm = 5000 | 7.02 |
| 0.010 | 1.277 | 1.079 | |||
| 0.020 | 1.345 | 1.156 | |||
| 0.050 | 1.234 | 1.383 | |||
| 0.100 | 1.035 | 1.742 | |||
| SPPO/Fe@MWCNT-OH without magnetic field | 0.005 | 1.150 | 1.103 | aint = 200 nm; PNT/Pm = 50 | 3.10 |
| 0.010 | 1.220 | 1.206 | |||
| 0.020 | 1.610 | 1.409 | |||
| 0.050 | 2.175 | 2.004 | |||
| 0.100 | 2.250 | 2.951 | |||
| SPPO/Fe@MWCNT-OH in a weak magnetic field | 0.005 | 1.323 | 1.157 | aint = 150 nm; PNT/Pm = 1000 | 3.13 |
| 0.010 | 1.403 | 1.313 | |||
| 0.020 | 1.852 | 1.622 | |||
| 0.050 | 2.501 | 2.529 | |||
| 0.100 | 2.925 | 3.974 | |||
| SPPO/Fe@MWCNT-OH in a strong magnetic field | 0.005 | 1.380 | 1.209 | aint = 115 nm; PNT/Pm = 10,000 | 3.71 |
| 0.010 | 1.586 | 1.417 | |||
| 0.020 | 2.254 | 1.830 | |||
| 0.050 | 3.263 | 3.041 | |||
| 0.100 | 3.825 | 4.974 |
Publisher’s Note: MDPI stays neutral with regard to jurisdictional claims in published maps and institutional affiliations. |
© 2022 by the authors. Licensee MDPI, Basel, Switzerland. This article is an open access article distributed under the terms and conditions of the Creative Commons Attribution (CC BY) license (https://creativecommons.org/licenses/by/4.0/).
Share and Cite
Rybak, A.; Rybak, A.; Kaszuwara, W.; Boncel, S.; Kolanowska, A.; Kolev, S.D. Characteristics of Inorganic–Organic Hybrid Membranes Containing Carbon Nanotubes with Increased Iron-Encapsulated Content for CO2 Separation. Membranes 2022, 12, 132. https://doi.org/10.3390/membranes12020132
Rybak A, Rybak A, Kaszuwara W, Boncel S, Kolanowska A, Kolev SD. Characteristics of Inorganic–Organic Hybrid Membranes Containing Carbon Nanotubes with Increased Iron-Encapsulated Content for CO2 Separation. Membranes. 2022; 12(2):132. https://doi.org/10.3390/membranes12020132
Chicago/Turabian StyleRybak, Aleksandra, Aurelia Rybak, Waldemar Kaszuwara, Sławomir Boncel, Anna Kolanowska, and Spas D. Kolev. 2022. "Characteristics of Inorganic–Organic Hybrid Membranes Containing Carbon Nanotubes with Increased Iron-Encapsulated Content for CO2 Separation" Membranes 12, no. 2: 132. https://doi.org/10.3390/membranes12020132
APA StyleRybak, A., Rybak, A., Kaszuwara, W., Boncel, S., Kolanowska, A., & Kolev, S. D. (2022). Characteristics of Inorganic–Organic Hybrid Membranes Containing Carbon Nanotubes with Increased Iron-Encapsulated Content for CO2 Separation. Membranes, 12(2), 132. https://doi.org/10.3390/membranes12020132

