Electrodialysis Desalination with Simultaneous pH Adjustment Using Bilayer and Bipolar Membranes, Modeling and Experiment
Abstract
1. Introduction
2. Materials and Methods
2.1. Laboratory Electrodialysis Setup
2.1.1. Reagents and Analytics
2.1.2. Integral Current Efficiency
2.2. Membranes
3. Kinetic Model of the Electrodialysis Process
3.1. Ideally Selective Bipolar Membrane in Strong 1-1 Electrolyte Solution (Case I)
3.2. Bilayer Membrane in Strong 1-1 Electrolyte Solution (Case II)
3.3. Ideally Selective Bipolar Membrane in Solution Containing Weak Electrolyte Anions (Case III)
3.4. Ideally Selective Bipolar Membrane in a Solution Containing a Strong and a Weak Electrolyte (Case IV)
3.5. Bilayer Membrane in Solution Containing Strong and Weak Electrolyte (Case V)
4. Results and Discussion
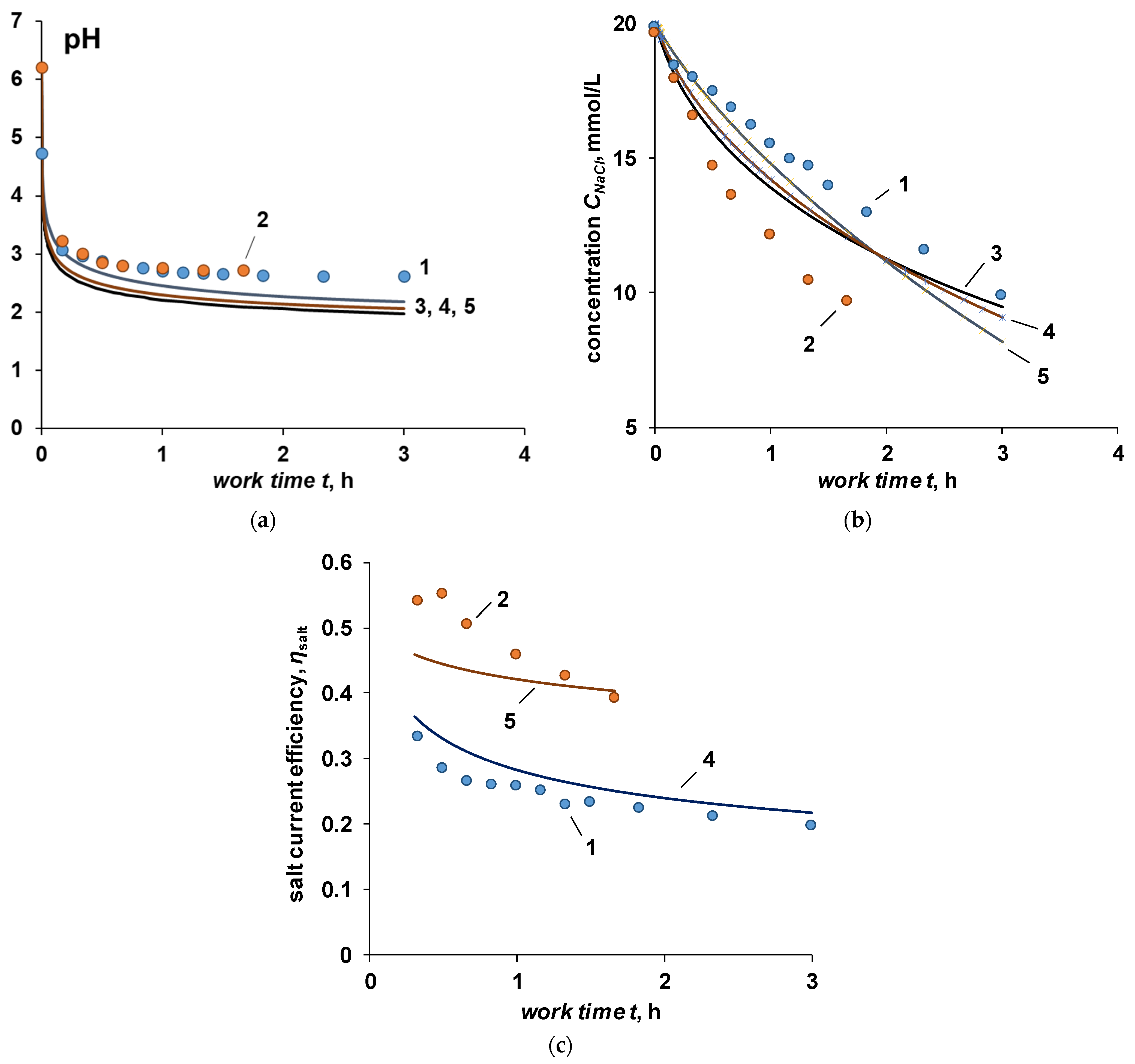
4.1. The Results of Adjusting the pH of the NaCl Solution with Simultaneous Desalting in Circulation Mode
4.2. Conversion of Sodium Acetate to Acetic Acid
4.3. Adjusting pH in a Mixture of Strong and Weak Electrolytes
4.4. The Possibility of Using the Results for the Calculation of Electrodialyzers-Synthesizers
- set the composition of the solution,
- set the required linear velocity of the solution flow through the chamber,
- calculate possible options for adjusting pH for various channel lengths and current densities and choose the most appropriate option for a particular case,
- choose the closest standard electrodialyzer in terms of dimensions,
- calculate the required amount of membrane pairs, add 10% to the calculated amount,
- if the obtained number of membrane pairs exceeds the recommended maximum number of membrane pairs for this device, repeat the calculation for the next electrodialysis module (Table 3).
5. Conclusions
Author Contributions
Funding
Data Availability Statement
Acknowledgments
Conflicts of Interest
List of Symbols and Abbreviations
| Subscripts and superscripts: | ||
| Upper indexes “dc” and “cc” refer to the parameters in the desalination and concentration compartments. | ||
| Upper indexes “BM” and “C” refer to the transfer of ions through bilayer and cation-exchange membrane. | ||
| Lower indexes “Na”, “Cl”, “H”, “OH” refer to the sodium, chloride, hydrogen, hydroxyl ions. | ||
| Lower indexes “A–” and “A” refer to the ionic form of weak electrolyte and to the overall concentration of all forms of weak electrolyte. | ||
| Abbreviations: | ||
| ED | electrodialysis | |
| BMED | bipolar membranes | |
| BPM | bipolar membrane | |
| BM | bilayer membrane | |
| Greek letters: | ||
| Parameter | Description | Dimensions |
| time | s | |
| English letters: | ||
| Parameter | Description | Dimensions |
| c | concentration | mol/L |
| D | diffusion coefficient | cm2/s |
| F | Faraday’s constant | A·s/mol |
| g | separator porosity | |
| h | intermembrane distance | cm |
| i | current density | A/dm2 |
| J | ion flux | mol/s |
| Kd | weak electrolyte dissociation constant | |
| Kw | ionic product of water | |
| n | number of elementary cells | |
| PNa/H | specific permeability coefficient | |
| Q | solution volume flow rate | m3/h |
| r | solute flux proportionality factor | |
| R | universal gas constant | J/(K·mol) |
| S | membrane area | dm2 |
| T | absolute temperature | K |
| Ti | ion effective transport number | |
| U | potential drop | V |
| v | solution linear velocity | m/s |
| V | solution volume | L |
| w | width of the membrane channel | m |
| W(z) | Lambert W-function of z argument | |
| zi | charge of ion of i-type | |
Appendix A
| Case | Ion | Equation |
|---|---|---|
| Ideally selective bipolar membrane in strong 1-1 electrolyte solution (case I) | Na+ | |
| H+ | ||
| Cl− | Remains constant | |
| Bilayer membrane in strong 1-1 electrolyte solution (case II) | Na+ | , |
| H+ | ||
| Cl− | ||
| Ideally selective bipolar membrane in solution containing weak electrolyte anions (case III) | 1 Na+ | |
| 2 Na+ | ||
| H+ | ||
| A– | ||
| Cl− | Remains constant | |
| HA | ||
| Ideally selective bipolar membrane in a solution containing a strong and a weak electrolyte (case IV) | Na+ | |
| H+ | ||
| A– | ||
| Cl− | Remains constant | |
| HA | ||
| Bilayer membrane in solution containing strong and weak electrolyte (case V) | Na+ | |
| H+ | ||
| A– | ||
| Cl− | ||
| HA |
Appendix B
| Parameter | Measured Value |
|---|---|
| pH | 8.0 |
| Specific conductivity, mS/cm | 0.704 |
| Sodium concentration, mmol/L | 7.43 |
| Chloride concentration, mmol/L | 1.26 |
| Sulfate concentration, mmol/L | 1.29 |
| Hydrocarbonate concentration, mmol/L | 3.59 |
Appendix C
| Parameter | Value |
|---|---|
| Membrane channel dimensions: | |
| length L, cm | 40 |
| width w, cm | 10 |
| intermembrane distance h, mm | 0,9 |
| Number of elementary cells n, pcs | 25 |
| Solution flow path | Parallel co-flow |
| Elementary cell configuration | Two-chamber (BPM-CEM) |
| Materials: | |
| Intermembrane separators | HDPE |
| Separators-turbulazers | HDPE mesh, rectangular cells, cell size 4 × 4 mm, placed at 45° to the flow of solution |
| cathode | Ti/Pt |
| anode | Ti/Pt |
References
- Finlay, K.; Bogard, M.J. pH of Inland Waters. Encycl. Inl. Waters 2022, 2, 112–122. [Google Scholar] [CrossRef]
- Berry, R.E.; Wagner, C.J.; Haven, W. Method for Preparing Dehydrated Deacidic Citrus Juice Product. U.S. Patent 3,723,133, 27 March 1973. [Google Scholar]
- Sofralab, F. Deacidification of Food Liquids. U.S. Patent 4,461,778, 24 July 1984. [Google Scholar]
- Salmon, M. Acidulation of Milk. U.S. Patent 4,423,081, 27 December 1983. [Google Scholar]
- Bailly, M. Production of organic acids by bipolar electrodialysis: Realizations and perspectives. Desalination 2002, 144, 157–162. [Google Scholar] [CrossRef]
- Bailly, M.; Balmann, H.R.; Aimar, P.; Lutin, F.; Cheryan, M. Production processes of fermented organic acids targeted around membrane operations: Design of the concentration step by conventional electrodialysis. J. Membr. Sci. 2001, 191, 129–142. [Google Scholar] [CrossRef]
- Ibeas, V.; Correia, A.C.; Jordão, A.M. Wine tartrate stabilization by different levels of cation exchange resin treatments: Impact on chemical composition, phenolic profile and organoleptic properties of red wines. Food Res. Int. 2015, 69, 364–372. [Google Scholar] [CrossRef]
- Kontogiannopoulos, K.N.; Patsios, S.I.; Karabelas, A.J. Tartaric acid recovery from winery lees using cation exchange resin: Optimization by Response Surface Methodology. Sep. Purif. Technol. 2016, 165, 32–41. [Google Scholar] [CrossRef]
- Gomez Benítez, J.; Palacios Macías, V.M.; Sánchez Pazo, J.A.; Pérez Rodriguez, L. Industrial development of proton exchange for tartrate stabilization of sherry wines. Eur. Food Res. Technol. 2002, 214, 418–422. [Google Scholar] [CrossRef]
- Lasanta, C.; Caro, I.; Pérez, L. The influence of cation exchange treatment on the final characteristics of red wines. Food Chem. 2013, 138, 1072–1078. [Google Scholar] [CrossRef]
- Vera, E.; Dornier, M.; Ruales, J.; Vaillant, F.; Reynes, M. Comparison between different ion exchange resins for the deacidification of passion fruit juice. J. Food Eng. 2003, 57, 199–207. [Google Scholar] [CrossRef]
- Li, N.; Wei, Y.; Li, X.; Wang, J.J.; Zhou, J.; Wang, J.J. Optimization of deacidification for concentrated grape juice. Food Sci. Nutr. 2019, 7, 2050–2058. [Google Scholar] [CrossRef]
- Rialland, J.-P.; Barbier, J.-P. Procede de Traitement du Lait par une Resine Echangeuse de Cations en Vue de la Fabrication de la Caseine et du Lactoserum. France Patent 2,480,568, 14 September 1984. [Google Scholar]
- Wang, Y.; Jiang, C.; Bazinet, L.; Xu, T. Electrodialysis-Based Separation Technologies in the Food Industry. Sep. Funct. Mol. Food Membr. Technol. 2019, 349–381. [Google Scholar] [CrossRef]
- El Rayess, Y.; Mietton-Peuchot, M. Membrane Technologies in Wine Industry: An Overview. Crit. Rev. Food Sci. Nutr. 2016, 56, 2005–2020. [Google Scholar] [CrossRef] [PubMed]
- Pismenskaya, N.; Bdiri, M.; Sarapulova, V.; Kozmai, A.; Fouilloux, J.; Baklouti, L.; Larchet, C.; Renard, E.; Dammak, L. A Review on Ion-Exchange Membranes Fouling during Electrodialysis Process in Food Industry, Part 2: Influence on Transport Properties and Electrochemical Characteristics, Cleaning and Its Consequences. Membranes 2021, 11, 811. [Google Scholar] [CrossRef] [PubMed]
- Liu, G.; Wu, D.; Chen, G.; Halim, R.; Liu, J.; Deng, H. Comparative study on tartaric acid production by two-chamber and three-chamber electro-electrodialysis. Sep. Purif. Technol. 2021, 263, 118403. [Google Scholar] [CrossRef]
- Simons, R. Electric field effects on proton transfer between ionizable groups and water in ion exchange membranes. Electrochim. Acta 1984, 29, 151–158. [Google Scholar] [CrossRef]
- Simons, R. Water splitting in ion exchange membranes. Electrochim. Acta 1985, 30, 275–282. [Google Scholar] [CrossRef]
- Zabolotskii, V.I.; Shel’deshov, N.V.; Gnusin, N.P.; Shel, N.V.; Gnusin, N.P.; Shel’deshov, N.V.; Gnusin, N.P. Dissociation of Water Molecules in Systems with Ion-exchange Membranes. Russ. Chem. Rev. 1988, 57, 801–808. [Google Scholar] [CrossRef]
- Pärnamäe, R.; Mareev, S.; Nikonenko, V.; Melnikov, S.; Sheldeshov, N.; Zabolotskii, V.; Hamelers, H.V.M.; Tedesco, M. Bipolar membranes: A review on principles, latest developments, and applications. J. Membr. Sci. 2021, 617, 118538. [Google Scholar] [CrossRef]
- Xue, Y.; Wang, N.; Huang, C.; Cheng, Y.; Xu, T. Catalytic water dissociation at the intermediate layer of a bipolar membrane: The role of carboxylated Boltorn® H30. J. Membr. Sci. 2009, 344, 129–135. [Google Scholar] [CrossRef]
- Giesbrecht, P.K.; Freund, M.S.; Giesbrecht, P.K.; Freund, M.S.; Giesbrecht, P.K.; Freund, M.S.; Giesbrecht, P.K.; Freund, M.S. Recent Advances in Bipolar Membrane Design and Applications. Chem. Mater. 2020, 32, 8060–8090. [Google Scholar] [CrossRef]
- Bazinet, L.; Lamarche, F.; Ippersiel, D. Bipolar-membrane electrodialysis: Applications of electrodialysis in the food industry. Trends Food Sci. Technol. 1998, 9, 107–113. [Google Scholar] [CrossRef]
- Tongwen, X. Electrodialysis processes with bipolar membranes (EDBM) in environmental protection—A review. Resour. Conserv. Recycl. 2002, 37, 1–22. [Google Scholar] [CrossRef]
- Quoc, A.L.; Mondor, M.; Lamarche, F.; Ippersiel, D.; Bazinet, L.; Makhlouf, J. Effect of a combination of electrodialysis with bipolar membranes and mild heat treatment on the browning and opalescence stability of cloudy apple juice. Food Res. Int. 2006, 39, 755–760. [Google Scholar] [CrossRef]
- Lin Teng Shee, F.; Bazinet, L. Cationic balance and current efficiency of a three-compartment bipolar membrane electrodialysis system during the preparation of chitosan oligomers. J. Membr. Sci. 2009, 341, 46–50. [Google Scholar] [CrossRef]
- Mier, M.P.; Iba, R.; Ortiz, I. Influence of process variables on the production of bovine milk casein by electrodialysis with bipolar membranes. Biochem. Eng. J. 2008, 40, 304–311. [Google Scholar] [CrossRef]
- Merkel, A.; Ashrafi, A.M.; Ečer, J. Bipolar membrane electrodialysis assisted pH correction of milk whey. J. Membr. Sci. 2018, 555, 185–196. [Google Scholar] [CrossRef]
- Serre, E.; Rozoy, E.; Pedneault, K.; Lacour, S.; Bazinet, L. Deacidification of cranberry juice by electrodialysis: Impact of membrane types and configurations on acid migration and juice physicochemical characteristics. Sep. Purif. Technol. 2016, 163, 228–237. [Google Scholar] [CrossRef]
- Rozoy, E.; Boudesocque, L.; Bazinet, L. Deacidification of cranberry juice by electrodialysis with bipolar membranes. J. Agric. Food Chem. 2015, 63, 642–651. [Google Scholar] [CrossRef]
- Lei, C.; Li, Z.; Gao, Q.; Fu, R.; Wang, W.; Li, Q.; Liu, Z. Comparative study on the production of gluconic acid by electrodialysis and bipolar membrane electrodialysis: Effects of cell configurations. J. Membr. Sci. 2020, 608, 118192. [Google Scholar] [CrossRef]
- Hülber-Beyer, É.; Bélafi-Bakó, K.; Nemestóthy, N. Low-waste fermentation-derived organic acid production by bipolar membrane electrodialysis—An overview. Chem. Pap. 2021, 75, 5223–5234. [Google Scholar] [CrossRef]
- Prochaska, K.; Woźniak-Budych, M.J. Recovery of fumaric acid from fermentation broth using bipolar electrodialysis. J. Membr. Sci. 2014, 469, 428–435. [Google Scholar] [CrossRef]
- Tongwen, X.; Weihua, Y.; Xu, T.; Weihua, Y.; Tongwen, X.; Weihua, Y. Citric acid production by electrodialysis with bipolar membranes. Chem. Eng. Process. Process Intensif. 2002, 41, 519–524. [Google Scholar] [CrossRef]
- Shang, Z.; Hossain, M.M.; Wycisk, R.; Pintauro, P.N. Poly(phenylene sulfonic acid)-expanded polytetrafluoroethylene composite membrane for low relative humidity operation in hydrogen fuel cells. J. Power Sources 2022, 535, 231375. [Google Scholar] [CrossRef]
- Melnikov, S.; Bondarev, D.; Nosova, E.; Melnikova, E.; Zabolotskiy, V. Water Splitting and Transport of Ions in Electromembrane System with Bilayer Ion-Exchange Membrane. Membranes 2020, 10, 346. [Google Scholar] [CrossRef] [PubMed]
- Kollsman, P. Antipolarization Membrane Having Anionic and Cationic Areas. U.S. Patent 3,227,662, 4 January 1966. [Google Scholar]
- Leitz, F.B. Cationic-Anionic Ion-Exchange Membrane. U.S. Patent 3,562,139, 9 February 1971. [Google Scholar]
- Antonov, Y.A.; Ponomarev, M.I.; Teselkin, V.V.; Grebenyk, V.D. Production of alkali with simultaneous water desaltination in electrodialyzer with semibipolar membranes. Chem. Technol. Water 1983, 5, 454–456. (In Russian) [Google Scholar]
- Shendrik, O.R.; Ponomarev, M.I.; Volkov, S.A.; Grebenyk, V.D. Development and properties of cation-exchange membranes modified with electrosedated dispersion of anionite. Chem. Technol. Water 1985, 7, 29–32. (In Russian) [Google Scholar]
- Shendrik, O.R.; Ponomarev, M.I.; Grebenyk, V.D. Modification of monopolar ion exchange membranes for hydrogen and hydroxyl ions generation. J. Appl. Chem. 1986, 59, 1486–1488. (In Russian) [Google Scholar]
- Russell, B.H.; Samuel, S.A. Novel Bipolar Membranes and Process of Manufacture. U.S. Patent 4,851,100, 25 July 1989. [Google Scholar]
- Strathmann, H.; Krol, J.J.; Rapp, H.-J.J.; Eigenberger, G. Limiting current density and water dissociation in bipolar membranes. J. Membr. Sci. 1997, 125, 123–142. [Google Scholar] [CrossRef]
- Balster, J.H.; Sumbharaju, R.; Srikantharajah, S.; Pünt, I.; Stamatialis, D.F.; Jordan, V.; Wessling, M. Asymmetric bipolar membrane: A tool to improve product purity. J. Membr. Sci. 2007, 287, 246–256. [Google Scholar] [CrossRef]
- Xu, T.; Yang, W.; He, B. A simple model to determine the trends of electric field enhanced water dissociation in a bipolar membrane. Chinese J. Chem. Eng. 2001, 9, 179–185. [Google Scholar]
- Xu, T. Effect of asymmetry in a bipolar membrane on water dissociation—A mathematical analysis. Desalination 2002, 150, 65–74. [Google Scholar]
- Xu, T.; Fu, R. A simple model to determine the trends of electric-field-enhanced water dissociation in a bipolar membrane. II. Consideration of water electrotransport and monolayer asymmetry. Desalination 2006, 190, 125–136. [Google Scholar] [CrossRef]
- Zabolotskii, V.I.; Sheldeshov, N.V.; Melnikov, S.S. Effect of cation-exchange layer thickness on electrochemical and transport characteristics of bipolar membranes. J. Appl. Electrochem. 2013, 43, 1117–1129. [Google Scholar] [CrossRef]
- Melnikov, S.S.; Nosova, E.N.; Melnikova, E.D.; Zabolotsky, V.I. Reactive separation of inorganic and organic ions in electrodialysis with bilayer membranes. Sep. Purif. Technol. 2021, 268, 118561. [Google Scholar] [CrossRef]
- Gmar, S.; Chagnes, A.; Ben Salah Sayadi, I.; Fauvarque, J.F.; Tlili, M.; Ben Amor, M. Semiempirical kinetic modelling of water desalination by electrodialysis processes. Sep. Sci. Technol. 2016, 52, 574–581. [Google Scholar] [CrossRef]
- Sadrzadeh, M.; Kaviani, A.; Mohammadi, T. Mathematical modeling of desalination by electrodialysis. Desalination 2007, 206, 538–546. [Google Scholar] [CrossRef]
- Zourmand, Z.; Faridirad, F.; Kasiri, N.; Mohammadi, T. Mass transfer modeling of desalination through an electrodialysis cell. Desalination 2015, 359, 41–51. [Google Scholar] [CrossRef]
- Karimi, L.; Ghassemi, A. An empirical/theoretical model with dimensionless numbers to predict the performance of electrodialysis systems on the basis of operating conditions. Water Res. 2016, 98, 270–279. [Google Scholar] [CrossRef]
- Nikonenko, V.; Nebavsky, A.; Mareev, S.; Kovalenko, A.; Urtenov, M.; Pourcelly, G. Modelling of Ion Transport in Electromembrane Systems: Impacts of Membrane Bulk and Surface Heterogeneity. Appl. Sci. 2018, 9, 25. [Google Scholar] [CrossRef]
- Severin, B.F.; Hayes, T.D. A Michaelis-Menten rate model for the electrodialysis of concentrated salts. Sep. Purif. Technol. 2022, 281, 119829. [Google Scholar] [CrossRef]
- Sadrzadeh, M.; Mohammadi, T.; Ivakpour, J.; Kasiri, N. Separation of lead ions from wastewater using electrodialysis: Comparing mathematical and neural network modeling. Chem. Eng. J. 2008, 144, 431–441. [Google Scholar] [CrossRef]
- Sadrzadeh, M.; Ghadimi, A.; Mohammadi, T. Coupling a mathematical and a fuzzy logic-based model for prediction of zinc ions separation from wastewater using electrodialysis. Chem. Eng. J. 2009, 151, 262–274. [Google Scholar] [CrossRef]
- Wang, X.; Han, X.; Zhang, X.; Li, Q.; Xu, T. Modeling of Potassium Sulfate Production from Potassium Chloride by Electrodialytic Ion Substitution. ACS Sustain. Chem. Eng. 2017, 5, 9076–9085. [Google Scholar] [CrossRef]
- Kaláb, J.; Palatý, Z. Electrodialysis of oxalic acid: Batch process modeling. Chem. Pap. 2012, 66, 1118–1123. [Google Scholar] [CrossRef]
- Koter, S.; Kultys, M.; Gilewicz-Łukasik, B. Modeling the electric transport of HCl and H3PO4 mixture through anion-exchange membranes. Membr. Water Treat. 2011, 2, 187–205. [Google Scholar] [CrossRef]
- Koter, S. Separation of weak and strong acids by electro-electrodialysis—Experiment and theory. Sep. Purif. Technol. 2008, 60, 251–258. [Google Scholar] [CrossRef]
- Pismenskiy, A.; Nikonenko, V.; Urtenov, M.; Pourcelly, G. Mathematical modelling of gravitational convection in electrodialysis processes. Desalination 2006, 192, 374–379. [Google Scholar] [CrossRef]
- Urtenov, M.K.; Uzdenova, A.M.; Kovalenko, A.V.; Nikonenko, V.V.; Pismenskaya, N.D.; Vasil’eva, V.I.; Sistat, P.; Pourcelly, G. Basic mathematical model of overlimiting transfer enhanced by electroconvection in flow-through electrodialysis membrane cells. J. Membr. Sci. 2013, 447, 190–202. [Google Scholar] [CrossRef]
- Nikonenko, V.; Urtenov, M.; Mareev, S.; Pourcelly, G. Mathematical Modeling of the Effect of Water Splitting on Ion Transfer in the Depleted Diffusion Layer Near an Ion-Exchange Membrane. Membranes 2020, 10, 22. [Google Scholar] [CrossRef]
- Mareev, S.A.; Evdochenko, E.; Wessling, M.; Kozaderova, O.A.; Niftaliev, S.I.; Pismenskaya, N.D.; Nikonenko, V.V. A comprehensive mathematical model of water splitting in bipolar membranes: Impact of the spatial distribution of fixed charges and catalyst at bipolar junction. J. Membr. Sci. 2020, 603, 118010. [Google Scholar] [CrossRef]
- Ortega, A.; Arenas, L.F.; Pijpers, J.J.H.; Vicencio, D.L.; Martínez, J.C.; Rodríguez, F.A.; Rivero, E.P. Modelling water dissociation, acid-base neutralization and ion transport in bipolar membranes for acid-base flow batteries. J. Membr. Sci. 2022, 641, 119899. [Google Scholar] [CrossRef]
- Wang, Y.; Wang, A.; Zhang, X.; Xu, T. Simulation of Electrodialysis with Bipolar Membranes: Estimation of Process Performance and Energy Consumption. Ind. Eng. Chem. Res. 2011, 50, 13911–13921. [Google Scholar] [CrossRef]
- Volgin, V.M.; Davydov, A.D. Ionic transport through ion-exchange and bipolar membranes. J. Membr. Sci. 2005, 259, 110–121. [Google Scholar] [CrossRef]
- Mier, M.P.; Ibañez, R.; Ortiz, I. Influence of ion concentration on the kinetics of electrodialysis with bipolar membranes. Sep. Purif. Technol. 2008, 59, 197–205. [Google Scholar] [CrossRef]
- Bui, J.C.; Digdaya, I.; Xiang, C.; Bell, A.T.; Weber, A.Z. Understanding Multi-Ion Transport Mechanisms in Bipolar Membranes. ACS Appl. Mater. Interfaces 2020, 12, 52509–52526. [Google Scholar] [CrossRef]
- Chen, Y.; Baygents, J.C.; Gervasio, D.; Farrell, J. Factors Affecting Hydroxide Ion Concentrations in Bipolar Membranes. J. Membr. Sci. Res. 2021, 7, 273–279. [Google Scholar] [CrossRef]
- Mazrou, S.; Kerdjoudj, H.; Chérif, A.T.; Elmidaoui, A.; Molénat, J. Regeneration of hydrochloric acid and sodium hydroxide with bipolar membrane electrodialysis from pure sodium chloride. New J. Chem. 1998, 22, 355–359. [Google Scholar] [CrossRef]
- Balmann, H.R.; Bailly, M.; Lutin, F.; Aimar, P.; Roux-de Balmann, H.; Bailly, M.; Lutin, F.; Aimar, P. Modelling of the conversion of weak organic acids by bipolar membrane electrodialysis. Desalination 2002, 149, 399–404. [Google Scholar] [CrossRef]
- Koter, S. Modeling of weak acid production by the EDB method. Sep. Purif. Technol. 2007, 57, 406–412. [Google Scholar] [CrossRef]
- Jaime-Ferrer, J.S.; Couallier, E.; Viers, P.; Rakib, M. Two-compartment bipolar membrane electrodialysis for splitting of sodium formate into formic acid and sodium hydroxide: Modelling. J. Membr. Sci. 2009, 328, 75–80. [Google Scholar] [CrossRef]
- Zabolotskii, V.I.; Utin, S.V.; Shel’deshov, N.V.; Lebedev, K.A.; Vasilenko, P.A. Correction of pH of diluted solutions of electrolytes by electrodialysis with bipolar membranes. Russ. J. Electrochem. 2011, 47, 321–326. [Google Scholar] [CrossRef]
- Zabolotskii, V.I.; Utin, S.V.; Lebedev, K.A.; Vasilenko, P.A.; Shel’Deshov, N.V. Study of pH correction process of chloride-bicarbonate dilute solutions by electrodialysis with bipolar membranes. Russ. J. Electrochem. 2012, 48, 767–772. [Google Scholar] [CrossRef]
- Sheldeshov, N.V.; Zabolotsky, V.I.; Kovalev, N.V.; Karpenko, T.V. Electrochemical characteristics of heterogeneous bipolar membranes and electromembrane process of recovery of nitric acid and sodium hydroxide from sodium nitrate solution. Sep. Purif. Technol. 2020, 241, 116648. [Google Scholar] [CrossRef]
- Polyanskiy, N.G.; Gorbunov, G.V.; Polyanskaya, N.L. Methods for Ion-exchangers Properties Investigation. Chemistry 1976. (In Russian) [Google Scholar]
- Zabolotsky, V.I.; Achoh, A.R.; Lebedev, K.A.; Melnikov, S.S. Permselectivity of bilayered ion-exchange membranes in ternary electrolyte. J. Membr. Sci. 2020, 608, 118152. [Google Scholar] [CrossRef]
- Corless, R.M.; Gonnet, G.H.; Hare, D.E.G.; Jeffrey, D.J.; Knuth, D.E. On the Lambert W function. Adv. Comput. Math. 1996, 5, 329–359. [Google Scholar] [CrossRef]
- Zabolotskii, V.I.; Manzanares, J.A.; Mafe, S.; Nikonenko, V.V.; Lebedev, K.A. Steady-state Ion Transport through a Three-Layered Membrane System: A Mathematical Model Allowing for Violation of the Electroneutrality Condition. Russ. J. Electrochem. 2002, 38, 819–827. [Google Scholar] [CrossRef]
- Vasilenko, P.A.; Utin, S.V.; Zabolotskiy, V.I.; Lebedev, K.A. Mathematical model of the correction of ph softened water in a long channel of electrodialysis with bipolar membrane. Polythemat. Online Sci. J. Kuban State Agrar. Univ. 2017, 1–17. [Google Scholar] [CrossRef]
- Nikonenko, V.V.; Pismenskaya, N.D.; Istoshin, A.G.; Zabolotsky, V.I.; Shudrenko, A.A. Description of mass transfer characteristics of ED and EDI apparatuses by using the similarity theory and compartmentation method. Chem. Eng. Process. Process Intensif. 2008, 47, 1118–1127. [Google Scholar] [CrossRef]
- Zabolotskii, V.I.; Melnikov, S.S.; Demina, O.A. Prediction of the mass exchange characteristics of industrial electrodialyzer concentrators. Russ. J. Electrochem. 2014, 50, 32–37. [Google Scholar] [CrossRef]
- Tanaka, Y. Mass transport and energy consumption in ion-exchange membrane electrodialysis of seawater. J. Membr. Sci. 2003, 215, 265–279. [Google Scholar] [CrossRef]
- Tanaka, Y.; Ehara, R.; Itoi, S.; Goto, T. Ion-exchange membrane electrodialytic salt production using brine discharged from a reverse osmosis seawater desalination plant. J. Membr. Sci. 2003, 222, 71–86. [Google Scholar] [CrossRef]
- Tanaka, Y. Ion-exchange membrane electrodialysis for saline water desalination and its application to seawater concentration. Ind. Eng. Chem. Res. 2011, 50, 7494–7503. [Google Scholar] [CrossRef]
- Melnikov, S.; Loza, S.; Sharafan, M.; Zabolotskiy, V. Electrodialysis treatment of secondary steam condensate obtained during production of ammonium nitrate. Technical and economic analysis. Sep. Purif. Technol. 2016, 157, 179–191. [Google Scholar] [CrossRef]
- Melnikov, S.S.; Sheldeshov, N.V.; Zabolotsky, V.I.; Loza, S.; Achoh, A. Pilot scale complex electrodialysis technology for processing a solution of lithium chloride containing organic solvents. Sep. Purif. Technol. 2017, 189, 74–81. [Google Scholar] [CrossRef]









| Ion-exchange resin | Lewatit S100 (LANXESS, Berlin, Germany) |
| Inert binder | LDPE LD605BA (ExxonMobil Chemical, Houston, TX, USA) |
| Reinforcing mesh | Ulester 32S (SILK & PROGRESS, Brněnec, Czech Republic) |
| Functional groups | -SO3− |
| Ion-exchange capacity, mmol/g-swollen | 1.10 |
| Wet thickness, microns | 690 |
| Water content, % | 44.5 |
| Surface resistance 1, Ohm•cm2 | 8.2 ± 0.2 |
| Membrane | MB-2m | BM-a-30 | BM-ac-2K |
|---|---|---|---|
| Polymeric matrix | Polystyrene divinylbenzene | Polystyrene divinylbenzene 1/Polytetrafluorideethylene 2 | Polystyrene divinylbenzene 1/Polytetrafluorideethylene 2 |
| Wet thickness, mm | 0.66 ± 0.1 | 0.48 ± 0.01 | 0.48 ± 0.01 |
| Ion-exchange capacity, mmol/g-swollen: | |||
| Cation-exchange layer | 1.4 ± 0.2 | 0.8 ± 0.05 | 0.8 ± 0.05 |
| Anion-exchange layer | 1.4 ± 0.2 | 1.1 ± 0.2 | 1.1 ± 0.2 |
| Ionic group: | |||
| Cation-exchange layer | –SO3– | –SO3– | –SO3– |
| Anion-exchange layer | –N+(CH3)3 | –N+(CH3)3 | –N+(CH3)3 |
| Water-splitting catalyst | ion-polymer containing phosphoric acid ionic groups | - | cation exchange resin KF-1 |
| Potential drop, V (i = 1 A/dm2 in 0.01 M NaCl) 3 | 1.0 ± 0.1 | 8 ± 0.4 | 3.8 ± 0.1 |
| Electrodialysis Module | External Dimensions of the Membrane, cm | Active Surface of the Membrane, cm2 | Effective Area of the Membrane | Number of Elementary Cells | Productivity of the Device, m3/h | Refs. |
|---|---|---|---|---|---|---|
| Lab EDS | 7.5 × 25 | 5 × 20 | 0.53 | 5–25 | 0.02–0.1 | [79,90] |
| EDS-Y * | 15 × 52 | 10 × 40 | 0.51 | 10–50 | 0.05–1 | [86] |
| EDS-m | 40 × 100 | 33 × 70 | 0.57 | 25–100 | 1–5 | [91] |
| EDS-10 | 44 × 120 | 33 × 90 | 0.55 | 50–200 | 2–10 | - |
Publisher’s Note: MDPI stays neutral with regard to jurisdictional claims in published maps and institutional affiliations. |
© 2022 by the authors. Licensee MDPI, Basel, Switzerland. This article is an open access article distributed under the terms and conditions of the Creative Commons Attribution (CC BY) license (https://creativecommons.org/licenses/by/4.0/).
Share and Cite
Nosova, E.; Achoh, A.; Zabolotsky, V.; Melnikov, S. Electrodialysis Desalination with Simultaneous pH Adjustment Using Bilayer and Bipolar Membranes, Modeling and Experiment. Membranes 2022, 12, 1102. https://doi.org/10.3390/membranes12111102
Nosova E, Achoh A, Zabolotsky V, Melnikov S. Electrodialysis Desalination with Simultaneous pH Adjustment Using Bilayer and Bipolar Membranes, Modeling and Experiment. Membranes. 2022; 12(11):1102. https://doi.org/10.3390/membranes12111102
Chicago/Turabian StyleNosova, Elena, Aslan Achoh, Victor Zabolotsky, and Stanislav Melnikov. 2022. "Electrodialysis Desalination with Simultaneous pH Adjustment Using Bilayer and Bipolar Membranes, Modeling and Experiment" Membranes 12, no. 11: 1102. https://doi.org/10.3390/membranes12111102
APA StyleNosova, E., Achoh, A., Zabolotsky, V., & Melnikov, S. (2022). Electrodialysis Desalination with Simultaneous pH Adjustment Using Bilayer and Bipolar Membranes, Modeling and Experiment. Membranes, 12(11), 1102. https://doi.org/10.3390/membranes12111102

