The Effect of pH on Atenolol/Nanofiltration Membranes Affinity
Abstract
:1. Introduction
2. Theory
3. Materials and Methods
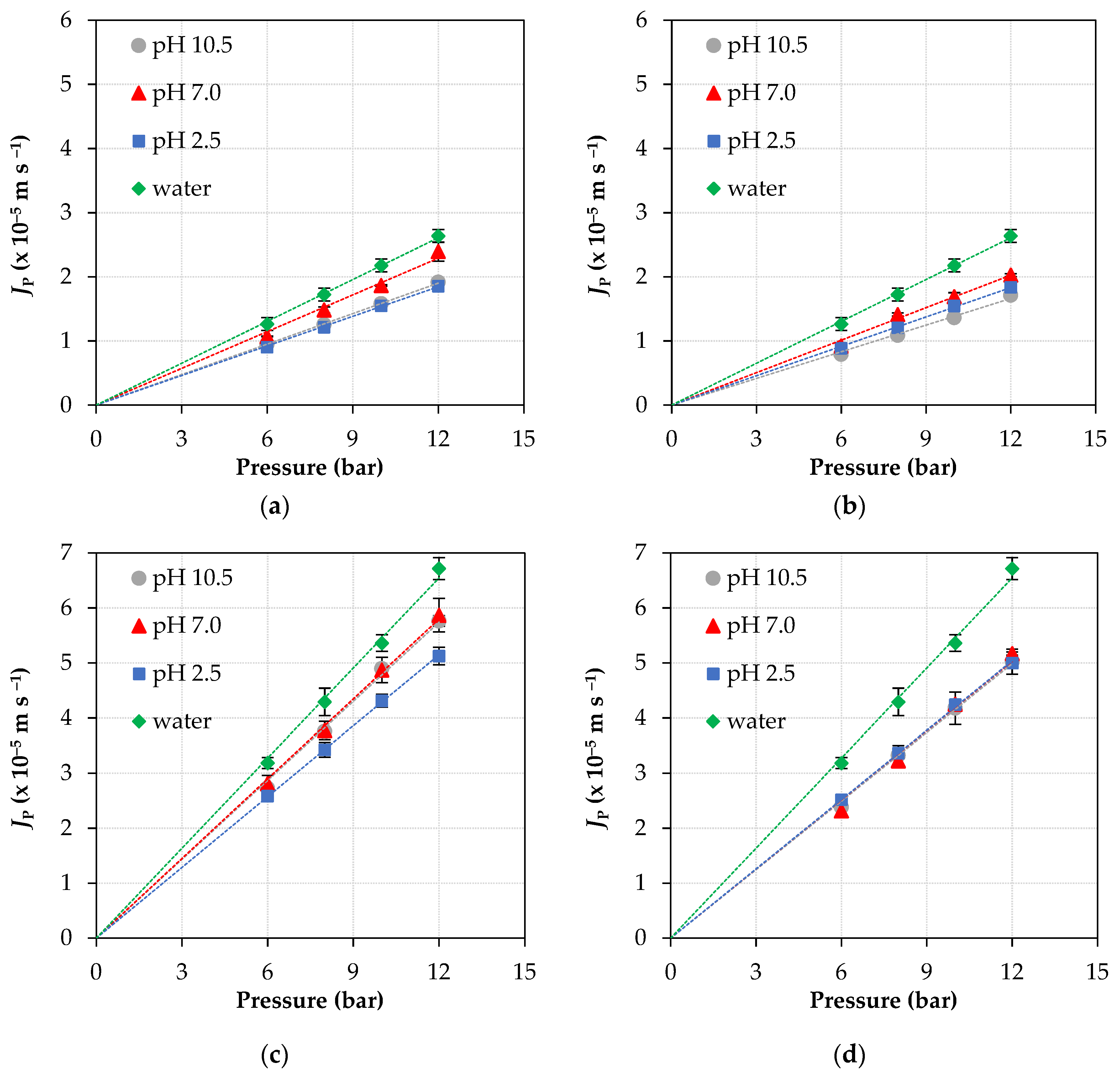
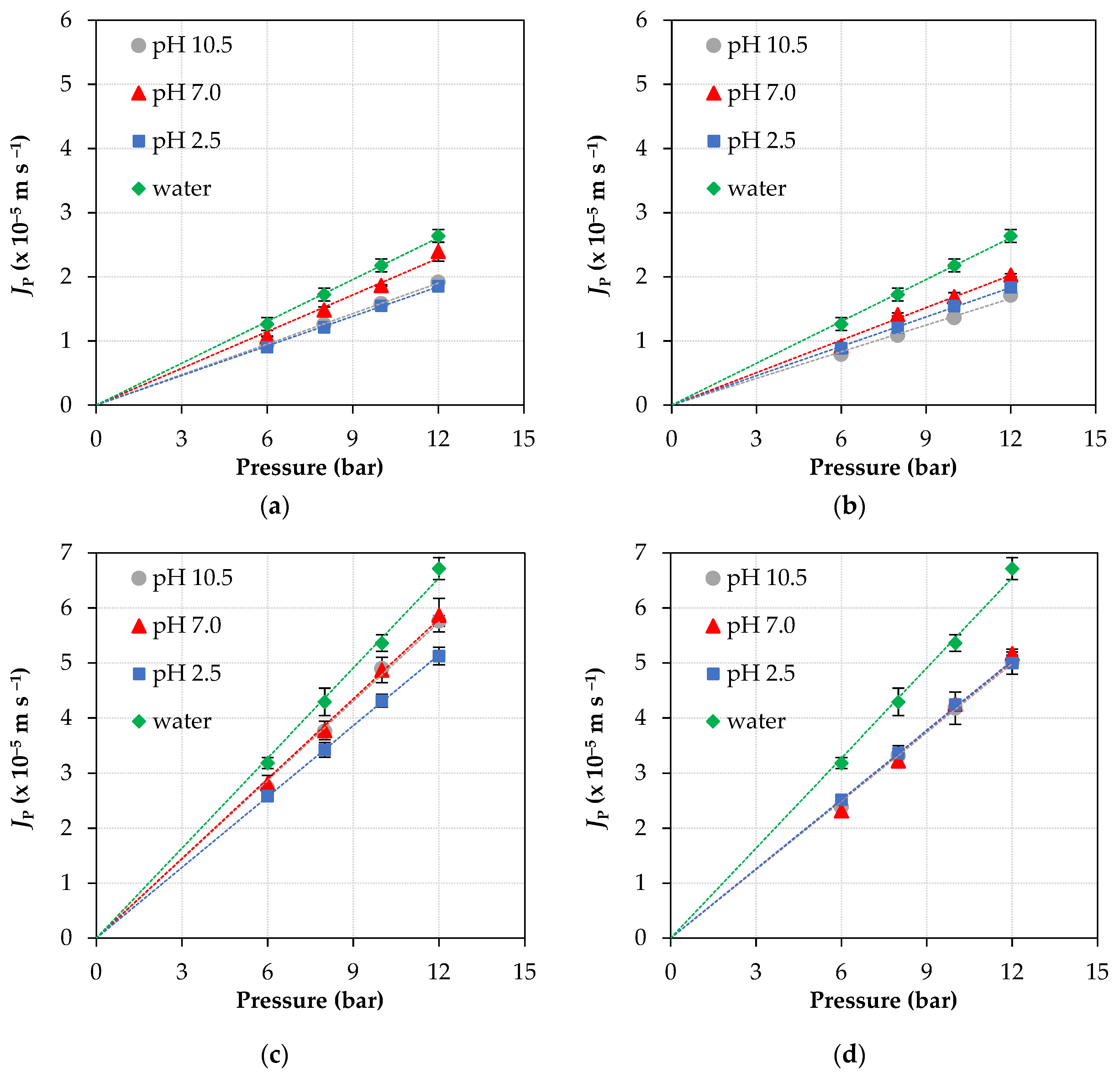
4. Results and Discussion
5. Conclusions
Author Contributions
Funding
Institutional Review Board Statement
Informed Consent Statement
Data Availability Statement
Acknowledgments
Conflicts of Interest
References
- Halling-Sørensen, B.; Nielsen, S.N.; Lanzky, P.F.; Ingerslev, F.; Lützhøft, H.C.H.; Jørgensen, S.E. Occurrence, fate and effects of pharmaceutical substances in the environment—A review. Chemosphere 1998, 36, 357–393. [Google Scholar] [CrossRef]
- Cooper, E.R.; Siewicki, T.C.; Phillips, K. Preliminary risk assessment database and risk ranking of pharmaceuticals in the environment. Sci. Total Environ. 2008, 398, 26–33. [Google Scholar] [CrossRef] [PubMed]
- Daughton, C.G. Wastewater surveillance for population-wide Covid-19: The present and future. Sci. Total Environ. 2020, 736, 139631. [Google Scholar] [CrossRef] [PubMed]
- Chaturvedi, P.; Shukla, P.; Giri, B.S.; Chowdhary, P.; Chandra, R.; Gupta, P.; Pandey, A. Prevalence and hazardous impact of pharmaceutical and personal care products and antibiotics in environment: A review on emerging contaminants. Environ. Res. 2021, 194, 110664. [Google Scholar] [CrossRef] [PubMed]
- Kanakaraju, D.; Glass, B.D.; Oelgemöller, M. Advanced oxidation process-mediated removal of pharmaceuticals from water: A review. J. Environ. Manag. 2018, 219, 189–207. [Google Scholar] [CrossRef]
- Hasani, K.; Peyghami, A.; Moharrami, A.; Vosoughi, M.; Dargahi, A. The efficacy of sono-electro-Fenton process for removal of Cefixime antibiotic from aqueous solutions by response surface methodology (RSM) and evaluation of toxicity of effluent by microorganisms. Arab. J. Chem. 2020, 13, 6122–6139. [Google Scholar] [CrossRef]
- Lumbaque, E.C.; Cardoso, R.M.; de Araújo Gomes, A.; Malato, S.; Pérez, J.A.S.; Sirtori, C. Removal of pharmaceuticals in hospital wastewater by solar photo-Fenton with Fe3+-EDDS using a pilot raceway pond reactor: Transformation products and in silico toxicity assessment. Microchem. J. 2021, 164, 106014. [Google Scholar] [CrossRef]
- de Souza, D.I.; Dottein, E.M.; Giacobbo, A.; Rodrigues, M.A.S.; de Pinho, M.N.; Bernardes, A.M. Nanofiltration for the removal of norfloxacin from pharmaceutical effluent. J. Environ. Chem. Eng. 2018, 6, 6147–6153. [Google Scholar] [CrossRef]
- de Souza, D.I.; Giacobbo, A.; da Silva Fernandes, E.; Rodrigues, M.A.S.; de Pinho, M.N.; Bernardes, A.M. Experimental design as a tool for optimizing and predicting the nanofiltration performance by treating antibiotic-containing wastewater. Membranes 2020, 10, 156. [Google Scholar] [CrossRef]
- Egea-Corbacho, A.; Ruiz, S.G.; Alonso, J.M.Q. Removal of emerging contaminants from wastewater using nanofiltration for its subsequent reuse: Full–scale pilot plant. J. Clean. Prod. 2019, 214, 514–523. [Google Scholar] [CrossRef]
- Ooi, G.T.H.; Tang, K.; Chhetri, R.K.; Kaarsholm, K.M.S.; Sundmark, K.; Kragelund, C.; Litty, K.; Christensen, A.; Lindholst, S.; Sund, C.; et al. Biological removal of pharmaceuticals from hospital wastewater in a pilot-scale staged moving bed biofilm reactor (MBBR) utilising nitrifying and denitrifying processes. Bioresour. Technol. 2018, 267, 677–687. [Google Scholar] [CrossRef]
- García, J.; García-Galán, M.J.; Day, J.W.; Boopathy, R.; White, J.R.; Wallace, S.; Hunter, R.G. A review of emerging organic contaminants (EOCs), antibiotic resistant bacteria (ARB), and antibiotic resistance genes (ARGs) in the environment: Increasing removal with wetlands and reducing environmental impacts. Bioresour. Technol. 2020, 307, 123228. [Google Scholar] [CrossRef]
- Tang, Y.; Zhao, B.; Liu, C. Removal mechanisms of β-blockers by anaerobic digestion in a UASB reactor with carbon feeding. Bioresour. Technol. Rep. 2020, 11, 100531. [Google Scholar] [CrossRef]
- Liu, P.; Zhang, H.; Feng, Y.; Yang, F.; Zhang, J. Removal of trace antibiotics from wastewater: A systematic study of nanofiltration combined with ozone-based advanced oxidation processes. Chem. Eng. J. 2014, 240, 211–220. [Google Scholar] [CrossRef]
- Qiu, G.; Chen, H.; Raghavan, D.S.S.; Ting, Y.-P. Removal behaviors of antibiotics in a hybrid microfiltration-forward osmotic membrane bioreactor for real municipal wastewater treatment. Chem. Eng. J. 2021, 417, 129146. [Google Scholar] [CrossRef]
- Licona, K.P.M.; Geaquinto, L.R.d.O.; Nicolini, J.V.; Figueiredo, N.G.; Chiapetta, S.C.; Habert, A.C.; Yokoyama, L. Assessing potential of nanofiltration and reverse osmosis for removal of toxic pharmaceuticals from water. J. Water Process Eng. 2018, 25, 195–204. [Google Scholar] [CrossRef]
- Giacobbo, A.; Soares, E.V.; Bernardes, A.M.; Rosa, M.J.; de Pinho, M.N. Atenolol removal by nanofiltration: A case-specific mass transfer correlation. Water Sci. Technol. 2020, 81, 210–216. [Google Scholar] [CrossRef]
- Taheri, E.; Hadi, S.; Amin, M.M.; Ebrahimi, A.; Fatehizadeh, A.; Aminabhavi, T.M. Retention of atenolol from single and binary aqueous solutions by thin film composite nanofiltration membrane: Transport modeling and pore radius estimation. J. Environ. Manag. 2020, 271, 111005. [Google Scholar] [CrossRef]
- Wyss, F.; Coca, A.; Lopez-Jaramillo, P.; Ponte-Negretti, C.; Wyss, F.S.; Restrepo, G.; Ponte-Negretti, C.I.; Lanas, F.; Pérez, G.; Barroso, W.S.; et al. Position statement of the Interamerican Society of Cardiology (IASC) on the current guidelines for the prevention, diagnosis and treatment of arterial hypertension 2017–2020. Int. J. Cardiol. Hypertens. 2020, 6, 100041. [Google Scholar] [CrossRef]
- Wadworth, A.N.; Murdoch, D.; Brogden, R.N. Atenolol—A reappraisal of its pharmacological properties and therapeutic use in cardiovascular disorders. Drugs 1991, 42, 468–510. [Google Scholar] [CrossRef] [PubMed]
- Bittner, L.; Teixido, E.; Seiwert, B.; Escher, B.I.; Klüver, N. Influence of pH on the uptake and toxicity of β-blockers in embryos of zebrafish, Danio rerio. Aquat. Toxicol. 2018, 201, 129–137. [Google Scholar] [CrossRef]
- Ji, Y.; Zeng, C.; Ferronato, C.; Chovelon, J.-M.; Yang, X. Nitrate-induced photodegradation of atenolol in aqueous solution: Kinetics, toxicity and degradation pathways. Chemosphere 2012, 88, 644–649. [Google Scholar] [CrossRef]
- Azaïs, A.; Mendret, J.; Petit, E.; Brosillon, S. Evidence of solute-solute interactions and cake enhanced concentration polarization during removal of pharmaceuticals from urban wastewater by nanofiltration. Water Res. 2016, 104, 156–167. [Google Scholar] [CrossRef]
- Nghiem, L.D.; Schäfer, A.I.; Elimelech, M. Pharmaceutical retention mechanisms by nanofiltration membranes. Environ. Sci. Technol. 2005, 39, 7698–7705. [Google Scholar] [CrossRef] [PubMed]
- Korzenowski, C.; Minhalma, M.; Bernardes, A.M.; Ferreira, J.Z.; de Pinho, M.N. Nanofiltration for the treatment of coke plant ammoniacal wastewaters. Sep. Purif. Technol. 2011, 76, 303–307. [Google Scholar] [CrossRef] [Green Version]
- Wijmans, J.G.; Baker, R.W. The solution-diffusion model: A review. J. Memb. Sci. 1995, 107, 1–21. [Google Scholar] [CrossRef]
- Rosa, M.J.F. Separação Selectiva de Compostos Orgânicos de Correntes Aquosas por Ultrafiltração e Nanofiltração (Selective Separation of Organic Compounds from Aqueous Streams by Ultrafiltration and Nanofiltration). Ph.D. Thesis, Chemical Engineering Department, Instituto Superior Técnico, Technical University of Lisbon, Lisbon, Portugal, 1995. [Google Scholar]
- Giacobbo, A.; do Prado, J.M.; Meneguzzi, A.; Bernardes, A.M.; de Pinho, M.N. Microfiltration for the recovery of polyphenols from winery effluents. Sep. Purif. Technol. 2015, 143, 12–18. [Google Scholar] [CrossRef]
- Giacobbo, A.; Meneguzzi, A.; Bernardes, A.M.; de Pinho, M.N. Pressure-driven membrane processes for the recovery of antioxidant compounds from winery effluents. J. Clean. Prod. 2017, 155, 172–178. [Google Scholar] [CrossRef]
- Aziz, M.; Ojumu, T. Exclusion of estrogenic and androgenic steroid hormones from municipal membrane bioreactor wastewater using UF/NF/RO membranes for water reuse application. Membranes 2020, 10, 37. [Google Scholar] [CrossRef] [Green Version]
- DrugBank. Properties of Atenolol Reported in DrugBank. Available online: https://go.drugbank.com/drugs/DB00335 (accessed on 27 August 2021).
- Avdeef, A.; Berger, C.M.; Brownell, C. pH-Metric solubility. 2: Correlation between the acid-base titration and the saturation shake-flask solubility-pH methods. Pharm. Res. 2000, 17, 85–89. [Google Scholar] [CrossRef] [PubMed]
- Giacobbo, A.; Bernardes, A.M.; Rosa, M.J.; de Pinho, M.N. Concentration polarization in ultrafiltration/nanofiltration for the recovery of polyphenols from winery wastewaters. Membranes 2018, 8, 46. [Google Scholar] [CrossRef] [Green Version]
- Weich, A.; de Oliveira, D.C.; de Melo, J.; Goebel, K.; Rolim, C.M.B. Validation of UV spectrophotometric and HPLC methods for quantitative determination of atenolol in pharmaceutical preparations. Lat. Am. J. Pharm. 2007, 26, 765–770. [Google Scholar]
- Epsztein, R.; Cheng, W.; Shaulsky, E.; Dizge, N.; Elimelech, M. Elucidating the mechanisms underlying the difference between chloride and nitrate rejection in nanofiltration. J. Memb. Sci. 2018, 548, 694–701. [Google Scholar] [CrossRef]
- Dražević, E.; Košutić, K.; Svalina, M.; Catalano, J. Permeability of uncharged organic molecules in reverse osmosis desalination membranes. Water Res. 2017, 116, 13–22. [Google Scholar] [CrossRef] [PubMed]
- Nghiem, L.D.; Schäfer, A.I. Adsorption and transport of trace contaminant estrone in NF/RO membranes. Environ. Eng. Sci. 2002, 19, 441–451. [Google Scholar] [CrossRef]
- Nghiem, L.D.; Schäfer, A.I.; Elimelech, M. Nanofiltration of hormone mimicking trace organic contaminants. Sep. Sci. Technol. 2005, 40, 2633–2649. [Google Scholar] [CrossRef]
- Braghetta, A.; DiGiano, F.A.; Ball, W.P. Nanofiltration of natural organic matter: pH and ionic strength effects. J. Environ. Eng. 1997, 123, 628–641. [Google Scholar] [CrossRef]
- Ainscough, T.J.; Oatley-Radcliffe, D.L.; Barron, A.R. Groundwater remediation of volatile organic compounds using nanofiltration and reverse osmosis membranes—A field study. Membranes 2021, 11, 61. [Google Scholar] [CrossRef] [PubMed]




Publisher’s Note: MDPI stays neutral with regard to jurisdictional claims in published maps and institutional affiliations. |
© 2021 by the authors. Licensee MDPI, Basel, Switzerland. This article is an open access article distributed under the terms and conditions of the Creative Commons Attribution (CC BY) license (https://creativecommons.org/licenses/by/4.0/).
Share and Cite
Soares, E.V.; Giacobbo, A.; Rodrigues, M.A.S.; de Pinho, M.N.; Bernardes, A.M. The Effect of pH on Atenolol/Nanofiltration Membranes Affinity. Membranes 2021, 11, 689. https://doi.org/10.3390/membranes11090689
Soares EV, Giacobbo A, Rodrigues MAS, de Pinho MN, Bernardes AM. The Effect of pH on Atenolol/Nanofiltration Membranes Affinity. Membranes. 2021; 11(9):689. https://doi.org/10.3390/membranes11090689
Chicago/Turabian StyleSoares, Elisa Veridiani, Alexandre Giacobbo, Marco Antônio Siqueira Rodrigues, Maria Norberta de Pinho, and Andréa Moura Bernardes. 2021. "The Effect of pH on Atenolol/Nanofiltration Membranes Affinity" Membranes 11, no. 9: 689. https://doi.org/10.3390/membranes11090689
APA StyleSoares, E. V., Giacobbo, A., Rodrigues, M. A. S., de Pinho, M. N., & Bernardes, A. M. (2021). The Effect of pH on Atenolol/Nanofiltration Membranes Affinity. Membranes, 11(9), 689. https://doi.org/10.3390/membranes11090689


