Yeast Cell Cake Characterization in Alcohol Solution for Efficient Microfiltration
Abstract
1. Introduction
2. Materials and Methods
2.1. Materials
2.2. Experimental Apparatus and Technique
3. Results and Discussion
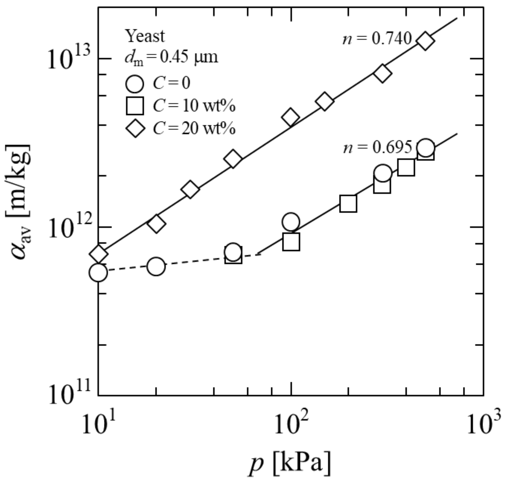
3.1. Membrane Filtration Properties
3.2. Characteristics of Yeast Cell Cake
4. Conclusions
Author Contributions
Funding
Institutional Review Board Statement
Informed Consent Statement
Data Availability Statement
Conflicts of Interest
References
- Hwang, K.J.; Liao, C.Y.; Tung, K.L. Analysis of particle fouling during microfiltration by use of blocking models. J. Membr. Sci. 2007, 287, 287–293. [Google Scholar] [CrossRef]
- Masoudnia, K.; Raisi, A.; Aroujalinan, A.; Fathizadeh, M. Treatment of oily wastewaters using the microfiltration process: Effect of operating parameters and membrane fouling study. Sep. Sci. Technol. 2013, 48, 1544–1555. [Google Scholar] [CrossRef]
- Iritani, E. A review on modeling of pore-blocking behaviors of membranes during pressurized membrane filtration. Dry. Technol. 2013, 31, 146–162. [Google Scholar] [CrossRef]
- Iritani, E.; Katagiri, N. Developments of blocking filtration model in membrane filtration. KONA Powder Part J. 2016, 33, 179–202. [Google Scholar] [CrossRef]
- Iritani, E.; Katagiri, N.; Yamashita, Y. Effect of membrane morphology on rising properties of filtration resistance in microfiltration of dilute colloids. AIChE J. 2017, 63, 3511–3522. [Google Scholar] [CrossRef]
- Nakanishi, K.; Tadokoro, T.; Matsuno, R. On the specific resistance of cakes of microorganisms. Chem. Eng. Commun. 1987, 62, 187–201. [Google Scholar] [CrossRef]
- Foley, G. A review of factors affecting filter cake properties in dead-end microfiltration of microbial suspensions. J. Membr. Sci. 2006, 274, 38–46. [Google Scholar] [CrossRef]
- Iritani, E.; Nagaoka, H.; Katagiri, N. Determination of filtration characteristics of yeast suspension based upon multistage reduction in cake surface area under step-up pressure conditions. Sep. Purif. Technol. 2008, 63, 379–385. [Google Scholar] [CrossRef]
- Katagiri, N.; Kawahara, H.; Arai, Y.; Iritani, E. Evaluation of compression-permeability characteristics of microbial cake based on microfiltration data. Sep. Sci. Technol. 2016, 51, 845–852. [Google Scholar] [CrossRef]
- Alam, M.A.; Yuan, T.; Xiong, W.; Zhang, B.; Lv, Y.; Xu, J. Process optimization for the production of high-concentration ethanol with Scenedesmus raciborskii biomass. Bioresour. Technol. 2019, 294, 122219. [Google Scholar] [CrossRef]
- Walker, G.M.; Walker, R.S.K. Enhancing yeast alcoholic fermentations. Adv. Appl. Microbiol. 2018, 105, 87–129. [Google Scholar] [CrossRef] [PubMed]
- Urbanczyk, H.; Noguchi, C.; Wu, H.; Watanabe, D.; Akao, T.; Takagi, H.; Shimoi, H. Sake yeast strains have difficulty in entering a quiescent state after cell growth cessation. J. Biosci. Bioeng. 2011, 112, 44–48. [Google Scholar] [CrossRef] [PubMed]
- Schluep, T.; Widmer, F. Initial transient effects during cross flow microfiltration of yeast suspensions. J. Membr. Sci. 1996, 115, 133–145. [Google Scholar] [CrossRef]
- Tanaka, T.; Tsuneyoshi, S.; Kitazawa, W.; Nakanishi, K. Characteristics in crossflow filtration using different yeast suspensions. Sep. Sci. Technol. 1997, 32, 1885–1898. [Google Scholar] [CrossRef]
- Hassan, I.B.; Ennouri, M.; Lafforgue, C.; Schmitz, P.; Ayadi, A. Experimental Study of membrane fouling during crossflow microfiltration of yeast and bacteria suspensions: Towards an analysis at the microscopic level. Membranes 2013, 3, 44–68. [Google Scholar] [CrossRef] [PubMed]
- Akhondi, E.; Wicaksana, F.; Fane, A.G. Evaluation of fouling deposition, fouling reversibility and energy consumption of submerged hollow fiber membrane systems with periodic backwash. J. Membr. Sci. 2014, 452, 319–331. [Google Scholar] [CrossRef]
- Redkar, S.G.; Davis, R.H. Crossflow microfiltration of yeast suspensions in tubular filers. Biotechnol. Prog. 1993, 9, 625–634. [Google Scholar] [CrossRef] [PubMed]
- Tanaka, T.; Abe, K.; Asakawa, H.; Yoshida, H.; Nakanishi, K. Filtration characteristics and structure of cake in crossflow filtration of bacterial suspension. J. Ferment. Bioeng. 1994, 78, 455–461. [Google Scholar] [CrossRef]
- Geissler, S.; Werner, U. Dynamic model of crossflow microfiltration in flat-channel systems under laminar flow conditions. Filtr. Sep. 1995, 32, 533–537. [Google Scholar] [CrossRef]
- Murase, T.; Iritani, E.; Cho, J.H.; Nakanomori, S.; Shirato, M. Determination of filtration characteristics due to sudden reduction in filtration area of filter cake surface. J. Chem. Eng. Jpn. 1987, 20, 246–251. [Google Scholar] [CrossRef]
- Iritani, E.; Katagiri, N.; Takaishi, Y.; Kanetake, S. Determination of pressure dependence of permeability characteristics from single constant pressure filtration test. J. Chem. Eng. Jpn. 2011, 44, 14–23. [Google Scholar] [CrossRef]
- Iritani, E.; Katagiri, N.; Kanetake, S. Determination of cake filtration characteristics of dilute suspension of bentonite from various filtration tests. Sep. Purif. Technol. 2012, 92, 143–151. [Google Scholar] [CrossRef]
- Iritani, E.; Katagiri, N.; Tsukamoto, M.; Hwang, K.J. Determination of cake properties in ultrafiltration of nano-colloids based on single step-up pressure filtration test. AIChE J. 2014, 60, 289–299. [Google Scholar] [CrossRef]
- Iritani, E.; Katagiri, N.; Nakajima, R.; Hwang, K.J.; Cheng, T.W. Cake properties of nanocolloid evaluated by variable pressure filtration associated with reduction in cake surface area. AIChE J. 2014, 60, 3869–3877. [Google Scholar] [CrossRef]
- Iritani, E.; Katagiri, N.; Nakajima, R.; Hwang, K.J.; Cheng, T.W. Nanocolloid cake properties determined from step-up pressure filtration with single-stage reduction in filtration area. AIChE J. 2015, 61, 4426–4436. [Google Scholar] [CrossRef]
- Iritani, E.; Katagiri, N.; Masuda, H. Simplified Estimate of Cake Porosity in Dead-End Ultrafiltration of Protein Solution. J. Chem. Eng. Jpn. 2018, 51, 589–595. [Google Scholar] [CrossRef]
- Iritani, E.; Katagiri, N.; Sengoku, T.; Yoo, K.M.; Kawasaki, K.; Matsuda, A. Flux decline behaviors in dead-end microfiltration of activated sludge and its supernatant. J. Membr. Sci. 2007, 300, 36–44. [Google Scholar] [CrossRef]
- Hwang, K.J.; Tsai, P.C.; Iritani, E.; Katagiri, N. Effect of polysaccharide concentration on the membrane filtration of microbial cells. J. Appl. Sci. Eng. 2012, 15, 323–332. [Google Scholar]
- Katagiri, N.; Chujo, K.; Takeuchi, A.; Iritani, E.; Kawasaki, K. Effect of BOD loading on solid-liquid separation properties of activated sludge. Kagaku Kogaku Ronbunshu 2009, 35, 99–104. [Google Scholar] [CrossRef]
- Katagiri, N.; Yamauchi, K.; Kawasaki, K.; Iritani, E. Changes in membrane filtration properties of activated sludge and production of organic acid under anaerobic conditions. Kagaku Kogaku Ronbunshu 2017, 43, 289–295. [Google Scholar] [CrossRef]
- Katagiri, N. Microfiltration of microbial suspension. Membrane 2020, 45, 22–28. [Google Scholar] [CrossRef]
- Tomczak, W.; Gryta, M. Comparison of polypropylene and ceramic microfiltration membranes applied for separation of 1,3-PD fermentation broths and Saccharomyces cerevisiae yeast suspensions. Membranes 2021, 11, 44. [Google Scholar] [CrossRef] [PubMed]
- McCarthy, A.A.; O’Shea, D.G.; Murray, N.T.; Walsh, P.K.; Foley, G. The effect of cell morphology on the filtration characteristics of the dimorphic yeast Kluyveromyces marxianus var. marxianus NRRLy 2415. Biotechnol. Prog. 1998, 14, 279–285. [Google Scholar] [CrossRef] [PubMed]
- Ju, L.K.; Ho, C.S. Correlation of cell volume fractions with cell concentrations in fermentation media. Biotechnol. Bioeng. 1988, 32, 95–99. [Google Scholar] [CrossRef] [PubMed]
- Ruth, B.F. Studies in filtration. III. Derivation of general filtration equations. Ind. Eng. Chem. 1935, 27, 708–723. [Google Scholar] [CrossRef]
- Sambuichi, M.; Otsuki, K.; Fujio, Y.; Ueda, S. Filtration and expression characteristics of baker’s yeast. (I) Results of compression permeability test and constant pressure filtration. J. Ferment. Technol. 1971, 49, 880–885. [Google Scholar]
- Ding, J.; Huang, X.; Zhang, L.; Zhao, N.; Yang, D.; Zhang, K. Tolerance and stress response to ethanol in the yeast Saccharomyces cerevisiae. Appl. Microbiol. Biotechnol. 2009, 85, 253–263. [Google Scholar] [CrossRef]
- Sperry, D.R. Note and correspondence: A study of the fundamental laws of filtration using plant-scale equipment. Ind. Eng. Chem. 1921, 13, 1163–1164. [Google Scholar] [CrossRef]









Publisher’s Note: MDPI stays neutral with regard to jurisdictional claims in published maps and institutional affiliations. |
© 2021 by the authors. Licensee MDPI, Basel, Switzerland. This article is an open access article distributed under the terms and conditions of the Creative Commons Attribution (CC BY) license (http://creativecommons.org/licenses/by/4.0/).
Share and Cite
Katagiri, N.; Tomimatsu, K.; Date, K.; Iritani, E. Yeast Cell Cake Characterization in Alcohol Solution for Efficient Microfiltration. Membranes 2021, 11, 89. https://doi.org/10.3390/membranes11020089
Katagiri N, Tomimatsu K, Date K, Iritani E. Yeast Cell Cake Characterization in Alcohol Solution for Efficient Microfiltration. Membranes. 2021; 11(2):89. https://doi.org/10.3390/membranes11020089
Chicago/Turabian StyleKatagiri, Nobuyuki, Keisuke Tomimatsu, Keiichi Date, and Eiji Iritani. 2021. "Yeast Cell Cake Characterization in Alcohol Solution for Efficient Microfiltration" Membranes 11, no. 2: 89. https://doi.org/10.3390/membranes11020089
APA StyleKatagiri, N., Tomimatsu, K., Date, K., & Iritani, E. (2021). Yeast Cell Cake Characterization in Alcohol Solution for Efficient Microfiltration. Membranes, 11(2), 89. https://doi.org/10.3390/membranes11020089

