A Systematic Review and Meta-Analysis of Seasonal Influenza Vaccination of Health Workers
Abstract
:1. Introduction
2. Methods
2.1. Study Design
2.2. Search Strategy
2.3. Selection Criteria
2.4. Study Selection and Data Extraction
2.5. Quality Assessment
2.6. Statistical Analysis
3. Results
3.1. Study Characteristics
3.2. Quality Assessment
3.3. Meta-Analysis
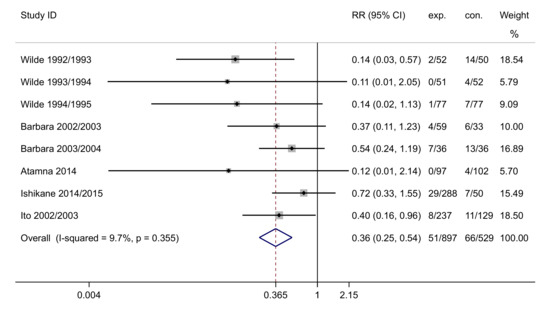
3.3.1. Incidence of Laboratory-Confirmed Influenza
3.3.2. Incidence of IL
3.3.3. Absenteeism Rate
3.3.4. Workdays Lost
3.4. Sensitivity Analyses and Publication Bias
4. Discussion
5. Conclusions
Supplementary Materials
Author Contributions
Funding
Institutional Review Board Statement
Informed Consent Statement
Data Availability Statement
Acknowledgments
Conflicts of Interest
References
- Iuliano, A.D.; Roguski, K.M.; Chang, H.H.; Muscatello, D.J.; Palekar, R.; Tempia, S.; Cohen, C.; Gran, J.M.; Schanzer, D.; Cowling, B.J.; et al. Estimates of global seasonal influenza-associated respiratory mortality: A modelling study. Lancet 2018, 391, 1285–1300. [Google Scholar] [CrossRef]
- Paget, J.; Spreeuwenberg, P.; Charu, V.; Taylor, R.J.; Iuliano, A.D.; Bresee, J.; Simonsen, L.; Viboud, C. Global mortality associated with seasonal influenza epidemics: New burden estimates and predictors from the GLaMOR Project. J. Glob. Health 2019, 9, 020421. [Google Scholar] [CrossRef]
- Lietz, J.; Westermann, C.; Nienhaus, A.; Schablon, A. The Occupational Risk of Influenza A (H1N1) Infection among Healthcare Personnel during the 2009 Pandemic: A Systematic Review and Meta-Analysis of Observational Studies. PLoS ONE 2016, 11, e0162061. [Google Scholar] [CrossRef] [PubMed]
- Srinivasan, A.; Perl, T.M. Respiratory protection against influenza. JAMA 2009, 302, 1903–1904. [Google Scholar] [CrossRef] [PubMed]
- Kuster, S.P.; Shah, P.S.; Coleman, B.L.; Lam, P.P.; Tong, A.; Wormsbecker, A.; McGeer, A. Incidence of influenza in healthy adults and healthcare workers: A systematic review and meta-analysis. PLoS ONE 2011, 6, e26239. [Google Scholar] [CrossRef] [PubMed] [Green Version]
- Durando, P.; Alicino, C.A.-O.; Dini, G.; Barberis, I.; Bagnasco, A.M.; Iudici, R.; Zanini, M.; Martini, M.; Toletone, A.; Paganino, C.; et al. Determinants of adherence to seasonal influenza vaccination among healthcare workers from an Italian region: Results from a cross-sectional study. BMJ Open 2016, 6, e010779. [Google Scholar] [CrossRef]
- World Health Organization. Global Influenza Strategy 2019–2030. Available online: https://apps.who.int/iris/handle/10665/311184 (accessed on 5 March 2020).
- World Health Organization. Vaccines against influenza WHO position paper—November 2012. Wkly. Epidemiol. Rec. 2012, 87, 461–476. [Google Scholar]
- Maltezou, H.C.; Botelho-Nevers, E.; Brantsaeter, A.B.; Carlsson, R.M.; Heininger, U.; Hubschen, J.M.; Josefsdottir, K.S.; Kassianos, G.; Kyncl, J.; Ledda, C.; et al. Vaccination of healthcare personnel in Europe: Update to current policies. Vaccine 2019, 37, 7576–7584. [Google Scholar] [CrossRef]
- Dini, G.; Toletone, A.; Sticchi, L.; Orsi, A.; Bragazzi, N.L.; Durando, P. Influenza vaccination in healthcare workers: A comprehensive critical appraisal of the literature. Hum. Vaccin. Immunother. 2018, 14, 772–789. [Google Scholar] [CrossRef] [Green Version]
- Black, C.L.; Yue, X.; Ball, S.W.; Fink, R.V.; de Perio, M.A.; Laney, A.S.; Williams, W.W.; Graitcer, S.B.; Fiebelkorn, A.P.; Lu, P.J.; et al. Influenza Vaccination Coverage Among Health Care Personnel—United States, 2017–2018 Influenza Season. Morb. Mortal. Wkly. Rep. 2018, 67, 1050–1054. [Google Scholar] [CrossRef] [Green Version]
- Public Health England. Seasonal flu Vaccine Uptake in Healthcare Workers: Monthly Data, 2020 to 2021. Available online: https://www.gov.uk/government/statistics/seasonal-flu-vaccine-uptake-in-healthcare-workers-monthly-data-2020-to-2021. (accessed on 2 February 2021).
- To, K.W.; Lai, A.; Lee, K.C.; Koh, D.; Lee, S.S. Increasing the coverage of influenza vaccination in healthcare workers: Review of challenges and solutions. J. Hosp. Infect. 2016, 94, 133–142. [Google Scholar] [CrossRef]
- Yu, J.; Ren, X.; Ye, C.; Tian, K.; Feng, L.; Song, Y.; Cowling, B.J.; Li, Z. Influenza Vaccination Coverage among Registered Nurses in China during 2017–2018: An Internet Panel Survey. Vaccines 2019, 7, 134. [Google Scholar] [CrossRef] [Green Version]
- Song, Y.; Zhang, T.; Chen, L.; Yi, B.; Hao, X.; Zhou, S.; Zhang, R.; Greene, C. Increasing seasonal influenza vaccination among high risk groups in China: Do community healthcare workers have a role to play? Vaccine 2017, 35, 4060–4063. [Google Scholar] [CrossRef] [PubMed]
- Vasilevska, M.; Ku, J.; Fisman, D.N. Factors associated with healthcare worker acceptance of vaccination: A systematic review and meta-analysis. Infect. Control Hosp. Epidemiol. 2014, 35, 699–708. [Google Scholar] [CrossRef]
- Haridi, H.K.; Salman, K.A.; Basaif, E.A.; Al-Skaibi, D.K. Influenza vaccine uptake, determinants, motivators, and barriers of the vaccine receipt among healthcare workers in a tertiary care hospital in Saudi Arabia. J. Hosp. Infect. 2017, 96, 268–275. [Google Scholar] [CrossRef] [PubMed]
- Cherian, T.; Morales, K.F.; Mantel, C.; Lambach, P.; Independent Expert Advisory Group for Health Worker Influenza Vaccination. Factors and considerations for establishing and improving seasonal influenza vaccination of health workers: Report from a WHO meeting, January 16–17, Berlin, Germany. Vaccine 2019, 37, 6255–6261. [Google Scholar] [CrossRef]
- Pereira, M.; Williams, S.; Restrick, L.; Cullinan, P.; Hopkinson, N.S. Healthcare worker inflfluenza vaccination and sickness absence—An ecological study. Clin. Med. 2017, 17, 484–489. [Google Scholar] [CrossRef]
- Ng, A.N.M.; Lai, C.K.Y. Effectiveness of seasonal influenza vaccination in healthcare workers: A systematic review. J. Hosp. Infect. 2011, 79, 279–286. [Google Scholar] [CrossRef] [PubMed]
- Lorenc, T.; Marshall, D.; Wright, K.; Sutcliffe, K.; Sowden, A. Seasonal influenza vaccination of healthcare workers: Systematic review of qualitative evidence. BMC Health Serv. Res. 2017, 17, 732. [Google Scholar] [CrossRef] [Green Version]
- Lemaitre, M.; Meret, T.; Rothan-Tondeur, M.; Belmin, J.; Lejonc, J.L.; Luquel, L.; Piette, F.; Salom, M.; Verny, M.; Vetel, J.M.; et al. Effect of influenza vaccination of nursing home staff on mortality of residents: A cluster-randomized trial. J. Am. Geriatr. Soc. 2009, 57, 1580–1586. [Google Scholar] [CrossRef]
- Burls, A.; Jordan, R.; Barton, P.; Olowokure, B.; Wake, B.; Albon, E.; Hawker, J. Vaccinating healthcare workers against influenza to protect the vulnerable--is it a good use of healthcare resources? A systematic review of the evidence and an economic evaluation. Vaccine 2006, 24, 4212–4221. [Google Scholar] [CrossRef]
- Liberati, A.; Altman, D.G.; Tetzlaff, J.; Mulrow, C.; Gøtzsche, P.C.; Ioannidis, J.P.A.; Clarke, M.; Devereaux, P.; Kleijnen, J.; Moher, D. The PRISMA statement for reporting systematic reviews and meta-analyses of studies that evaluate healthcare interventions: Explanation and elaboration. BMJ 2009, 339, b2700. [Google Scholar] [CrossRef] [Green Version]
- Moher, D.; Liberati, A.; Tetzlaff, J.; Altman, D.G.; PRISMA Group. Preferred reporting items for systematic reviews and meta-analyses: The PRISMA statement. BMJ 2009, 339, b2535. [Google Scholar] [CrossRef] [Green Version]
- Centers for Disease Control and Prevention. Available online: https://www.cdc.gov/vaccines/adults/rec-vac/hcw.html (accessed on 10 October 2019).
- Li, Q.; Eduardo, A.-B.; Carolyn, M.G.; Luzhao, F.; Wenge, T.; Lisa, A.G.; Ashley, C.F.; Alexander, J.M. The Effect of Seasonal Influenza Vaccination on Healthcare Workers: Protocol for a Systematic Review and Meta-Analysis. PROSPERO 2020 CRD42020162226. Available online: https://www.crd.york.ac.uk/prospero/display_record.php?ID=CRD42020162226 (accessed on 28 April 2020).
- Grey Literature Network Service 2021. GreyNet International. Available online: http://www.greynet.org/ (accessed on 1 September 2021).
- Cumpston, M.; Li, T.; Page, M.J.; Chandler, J.; Welch, V.A.; Higgins, J.P.; Thomas, J. Updated guidance for trusted systematic reviews: A new edition of the Cochrane Handbook for Systematic Reviews of Interventions. Cochrane Database Syst. Rev. 2019, 10, ED000142. [Google Scholar] [CrossRef] [Green Version]
- Higgins, J.P.T.T.J.; Chandler, J.; Cumpston, M.; Li, T.; Page, M.J.; Welch, V.A. (Eds.) Cochrane Handbook for Systematic Reviews of Interventions; Cochrane: London, UK, 2021; Version 6.2 (Updated February 2021); Available online: www.training.cochrane.org/handbook (accessed on 1 March 2021).
- Sterne, J.A.C.; Savovic, J.; Page, M.J.; Elbers, R.G.; Blencowe, N.S.; Boutron, I.; Cates, C.J.; Cheng, H.Y.; Corbett, M.S.; Eldridge, S.M.; et al. RoB 2: A revised tool for assessing risk of bias in randomised trials. BMJ 2019, 366, l4898. [Google Scholar] [CrossRef] [Green Version]
- Stang, A. Critical evaluation of the Newcastle-Ottawa scale for the assessment of the quality of nonrandomized studies in meta-analyses. Eur. J. Epidemiol. 2010, 25, 603–605. [Google Scholar] [CrossRef] [Green Version]
- Imai, C.; Toizumi, M.; Hall, L.; Lambert, S.; Halton, K.; Merollini, K. A systematic review and meta-analysis of the direct epidemiological and economic effects of seasonal influenza vaccination on healthcare workers. PLoS ONE 2018, 13, e0198685. [Google Scholar] [CrossRef] [PubMed]
- Higgins, J.P.; Thompson, S.G. Quantifying heterogeneity in a meta-analysis. Stat. Med. 2002, 21, 1539–1558. [Google Scholar] [CrossRef] [PubMed]
- Thakkinstian, A.; McElduff, P.; D’Este, C.; Duffy, D.; Attia, J. A method for meta-analysis of molecular association studies. Stat Med. 2005, 24, 1291–1306. [Google Scholar] [CrossRef] [PubMed]
- Weingarten, S.; Staniloff, H.; Ault, M.; Miles, P.; Bamberger, M.; Meyer, R.D. Do hospital employees benefit from the influenza vaccine? A placebo-controlled clinical trial. J. Gen. Intern. Med. 1988, 3, 32–37. [Google Scholar] [CrossRef] [PubMed]
- Jones, C. Influenza vaccination: Impact on absenteeism among nursing and medical staff in a metropolitan teaching hospital. Aust. Infect. Control. 1999, 4, 14–17. [Google Scholar] [CrossRef]
- Wilde, J.A.; McMillan, J.A.; Serwint, J.; Butta, J.; O’Riordan, M.A.; Steinhoff, M.C. Effectiveness of influenza vaccine in health care professionals: A randomized trial. JAMA 1999, 281, 908–913. [Google Scholar] [CrossRef] [Green Version]
- Michiels, B.; Philips, H.; Coenen, S.; Yane, F.; Steinhauser, T.; Stuyck, S.; Denekens, J.; Van Royen, P. The effect of giving influenza vaccination to general practitioners: A controlled trial [NCT00221676]. BMC Med. 2006, 4, 17. [Google Scholar]
- Colombo, G.L.; Ferro, A.; Vinci, M.; Zordan, M.; Serra, G. Cost-benefit analysis of influenza vaccination in a public healthcare unit. Ther. Clin. Risk Manag. 2006, 2, 219–226. [Google Scholar] [CrossRef] [PubMed] [Green Version]
- Ito, Y.; Sumi, H.; Kato, T. Evaluation of influenza vaccination in health-care workers, using rapid antigen detection test. J. Infect. Chemother. 2006, 12, 70–72. [Google Scholar] [CrossRef]
- Chan, S.S.-W. Does vaccinating ED health care workers against influenza reduce sickness absenteeism? Am. J. Emerg. Med. 2007, 25, 808–811. [Google Scholar] [CrossRef] [PubMed]
- Hui, L.S.; Hesahm, R.B.; Jaafar, M.H.b.; Hussaini, H.M.; Isahak, D.I. Effectiveness of inflfluenza vaccine in preventing inflfluenza-like illness among Faculty of Dentistry staff and students in Universiti Kebangsaan Malaysia. Healthc. Infect. 2008, 13, 4–9. [Google Scholar]
- Atamna, Z.; Chazan, B.; Nitzan, O.; Colodner, R.; Kfir, H.; Strauss, M.; Schwartz, N.; Markel, A. Seasonal Influenza Vaccination Effectiveness and Compliance among Hospital Health Care Workers. Isr. Med. Assoc. J. 2016, 18, 5–9. [Google Scholar]
- Amodio, E.; Pasquale, M.D.; Anastasi, G.; Gelsomino, V.; Morici, M.; Romano, N.; Torregrossa, M.V.; Cannova, L.; Calamusa, G.; Firenze, A. Influenza vaccination among healthcare workers and absenteeism from work due to influenza-like illness in a teaching hospital in Palermo. Ital. J. Public Health 2010, 7, 311–318. [Google Scholar]
- Kheok, S.W.; Chong, C.Y.; McCarthy, G.; Lim, W.Y.; Goh, K.T.; Razak, L.; Tee, N.W.S.; Tambyah, P.A. The efficacy of influenza vaccination in healthcare workers in a tropical setting: A prospective investigator blinded observational study. Ann. Acad. Med. Singap. 2008, 37, 465–469. [Google Scholar]
- Ishikane, M.; Kamiya, H.; Kawabata, K.; Higashihara, M.; Sugihara, M.; Tabuchi, A.; Kuwabara, M.; Yahata, Y.; Yamagishi, T.; Odagiri, T.; et al. Seasonal influenza vaccine (A/New York/39/2012) effectiveness against influenza A virus of health care workers in a long term care facility attached with the hospital, Japan, 2014/15: A cohort study. J. Infect. Chemother. 2016, 22, 777–779. [Google Scholar] [CrossRef]
- Nishi, K.; Mizuguchi, M.; Ueda, A. Effectiveness of influenza vaccine in health-care workers. Kansenshogaku Zasshi 2001, 75, 851–855. [Google Scholar] [CrossRef] [PubMed]
- Harada, H.; Kobayashi, T.; Wakamoto, Y.; Takita, S.; Sugiyama, S.; Kunitsugu, I.; Okuda, M.; Houbara, T. The efficacy and problems with influenza vaccination among hospital workers. Nihon Koshu Eisei Zasshi 2003, 50, 547–552. [Google Scholar] [PubMed]
- Min, L.; Gai-Fen, L.; Wei, Z.; Yan, W.; Li, W.; Shi, W. An Effect and Cost-Benefit Analysis of Influenza Vaccine among the Healthcare Worker. Chin. Gen. Pract. 2006, 9, 708–711. [Google Scholar]
- Ritsuko, S.; Katsuya, F.; Masaki, I.; Masako, N.; Hiroki, T. Effectiveness of Influenza Vaccine in Hospital Workers. Environ. Infect. 2001, 16, 303–308. [Google Scholar]
- Riphagen-Dalhuisen, J.; Burgerhof, J.G.; Frijstein, G.; Geest-Blankert, v.d.A.D.; Danhof-Pont, M.B.; de Jager, H.J.; Bos, A.A.; Smeets, E.E.; de Vries, M.J.; Gallee, P.M.; et al. Hospital-based cluster randomised controlled trial to assess effects of a multi-faceted programme on influenza vaccine coverage among hospital healthcare workers and nosocomial influenza in the Netherlands, 2009 to 2011. Euro. Surveill. 2013, 18, 20512. [Google Scholar] [CrossRef] [Green Version]
- World Health Organization. Vaccination Timing. Available online: https://www.who.int/influenza/vaccines/tropics/vaccination_timing/en/ (accessed on 3 August 2019).
- Centers for Disease Control and Prevention (CDC). Influenza Activity—United States, 2012–2013 season and composition of the 2013-14 influenza vaccine. MMWR Morb. Mortal. Wkly. Rep. 2013, 62, 473–479. [Google Scholar]
- World Health Organization. Influenza (Seasonal). Available online: https://www.who.int/news-room/fact-sheets/detail/influenza-(seasonal) (accessed on 18 May 2021).
- Lee, V.J.; Chen, M.I.; Yap, J.; Ong, J.; Lim, W.Y.; Lin, R.T.; Barr, I.; Ong, J.B.; Mak, T.M.; Goh, L.G.; et al. Comparability of different methods for estimating influenza infection rates over a single epidemic wave. Am. J. Epidemiol. 2011, 174, 468–478. [Google Scholar] [CrossRef]
- Thomas, R.E. Is influenza-like illness a useful concept and an appropriate test of influenza vaccine effectiveness? Vaccine 2014, 32, 2143–2149. [Google Scholar] [CrossRef]
- Gianino, M.M.; Politano, G.; Scarmozzino, A.; Charrier, L.; Testa, M.; Giacomelli, S.; Benso, A.; Zotti, C.M. Estimation of sickness absenteeism among Italian healthcare workers during seasonal influenza epidemics. PLoS ONE 2017, 12, e0182510. [Google Scholar] [CrossRef]
- Zaffina, S.; Gilardi, F.; Rizzo, C.; Sannino, S.; Brugaletta, R.; Santoro, A.; Castelli Gattinara, G.; Ciofi Degli Atti, M.L.; Raponi, M.; Vinci, M.R. Seasonal influenza vaccination and absenteeism in health-care workers in two subsequent influenza seasons (2016/17 and 2017/18) in an Italian pediatric hospital. Expert Rev. Vaccines 2019, 18, 411–418. [Google Scholar] [CrossRef]
- Van Buynder, P.G.; Konrad, S.; Kersteins, F.; Preston, E.; Brown, P.D.; Keen, D.; Murray, N.J. Healthcare worker influenza immunization vaccinate or mask policy: Strategies for cost effective implementation and subsequent reductions in staff absenteeism due to illness. Vaccine 2015, 33, 1625–1628. [Google Scholar] [CrossRef] [Green Version]
- Saxen, H.; Virtanen, M. Randomized, placebo-controlled double blind study on the efficacy of influenza immunization on absenteeism of health care workers. Pediatr. Infect. Dis. J. 1999, 18, 779–783. [Google Scholar] [CrossRef]
- Yassi, A.; Kettner, J.; Hammond, G.; Cheang, M.; McGill, M. Effectiveness and cost-benefit of an influenza vaccination program for health care workers. Can. J. Infect. Dis. 1991, 2, 101–108. [Google Scholar] [CrossRef] [Green Version]
- Chan, A.L.F.; Shie, H.-J.; Lee, Y.-J.; Lin, S.-J. The evaluation of free influenza vaccination in health care workers in a medical center in Taiwan. Pharm. World Sci. 2008, 30, 39–43. [Google Scholar] [CrossRef]
- Frederick, J.; Brown, A.C.; Cummings, D.A.; Gaydos, C.A.; Gibert, C.L.; Gorse, G.J.; Los, J.G.; Nyquist, A.C.; Perl, T.M.; Price, C.S.; et al. Protecting Healthcare Personnel in Outpatient Settings: The Influence of Mandatory Versus Nonmandatory Influenza Vaccination Policies on Workplace Absenteeism During Multiple Respiratory Virus Seasons. Infect. Control Hosp. Epidemiol. 2018, 39, 452–461. [Google Scholar] [CrossRef] [Green Version]
- Murti, M.; Otterstatter, M.; Orth, A.; Balshaw, R.; Halani, K.; Brown, P.D.; Hejazi, S.; Thompson, D.; Allison, S.; Bharmal, A.; et al. Measuring the impact of influenza vaccination on healthcare worker absenteeism in the context of a province-wide mandatory vaccinate-or-mask policy. Vaccine 2019, 37, 4001–4007. [Google Scholar] [CrossRef] [PubMed]
- Yang, J.; Atkins, K.E.; Feng, L.; Pang, M.; Zheng, Y.; Liu, X.; Cowling, B.J.; Yu, H. Seasonal influenza vaccination in China: Landscape of diverse regional reimbursement policy, and budget impact analysis. Vaccine 2016, 34, 5724–5735. [Google Scholar] [CrossRef] [PubMed] [Green Version]
- Gilca, R.; Skowronski, D.M.; Douville-Fradet, M.; Amini, R.; Boulianne, N.; Rouleau, I.; Martineau, C.; Charest, H.; De Serres, G. Mid-Season Estimates of Influenza Vaccine Effectiveness against Influenza A(H3N2) Hospitalization in the Elderly in Quebec, Canada, January 2015. PLoS ONE 2015, 10, e0132195. [Google Scholar] [CrossRef] [PubMed]
- Bert, F.; Thomas, R.; Lo Moro, G.; Scarmozzino, A.; Silvestre, C.; Zotti, C.M.; Siliquini, R. A new strategy to promote flu vaccination among health care workers: Molinette Hospital’s experience. J. Eval. Clin. Pract. 2020, 26, 1205–1211. [Google Scholar] [CrossRef] [PubMed]
- Tamburrano, A.; Mellucci, C.; Galletti, C.; Vitale, D.; Vallone, D.; Barbara, A.; Sguera, A.; Zega, M.; Damiani, G.; Laurenti, P. Improving Nursing Staff Attitudes toward Vaccinations through Academic Detailing: The HProImmune Questionnaire as a Tool for Medical Management. Int. J. Environ. Res. Public Health 2019, 16, 2006. [Google Scholar] [CrossRef] [Green Version]
- Alshammari, T.M.; Yusuff, K.B.; Aziz, M.M.; Subaie, G.M. Healthcare professionals’ knowledge, attitude and acceptance of influenza vaccination in Saudi Arabia: A multicenter cross-sectional study. BMC Health Serv. Res. 2019, 19, 229. [Google Scholar] [CrossRef] [PubMed]
- Andayi, F.; Emukule, G.O.; Osoro, E.; Ndegwa, L.K.; Otiato, F.; Muturi, P.; Azziz-Baumgartner, E.; Kalani, R.; Anyango, E.; Muthoka, P.M.; et al. Knowledge and attitude of Kenyan healthcare workers towards pandemic influenza disease and vaccination: 9 years after the last influenza pandemic. Vaccine 2021, 39, 3991–3996. [Google Scholar] [CrossRef] [PubMed]
- Choucair, K.; El Sawda, J.; Assaad, S.; El Chakhtoura, N.G.; Hassouna, H.; Sidani, N.; Yasmin, M.; Rteil, A.; Kanj, S.S.; Kanafani, Z.A. Knowledge, Perception, Attitudes and Behavior on Influenza Immunization and the Determinants of Vaccination. J. Epidemiol. Glob. Health 2021, 11, 34–41. [Google Scholar] [CrossRef]
- Cuadrado-Payan, E.; Montagud-Marrahi, E.; Torres-Elorza, M.; Bodro, M.; Blasco, M.; Poch, E.; Soriano, A.; Pineiro, G.J. SARS-CoV-2 and influenza virus co-infection. Lancet 2020, 395, e84. [Google Scholar] [CrossRef]
- Cheng, Y.; Ma, J.; Wang, H.; Wang, X.; Hu, Z.; Li, H.; Zhang, H.; Liu, X. Co-infection of influenza A virus and SARS-CoV-2: A retrospective cohort study. J. Med. Virol. 2021, 93, 2947–2954. [Google Scholar] [CrossRef]
- Fahim, M.; Ghonim, H.A.E.S.; Roshdy, W.H.; Naguib, A.; Elguindy, N.; AbdelFatah, M.; Hassany, M.; Mohsen, A.; Afifi, S.; Eid, A. Coinfection With SARS-CoV-2 and Influenza A(H1N1) in a Patient Seen at an Influenza-like Illness Surveillance Site in Egypt: Case Report. JMIR Public Health Surveill. 2021, 7, e27433. [Google Scholar] [CrossRef]




| Author, Published Year | Conducted Year | Published Language | Country | Source | Study Population | Age Mean (SD) exp./con. | Sample Size (exp./con.) | Comparison | Study Design | Follow-Up Period |
|---|---|---|---|---|---|---|---|---|---|---|
| Weingarten, 1988 [36] | 1985/1986 | English | the US | Hospital | HWs a | 35.8 (8.9)/37.0 (9.0) | 179 (91/88) | Placebo (saline) | RCT | 14 m |
| Jones, 1999 [37] | 1998 | English | Australia | Hospital | HWs b | - | 93 (46/47) | Unvaccinated | cohort study | 5 m |
| Wilde, 1999 [38] | 1992/1993 | English | the US | Hospital | HWs b | 28.4 (2.6)/28.9 (2.8) | 102 (52/50) | Meningococcal vaccine | RCT | 6 m |
| Wilde, 1999 [38] | 1993/1994 | English | the US | Hospital | HWs b | 28.0 (2.8)/28.3 (3.3) | 103 (51/52) | Pneumococcal vaccine | RCT | 6 m |
| Wilde, 1999 [38] | 1994/1995 | English | the US | Hospital | HWs b | 30.0 (5.1)/30.8 (5.9) | 156 (78/78) | Placebo (saline) | RCT | 6 m |
| Susa, 2001 [51] | 1999/2000 | Japanese | Japan | Hospital | HWs a | 38.2 (10.8)/41.2 (6.2), 40.8 (12.0) | 362 (196/166) | Unvaccinated | cohort study | 4 m |
| Nishi, 2001 [48] | 1999/2000 | Japanese | Japan | Hospital | HWs a | 39.5 (9.2)/37.1 (10.2) | 727 (132/595) | Unvaccinated | RCT | 3 m |
| Harada, 2003 [49] | 2000/2001 | Japanese | Japan | Hospital | HWs a | 36.3/38.1 | 348 (159/189) | Unvaccinated city office staff | RCT | 4 m |
| Barbara, 2006 [39] | 2002/2003 | English | Belgium | Hospital | HWs c | 42.4 (1.1)/40.0 (1.5) | 92 (59/33) | Unvaccinated | RCT | 6 m |
| Barbara, 2006 [39] | 2003/2004 | English | Belgium | Hospital | HWs c | 43.1 (0.9)/41.3 (10.8) | 72 (36/36) | Unvaccinated | RCT | 5 m |
| Colombo, 2006 [40] | 2002/2003 | English | Italy | Healthcare unit | HWs d | 44.3/43.2 | 214 (107/107) | Unvaccinated | cohort study | 4.5 m |
| Ito, 2006 [41] | 2002/2003 | English | Japan | Hospital | HWs a | 35.5 (10.3)/35.7 (9.4) | 366 (237/129) | Unvaccinated | cohort study | 4 m |
| Liu, 2006 [50] | 2004/2005 | Chinese | China | Hospital | HWs a | 40.5 (10.3)/38.4 (10.9) | 952 (487/465) | Unvaccinated | cohort study | 6 m |
| Chan, 2007 [42] | 2004/2005 | English | China | Emergency department | HWs e | 43.55 (8.85)/40.65 (6.99) | 73 (33/40) | Unvaccinated | cohort study | 10 m |
| Hui, 2008 [43] | 2005 | English | Malaysia | Faculty of Dentistry | HWs a | 22.0 (3.52)/22.5 (4.90) | 346 (170/176) | Unvaccinated | RCT | 4 m |
| Kheok, 2008 [46] | 2004/2005 | English | Singapore | Hospital | HWs b | 37 (11.3)/33 (9.1) | 541 (211/330) | Unvaccinated | cohort study | 12 m |
| Amodio, 2010 [45] | 2007/2008 | English | Italy | Hospital | HWs d | 49.9 (8.6)/47.2 (9.3) | 2608 (215/2393) | Unvaccinated | cohort study | 3 m |
| Atamna, 2016 [44] | 2014 | English | Israel | Hospital | HWs b | 43.15 (12.06)/39.32 (10.85) | 199 (97/102) | Unvaccinated | cohort study | 4 m |
| Ishikane, 2016 [47] | 2014/2015 | English | Japan | Long-term care facility | HWs e | - | 338 (288/50) | Unvaccinated | cohort study | 1 m |
| Author, Published Year | Selection | Comparability | Outcome | Total | |||||
|---|---|---|---|---|---|---|---|---|---|
| Item 1 | Item 2 | Item 3 | Item 4 | Item 5 | Item 6 | Item 7 | Item 8 | ||
| Jones, 1999 | ✵ | ✵ | ✵ | ✵ | × | ✵ | × | ✵ | 6 stars |
| Colombo, 2006 | ✵ | ✵ | ✵ | ✵ | ✵✵ | ✵ | × | ✵ | 8 stars |
| Ito, 2006 | ✵ | ✵ | ✵ | ✵ | × | × | × | ✵ | 5 stars |
| Liu, 2006 | ✵ | ✵ | ✵ | ✵ | ✵✵ | × | ✵ | ✵ | 8 stars |
| Susa, 2006 | ✵ | ✵ | ✵ | ✵ | × | × | × | ✵ | 5 stars |
| Chan, 2007 | ✵ | ✵ | ✵ | ✵ | × | ✵ | × | ✵ | 6 stars |
| Kheok, 2008 | ✵ | ✵ | ✵ | ✵ | × | ✵ | ✵ | ✵ | 7 stars |
| Amodio, 2010 | ✵ | ✵ | ✵ | ✵ | × | ✵ | × | ✵ | 6 stars |
| Atamna, 2016 | ✵ | ✵ | ✵ | ✵ | × | ✵ | × | ✵ | 6 stars |
| Ishikane, 2016 | ✵ | ✵ | ✵ | ✵ | × | ✵ | × | ✵ | 6 stars |
Publisher’s Note: MDPI stays neutral with regard to jurisdictional claims in published maps and institutional affiliations. |
© 2021 by the authors. Licensee MDPI, Basel, Switzerland. This article is an open access article distributed under the terms and conditions of the Creative Commons Attribution (CC BY) license (https://creativecommons.org/licenses/by/4.0/).
Share and Cite
Li, T.; Qi, X.; Li, Q.; Tang, W.; Su, K.; Jia, M.; Yang, W.; Xia, Y.; Xiong, Y.; Qi, L.; et al. A Systematic Review and Meta-Analysis of Seasonal Influenza Vaccination of Health Workers. Vaccines 2021, 9, 1104. https://doi.org/10.3390/vaccines9101104
Li T, Qi X, Li Q, Tang W, Su K, Jia M, Yang W, Xia Y, Xiong Y, Qi L, et al. A Systematic Review and Meta-Analysis of Seasonal Influenza Vaccination of Health Workers. Vaccines. 2021; 9(10):1104. https://doi.org/10.3390/vaccines9101104
Chicago/Turabian StyleLi, Tingting, Xiaoling Qi, Qin Li, Wenge Tang, Kun Su, Mengmeng Jia, Weizhong Yang, Yu Xia, Yu Xiong, Li Qi, and et al. 2021. "A Systematic Review and Meta-Analysis of Seasonal Influenza Vaccination of Health Workers" Vaccines 9, no. 10: 1104. https://doi.org/10.3390/vaccines9101104
APA StyleLi, T., Qi, X., Li, Q., Tang, W., Su, K., Jia, M., Yang, W., Xia, Y., Xiong, Y., Qi, L., & Feng, L. (2021). A Systematic Review and Meta-Analysis of Seasonal Influenza Vaccination of Health Workers. Vaccines, 9(10), 1104. https://doi.org/10.3390/vaccines9101104

