Abstract
Despite the effectiveness of current vaccines in reducing the spread and severity of SARS-CoV-2 infections, many people, including migrants, refugees, and foreign workers, are hesitant to be vaccinated. This systematic review and meta-analysis (SRMA) was conducted to determine the pooled prevalence estimate of the acceptance and hesitancy rates of the COVID-19 vaccine among these populations. A comprehensive search of the peer-reviewed literature indexed in PubMed, Scopus, Science Direct, and Web of Science databases was conducted. Initially, 797 potential records were identified, of which 19 articles met the inclusion criteria. A meta-analysis of proportions using data from 14 studies revealed that the overall acceptance rate of COVID vaccination among 29,152 subjects was 56.7% (95% CI: 44.9–68.5%), while the prevalence of vaccine hesitancy among 26,154 migrants reported in 12 studies was estimated to be 31.7% (95% CI: 44.9–68.5%). The acceptance rate for the COVID-19 vaccination first declined from 77.3% in 2020 to 52.9% in 2021 and then slightly increased to 56.1% in 2022. The most frequent factors influencing vaccine hesitancy were worries about vaccine efficacy and safety. Intensive vaccination campaigns should be implemented to raise vaccination awareness among migrants, which will increase the acceptance rate for the COVID-19 vaccine and result in herd immunity.
1. Introduction
The emergence of the COVID-19 pandemic has significantly impacted human society in many aspects, including public health, economic growth, education, and personal well-being [1,2]. Global health has been drastically impacted by the COVID-19 pandemic. By March 29, 2023, over 6.9 million people had died, and nearly 761 million had been infected with SARS-CoV-2 [3]. Despite intensive research efforts, there is currently no effective therapeutic approved for the treatment of SARS-CoV-2 infection. Vaccinating the majority of the world’s population represents a potential breakthrough [4]. Vaccination is currently considered the most powerful and cost-effective measure to combat such a global health crisis. However, vaccination is estimated to be required for approximately 67% of the population to achieve herd immunity and thus stop the pandemic [5]. Therefore, the willingness of the public to be vaccinated is the primary determinant of the success of any mass vaccination program [6].
Despite the approved COVID-19 vaccines being acknowledged to be safe and effective, the public’s confidence and acceptance remain uncertain and changing. A variety of barriers may contribute to the failure of any vaccination program, including inadequate access to healthcare, vaccination costs, inconvenient clinic hours for immunization, and vaccine hesitancy [7]. Vaccine hesitancy, according to the WHO definition, is the delayed acceptance or complete refusal to be vaccinated regardless of vaccine availability. There is a growing concern that vaccine hesitancy is increasing among individuals around the world, affecting limited-, middle-, and high-resource settings [8]. In this regard, scientific reports from a number of countries worldwide investigating attitudes toward prospective COVID-19 vaccines revealed high levels of vaccine hesitancy [9,10].
According to previous SRMA findings, minority ethnic groups were less likely to intend to receive the COVID-19 vaccine [11]. The COVID-19 pandemic has disproportionately affected ethnic minorities, including immigrants, refugees, and asylum seekers, who have higher rates of infection, hospitalization, and death [12,13,14]. In this regard, various studies have highlighted the disproportionate COVID-19 prevalence among migrants, thereby calling for vaccine access to be prioritized among this vulnerable group. Therefore, the International Organization for Migration (IOM) urges governments to include all migrants living in their countries in national COVID-19 vaccination plans, given that no one will be safe until everyone is protected. Furthermore, the success of any vaccine is dependent on both its effectiveness and vaccination coverage. As a result, evaluating the acceptance rate of COVID-19 vaccines is necessary to determine the vaccination status and level of population immunity that will aid in the prevention and control of any pandemic [15]. Accordingly, this SRMA was conducted to address this threat by providing a comprehensive analysis of the existing data to generate reliable estimates of COVID-19 vaccine hesitancy and acceptance among these populations. This will allow public health officials to design vaccination strategies to promote vaccination among this vulnerable group.
2. Materials and Methods
2.1. Reporting Guidelines
The updated Preferred Reporting Items for Systematic Reviews and Meta-Analyses (PRISMA) was followed when conducting this SRMA (Table S1) [16].
2.2. Search Strategies
On 4 September 2020, a comprehensive literature search of peer-reviewed articles indexed in Web of Science, Science Direct, PubMed, and Scopus databases was conducted, and it was later updated on 17 March 2023 to find studies evaluating COVID-19 vaccine acceptance/hesitancy among migrants, refugees, and foreign workers published between January 2020 and March 2023. Furthermore, the reviewed records’ reference lists were manually checked for any additional relevant studies. The comprehensive search strategy for all databases is shown in Table S2.
2.3. Selection Criteria
Studies were included in this SRMA if they (1) reported sufficient data to calculate the COVID-19 vaccine acceptance/ hesitancy rate and (2) were conducted among migrants, refugees, and foreign workers irrespective of language restrictions, while articles that did not attempt to determine the prevalence of COVID-19 vaccine acceptance or hesitancy in the target population, as well as those with missing or overlapping data, were excluded. In addition, studies with only abstracts and case reports, as well as review articles, were not included.
2.4. Study Selection
The potential studies retrieved from the four electronic databases were managed using the EndNote program, where the duplicated records were removed. Initially, two researchers (H.A.M. and K.H.) independently reviewed the titles and/or the abstracts of the remaining studies. Subsequently, the full texts of all abstracts that appeared to be eligible for inclusion were then obtained. Subsequently, three authors (N.A.A., M.A. and M.G.) carried out full text selection based on the predetermined eligibility criteria. Disagreements between the authors were resolved through discussion.
2.5. Data Extraction
Using a standardized data extraction sheet, the relevant data from the potential studies were extracted by four reviewers (A.A., R.H.A., H.A.A. and M.F.A.). The extracted data were then verified by two authors (H.M.A. and A.A.Al.) to minimize errors and ensure consistency. The following information was extracted from each eligible study: the first author’s name, year of publication, target population, study period, host country, acceptance/hesitancy rate, and factors associated with acceptance/hesitancy.
2.6. Quality Assessment
The Joana Briggs Institute (JBI) checklist was used by two authors (I.A.A. and A.S.A.) to evaluate the methodological quality (risk of bias) of each study [17]. The two authors’ evaluations were then compared, and any disagreements were resolved through consensus. The quality of studies was either high (with a score of >70% reporting ‘yes’), moderate (with scores ranging from 50% to 70% reporting ‘yes’), or low (scores of <50% reporting ‘yes’) [18,19].
2.7. Statistical Analysis
Using random-effects model, the outcomes of the included studies were pooled, while heterogeneity was achieved using Cochran’s Q-test and I2 statistics. A cut-off value of ≥75% for the I2 statistic was considered substantial heterogeneity [20], with a p-value of < 0.05 indicating a significant degree of heterogeneity. Egger’s regression test and funnel plots were used to identify potential publication bias. Subgroup analysis was carried out to further investigate potential sources of heterogeneity.
3. Results
3.1. Study Selection
According to the search strategy described in Table S2, 797 potential studies were retrieved. Of these, 233 articles were duplicates. Another 417 irrelevant studies were excluded during the title and abstract screening. Following full text screening, 128 irrelevant articles were excluded, leaving 19 articles eligible for data extraction and inclusion in the qualitative analysis. Of them, only 14 studies were included in the meta-analysis. A flowchart of the systematic literature search, as well as the selection process, is summarized in the PRISMA format (Figure 1).
Figure 1.
PRISMA flow diagram of study selection.
3.2. Characteristics of Included Studies
The characteristics of all the 19 included studies are presented in Table 1. Three of them were conducted in 2020, eleven in 2021, and the remaining five were conducted between 2020 and 2021 or 2021 and 2022. Overall, 31,537 migrants were included, with sample sizes ranging from 32 in the United Kingdom to 14,917 in China. The migrants were recruited in fourteen different countries across five WHO regions, and one study was carried out in two different regions. The majority of the studies were conducted using online or phone surveys and a cross-sectional design. The acceptance rate was reported in 14 of the 19 included studies, while vaccine hesitancy was reported in 12 of them.
Table 1.
Major characteristics of the included studies.
3.3. Intention to Accept COVID-19 Vaccine
The primary outcome (COVID-19 vaccine acceptance) was assessed in most of the included studies using the following question: If a COVID-19 vaccine is available, would you get vaccinated? Three options, ‘yes’, ‘no’, and ‘unsure’, were used.
3.4. Prevalence of Vaccine Acceptance and Hesitancy
The pooled estimate of the COVID-19 vaccination acceptance rate was 56.7% (95% CI: 44.9–68.5%) (Figure 2), with substantial heterogeneity (I2 = 100%, p < 0.0001) observed across the included studies. The highest acceptance rate (88.5 %, 95% CI: 86.7–90.1%) was reported in a study conducted in Japan [38], and the lowest (21.9 %, 95% CI: 9.3–40.0%) was reported in the UK [27]. In contrast, the pooled COVID-19 vaccine hesitancy rate and 95% confidence interval was 31.7 % (95% CI: 21.5–42.0%) (Figure 3). Al-Hatamleh et al. [23] reported the highest hesitancy rate (49.9%, 95% CI: 45.4–54.4%) in a study in Jordan, whereas a study conducted in Japan by Teng et al. [38] reported the lowest vaccination hesitancy rate (11.5% (95% CI: 9.9–13.3%)).
Figure 2.
Pooled prevalence of COVID-19 vaccine acceptance [21,22,24,25,27,29,30,31,32,34,35,36,37,38].
Figure 3.
Pooled prevalence of COVID-19 vaccine hesitancy [21,22,23,25,27,29,31,32,33,36,38,39].
The subgroup analysis for the WHO regions revealed that the region of the Americas had the highest rate of COVID-19 vaccine acceptance (64.3%), followed by the Western Pacific Region (63.7%) and the Eastern Mediterranean Region (61.3%), while the lowest was from the European Region (21.9 %) (Table 2, Figure S1). Based on the participants’ enrolment time, the acceptance rate of COVID-19 vaccination was remarkably high in 2020 (77.3%) before declining to 52.9% in 2021 and then slightly rising to 56.1% in 2022. In contrast, the hesitancy rate increased from 18.7% in 2020 to 29.5% in 2021 and 49.9% in studies conducted between 2021 and 2022. Furthermore, the subgroup analysis revealed that the pooled hesitancy of the COVID-19 vaccine was 71.9% in the WHO region of Europe, 36.5% in the Eastern Mediterranean Region, and 31.0% in the Western Pacific Region (Table 3, Figure S2).
Table 2.
Pooled estimates of COVID-19 vaccine acceptance in different subgroups.
Table 3.
Pooled estimates of COVID-19 vaccine hesitancy in different subgroups.
3.5. Potential Factors Associated with COVID-19 Vaccine Acceptance and Hesitancy
The most commonly identified factors associated with COVID-19 vaccine acceptance and hesitancy are illustrated in Table 1. The potential side-effects were the main concern for migrants concerning receiving the COVID-19 vaccine. The main concern of migrants in accepting the COVID-19 vaccine was the potential side-effects, which were reported in nine studies [22,23,25,28,31,33,35,38,39]. Vaccine safety [21,22,33,34,37,38], trust [25,26,27,32,33,35], and effectiveness [21,37,38] were also other factors for vaccine hesitancy among migrants. Concerns were also expressed regarding additional key factors, such as the lack of access to the COVID-19 vaccine [27,36], the number of doses [23], and the sufficiency of information [32]. Finally, concerns that the vaccine is religiously prohibited [36], a lack of legal documents [26], and the belief that COVID-19 is not dangerous [28] were also identified as potential factors.
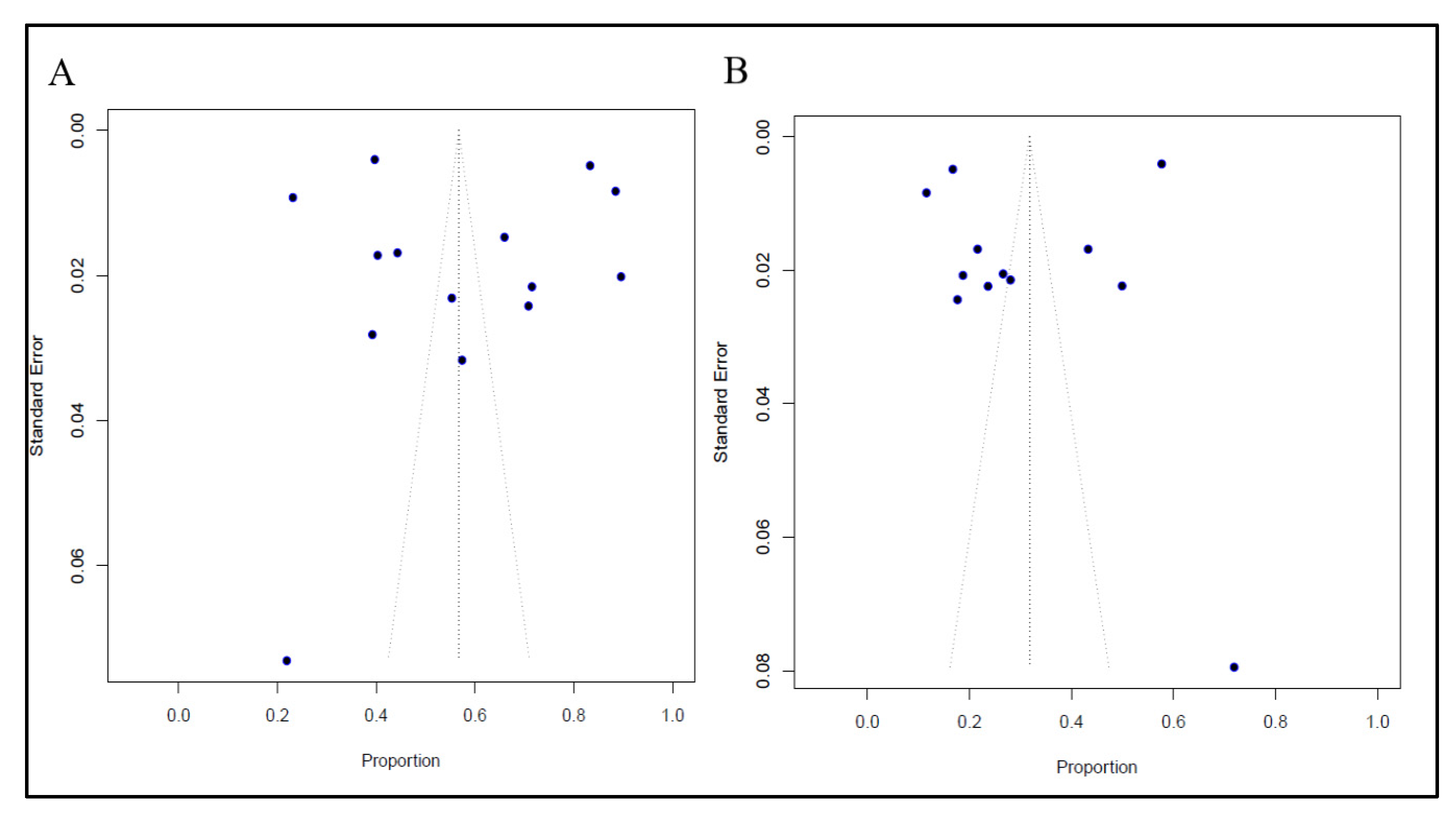
3.6. Quality Assessment and Publication Bias
The methodological quality assessments of all the included study are presented in Table S3. The quality of studies was considered high (low risk of bias) in 10 (52.6%) studies, moderate (moderate risk of bias) in 7 (36.9%) studies, and low (high risk of bias) in 2 (10.5%) studies. The studies were distributed asymmetrically, as seen by a visual examination of the funnel plot (Figure 4), indicating the presence of some publication bias. However, the Egger’s regression test was not statistically significant (p > 0.05).
Figure 4.
Funnel plot of publication bias of the included studies. (A) Vaccine acceptance. (B) Vaccine hesitancy.
4. Discussion
Vaccination remains one of the most cost-effective measures for preventing disease spread and limiting disease burden. Hence, it has played a critical role in containing the COVID-19 pandemic, significantly reducing infection rates, deaths, and the number of serious illnesses associated with COVID-19 infection [40]. However, the vast majority of the adult population should be vaccinated for COVID-19 vaccination strategies to be effective in any country. This goal is unlikely to be met unless all members of the community, including migrants, refugees, and foreign workers, are fully vaccinated. Given the availability of several COVID-19 vaccines, government and public awareness campaigns have convinced many people to get vaccinated. However, vaccine hesitancy remains a major challenge, as many people are still unwilling to receive the vaccination, are less likely to accept the booster shots, and are even hesitant to vaccinate their children. According to this SRMA, the overall prevalence of COVID-19 vaccination acceptance among the 29,152 migrants involved in 14 studies across 14 countries was 56.7% (95% CI: 44.9–68.5%). This rate was lower than previous estimates of COVID-19 vaccine acceptance observed in the global population (67.8%) [41], healthcare workers (65.65%) [42], and healthcare students (68.8%) [43]. The lower acceptance rate among migrants compared to healthcare workers and students is possibly because they may not have been exposed to various health-related information, which may result in low levels of awareness about the COVID-19 vaccines’ safety and effectiveness, thereby influencing their decision to be vaccinated. Meanwhile, healthcare professionals may be well informed about the benefits of vaccination against infectious diseases. In the same manner, the pooled estimate of the acceptance rate in this SRMA was lower than the global average for the general population (67.8%) [41]. It was also lower than the 61% acceptance rate reported in a previous SRMA of 172 studies conducted in 50 countries [44]. Furthermore, Wang et al. estimated that 81.65% of the general population would be willing to receive vaccinations based on the findings of 38 studies [42]. The variations in COVID-19 vaccine acceptance rates could be attributed to study period and study population differences.
Based on our findings, approximately one-third (31.7, 95% CI: 44.9–68.5%) of migrants reported in 12 studies were hesitant to accept a COVID-19 vaccine. The current finding is slightly higher than previous meta-analysis estimates of vaccine hesitancy in the general population, which ranged from 25% to 27.03% [45,46]. In contrast, a higher rate (38.2%) of hesitation to receive COVID-19 vaccination was reported among the general population (38.2%) [47]. The precise underlying factors responsible for COVID-19 vaccination hesitancy among migrants compared to the general population could not be identified. However, the hesitancy, in general, can be associated with several factors, including socioeconomic status, awareness, and knowledge. Nevertheless, a scoping review conducted by Tankwanchi et al. suggested that various migrant populations may have experienced vaccine hesitancy before the onset of the COVID-19 pandemic [48]. In this regard, Polish migrants in the UK were hesitant and reluctant to receive the influenza vaccine [49,50]. Likewise, measles vaccine resistance has been documented among Somali migrants in various Western countries [51,52].
Thus, it is a difficult but crucial task to address the causes of vaccine hesitancy and the barriers to vaccine acceptance. Based on several scientific studies, perceived vaccine safety and effectiveness were the most frequent causes of vaccine hesitancy in previous vaccination programs. However, given that vaccination hesitancy is widely acknowledged to be a complex phenomenon, several predictors other than safety and efficacy concerns were found to be associated with it. This includes the following: high complacency resulted in a more negative perception of disease risks, the negative impact of misinformation and conspiracy beliefs, and access to vaccination services is not very convenient [45,53,54,55].
The subgroup analysis revealed that the regions of America had the highest rate of willingness to receive the vaccine (64.3 %), followed by the Western Pacific Region (63.7%) and the Eastern Mediterranean Region (61.3), while the lowest was from the European Region (21.9 %). The regional variations in acceptance rates have been consistently highlighted in previous reviews [56,57]. This variation can be attributed to concerns about vaccine equity as well as the implementation of different vaccine mandates.
The percentage of people who accept the COVID-19 vaccine showed a declining trend from the beginning of the pandemic, followed by an increasing trend [41]. This was consistent with our findings, as the acceptance rate of COVID-19 vaccination among migrants first declined from 77.3% in 2020 to 52.9% in 2021 and then slightly increased to 56.1% in 2022. Similarly, vaccination intentions have decreased over time, while vaccine hesitancy has increased [58]. Concerns about vaccine safety and efficacy, as well as misinformation about COVID-19, may have contributed to the decline in the acceptance rate at the beginning of the pandemic [42,59]. However, one possible explanation for the increase in vaccine acceptance in 2022 could be the scientific evidence about the COVID-19 vaccine has become more comprehensive.
The reliance on personal research to gather information highlights the important role that social media has in significantly influencing public opinion regarding vaccine uptake. Accordingly, it appears that health communication plans can help people understand and overcome vaccine hesitancy. For example, social media can disseminate reliable information on topics such as the risk of contracting the virus, the severity of the disease, or the effectiveness and safety of the available vaccines. Therefore, healthcare authorities must acknowledge the power and influence of social media and develop creative innovative awareness-raising and information dissemination strategies to boost vaccine uptake.
Although this SRMA used a comprehensive and systematic search strategy, the included studies in this review are from only 14 countries, most of which are developed. In addition, studies conducted in Africa, where nearly one-third of the world’s refugee population resides, are lacking. Thus, future research is required to assess vaccine acceptance/resistance in various studies from Africa and other parts of the world. Such studies could provide an accurate estimate of the true acceptance rate. In addition, the potential determinants of vaccine hesitancy among migrants must be thoroughly investigated. Overall, the pooled estimate of the acceptance and hesitancy rate may not accurately reflect migrants’ intentions to accept COVID-19 vaccination. The direct implications of this SRMA in terms of future research and COVID-19 vaccination policy include the following aspects: First, the review establishes a baseline for future research to provide sufficient detail about COVID-19 vaccine acceptance/ hesitancy among migrants, refugees, and foreign workers. Second, the low vaccination rates act as scientific evidence for decision-makers to increase vaccination awareness, which will increase the acceptance of the COVID-19 vaccine and help control the pandemic.
5. Conclusions
The number of migrants who accepted or were willing to accept the COVID-19 vaccine was relatively low, which is a concerning finding that needs be further investigated in future studies. Accordingly, governments and public health authorities should collaborate to implement various vaccination interventions, such as continuing to provide professional training on the effectiveness and safety of the available vaccines in order to improve the COVID-19 vaccine’s acceptance and minimize vaccine hesitancy among migrants, refugees, and foreign workers.
Supplementary Materials
The following supporting information can be downloaded at: https://www.mdpi.com/article/10.3390/vaccines11061070/s1, Table S1: PRISMA checklist. Table S2: Detailed search strategy. Table S3: Quality assessment of the included studies. Subgroup analysis representing the COVID-19 vaccine acceptance. Figure S1: Subgroup analysis representing the COVID-19 vaccine acceptance. Figure S2: Subgroup analysis representing the COVID-19 vaccine hesitancy based on: A. WHO regions, B. Survey tool and C. Enrolment time.
Author Contributions
Conceptualization, A.A.R., K.H. and N.A.K.; methodology, K.H., H.-A.M., N.A.K., M.A., M.G., A.A.A. (Anood A. Alenezy), R.H.A., H.A.A. and M.F.A.-S., software, K.H.; validation, H.-A.M., A.A.A. (Ahmad A. Alshehri), I.A.A. and A.S.A.; formal analysis, K.H.; investigation, F.S.B. and K.H.; resources N.H.A. and A.A.A. (Amal A. Alzayer); data curation, H.-A.M., K.H. and A.A.R.; writing—original draft preparation, K.H.; writing—review and editing, H.M.A., N.H.A. and A.A.A. (Amal A. Alzayer); visualization, H.-A.M.; supervision, K.H.; project administration, A.A.R. and K.H.; funding acquisition, K.H. All authors have read and agreed to the published version of the manuscript.
Funding
This research received no external funding.
Institutional Review Board Statement
Not applicable.
Informed Consent Statement
Not applicable.
Data Availability Statement
The data generated in this study are available within the manuscript and Supplementary Materials.
Conflicts of Interest
The authors declare no conflict of interest.
References
- Asare, P.; Barfi, R.J.E. The impact of COVID-19 pandemic on the Global economy: Emphasis on poverty alleviation and economic growth. Econ. Financ. Lett. 2021, 8, 32–43. [Google Scholar] [CrossRef]
- Tarkar, P. Impact of COVID-19 pandemic on education system. Int. J. Adv. Sci. Technol. 2020, 29, 3812–3814. [Google Scholar]
- World Health Organization. WHO Coronavirus Disease (COVID-19) Dashboard. Available online: https://covid19.who.int/ (accessed on 17 March 2023).
- Grochowska, M.; Ratajczak, A.; Zdunek, G.; Adamiec, A.; Waszkiewicz, P.; Feleszko, W. A Comparison of the Level of Acceptance and Hesitancy towards the Influenza Vaccine and the Forthcoming COVID-19 Vaccine in the Medical Community. Vaccines 2021, 9, 475. [Google Scholar] [CrossRef] [PubMed]
- Fontanet, A.; Cauchemez, S. COVID-19 herd immunity: Where are we? Nat. Rev. Immunol. 2020, 20, 583–584. [Google Scholar] [CrossRef] [PubMed]
- MacDonald, N.E. Vaccine hesitancy: Definition, scope and determinants. Vaccine 2015, 33, 4161–4164. [Google Scholar] [CrossRef]
- Anderson, E.L. Recommended solutions to the barriers to immunization in children and adults. Mo. Med. 2014, 111, 344–348. [Google Scholar]
- Dubé, E.; Gagnon, D.; Nickels, E.; Jeram, S.; Schuster, M. Mapping vaccine hesitancy—Country-specific characteristics of a global phenomenon. Vaccine 2014, 32, 6649–6654. [Google Scholar] [CrossRef]
- Aw, J.; Seng, J.J.B.; Seah, S.S.Y.; Low, L.L. COVID-19 vaccine hesitancy—A scoping review of literature in high-income countries. Vaccines 2021, 9, 900. [Google Scholar] [CrossRef]
- Aw, J.; Seah, S.S.Y.; Seng, B.J.J.; Low, L.L. COVID-19-related vaccine hesitancy among community hospitals’ healthcare workers in Singapore. Vaccines 2022, 10, 537. [Google Scholar] [CrossRef]
- Robinson, E.; Jones, A.; Lesser, I.; Daly, M. International estimates of intended uptake and refusal of COVID-19 vaccines: A rapid systematic review and meta-analysis of large nationally representative samples. Vaccine 2021, 39, 2024–2034. [Google Scholar] [CrossRef]
- Gross, C.P.; Essien, U.R.; Pasha, S.; Gross, J.R.; Wang, S.-Y.; Nunez-Smith, M. Racial and Ethnic Disparities in Population-Level COVID-19 Mortality. J. Gen. Intern. Med. 2020, 35, 3097–3099. [Google Scholar] [CrossRef]
- Karaca-Mandic, P.; Georgiou, A.; Sen, S. Assessment of COVID-19 Hospitalizations by Race/Ethnicity in 12 States. JAMA Intern. Med. 2021, 181, 131–134. [Google Scholar] [CrossRef] [PubMed]
- Kirby, T. Evidence mounts on the disproportionate effect of COVID-19 on ethnic minorities. Lancet Respir. Med. 2020, 8, 547–548. [Google Scholar] [CrossRef] [PubMed]
- Crawshaw, A.F.; Farah, Y.; Deal, A.; Rustage, K.; Hayward, S.E.; Carter, J.; Knights, F.; Goldsmith, L.P.; Campos-Matos, I.; Wurie, F.; et al. Defining the determinants of vaccine uptake and undervaccination in migrant populations in Europe to improve routine and COVID-19 vaccine uptake: A systematic review. Lancet Infect. Dis. 2022, 22, e254–e266. [Google Scholar] [CrossRef] [PubMed]
- Page, M.J.; Moher, D.; Bossuyt, P.M.; Boutron, I.; Hoffmann, T.C.; Mulrow, C.D.; Shamseer, L.; Tetzlaff, J.M.; Akl, E.A.; Brennan, S.E. PRISMA 2020 explanation and elaboration: Updated guidance and exemplars for reporting systematic reviews. BMJ 2021, 372, n160. [Google Scholar] [CrossRef] [PubMed]
- Moola, S.; Munn, Z.; Tufanaru, C.; Aromataris, E.; Sears, K.; Sfetcu, R.; Currie, M.; Lisy, K.; Qureshi, R.; Mattis, P.; et al. Chapter 7: Systematic Reviews of Etiology and Risk. In JBI Manual for Evidence Synthesis; Aromataris, E., Munn, Z., Eds.; JBI: Adelaide, South Australia, 2020; Available online: https://synthesismanual.jbi.global (accessed on 17 March 2023).
- Hajissa, K.; Islam, M.A.; Hassan, S.A.; Zaidah, A.R.; Ismail, N.; Mohamed, Z. Seroprevalence of SARS-CoV-2 Antibodies in Africa: A Systematic Review and Meta-Analysis. Int. J. Environ. Res. Public Health 2022, 19, 7257. [Google Scholar] [CrossRef]
- Yamin, D.; Akanmu, M.H.; Al Mutair, A.; Alhumaid, S.; Rabaan, A.A.; Hajissa, K.; Disease, I. Global Prevalence of Antifungal-Resistant Candida parapsilosis: A Systematic Review and Meta-Analysis. Trop. Med. Infect. Dis. 2022, 7, 188. [Google Scholar] [CrossRef]
- Chang, C.-T.; Ang, J.-Y.; Islam, M.A.; Chan, H.-K.; Cheah, W.-K.; Gan, S.H. Prevalence of Drug-Related Problems and Complementary and Alternative Medicine Use in Malaysia: A Systematic Review and Meta-Analysis of 37,249 Older Adults. Pharmaceuticals 2021, 14, 187. [Google Scholar] [CrossRef]
- Acharya, S.R.; Moon, D.H.; Shin, Y.C. Assessing attitude toward COVID-19 vaccination in South Korea. Front. Psychol. 2021, 12, 694151. [Google Scholar] [CrossRef]
- Alabdulla, M.; Reagu, S.M.; Al-Khal, A.; Elzain, M.; Jones, R.M. COVID-19 vaccine hesitancy and attitudes in Qatar: A national cross-sectional survey of a migrant-majority population. Influenza Other Respir. Viruses 2021, 15, 361–370. [Google Scholar] [CrossRef]
- Al-Hatamleh, M.A.I.; Hatmal, M.M.; Mustafa, S.H.F.; Alzu’bi, M.; AlSou’b, A.F.; Abughanam, S.N.S.; Olaimat, A.N.; Kateeb, E.T.; Mohamud, R. Experiences and perceptions of COVID-19 infection and vaccination among Palestinian refugees in Jerash camp and Jordanian citizens: A comparative cross-sectional study by face-to-face interviews. Infect. Dis. Poverty 2022, 11, 123. [Google Scholar] [CrossRef] [PubMed]
- Ali, Z.; Perera, S.M.; Garbern, S.C.; Diwan, E.A.; Othman, A.; Ali, J.; Awada, N. Variations in COVID-19 Vaccine Attitudes and Acceptance among Refugees and Lebanese Nationals Pre- and Post-Vaccine Rollout in Lebanon. Vaccines 2022, 10, 1533. [Google Scholar] [CrossRef] [PubMed]
- Allen, J.D.; Priebe Rocha, L.; Rose, R.; Hoch, A.; Porteny, T.; Fernandes, A.; Galvão, H. Intention to obtain a COVID-19 vaccine among Brazilian immigrant women in the U.S. PLoS ONE 2022, 17, e0274912. [Google Scholar] [CrossRef]
- Benavides-Melo, J.; Rojas-Bautista, L.; Jaramillo-Arellano, A.; Montenegro-Coral, F.A.; Rosero-Galindo, C.Y.; Salas-Zambrano, A.; Pabón-Peña, N.C.; Almeida-Solarte, D.L.; Andrade-Campaña, C.D.; Arce-Oliva, L.M.; et al. COVID-19 vaccination intention among Venezuelan migrant populations in Colombia, 2021. Travel Med. Infect. Dis. 2022, 47, 102250. [Google Scholar] [CrossRef] [PubMed]
- Deal, A.; Hayward, S.E.; Huda, M.; Knights, F.; Crawshaw, A.F.; Carter, J.; Hassan, O.B.; Farah, Y.; Ciftci, Y.; Rowland-Pomp, M.; et al. Strategies and action points to ensure equitable uptake of COVID-19 vaccinations: A national qualitative interview study to explore the views of undocumented migrants, asylum seekers, and refugees. J. Migr. Health 2021, 4, 100050. [Google Scholar] [CrossRef]
- Führer, A.; Pacolli, L.; Yilmaz-Aslan, Y.; Brzoska, P. COVID-19 Vaccine Acceptance and Its Determinants among Migrants in Germany—Results of a Cross-Sectional Study. Vaccines 2022, 10, 1350. [Google Scholar] [CrossRef]
- Hnuploy, K.; Sornlorm, K.; Soe, T.K.; Khammaneechan, P.; Rakchart, N.; Jongjit, W.; Supaviboolas, S.; Chutipattana, N. COVID-19 Vaccine Acceptance and Its Determinants among Myanmar Migrant Workers in Southern Thailand. Int. J. Environ. Res. Public Health 2022, 19, 3420. [Google Scholar] [CrossRef]
- Hong, L.; Jin, Z.; Xu, K.; Shen, G.; Zou, Y.; Li, R.; Xu, L.; Wang, D.; Chen, L.; Wu, Y.; et al. COVID-19 vaccine uptake and vaccine hesitancy in rural-to-urban migrant workers at the first round of COVID-19 vaccination in China. BMC Public Health 2023, 23, 139. [Google Scholar] [CrossRef]
- Khaled, S.; Petcu, C.; Bader, L.; Amro, I.; Al-Hamadi, A.; Al-Assi, M.; Ali, A.A.M.; Le Trung, K.; Diop, A.; Bellaj, T. Prevalence and Potential Determinants of COVID-19 Vaccine Hesitancy and Resistance in Qatar. Vaccines 2021, 9, 471. [Google Scholar] [CrossRef]
- Liddell, B.J.; Murphy, S.; Mau, V.; Bryant, R.; O’Donnell, M.; McMahon, T.; Nickerson, A. Factors associated with COVID-19 vaccine hesitancy amongst refugees in Australia. Eur. J. Psychot. 2021, 12, 1997173. [Google Scholar] [CrossRef]
- Lin, S. COVID-19 Pandemic and Im/migrants’ Elevated Health Concerns in Canada: Vaccine Hesitancy, Anticipated Stigma, and Risk Perception of Accessing Care. J. Immigr. Minor. Health 2022, 24, 896–908. [Google Scholar] [CrossRef]
- Page, K.R.; Genovese, E.; Franchi, M.; Cella, S.; Fiorini, G.; Tlili, R.; Salazar, S.; Duvoisin, A.; Cailhol, J.; Jackson, Y. COVID-19 vaccine hesitancy among undocumented migrants during the early phase of the vaccination campaign: A multicentric cross-sectional study. BMJ Open 2022, 12, e056591. [Google Scholar] [CrossRef] [PubMed]
- Salibi, N.; Abdulrahim, S.; El Haddad, M.; Bassil, S.; El Khoury, Z.; Ghattas, H.; McCall, S.J. COVID-19 vaccine acceptance in older Syrian refugees: Preliminary findings from an ongoing study. Prev. Med. Rep. 2021, 24, 101606. [Google Scholar] [CrossRef] [PubMed]
- Shaw, J.; Anderson, K.B.; Fabi, R.E.; Thompson, C.A.; Harris, M.; Aljabbarin, N.; Bolourchi, D.; Mozo, N.; Lichtenstein, D.; Lupone, C.D.; et al. COVID-19 vaccination intention and behavior in a large, diverse, US refugee population. Vaccine 2022, 40, 1231–1237. [Google Scholar] [CrossRef]
- Talafha, Q.M.; Al-Haidose, A.; AlSamman, A.Y.; Abdallah, S.A.; Istaiteyeh, R.; Ibrahim, W.N.; Hatmal, M.M.; Abdallah, A.M. COVID-19 Vaccine Acceptance among Vulnerable Groups: Syrian Refugees in Jordan. Vaccines 2022, 10, 1634. [Google Scholar] [CrossRef]
- Teng, Y.; Hanibuchi, T.; Nakaya, T. Does the Integration of Migrants in the Host Society Raise COVID-19 Vaccine Acceptance? Evidence From a Nationwide Survey in Japan. J. Immigr. Minor. Health 2022, 25, 255–265. [Google Scholar] [CrossRef] [PubMed]
- West, H.; Lawton, A.; Hossain, S.; Mustafa, A.G.; Razzaque, A.; Kuhn, R. COVID-19 vaccine hesitancy among temporary foreign workers from Bangladesh. Health Syst. Reform 2021, 7, e1991550. [Google Scholar] [CrossRef]
- Rossman, H.; Shilo, S.; Meir, T.; Gorfine, M.; Shalit, U.; Segal, E. COVID-19 dynamics after a national immunization program in Israel. Nat. Med. 2021, 27, 1055–1061. [Google Scholar] [CrossRef]
- Wang, Q.; Hu, S.; Du, F.; Zang, S.; Xing, Y.; Qu, Z.; Zhang, X.; Lin, L.; Hou, Z. Mapping global acceptance and uptake of COVID-19 vaccination: A systematic review and meta-analysis. Commun. Med. 2022, 2, 113. [Google Scholar] [CrossRef] [PubMed]
- Wang, Q.; Yang, L.; Jin, H.; Lin, L. Vaccination against COVID-19: A systematic review and meta-analysis of acceptability and its predictors. Prev. Med. 2021, 150, 106694. [Google Scholar] [CrossRef]
- Patwary, M.M.; Bardhan, M.; Haque, M.Z.; Sultana, R.; Alam, M.A.; Browning, M.H.E.M. COVID-19 vaccine acceptance rate and its factors among healthcare students: A systematic review with meta-analysis. Vaccines 2022, 10, 806. [Google Scholar] [CrossRef]
- Norhayati, M.N.; Che Yusof, R.; Azman, Y.M. Systematic review and meta-analysis of COVID-19 vaccination acceptance. Front. Med. 2022, 8, 3091. [Google Scholar] [CrossRef] [PubMed]
- Fajar, J.K.; Sallam, M.; Soegiarto, G.; Sugiri, Y.J.; Anshory, M.; Wulandari, L.; Kosasih, S.A.P.; Ilmawan, M.; Kusnaeni, K.; Fikri, M.; et al. Global Prevalence and Potential Influencing Factors of COVID-19 Vaccination Hesitancy: A Meta-Analysis. Vaccines 2022, 10, 1356. [Google Scholar] [CrossRef] [PubMed]
- Veronese, N.; Saccaro, C.; Demurtas, J.; Smith, L.; Dominguez, L.J.; Maggi, S.; Barbagallo, M. Prevalence of unwillingness and uncertainty to vaccinate against COVID-19 in older people: A systematic review and meta-analysis. Ageing Res. Rev. 2021, 72, 101489. [Google Scholar] [CrossRef]
- Patwary, M.M.; Alam, M.A.; Bardhan, M.; Disha, A.S.; Haque, M.Z.; Billah, S.M.; Kabir, M.P.; Browning, M.H.; Rahman, M.M.; Parsa, A.D.; et al. COVID-19 vaccine acceptance among low-and lower-middle-income countries: A rapid systematic review and meta-analysis. Vaccines 2022, 10, 427. [Google Scholar] [CrossRef]
- Tankwanchi, A.S.; Jaca, A.; Ndlambe, A.M.; Zantsi, Z.P.; Bowman, B.; Garrison, M.M.; Larson, H.J.; Vermund, S.H.; Wiysonge, C.S. Non-COVID-19 vaccine hesitancy among migrant populations worldwide: A scoping review of the literature, 2000–2020. Expert Rev. Vaccines 2022, 21, 1269–1287. [Google Scholar] [CrossRef] [PubMed]
- Gorman, D.; Bielecki, K.; Larson, H.; Willocks, L.; Craig, J.; Pollock, K.J.V. Comparing vaccination hesitancy in Polish migrant parents who accept or refuse nasal flu vaccination for their children. Vaccine 2020, 38, 2795–2799. [Google Scholar] [CrossRef]
- Gorman, D.; Bielecki, K.; Willocks, L.; Pollock, K.G. A qualitative study of vaccination behaviour amongst female Polish migrants in Edinburgh, Scotland. Vaccine 2019, 37, 2741–2747. [Google Scholar] [CrossRef]
- Jama, A.; Ali, M.; Lindstrand, A.; Butler, R.; Kulane, A. Perspectives on the measles, mumps and rubella vaccination among Somali mothers in Stockholm. Int. J. Environ. Res. Public Health 2018, 15, 2428. [Google Scholar] [CrossRef]
- Christianson, B.; Sharif-Mohamed, F.; Heath, J.; Roddy, M.; Bahta, L.; Omar, H.; Rockwood, T.; Kenyon, C. Parental attitudes and decisions regarding MMR vaccination during an outbreak of measles among an undervaccinated Somali community in Minnesota. Vaccine 2020, 38, 6979–6984. [Google Scholar] [CrossRef]
- Abdou, M.S.; Kheirallah, K.A.; Aly, M.O.; Ramadan, A.; Elhadi, Y.A.M.; Elbarazi, I.; Deghidy, E.A.; El Saeh, H.M.; Salem, K.M.; Ghazy, R.M. The coronavirus disease 2019 (COVID-19) vaccination psychological antecedent assessment using the Arabic 5c validated tool: An online survey in 13 Arab countries. PLoS ONE 2021, 16, e0260321. [Google Scholar] [CrossRef] [PubMed]
- Sallam, M.; Dababseh, D.; Eid, H.; Al-Mahzoum, K.; Al-Haidar, A.; Taim, D.; Yaseen, A.; Ababneh, N.A.; Bakri, F.G.; Mahafzah, A. High rates of COVID-19 vaccine hesitancy and its association with conspiracy beliefs: A study in Jordan and Kuwait among other Arab countries. Vaccines 2021, 9, 42. [Google Scholar] [CrossRef] [PubMed]
- Hajissa, K.; Mussa, A. Positive aspects of the mRNA platform for SARS-CoV-2 vaccines. Human Vaccines Immunother. 2021, 17, 2445–2447. [Google Scholar] [CrossRef] [PubMed]
- Sallam, M.; Al-Sanafi, M.; Sallam, M. A global map of COVID-19 vaccine acceptance rates per country: An updated concise narrative review. J. Multidiscip. Healthcare 2022, 15, 21–45. [Google Scholar] [CrossRef]
- Abdelmoneim, S.A.; Sallam, M.; Hafez, D.M.; Elrewany, E.; Mousli, H.M.; Hammad, E.M.; Elkhadry, S.W.; Adam, M.F.; Ghobashy, A.A.; Naguib, M.; et al. COVID-19 Vaccine Booster Dose Acceptance: Systematic Review and Meta-Analysis. Trop. Med. Infect. Dis. 2022, 7, 298. [Google Scholar] [CrossRef]
- Lin, C.; Tu, P.; Beitsch, L.M. Confidence and receptivity for COVID-19 vaccines: A rapid systematic review. Vaccines 2020, 9, 16. [Google Scholar] [CrossRef]
- Loomba, S.; de Figueiredo, A.; Piatek, S.J.; de Graaf, K.; Larson, H.J. Measuring the impact of COVID-19 vaccine misinformation on vaccination intent in the UK and USA. Nat. Hum. Behav. 2021, 5, 337–348. [Google Scholar] [CrossRef]
Disclaimer/Publisher’s Note: The statements, opinions and data contained in all publications are solely those of the individual author(s) and contributor(s) and not of MDPI and/or the editor(s). MDPI and/or the editor(s) disclaim responsibility for any injury to people or property resulting from any ideas, methods, instructions or products referred to in the content. |
© 2023 by the authors. Licensee MDPI, Basel, Switzerland. This article is an open access article distributed under the terms and conditions of the Creative Commons Attribution (CC BY) license (https://creativecommons.org/licenses/by/4.0/).



