Antibody Response and Adverse Events of AZD1222 COVID-19 Vaccination in Patients Undergoing Dialysis: A Prospective Cohort Study
Abstract
:1. Introduction
2. Materials and Methods
2.1. Study Subjects
2.2. Antibody Response
2.3. Adverse Events
2.4. Baseline Characteristics
2.5. Statistical Analyses
3. Results
3.1. Baseline Demographics
3.2. Antibody Response of Dialysis Patients and Controls at Different Time Points
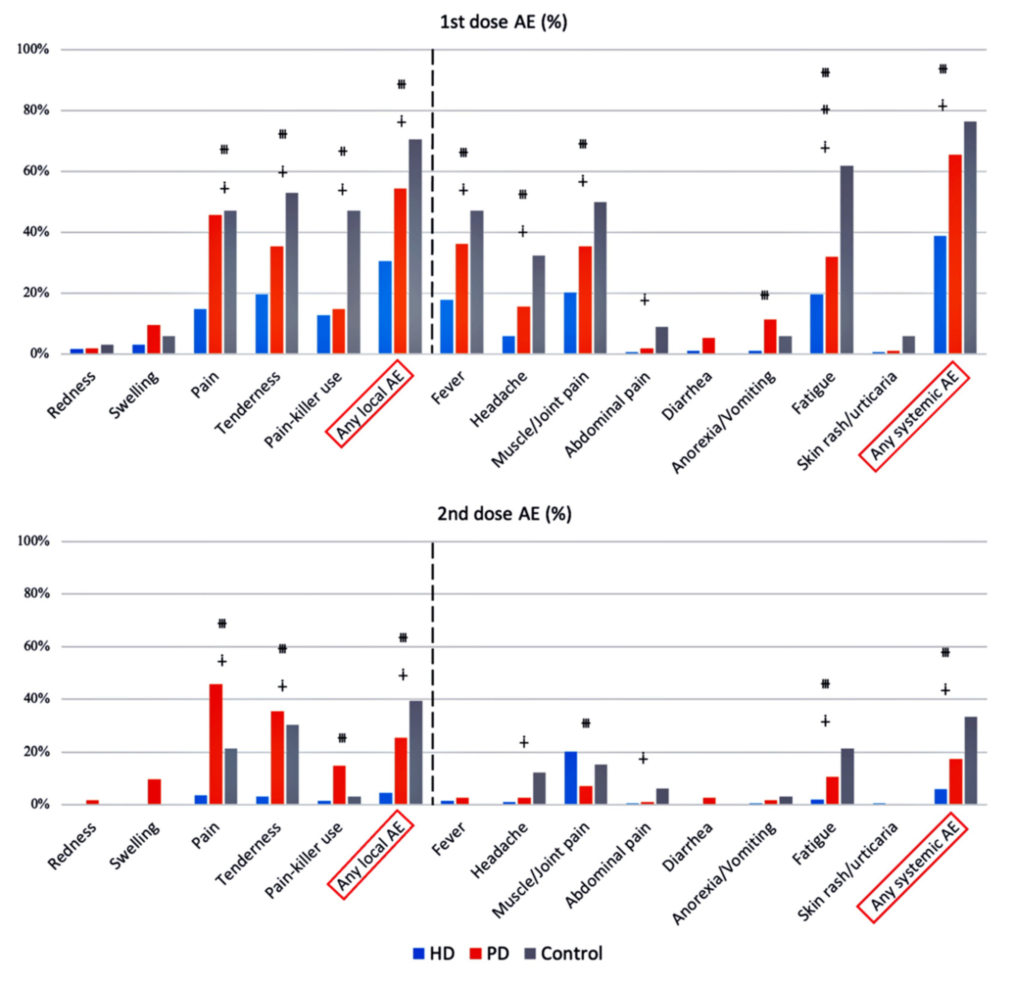
3.3. Adverse Events after AZD1222 Vaccination among Dialysis Patients and Controls
3.4. Timeframe and Factors/AE Associated with Log SARS-CoV-2 RBD IgG Levels
4. Discussion
5. Conclusions
Author Contributions
Funding
Institutional Review Board Statement
Informed Consent Statement
Data Availability Statement
Acknowledgments
Conflicts of Interest
References
- Hu, B.; Guo, H.; Zhou, P.; Shi, Z.L. Characteristics of SARS-CoV-2 and COVID-19. Nat. Rev. Microbiol. 2021, 19, 141–154. [Google Scholar] [CrossRef] [PubMed]
- Anand, S.; Montez-Rath, M.E.; Han, J.; Garcia, P.; Cadden, L.; Hunsader, P.; Kerschmann, R.; Beyer, P.; Dittrich, M.; Block, G.A.; et al. Antibody Response to COVID-19 vaccination in Patients Receiving Dialysis. medRxiv 2021, 181, 281–292. [Google Scholar] [CrossRef] [PubMed]
- Centers for Disease Control and Prevention (CDC). Vaccinating Dialysis Patients and Healthcare Personnel. Available online: https://www.cdc.gov/vaccines/covid-19/planning/vaccinate-dialysis-patients-hcp.html (accessed on 7 June 2022).
- Hsu, C.M.; Weiner, D.E.; Aweh, G.; Miskulin, D.C.; Manley, H.J.; Stewart, C.; Ladik, V.; Hosford, J.; Lacson, E.C.; Johnson, D.S.; et al. COVID-19 Among US Dialysis Patients: Risk Factors and Outcomes from a National Dialysis Provider. Am. J. Kidney Dis. 2021, 77, 748–756.E1. [Google Scholar] [CrossRef]
- Mahallawi, W.H.; Ibrahim, N.A.; Mumena, W.A. Effectiveness of COVID-19 Vaccines in Patients Under Maintenance Hemodialysis. Risk Manag. Healthc. Policy 2021, 14, 5081–5088. [Google Scholar] [CrossRef] [PubMed]
- Berar Yanay, N.; Armaly, Z. COVID-19 Vaccination in Patients with End Stage Kidney Disease. Early Results for an mRNA Vaccine in a Vulnerable Population. Asian J. Complement. Altern. Med. 2021, 9, 49–53. [Google Scholar] [CrossRef]
- Combe, C.; Kirsch, A.H.; Alfano, G.; Luyckx, V.A.; Shroff, R.; Kanbay, M.; van der Sande, F.; Basile, C. At least 156 reasons to prioritize COVID-19 vaccination in patients receiving in-centre haemodialysis. Nephrol. Dial. Transplant. 2021, 36, 571–574. [Google Scholar] [CrossRef]
- Francis, A.; Baigent, C.; Ikizler, T.A.; Cockwell, P.; Jha, V. The urgent need to vaccinate dialysis patients against severe acute respiratory syndrome coronavirus 2: A call to action. Kidney Int. 2021, 99, 791–793. [Google Scholar] [CrossRef] [PubMed]
- Glenn, D.A.; Hegde, A.; Kotzen, E.; Walter, E.B.; Kshirsagar, A.V.; Falk, R.; Mottl, A. Systematic Review of Safety and Efficacy of COVID-19 Vaccines in Patients with Kidney Disease. Kidney Int. Rep. 2021, 6, 1407–1410. [Google Scholar] [CrossRef]
- Garcia, P.; Anand, S.; Han, J.; Montez-Rath, M.E.; Sun, S.; Shang, T.; Parsonnet, J.; Chertow, G.M.; Schiller, B.; Abra, G. COVID-19 Vaccine Type and Humoral Immune Response in Patients Receiving Dialysis. J. Am. Soc. Nephrol. 2022, 33, 33–37. [Google Scholar] [CrossRef]
- Yen, C.C.; Lin, S.Y.; Chen, S.C.; Chiu, Y.W.; Chang, J.M.; Hwang, S.J. COVID-19 Vaccines in Patients with Maintenance Hemodialysis. J. Pers. Med. 2021, 11, 789. [Google Scholar] [CrossRef]
- Blanchi, S.; Torreggiani, M.; Chatrenet, A.; Fois, A.; Mazé, B.; Njandjo, L.; Bianco, G.; Lepori, N.; Pili, A.; Michel, P.A.; et al. COVID-19 Vaccine Hesitancy in Patients on Dialysis in Italy and France. Kidney Int. Rep. 2021, 6, 2763–2774. [Google Scholar] [CrossRef] [PubMed]
- Jahan, N.; Rahman, F.I.; Saha, P.; Ether, S.A.; Roknuzzaman, A.; Sarker, R.; Kalam, K.T.; Haq, K.; Nyeen, J.; Himi, H.Z.; et al. Side Effects Following Administration of the First Dose of Oxford-AstraZeneca’s Covishield Vaccine in Bangladesh: A Cross-Sectional Study. Infect. Dis. Rep. 2021, 13, 888–901. [Google Scholar] [CrossRef] [PubMed]
- Pottegård, A.; Lund, L.C.; Karlstad, Ø.; Dahl, J.; Andersen, M.; Hallas, J.; Lidegaard, Ø.; Tapia, G.; Gulseth, H.L.; Ruiz, P.L.; et al. Arterial events, venous thromboembolism, thrombocytopenia, and bleeding after vaccination with Oxford-AstraZeneca ChAdOx1-S in Denmark and Norway: Population based cohort study. BMJ 2021, 373, n1114. [Google Scholar] [CrossRef] [PubMed]
- Aviram, G.; Viskin, D.; Topilsky, Y.; Sadon, S.; Shalmon, T.; Taieb, P.; Ghantous, E.; Flint, N.; Banai, S.; Havakuk, O. Myocarditis Associated With COVID-19 Booster Vaccination. Circ. Cardiovasc. Imaging 2022, 15, e013771. [Google Scholar] [CrossRef]
- Speer, C.; Göth, D.; Benning, L.; Buylaert, M.; Schaier, M.; Grenz, J.; Nusshag, C.; Kälble, F.; Kreysing, M.; Reichel, P.; et al. Early Humoral Responses of Hemodialysis Patients after COVID-19 Vaccination with BNT162b2. Clin. J. Am. Soc. Nephrol. 2021, 16, 1073–1082. [Google Scholar] [CrossRef]
- Simon, B.; Rubey, H.; Treipl, A.; Gromann, M.; Hemedi, B.; Zehetmayer, S.; Kirsch, B. Haemodialysis patients show a highly diminished antibody response after COVID-19 mRNA vaccination compared with healthy controls. Nephrol. Dial. Transplant. 2021, 36, 1709–1716. [Google Scholar] [CrossRef]
- Sanders, J.F.; Bemelman, F.J.; Messchendorp, A.L.; Baan, C.C.; van Baarle, D.; van Binnendijk, R.; Diavatopoulos, D.A.; Frölke, S.C.; Geers, D.; GeurtsvanKessel, C.H.; et al. The RECOVAC Immune-response Study: The Immunogenicity, Tolerability, and Safety of COVID-19 Vaccination in Patients with Chronic Kidney Disease, on Dialysis, or Living with a Kidney Transplant. Transplantation 2022, 106, 821–834. [Google Scholar] [CrossRef]
- Quiroga, B.; Soler, M.J.; Ortiz, A.; Vaquera, S.M.; Mantecón, C.J.J.; Useche, G.; Márquez, M.G.S.; Carnerero, M.; Rodríguez, M.T.J.; Ramos, P.M.; et al. Safety and immediate humoral response of COVID-19 vaccines in chronic kidney disease patients: The SENCOVAC study. Nephrol Dial. Transplant. 2021, gfab313. [Google Scholar] [CrossRef]
- Longlune, N.; Nogier, M.B.; Miedougé, M.; Gabilan, C.; Cartou, C.; Seigneuric, B.; Del Bello, A.; Marion, O.; Faguer, S.; Izopet, J.; et al. High immunogenicity of a messenger RNA-based vaccine against SARS-CoV-2 in chronic dialysis patients. Nephrol. Dial. Transplant. 2021, 36, 1704–1709. [Google Scholar] [CrossRef]
- Schrezenmeier, E.; Bergfeld, L.; Hillus, D.; Lippert, J.D.; Weber, U.; Tober-Lau, P.; Landgraf, I.; Schwarz, T.; Kappert, K.; Stefanski, A.L.; et al. Immunogenicity of COVID-19 Tozinameran Vaccination in Patients on Chronic Dialysis. Front. Immunol. 2021, 12, 690698. [Google Scholar] [CrossRef]
- Broseta, J.J.; Rodríguez-Espinosa, D.; Rodríguez, N.; Mosquera, M.D.M.; Marcos, M.; Egri, N.; Pascal, M.; Soruco, E.; Bedini, J.L.; Bayés, B.; et al. Humoral and Cellular Responses to mRNA-1273 and BNT162b2 SARS-CoV-2 Vaccines Administered to Hemodialysis Patients. Am. J. Kidney Dis. 2021, 78, 571–581. [Google Scholar] [CrossRef] [PubMed]
- Goupil, R.; Benlarbi, M.; Beaubien-Souligny, W.; Nadeau-Fredette, A.C.; Chatterjee, D.; Goyette, G.; Gunaratnam, L.; Lamarche, C.; Tom, A.; Finzi, A.; et al. Short-term antibody response after 1 dose of BNT162b2 vaccine in patients receiving hemodialysis. Can. Med. Assoc. J. 2021, 193, E793–E800. [Google Scholar] [CrossRef] [PubMed]
- Danthu, C.; Hantz, S.; Dahlem, A.; Duval, M.; Ba, B.; Guibbert, M.; El Ouafi, Z.; Ponsard, S.; Berrahal, I.; Achard, J.M.; et al. Humoral Response after SARS-CoV-2 mRNA Vaccination in a Cohort of Hemodialysis Patients and Kidney Transplant Recipients. J. Am. Soc. Nephrol. 2021, 32, 2153–2158. [Google Scholar] [CrossRef] [PubMed]
- Yau, K.; Abe, K.T.; Naimark, D.; Oliver, M.J.; Perl, J.; Leis, J.A.; Bolotin, S.; Tran, V.; Mullin, S.I.; Shadowitz, E.; et al. Evaluation of the SARS-CoV-2 Antibody Response to the BNT162b2 Vaccine in Patients Undergoing Hemodialysis. JAMA Netw. Open 2021, 4, e2123622. [Google Scholar] [CrossRef]
- Lesny, P.; Anderson, M.; Cloherty, G.; Stec, M.; Haase-Fielitz, A.; Haarhaus, M.; Santos, C.; Lucas, C.; Macario, F.; Haase, M. Immunogenicity of a first dose of mRNA- or vector-based SARS-CoV-2 vaccination in dialysis patients: A multicenter prospective observational pilot study. J. Nephrol. 2021, 34, 975–983. [Google Scholar] [CrossRef] [PubMed]
- Billany, R.E.; Selvaskandan, H.; Adenwalla, S.F.; Hull, K.L.; March, D.S.; Burton, J.O.; Bishop, N.C.; Carr, E.J.; Beale, R.; Tang, J.W.; et al. Seroprevalence of antibody to S1 spike protein following vaccination against COVID-19 in patients receiving hemodialysis: A call to arms. Kidney Int. 2021, 99, 1492–1494. [Google Scholar] [CrossRef] [PubMed]
- Cheng, C.Y.; Fang, T.C.; Liao, H.W.; Chen, T.H.; Chang, J.H.; Lin, Y.C.; Kao, C.C.; Liu, M.C.; Chang, H.W.; Hung, C.S.; et al. The Humoral Immune Response of the ChAdOx1 nCoV-19 Vaccine in Maintenance Dialysis Patients without Prior COVID-19 Infection. Vaccines 2022, 10, 338. [Google Scholar] [CrossRef]
- Tillmann, F.P.; Figiel, L.; Ricken, J.; Still, H.; Korte, C.; Plassmann, G.; von Landenberg, P. Evolution of SARS-CoV-2-Neutralizing Antibodies after Two Standard Dose Vaccinations, Risk Factors for Non-Response and Effect of a Third Dose Booster Vaccination in Non-Responders on Hemodialysis: A Prospective Multi-Centre Cohort Study. J. Clin. Med. 2021, 10, 5113. [Google Scholar] [CrossRef]
- Eyre, D.W.; Lumley, S.F.; Wei, J.; Cox, S.; James, T.; Justice, A.; Jesuthasan, G.; O’Donnell, D.; Howarth, A.; Hatch, S.B.; et al. Quantitative SARS-CoV-2 anti-spike responses to Pfizer-BioNTech and Oxford-AstraZeneca vaccines by previous infection status. Clin. Microbiol. Infect. 2021, 27, 1516.e7–1516.e14. [Google Scholar] [CrossRef]
- Park, J.-S.; Minn, D.; Hong, S.; Jeong, S.; Kim, S.; Lee, C.H.; Kim, B. Immunogenicity of COVID-19 Vaccination in Patients with End-Stage Renal Disease Undergoing Maintenance Hemodialysis: The Efficacy of a Mix-and-Match Strategy. J. Korean Med. Sci. 2022, 37, e180. [Google Scholar] [CrossRef]
- Miskulin, D.C.; Combe, C. mRNA COVID-19 Vaccine for People with Kidney Failure: Hope but Prudence Warranted. Clin. J. Am. Soc. Nephrol. 2021, 16, 996–998. [Google Scholar] [CrossRef] [PubMed]
- Lopez Bernal, J.; Andrews, N.; Gower, C.; Robertson, C.; Stowe, J.; Tessier, E.; Simmons, R.; Cottrell, S.; Roberts, R.; O’Doherty, M.; et al. Effectiveness of the Pfizer-BioNTech and Oxford-AstraZeneca vaccines on COVID-19 related symptoms, hospital admissions, and mortality in older adults in England: Test negative case-control study. BMJ 2021, 373, n1088. [Google Scholar] [CrossRef]
- Griffin, J.B.; Haddix, M.; Danza, P.; Fisher, R.; Koo, T.H.; Traub, E.; Gounder, P.; Jarashow, C.; Balter, S. SARS-CoV-2 Infections and Hospitalizations Among Persons Aged ≥16 Years, by Vaccination Status—Los Angeles County, California, May 1–July 25, 2021. Morb. Mortal. Wkly. Rep. 2021, 70, 1170–1176. [Google Scholar] [CrossRef] [PubMed]
- El Karoui, K.; Hourmant, M.; Ayav, C.; Glowacki, F.; Couchoud, C.; Lapidus, N. Vaccination and COVID-19 Dynamics in Dialysis Patients. Clin. J. Am. Soc. Nephrol. 2022, 17, 395–402. [Google Scholar] [CrossRef] [PubMed]
- Centers for Disease Control and Prevention (CDC). Pfizer-BioNTech COVID-19 Vaccine Reactions & Adverse Events. Available online: https://www.cdc.gov/vaccines/covid-19/info-by-product/pfizer/reactogenicity.html (accessed on 10 June 2022).
- Centers for Disease Control and Prevention (CDC). The Moderna COVID-19 Vaccine’s Local Reactions, Systemic Reactions, Adverse Events, and Serious Adverse Events. Available online: https://www.cdc.gov/vaccines/covid-19/info-by-product/moderna/reactogenicity.html (accessed on 10 June 2022).
- Hou, Y.C.; Lu, K.C.; Kuo, K.L. The Efficacy of COVID-19 Vaccines in Chronic Kidney Disease and Kidney Transplantation Patients: A Narrative Review. Vaccines 2021, 9, 885. [Google Scholar] [CrossRef]
- Naaber, P.; Jürjenson, V.; Adamson, A.; Sepp, E.; Tserel, L.; Kisand, K.; Peterson, P. Antibody response after COVID-19 mRNA vaccination in relation to age, sex, and side effects. medRxiv 2021. [Google Scholar] [CrossRef]
- Levin, E.G.; Lustig, Y.; Cohen, C.; Fluss, R.; Indenbaum, V.; Amit, S.; Doolman, R.; Asraf, K.; Mendelson, E.; Ziv, A.; et al. Waning Immune Humoral Response to BNT162b2 COVID-19 Vaccine over 6 Months. N. Engl. J. Med. 2021, 385, e84. [Google Scholar] [CrossRef]
- Espi, M.; Charmetant, X.; Barba, T.; Mathieu, C.; Pelletier, C.; Koppe, L.; Chalencon, E.; Kalbacher, E.; Mathias, V.; Ovize, A.; et al. A prospective observational study for justification, safety, and efficacy of a third dose of mRNA vaccine in patients receiving maintenance hemodialysis. Kidney Int. 2022, 101, 390–402. [Google Scholar] [CrossRef]
- Al Jalali, V.; Scherzer, S.; Zeitlinger, M. Improved immunogenicity against SARS-CoV-2 in a solid-organ transplant recipient by switching vaccines. Clin. Microbiol. Infect. 2021, 27, 1529–1530. [Google Scholar] [CrossRef]
- Sheng, W.H.; Chang, S.Y.; Lin, P.H.; Hsieh, M.J.; Chang, H.H.; Cheng, C.Y.; Yang, H.C.; Pan, C.F.; Ieong, S.M.; Chao, T.L.; et al. Immune response and safety of heterologous ChAdOx1-nCoV-19/mRNA-1273 vaccination compared with homologous ChAdOx1-nCoV-19 or homologous mRNA-1273 vaccination. J. Formos. Med. Assoc. 2022, 121, 766–777. [Google Scholar] [CrossRef]
- Andrews, N.; Stowe, J.; Kirsebom, F.; Toffa, S.; Rickeard, T.; Gallagher, E.; Gower, C.; Kall, M.; Groves, N.; O’Connell, A.M.; et al. COVID-19 Vaccine Effectiveness against the Omicron (B.1.1.529) Variant. N. Engl. J. Med. 2022, 386, 1532–1546. [Google Scholar] [CrossRef]
- Eleftheriadis, T.; Antoniadi, G.; Liakopoulos, V.; Kartsios, C.; Stefanidis, I. Disturbances of acquired immunity in hemodialysis patients. Semin. Dial. 2007, 20, 440–451. [Google Scholar] [CrossRef] [PubMed]
- Collie, S.; Champion, J.; Moultrie, H.; Bekker, L.G.; Gray, G. Effectiveness of BNT162b2 Vaccine against Omicron Variant in South Africa. N. Engl. J. Med. 2022, 386, 494–496. [Google Scholar] [CrossRef] [PubMed]
- Liu, J.; Chandrashekar, A.; Sellers, D.; Barrett, J.; Jacob-Dolan, C.; Lifton, M.; McMahan, K.; Sciacca, M.; VanWyk, H.; Wu, C.; et al. Vaccines elicit highly conserved cellular immunity to SARS-CoV-2 Omicron. Nature 2022, 603, 493–496. [Google Scholar] [CrossRef] [PubMed]
- Pasala, S.; Barr, T.; Messaoudi, I. Impact of Alcohol Abuse on the Adaptive Immune System. Alcohol Res. 2015, 37, 185–197. [Google Scholar] [PubMed]
- Zimmermann, P.; Curtis, N. Factors That Influence the Immune Response to Vaccination. Clin. Microbiol. Rev. 2019, 32, e00084-18. [Google Scholar] [CrossRef] [Green Version]




| Variables | HD | PD | Control | p-Value |
|---|---|---|---|---|
| N = 204 | N = 116 | N = 34 | ||
| Age, mean (SD), year | 64.21 ± 11.29 ∔,⧻ | 56.01 ± 11.12 ⧻ | 50.83 ± 15.96 ∔ | <0.001 *** |
| Sex | 0.022 * | |||
| Men | 136 (67.00) ∔ | 67 (57.76) | 15 (44.12) ∔ | |
| Women | 67 (33.00) | 49 (42.24) | 19 (55.88) | |
| BMI (kg/m2) | 25.10 ± 4.04 ⧻ | 23.85 ± 4.3 ⧻ | 24.09 ± 2.90 | 0.023 * |
| Smoking | 19 (9.31) | 8 (6.90) | 0 (0.00) | 0.156 a |
| Drinking | 8 (3.92) | 2 (1.72) | 3 (8.82) | 0.127 a |
| Dialysis vintage, mean (SD), month | 69.29 ± 64.33 | 58.99 ± 47.30 | - | 0.133 |
| Etiology of ESRD | <0.001 *** | |||
| Parenchymal renal disease | 88 (43.14) | 63 (54.31) | - | |
| Systemic disease | 86 (42.16) | 44 (37.93) | - | |
| Obstructive uropathy and other disease of urinary system | 4 (1.96) | 1 (0.86) | - | |
| Polycystic kidney disease | 8 (3.92) | 3 (2.59) | - | |
| Others | 18 (8.82) | 5 (4.31) | - | |
| Comorbid conditions | ||||
| DM | 108 (52.94) ⧻ | 38 (33.04) ⧺,⧻ | 3 (8.82) ⧺ | <0.001 *** |
| HTN | 164 (80.39) | 91 (79.13) ⧺ | 8 (23.53) ⧺ | <0.001 *** |
| CVD | 46 (22.55) | 24 (20.69) | 2 (5.88) | 0.082 |
| CVA | 17 (8.33) ⧻ | 1 (0.86) ⧻ | 0 (0.00) | 0.005 ** |
| COPD | 7 (3.43) | 0 (0.00) | 0 (0.00) | 0.075 a |
| Hepatitis | 36 (17.65) | 24 (20.69) | 5 (14.71) | 0.673 |
| Malignancy | 28 (13.73) | 17 (14.66) | 1 (2.94) | 0.181 |
| Autoimmune disease | 2 (0.98) | 3 (2.59) | 1 (2.94) | 0.336 a |
| HIV | 4 (1.13) | 0 (0.00) | 0 (0.00) | 0.407 a |
| T0 | T1 | T2 | T3 | |
|---|---|---|---|---|
| HD (N = 204) | (n = 15) | (n = 204) | (n = 204) | (n = 204) |
| Days between two dates Median (IQR) | 33 (33, 35) | 75 (75, 77) | 138 (138, 140) | |
| Positive rate (%) | 0 | 72.06 ∔ | 62.25 ∔ | 93.63 |
| Median (IQR) | 0.8 (0.00, 4.10) | 111.40 (40.65, 342.30) ∔ | 76.45 (26.80, 195.50) ∔ | 677.0 (214.1, 1348.7) |
| PD (N = 116) | (n = 3) | (n = 116) | (n = 116) | (n = 116) |
| Days between two dates Median (IQR) | 41 (39, 42) | 74 (70, 76) | 133 (132, 137) | |
| Positive rate (%) | 0 | 68.97 ⧺ | 69.83 ⧺ | 93.10 |
| Median (IQR) | 2.2 (0.00, 8.50) | 146.05 (29.35, 335.50) ⧺ | 114.75 (23.15, 239.20) ⧺ | 573.55 (263.90, 1482.80) |
| Control (N = 34) | (n = 0) | (n = 34) | (n = 34) | (n = 34) |
| Days between two dates Median (IQR) | 33 (29, 35) | 69 (68, 69) | 128 (108, 147) | |
| Positive rate (%) | 97.06 ∔,⧺ | 91.18 ∔,⧺ | 100.00 | |
| Median (IQR) | 392.15 (266.40, 968.90) ∔,⧺ | 216.15 (145.10, 510.90) ∔,⧺ | 924.0 (580.6, 1741.5) |
| Parameter | Estimate (Standard Error) | p-Value |
|---|---|---|
| Time (ref = T0) | ||
| T1 | 2.08 (0.04) | <0.001 *** |
| T2 | 1.95 (0.04) | <0.001 *** |
| T3 | 2.83 (0.04) | <0.001 *** |
| Age, y | −0.01 (0.002) | 0.003 ** |
| Group (ref = Control) | ||
| HD | −0.27 (0.10) | 0.007 ** |
| PD | −0.33 (0.10) | 0.001 ** |
| Drinking | −0.38 (0.14) | 0.009 ** |
| Parameter | Estimate (Standard Error) | p-Value |
|---|---|---|
| Time (ref = T0) | ||
| T1 | 2.08 (0.03) | <0.001 *** |
| T2 | 1.94 (0.04) | <0.001 *** |
| T3 | 2.83 (0.05) | <0.001 *** |
| Age, y | −0.01 (0.002) | 0.001 ** |
| Tenderness | −0.16 (0.08) | 0.040 * |
| Skin rash/urticaria | −0.49 (0.34) | 0.032 * |
Publisher’s Note: MDPI stays neutral with regard to jurisdictional claims in published maps and institutional affiliations. |
© 2022 by the authors. Licensee MDPI, Basel, Switzerland. This article is an open access article distributed under the terms and conditions of the Creative Commons Attribution (CC BY) license (https://creativecommons.org/licenses/by/4.0/).
Share and Cite
Wang, H.-H.; Wu, J.-L.; Chang, M.-Y.; Wu, H.-M.; Ho, L.-C.; Chi, P.-J.; Wu, C.-F.; Lee, W.-C.; Liou, H.-H.; Hung, S.-Y.; et al. Antibody Response and Adverse Events of AZD1222 COVID-19 Vaccination in Patients Undergoing Dialysis: A Prospective Cohort Study. Vaccines 2022, 10, 1460. https://doi.org/10.3390/vaccines10091460
Wang H-H, Wu J-L, Chang M-Y, Wu H-M, Ho L-C, Chi P-J, Wu C-F, Lee W-C, Liou H-H, Hung S-Y, et al. Antibody Response and Adverse Events of AZD1222 COVID-19 Vaccination in Patients Undergoing Dialysis: A Prospective Cohort Study. Vaccines. 2022; 10(9):1460. https://doi.org/10.3390/vaccines10091460
Chicago/Turabian StyleWang, Hsi-Hao, Jia-Ling Wu, Min-Yu Chang, Hsin-Mian Wu, Li-Chun Ho, Po-Jui Chi, Ching-Fang Wu, Wan-Chia Lee, Hung-Hsiang Liou, Shih-Yuan Hung, and et al. 2022. "Antibody Response and Adverse Events of AZD1222 COVID-19 Vaccination in Patients Undergoing Dialysis: A Prospective Cohort Study" Vaccines 10, no. 9: 1460. https://doi.org/10.3390/vaccines10091460
APA StyleWang, H.-H., Wu, J.-L., Chang, M.-Y., Wu, H.-M., Ho, L.-C., Chi, P.-J., Wu, C.-F., Lee, W.-C., Liou, H.-H., Hung, S.-Y., & Lee, Y.-C. (2022). Antibody Response and Adverse Events of AZD1222 COVID-19 Vaccination in Patients Undergoing Dialysis: A Prospective Cohort Study. Vaccines, 10(9), 1460. https://doi.org/10.3390/vaccines10091460

