Ultrasound-Assisted Aqueous Extraction of Biocompounds from Orange Byproduct: Experimental Kinetics and Modeling
Abstract
1. Introduction
2. Materials and Methods
2.1. Chemicals and Plant Material
2.2. Conventional and Acoustic Extraction Process
2.3. Characterization of the Ultrasonic Power Density
2.4. Total Polyphenol Content (TPC), Total Flavonoid Content (TFC) ans Antioxidant Activity (AA)
2.5. Mathematical Modeling
2.6. High-Performance Liquid Chromatography (HPLC) Analysis
2.7. Statistical Analysis
3. Results and Discussion
3.1. Kinetics of Biocompounds Extraction
3.2. Mathematical Modeling
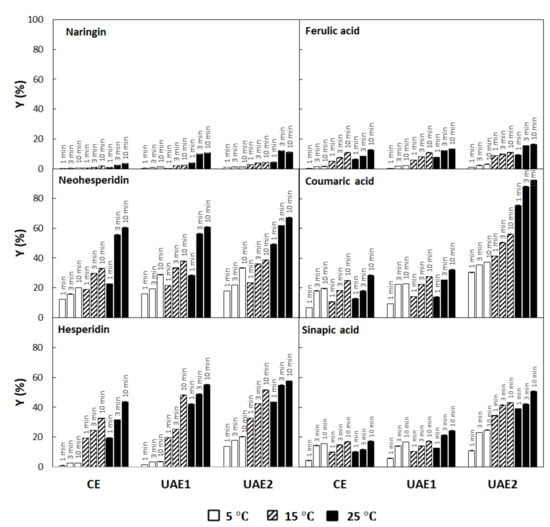
3.3. Phenolic Composition of Orange Byproduct
4. Conclusions
Author Contributions
Funding
Conflicts of Interest
Abbreviations
| AA | antioxidant activity | mg trolox/g dm |
| ABTS | 2.2′-azino-bis(3-ethylbenzothiazoline-6-sulfonic acid | mg trolox/g dm |
| C | concentration | g/g dm or g/100 g dm |
| Cmax | initial concentration | g/g dm or g/100 g dm |
| Ceq | equilibrium concentration | g/g dm or g/100 g dm |
| Cp | specific heat | J/Kg °C |
| CI | confidence intervals | |
| CUPRAC | Cupric reducing antioxidant capacity | mg trolox/g dm |
| dm | dry matter | |
| Ea | activation energy | J/mol |
| FRAP | Ferric reducing antioxidant power | mg trolox/g dm |
| GAE | gallic acid equivalent | |
| m | mass | kg |
| MRE | mean relative error | (%) |
| n | number of observations | |
| P | ultrasound power | W |
| SE | standard error | |
| t | time | s |
| T | temperature | °C |
| TFC | total flavonoid content | mg catechin/100 g dm |
| TPC | total polyphenol content | mg GAE/g dm |
| UAE | ultrasound assisted extraction | |
| Y | extraction yield | (%) |
| Ycalc | calculated extraction yield | (%) |
| Yeq | equilibrium extraction yield | (%) |
| Yexp | experimental extraction yield | (%) |
| α | kinetic reaction constant of the Weibull model | s−1 |
| αo | pre-exponential factor in Arrhenius equation | s−1 |
| β | shape parameter of the Weibull model |
References
- Ros, M.; Pascual, J.A.; Ayuso, M.; Belén Morales, A.; Ramón Miralles, J.; Solera, C. Salidas valorizables de los residuos y subproductos orgánicos de la industria de los transformados de frutas y hortalizas. Residuos 2012, 130, 2–9. [Google Scholar]
- Hernandez-Carranza, P.; Sosa, R.A.; Guerrero-Beltran, J.; Navarro-Cruz, A.R.; Jiménez, E.C.; Ochoa-Velasco, C.E. Optimization of Antioxidant Compounds Extraction from Fruit By-Products: Apple Pomace, Orange and Banana Peel. J. Food Process. Preserv. 2015, 40, 103–115. [Google Scholar] [CrossRef]
- Shahidi, F.; Ambigaipalan, P. Phenolics and polyphenolics in foods, beverages and spices: Antioxidant activity and health effects – A review. J. Funct. Foods 2015, 18, 820–897. [Google Scholar] [CrossRef]
- Routray, W.; Orsat, V. Microwave-Assisted Extraction of Flavonoids: A Review. Food Bioprocess Technol. 2011, 5, 409–424. [Google Scholar] [CrossRef]
- Ahmad-Qasem, M.H.; Cánovas, J.; Barrajón-Catalán, E.; Micol, V.; Carcel, J.; Garcia-Perez, J. Kinetic and compositional study of phenolic extraction from olive leaves (var. Serrana) by using power ultrasound. Innov. Food Sci. Emerg. Technol. 2013, 17, 120–129. [Google Scholar] [CrossRef]
- Mason, T.J.; Chemat, F.; Vinatoru, M. The Extraction of Natural Products using Ultrasound or Microwaves. Curr. Org. Chem. 2011, 15, 237–247. [Google Scholar] [CrossRef]
- Vinatoru, M. An overview of the ultrasonically assisted extraction of bioactive principles from herbs. Ultrason. Sonochem. 2001, 8, 303–313. [Google Scholar] [CrossRef]
- Abid, M.; Jabbar, S.; Wu, T.; Hashim, M.M.; Hu, B.; Lei, S.; Zeng, X. Sonication enhances polyphenolic compounds, sugars, carotenoids and mineral elements of apple juice. Ultrason. Sonochem. 2014, 21, 93–97. [Google Scholar] [CrossRef]
- Dranca, F.; Oroian, M. Optimization of ultrasound-assisted extraction of total monomeric anthocyanin (TMA) and total phenolic content (TPC) from eggplant (Solanum melongena L.) peel. Ultrason. Sonochem. 2016, 31, 637–646. [Google Scholar] [CrossRef]
- Bartnick, D.D.; Mohler, C.M.; Houlihan, M. Methods for the Production of Food Grade Extracts. U.S. Patent 10/972,751, 27 April 2006. [Google Scholar]
- González-Centeno, M.; Comas-Serra, F.; Femenia, A.; Rosselló, C.; Simal, S. Effect of power ultrasound application on aqueous extraction of phenolic compounds and antioxidant capacity from grape pomace (Vitis vinifera L.): Experimental kinetics and modeling. Ultrason. Sonochem. 2015, 22, 506–514. [Google Scholar] [CrossRef]
- Rodríguez, Ó.; Santacatalina, J.V.; Simal, S.; Garcia-Perez, J.; Femenia, A.; Rosselló, C. Influence of power ultrasound application on drying kinetics of apple and its antioxidant and microstructural properties. J. Food Eng. 2014, 129, 21–29. [Google Scholar] [CrossRef]
- Kimura, T. Standardization of ultrasonic power for sonochemical reaction. Ultrason. Sonochem. 1996, 3, S157–S161. [Google Scholar] [CrossRef]
- Eim, V.S.; Urrea, D.; Rosselló, C.; García-Pérez, J.V.; Femenia, A.; Simal, S. Optimization of the Drying Process of Carrot (Daucus carota v. Nantes) on the Basis of Quality Criteria. Dry. Technol. 2013, 31, 951–962. [Google Scholar] [CrossRef]
- Leontowicz, M.; Gorinstein, S.; Leontowicz, H.; Krzeminski, R.; Lojek, A.; Katrich, E.; Číž, M.; Martin-Belloso, O.; Soliva-Fortuny, R.; Haruenkit, R.; et al. Apple and Pear Peel and Pulp and Their Influence on Plasma Lipids and Antioxidant Potentials in Rats Fed Cholesterol-Containing Diets. J. Agric. Food Chem. 2003, 51, 5780–5785. [Google Scholar] [CrossRef]
- González-Centeno, M.R.; Jourdes, M.; Femenia, A.; Simal, S.; Rosselló, C.; Teissedre, P.-L. Proanthocyanidin Composition and Antioxidant Potential of the Stem Winemaking Byproducts from 10 Different Grape Varieties (Vitis vinifera L.). J. Agric. Food Chem. 2012, 60, 11850–11858. [Google Scholar] [CrossRef]
- Sturzoiu, A.; Stroescu, M.; Guzun, A.S.; Dobre, T. Empirical models applied for kinetics extraction of β-carotene from Rosa canina. Rev. Chim. 2011, 62, 344–348. [Google Scholar]
- Odriozola-Serrano, I.; Soliva-Fortuny, R.; Gimeno-Añó, V.; Martin-Belloso, O. Modeling changes in health-related compounds of tomato juice treated by high-intensity pulsed electric fields. J. Food Eng. 2008, 89, 210–216. [Google Scholar] [CrossRef]
- M’Hiri, N.; Ioannou, I.; Ghoul, M.; Boudhrioua, N. Extraction Methods of Citrus Peel Phenolic Compounds. Food Rev. Int. 2014, 30, 265–290. [Google Scholar] [CrossRef]
- Dalmau, M.E.; Bornhorst, G.M.; Eim, V.S.; Rosselló, C.; Simal, S. Effects of freezing, freeze drying and convective drying on in vitro gastric digestion of apples. Food Chem. 2017, 215, 7–16. [Google Scholar] [CrossRef]
- Wang, H.; Chen, G.; Guo, X.; Abbasi, A.M.; Liu, R.H. Influence of the stage of ripeness on the phytochemical profiles, antioxidant and antiproliferative activities in different parts of Citrus reticulata Blanco cv. Chachiensis. LWT 2016, 69, 67–75. [Google Scholar] [CrossRef]
- Omoba, O.S.; Obafaye, R.O.; Salawu, S.O.; Boligon, A.; Athayde, M.L. HPLC-DAD Phenolic Characterization and Antioxidant Activities of Ripe and Unripe Sweet Orange Peels. Antioxidants 2015, 4, 498–512. [Google Scholar] [CrossRef]
- Zhang, Y.; Sun, Y.; Xi, W.; Shen, Y.; Qiao, L.; Zhong, L.; Ye, X.; Zhou, Z. Phenolic compositions and antioxidant capacities of Chinese wild mandarin (Citrus reticulata Blanco) fruits. Food Chem. 2014, 145, 674–680. [Google Scholar] [CrossRef]
- Girones-Vilaplana, A.; Moreno, D.A.; García-Viguera, C. Phytochemistry and biological activity of Spanish Citrus fruits. Food Funct. 2014, 5, 764–772. [Google Scholar] [CrossRef] [PubMed]
- Ghafoor, K.; Choi, Y.H.; Jeon, J.Y.; Jo, I.H. Optimization of Ultrasound-Assisted Extraction of Phenolic Compounds, Antioxidants, and Anthocyanins from Grape (Vitis vinifera) Seeds. J. Agric. Food Chem. 2009, 57, 4988–4994. [Google Scholar] [CrossRef] [PubMed]
- Liu, S.-C.; Tsai, C.-W. Effects of Heating Time on the Antioxidative Capacities of Citrus Fruit (Citrus sinensis (L.) Osbeck) By-products. Food Sci. Technol. Res. 2012, 18, 505–513. [Google Scholar] [CrossRef][Green Version]
- Jeong, S.-M.; Kim, S.-Y.; Kim, D.-R.; Jo, S.-C.; Nam, K.C.; Ahn, D.U.; Lee, S.-C. Effect of Heat Treatment on the Antioxidant Activity of Extracts from Citrus Peels. J. Agric. Food Chem. 2004, 52, 3389–3393. [Google Scholar] [CrossRef] [PubMed]
- Hojnik, M.; Škerget, M.; Knez, Ž. Extraction of lutein from Marigold flower petals—Experimental kinetics and modelling. LWT-Food Sci. Technol. 2008, 41, 2008–2016. [Google Scholar] [CrossRef]
- Cho, Y.-J.; Hong, J.-Y.; Chun, H.S.; Lee, S.K.; Min, H.-Y. Ultrasonication-assisted extraction of resveratrol from grapes. J. Food Eng. 2006, 77, 725–730. [Google Scholar] [CrossRef]
- Um, M.; Han, T.-H.; Lee, J.-W. Ultrasound-assisted extraction and antioxidant activity of phenolic and flavonoid compounds and ascorbic acid from rugosa rose (Rosa rugosa Thunb.) fruit. Food Sci. Biotechnol. 2017, 27, 375–382. [Google Scholar] [CrossRef] [PubMed]
- Khan, M.K.; Vian, M.A.; Fabiano-Tixier, A.-S.; Dangles, O.; Chemat, F. Ultrasound-assisted extraction of polyphenols (flavanone glycosides) from orange (Citrus sinensis L.) peel. Food Chem. 2010, 119, 851–858. [Google Scholar] [CrossRef]
- Ma, Y.-Q.; Ye, X.-Q.; Fang, Z.; Chen, J.-C.; Xu, G.-H.; Liu, D.-H. Phenolic Compounds and Antioxidant Activity of Extracts from Ultrasonic Treatment of Satsuma Mandarin (Citrus unshiu Marc.) Peels. J. Agric. Food Chem. 2008, 56, 5682–5690. [Google Scholar] [CrossRef] [PubMed]
- Quispe-Fuentes, I.; Vega-Gálvez, A.; Miranda, M.; Lemus-Mondaca, R.; Lozano, M.; Ah-Hen, K.S. A kinetic approach to saponin extraction during washing of quinoa (Chenopodium quinoawilld.) seeds. J. Food Process. Eng. 2012, 36, 202–210. [Google Scholar] [CrossRef]
- Dey, S.; Rathod, V.K. Ultrasound assisted extraction of β-carotene from Spirulina platensis. Ultrason. Sonochem. 2013, 20, 271–276. [Google Scholar] [CrossRef] [PubMed]
- Lou, Z.; Wang, H.; Zhang, M.; Wang, Z. Improved extraction of oil from chickpea under ultrasound in a dynamic system. J. Food Eng. 2010, 98, 13–18. [Google Scholar] [CrossRef]
- Sant’Anna, V.; Cladera-Olivera, F.; Brandelli, A. Kinetic and thermodynamic study of thermal inactivation of the antimicrobial peptide P34 in milk. Food Chem. 2012, 130, 84–89. [Google Scholar] [CrossRef]
- M’Hiri, N.; Ioannou, I.; Boudhrioua, N.M.; Ghoul, M. Effect of different operating conditions on the extraction of phenolic compounds in orange peel. Food Bioprod. Process. 2015, 96, 161–170. [Google Scholar] [CrossRef]
- Herranz, B.; Fernández-Jalao, I.; Alvarez, M.D.; Quiles, A.; Sánchez-Moreno, C.; Hernando, I.; De Ancos, B. Phenolic compounds, microstructure and viscosity of onion and apple products subjected to in vitro gastrointestinal digestion. Innov. Food Sci. Emerg. Technol. 2019, 51, 114–125. [Google Scholar] [CrossRef]
- Ma, Y.-Q.; Chen, J.-C.; Liu, D.-H.; Ye, X. Simultaneous extraction of phenolic compounds of citrus peel extracts: Effect of ultrasound. Ultrason. Sonochem. 2009, 16, 57–62. [Google Scholar] [CrossRef]
- Rodrigues, S.; Pinto, G.A.S. Ultrasound extraction of phenolic compounds from coconut (Cocos nucifera) shell powder. J. Food Eng. 2007, 80, 869–872. [Google Scholar] [CrossRef]
- Ragin, B.; Akond, M.; Kantartzi, S.; Meksem, K.; Herrera, H.; Akbay, C.; Lightfoot, D.A.; Kassem, A. Effect of Row Spacing on Seed Isoflavone Contents in Soybean [Glycine max (L.) Merr.]. Am. J. Plant Sci. 2014, 5, 4003–4010. [Google Scholar] [CrossRef]
- Pinelo, M.; Del Fabbro, P.; Manzocco, L.; Nuñez, M.J.; Nicoli, M.C. Optimization of continuous phenol extraction from Vitis vinifera byproducts. Food Chem. 2005, 92, 109–117. [Google Scholar] [CrossRef]
- Jokić, S.; Molnar, M.; Cikoš, A.-M.; Jakovljević, M.; Šafranko, S.; Jerković, I. Separation of selected bioactive compounds from orange peel using the sequence of supercritical CO2 extraction and ultrasound solvent extraction: Optimization of limonene and hesperidin content. Sep. Sci. Technol. 2019, 1–13. [Google Scholar] [CrossRef]


| Mean ± Deviation | ||
|---|---|---|
| TPC (mg GAE/100 g dm) | 1674 ± 15 | |
| TFC (mg catechin/100 g dm) | 2849 ± 8 | |
| AA (mg Trolox/100 g dm) | ABTS assay | 2810 ± 20 |
| CUPRAC assay | 2760 ± 50 | |
| FRAP assay | 1820 ± 70 | |
| Flavonoids (mg/100 g dm) | Naringin | 1100 ± 40 |
| Neohesperidin | 660 ± 50 | |
| Hesperidin | 660 ± 11 | |
| Phenolic acids (mg/100 g dm) | Coumaric acid | 25 ± 2 |
| Ferulic acid | 158 ± 13 | |
| Sinapic acid | 95 ± 3 | |
| Yeq (%) | |||
|---|---|---|---|
| CE | UAE1 | UAE2 | |
| TPC | 67.3 ± 1.1 | 74.7 ± 1.8 | 83.0 ± 0.4 |
| T dependence not observed | T dependence not observed | T dependence not observed | |
| TFC | Yeq = 0.301 T (°C) + 48.74 | Yeq = 1.398 T (°C) + 46.28 | Yeq = 0.977 T (°C) + 55.64 |
| r2 = 0.993 | r2 = 0.988 | r2 = 0.989 | |
| AA (ABTS assay) | Yeq = 0.063 T (°C) + 36.17 | Yeq = 0.153 T (°C) + 68.35 | Yeq = 0.317 T (°C) + 86.92 |
| r2 = 0.982 | r2 = 0.989 | r2 = 0.990 | |
| CE | UAE1 | UAE2 | ||||||||
|---|---|---|---|---|---|---|---|---|---|---|
| Value | Conficence Interval | SE | Value | Conficence Interval | SE | Value | Conficence Interval | SE | ||
| TPC | α0 (s−1) | 4.09 × 10−10 | (3.14 × 10−10, 5.04 × 10−10) | 9.9 | 5.09 × 10−7 | (4.01 × 10−7, 6.17 × 10−7) | 0.4 | 1.69 × 10−3 | (−7.36 × 10−3, 1.07 × 10−2) | 0.3 |
| Ea (J/mol) | 62948.8 | (46732, 79165) | 5727 | 43058.2 | (32556.6, 53559.8) | 1783 | 23103.4 | (10666.3, 35552.5) | 4394 | |
| β | 0.609 | (0.467, 0.751) | 0.1 | 0.529 | (0.438, 0.620) | 0.7 | 0.618 | (0.457, 0.780) | 0.1 | |
| TFC | α0 (s−1) | 1.83 × 10−7 | (1.37 × 10−7, 2.28 × 10−7) | 0.49 | 5.76 × 10−2 | (4.40 × 10−2, 4.11 × 10−2) | 0.7 | 5.77 × 10−2 | (4.3 × 10−2, 7.2 × 10−3) | 0.4 |
| Ea (J/mol) | 48065.9 | (35472, 60659) | 4147 | 15518.9 | (11564, 19473) | 170 | 15518.8 | (11429, 19608.7) | 4039 | |
| β | 0.460 | (0.356, 0.564) | 0.1 | 0.025 | (0.019, 0.031) | 0.8 | 0.009 | (0.007, 0.011) | 0.1 | |
| AA (ABTS) | α0 (s−1) | 5.31 × 10−11 | (4.17 × 10−11, 6.45 × 10−11) | 0.49 | 1.28 × 10−7 | (9.88 × 10−8, 1.56 × 10−7) | 0.6 | 5.01 × 10−7 | (3.9 × 10−7, 6.1 × 10−7) | 0.7 |
| Ea (J/mol) | 66300.2 | (48057, 84543) | 4816 | 46010.7 | (34667, 57355) | 159 | 41050.3 | (30342, 51758) | 2305 | |
| β | 0.371 | (0.285, 0.457) | 0.1 | 0.501 | (0.357, 0.625) | 0.8 | 0.502 | (0.381, 0.622) | 0.2 | |
| MRE (%) | |||
|---|---|---|---|
| TPC | TFC | AA (ABTS) | |
| CE | 4.6 | 3.4 | 5.0 |
| UAE1 | 3.7 | 2.6 | 2.7 |
| UAE2 | 1.6 | 2.3 | 1.8 |
| Average | 3.3 ± 1.6 | 2.8 ± 0.6 | 3.1 ± 1.7 |
© 2020 by the authors. Licensee MDPI, Basel, Switzerland. This article is an open access article distributed under the terms and conditions of the Creative Commons Attribution (CC BY) license (http://creativecommons.org/licenses/by/4.0/).
Share and Cite
Dalmau, E.; Rosselló, C.; Eim, V.; Ratti, C.; Simal, S. Ultrasound-Assisted Aqueous Extraction of Biocompounds from Orange Byproduct: Experimental Kinetics and Modeling. Antioxidants 2020, 9, 352. https://doi.org/10.3390/antiox9040352
Dalmau E, Rosselló C, Eim V, Ratti C, Simal S. Ultrasound-Assisted Aqueous Extraction of Biocompounds from Orange Byproduct: Experimental Kinetics and Modeling. Antioxidants. 2020; 9(4):352. https://doi.org/10.3390/antiox9040352
Chicago/Turabian StyleDalmau, Esperanza, Carmen Rosselló, Valeria Eim, Cristina Ratti, and Susana Simal. 2020. "Ultrasound-Assisted Aqueous Extraction of Biocompounds from Orange Byproduct: Experimental Kinetics and Modeling" Antioxidants 9, no. 4: 352. https://doi.org/10.3390/antiox9040352
APA StyleDalmau, E., Rosselló, C., Eim, V., Ratti, C., & Simal, S. (2020). Ultrasound-Assisted Aqueous Extraction of Biocompounds from Orange Byproduct: Experimental Kinetics and Modeling. Antioxidants, 9(4), 352. https://doi.org/10.3390/antiox9040352

