Antioxidant Approaches to Management of Ionizing Irradiation Injury
Abstract
:1. Introduction

2. Experimental Section
2.1. Mice
2.2. Tissue Culture Experiments
2.3. Manganese Superoxide Dismutase-Plasmid Liposomes
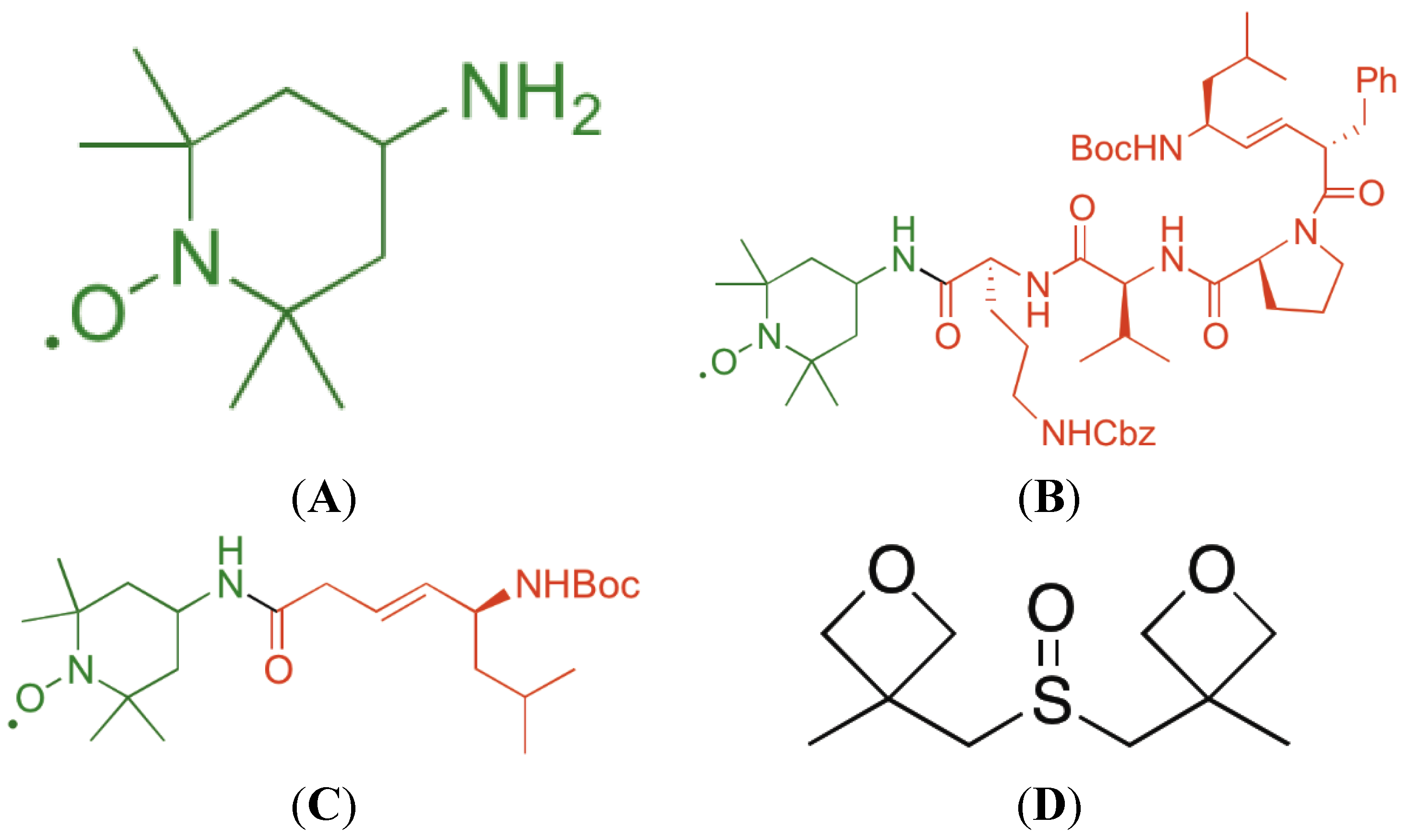
2.4. GS-Nitroxides and JP4-039
2.5. Assays for Antioxidant Stores
2.6. Assays for Apoptosis, Mitochondrial Content, and Mitochondrial Number



3. Results and Discussion
3.1. Antioxidant Therapies to Prevent and/or Mitigate Total Body Irradiation Injury
3.2. Antioxidant Radioprotection and Radiation Mitigation in Organ Specific/Localized Applications
3.3. Antioxidant Therapy to Prevent Ionizing Radiation Late Effects
4. Conclusions
Acknowledgments
Author Contributions
Conflicts of Interest
References
- Epperly, M.W.; Bray, J.A.; Kraeger, S.; Zwacka, R.; Engelhardt, J.; Travis, E.; Greenberger, J.S. Prevention of late effects of irradiation lung damage by manganese superoxide dismutase gene therapy. Gene Ther. 1998, 5, 196–208. [Google Scholar] [CrossRef] [PubMed]
- Zwacka, R.M.; Dudus, L.; Epperly, M.W.; Greenberger, J.S.; Engelhardt, J.F. Redox gene therapy protects human IB-3 lung epithelial cells against ionizing radiation-induced apoptosis. Hum. Gene Ther. 1998, 9, 1381–1386. [Google Scholar] [CrossRef] [PubMed]
- Epperly, M.W.; Bray, J.A.; Krager, S.; Berry, L.A.; Gooding, W.; Engelhardt, J.F.; Zwacka, R.; Travis, E.L.; Greenberger, J.S. Intratracheal injection of adenovirus containing the human MnSOD transgene protects athymic nude mice from irradiation-induced organizing alveolitis. Int. J. Radiat. Oncol. Biol. Phys. 1999, 43, 169–181. [Google Scholar] [CrossRef] [PubMed]
- Epperly, M.W.; Travis, E.L.; Sikora, C.; Greenberger, J.S. Magnesium superoxide dismutase (MnSOD) plasmid/liposome pulmonary radioprotective gene therapy: Modulation of irradiation-induced mRNA for IL-1, TNF-α, and TGF-β correlates with delay of organizing alveolitis/fibrosis. Biol. Blood Marrow Transplant. 1999, 5, 204–214. [Google Scholar] [CrossRef] [PubMed]
- Epperly, M.W.; Bray, J.A.; Esocobar, P.; Bigbee, W.L.; Watkins, S.; Greenberger, J.S. Overexpression of the human MnSOD transgene in subclones of murine hematopoietic progenitor cell line 32D cl 3 decreases irradiation-induced apoptosis but does not alter G2/M or G1/S phase cell cycle arrest. Radiat. Oncol. Investig. Clin. Basic Res. 1999, 7, 331–342. [Google Scholar] [CrossRef]
- Stickle, R.L.; Epperly, M.W.; Klein, E.; Bray, J.A.; Greenberger, J.S. Prevention of irradiation-induced esophagitis by plasmid/liposome delivery of the human manganese superoxide dismutase (MnSOD) transgene. Radiat. Oncol. Investig. Clin. Basic Res. 1999, 7, 204–217. [Google Scholar] [CrossRef]
- Gorbunov, N.V.; Pogue-Geile, K.L.; Epperly, M.W.; Bigbee, W.L.; Draviam, R.; Day, B.W.; Wald, N.; Watkins, S.C.; Greenberger, J.S. Activation of the nitric oxide synthase 2 pathway in the response of bone marrow stromal cells to high doses of ionizing radiation. Radiat. Res. 2000, 154, 73–86. [Google Scholar] [CrossRef] [PubMed]
- Epperly, M.W.; Sikora, C.; Defilippi, S.; Bray, J.; Koe, G.; Liggitt, D.; Luketich, J.D.; Greenberger, J.S. Plasmid/liposome transfer of the human manganese superoxide dismutase (MnSOD) transgene prevents ionizing irradiation-induced apoptosis in human esophagus organ explant culture. Int. J. Cancer 2000, 90, 128–137. [Google Scholar] [CrossRef] [PubMed]
- Epperly, M.W.; Defilippi, S.; Sikora, C.; Gretton, J.; Kalend, K.; Greenberger, J.S. Intratracheal injection of manganese superoxide dismutase (MnSOD) plasmid/liposomes protects normal lung but not orthotopic tumors from irradiation. Gene Ther. 2000, 7, 1011–1018. [Google Scholar] [CrossRef] [PubMed]
- Epperly, M.W.; Epstein, C.J.; Travis, E.L.; Greenberger, J.S. Decreased pulmonary radiation resistance of manganese superoxide dismutase (MnSOD)-deficient mice is corrected by human manganese superoxide dismutase-plasmid/liposome (SOD2-PL) intratracheal gene therapy. Radiat. Res. 2000, 154, 365–374. [Google Scholar] [CrossRef] [PubMed]
- Epperly, M.W.; Gretton, J.A.; DeFilippi, S.J.; Sikora, C.A.; Liggitt, D.; Koe, G.; Greenberger, J.S. Modulation of radiation-induced cytokine elevation associated with esophagitis and esophageal stricture by manganese superoxide dismutase-plasmid/liposome (SOD-PL) gene therapy. Radiat. Res. 2001, 155, 2–14. [Google Scholar] [CrossRef] [PubMed]
- Epperly, M.W.; Travis, E.L.; Whitsett, J.A.; Epstein, C.J.; Greenberger, J.S. Overexpression of manganese superoxide dismutase (MnSOD) in whole lung or alveolar type II (AT-II) cells of MnSOD transgenic mice does not provide intrinsic lung irradiation protection. Radiat. Oncol. Investig. 2001, 96, 11–21. [Google Scholar]
- Bernard, M.E.; Kim, H.; Rajagopalan, M.S.; Stone, B.; Salimi, U.; Rwigema, J.-C.; Epperly, M.W.; Shen, H.; Goff, J.; Franicola, D.; et al. Repopulation of the irradiation damaged lung with marrow derived cells. In Vivo 2012, 26, 9–18. [Google Scholar] [PubMed]
- Berhane, H.; Epperly, M.; Cao, S.; Goff, J.; Franicola, D.; Wang, H.; Greenberger, J.S. Radioresistance of bone marrow stromal and hematopoietic progenitor cell lines derived from Nrf2−/− homozygous deletion recombinant negative mice. In Vivo 2013, 27, 571–582. [Google Scholar] [PubMed]
- Kanter, D.; O’Brien, M.B.; Shi, X.-H.; Chu, T.; Mishima, T.; Beriwal, S.; Epperly, M.W.; Wipf, P.; Greenberger, J.S.; Sadovsky, Y. The impact of ionizing radiation on placental trophoblasts. Placenta 2014, 35, 85–91. [Google Scholar] [CrossRef] [PubMed]
- Belikova, N.A.; Jiang, J.; Tyurina, Y.Y.; Zhao, Q.; Epperly, M.W.; Greenberger, J.; Kagan, V.E. Cardiolipin specific peroxidase reactions of cytochrome c in mitochondria during irradiation induced apoptosis. Int. J. Radiat. Oncol. Biol. Phys. 2007, 69, 176–185. [Google Scholar] [CrossRef] [PubMed]
- Tyurin, V.A.; Tyurina, Y.Y.; Kochanek, P.M.; Hamilton, R.; DeKosky, S.T.; Greenberger, J.S.; Bayir, H.; Kagan, V.E. Chapter 19, oxidative lipidomics of programmed cell death. In Methods in Enzymology; Elsevier, Inc.: Waltham, MA, USA, 2008; Volume 442, pp. 375–393. [Google Scholar]
- Kagan, V.E.; Bayir, A.; Bayir, H.; Stoyanovsky, D.; Borisenko, G.G.; Tyurina, Y.Y.; Wipf, P.; Atkinson, J.; Greenberger, J.S.; Chapkin, R.S.; et al. Mitochondria-targeted disruptors and inhibitors of cytochrome c/cardiolipin peroxidase complexes: A new strategy in anti-apoptotic drug discovery. Mol. Nutr. Food Res. 2009, 53, 104–114. [Google Scholar] [CrossRef] [PubMed]
- Kagan, V.E.; Bayir, H.A.; Belikova, N.A.; Kapralov, O.; Tyurina, Y.Y.; Tyurin, V.A.; Jiang, J.; Stoyanovsky, D.A.; Wipf, P.; Kochanek, P.; et al. Cytochrome c/cardiolipin relations in mitochondria: A kiss of death. Free Radic. Biol. Med. 2009, 46, 1439–1453. [Google Scholar] [CrossRef] [PubMed]
- Belikova, N.A.; Jiang, J.; Stoyanovsky, D.A.; Greenberger, J.S.; Kagan, V.E. Mitochondria-targeted (2-hydroxyamino-vinyl)-triphenyl-phosphonium releases NO and protects mouse embryonic cells against irradiation-induced apoptosis. FEBS Lett. 2009, 583, 1945–1950. [Google Scholar] [CrossRef] [PubMed]
- Tyurin, V.A.; Tyurina, Y.Y.; Jung, M.-Y.; Tungekar, M.A.; Wasserloos, K.J.; Bayir, H.; Greenberger, J.S.; Kochanek, P.M.; Shvedova, A.A.; Pitt, B.; et al. Mass-spectrometric analysis of hydroperoxy- and hydroxy-derivatives of cardiolipin and phosphatidylserine in cells and tissues induced by proapoptotic and pro-inflammatory stimuli. J. Chromatogr. B 2009, 877, 2863–2879. [Google Scholar] [CrossRef]
- Kagan, V.E.; Wipf, P.; Stoyanovsky, D.; Greenberger, J.S.; Borisenko, G.; Belikova, N.A.; Yanamala, N.; Samhan Arias, A.K.; Tungekar, M.A.; Jiang, J.; et al. Mitochondrial targeting of electron scavenging antioxidants: Regulation of selective oxidation vs. random chain reactions. Adv. Drug Deliv. Rev. 2009, 61, 1375–1385. [Google Scholar] [CrossRef] [PubMed]
- Stoyanovsky, D.A.; Vlasova, I.I.; Belikova, N.A.; Kapralov, A.; Tyurin, V.; Greenberger, J.S.; Kagan, V.E. Targeting and activation of NO donors in mitochondria. Peroxidase metabolism of (2-hydroxyamino-vinyl)-triphenyl-phosphonium by cytochrome c releases NO and protects cells from apoptosis. FEBS Lett. 2009, 583, 2000–2005. [Google Scholar]
- Belikova, N.A.; Glumac, A.; Rafikov, R.; Jiang, J.; Greenberger, J.S.; Kagan, V.E.; Bayir, H. Radioprotection by short-term oxidative preconditioning: Role of manganese superoxide dismutase. FEBS Lett. 2009, 583, 3437–3442. [Google Scholar] [CrossRef] [PubMed]
- Tyurin, V.A.; Tyurina, Y.Y.; Ritov, V.B.; Lysytsya, A.; Amoscato, A.A.; Kochanek, P.M.; Hamilton, R.; DeKosky, S.T.; Greenberger, J.S.; Bayir, H.; et al. Oxidative lipidomics of apoptosis: Quantitative assessment of phospholipid hydroperoxides in cells and tissues. Mol. Biol. 2010, 610, 353–374. [Google Scholar]
- Epperly, M.W.; Lai, S.M.; Mason, N.; Lopresi, B.; Dixon, T.; Franicola, D.; Niu, Y.; Wilson, W.R.; Kanai, A.J.; Greenberger, J.S. Effectiveness of combined modality radiotherapy of orthotopic human squamous cell carcinomas in Nu/Nu mice using Cetuximab, Tirapazamine, and MnSOD-plasmid liposome gene therapy. In Vivo 2010, 24, 1–8. [Google Scholar] [PubMed]
- Tyurina, Y.Y.; Tyurin, V.A.; Kapralova, V.I.; Wasserloos, K.; Mosher, M.; Epperly, M.; Greenberger, J.; Pitt, B.R.; Kagan, V.E. Oxidative lipidomics of γ-irradiation induced lung injury: Mass-spectrometric characterization of cardiolipin and phosphatidylserine peroxidation. Radiat. Res. 2011, 175, 610–621. [Google Scholar] [CrossRef] [PubMed]
- Tyurina, Y.Y.; Poloyac, S.M.; Tyurin, V.A.; Kapralov, A.A.; Jiang, J.; Anthonymuthus, T.S.; Kapralova, V.I.; Vikulina, A.S.; Jung, M.-J.; Epperly, M.W.; et al. A mitochondrial pathway for biosynthesis of lipid mediators. Nat. Chem. 2014, 6, 542–552. [Google Scholar] [CrossRef] [PubMed]
- Stoyanovsky, D.A.; Jiang, J.; Murphy, M.; Epperly, M.; Li, S.; Greenberger, J.; Kagan, V.; Bayir, H. Design and synthesis of a mitochondria-targeted mimic of glutathione peroxidase, MitoEbselen-2, as a radiation mitigator. ACS Med. Chem. Lett. 2014, 5, 1304–1307. [Google Scholar] [CrossRef] [PubMed]
- Greenberger, J.S.; Kagan, V.E.; Pearce, L.; Boriseniao, G.; Tyurina, Y.; Epperly, M.W. Modulation of redox signal transduction pathways in the treatment of cancer. Antioxid. Redox Signal. 2001, 3, 347–359. [Google Scholar] [CrossRef] [PubMed]
- Pearce, L.L.; Epperly, M.W.; Greenberger, J.S.; Pitt, B.; Peterson, J. Identification of respiratory complexes I and III as mitochondrial sites of damage following exposure to ionizing radiation and nitric oxide. Nitric Oxide: Biol. Chem. 2001, 5, 128–136. [Google Scholar] [CrossRef]
- Epperly, M.W.; Bernarding, M.; Gretton, J.; Jefferson, M.; Nie, S.; Greenberger, J.S. Overexpression of the transgene for manganese Superoxide dismutase (MnSOD) in 32D cl 3 cells prevents apoptosis induction by TNF-α, IL-3 withdrawal and ionizing irradiation. Exp. Hematol. 2003, 31, 465–474. [Google Scholar] [CrossRef] [PubMed]
- Epperly, M.W.; Rugo, R.; Cao, S.; Wang, H.; Franicola, D.; Goff, J.P.; Shen, H.; Zhang, X.; Wiktor-Brown, D.; Engelward, B.; et al. Investigation of the effects of aging on homologous recombination in long-term bone marrow cultures. In Vivo 2009, 23, 669–678. [Google Scholar] [PubMed]
- Epperly, M.W.; Kagan, V.E.; Sikora, C.A.; Gretton, J.E.; Defilippi, S.J.; Bar-Sagi, D.; Greenberger, J.S. Manganese superoxide dismutase-plasmid/liposome (MnSOD-PL) administration protects mice from esophagitis associated with fractionated irradiation. Int. J. Cancer 2001, 96, 221–233. [Google Scholar] [CrossRef] [PubMed]
- Epperly, M.W.; Sikora, C.A.; DeFilippi, S.J.; Gretton, J.E.; Bar-Sagi, D.; Carlos, T.; Guo, H.L.; Greenberger, J.S. Pulmonary irradiation-induced expression of VCAM-1 and ICAM-1 is decreased by MnSOD-PL gene therapy. Biol. Blood Marrow Transplant. 2002, 8, 175–187. [Google Scholar] [CrossRef] [PubMed]
- Epperly, M.W.; Sikora, C.; Defilippi, S.; Gretton, J.; Zhan, Q.; Kufe, D.W.; Greenberger, J.S. MnSOD inhibits irradiation-induced apoptosis by stabilization of the mitochondrial membrane against the effects of SAP kinases p38 and Jnk1 translocation. Radiat. Res. 2002, 157, 568–577. [Google Scholar] [CrossRef] [PubMed]
- Kanai, A.J.; Zeidel, M.L.; Lavelle, J.P.; Greenberger, J.S.; Birder, L.A.; de Groat, W.C.; Apodaca, G.L.; Meyers, S.A.; Ramage, R.; van Bibber, M.M.; et al. Manganese superoxide dismutase gene therapy protects against irradiation-induced cystitis. Am. J. Physiol. 2002, 44, 1152–1160. [Google Scholar]
- Epperly, M.W.; Defilippi, S.; Sikora, C.; Gretton, J.; Greenberger, J.S. Radioprotection of lung and esophagus by overexpression of the human manganese superoxide dismutase transgene. Mil. Med. 2002, 167, 71–73. [Google Scholar] [PubMed]
- Epperly, M.W.; Guo, H.L.; Jefferson, M.; Wong, S.; Gretton, J.; Bernarding, M.; Bar-Sagi, D.; Greenberger, J.S. Cell phenotype specific duration of expression of epitope-tagged HA-MnSOD in cells of the murine lung following intratracheal plasmid liposome gene therapy. Gene Ther. 2003, 10, 163–171. [Google Scholar] [CrossRef] [PubMed]
- Guo, H.L.; Seixas-Silva, J.A.; Epperly, M.W.; Gretton, J.E.; Shin, D.M.; Greenberger, J.S. Prevention of irradiation-induced oral cavity mucositis by plasmid/liposome delivery of the human manganese superoxide dismutase (MnSOD) transgene. Radiat. Res. 2003, 159, 361–370. [Google Scholar] [CrossRef] [PubMed]
- Guo, H.; Epperly, M.W.; Bernarding, M.; Nie, S.; Gretton, J.; Jefferson, M.; Greenberger, J.S. Manganese superoxide dismutase-plasmid/liposome (MnSOD-PL) intratracheal gene therapy reduction of irradiation-induced inflammatory cytokines does not protect orthotopic lewis lung carcinomas. In Vivo 2003, 17, 13–22. [Google Scholar] [PubMed]
- Fink, M.P.; Macias, C.A.; Xiao, J.; Tyurina, Y.Y.; Delude, R.L.; Greenberger, J.S.; Kagan, V.E.; Wipf, P. Hemigramicidin-TEMPO conjugates: Novel mitochondria-targeted anti-oxidants. Biochem. Pharmacol. 2007, 74, 801–809. [Google Scholar] [CrossRef] [PubMed]
- Jiang, J.; Maeda, A.; Ji, J.; Baty, C.J.; Watkins, S.C.; Greenberger, J.S.; Kagan, V.E. Are mitochondrial reactive oxygen species required for autophagy? Biochem. Biophys. Res. Commun. 2011, 412, 55–60. [Google Scholar] [CrossRef] [PubMed]
- Glowacki, J.; Mizuno, S.; Kung, J.; Goff, J.; Epperly, M.; Dixon, T.; Wang, H.; Greenberger, J.S. Effects of mouse genotype on bone wound healing and irradiation-induced delay. In Vivo 2014, 28, 189–196. [Google Scholar] [PubMed]
- Greenberger, J.S.; Epperly, M.W.; Gretton, J.; Jefferson, M.; Nie, S.; Bernarding, M.; Kagan, V.; Guo, H.L. Radioprotective gene therapy. Curr. Gene Ther. 2003, 3, 183–195. [Google Scholar] [CrossRef] [PubMed]
- Guo, H.L.; Wolfe, D.; Epperly, M.W.; Huang, S.; Liu, K.; Glorioso, J.C.; Greenberger, J.; Blumberg, D. Gene transfer of human manganese superoxide dismutase protects small intestinal villi from radiation injury. J. Gastrointest. Surg. 2003, 7, 229–236. [Google Scholar] [CrossRef] [PubMed]
- Epperly, M.W.; Guo, H.L.; Bernarding, M.; Gretton, J.; Jefferson, M.; Greenberger, J.S. Delayed intratracheal injection of manganese superoxide dismutase (MnSOD)-plasmid/liposomes provides suboptimal protection against irradiation-induced pulmonary injury compared to treatment before irradiation. Gene Ther. Mol. Biol. 2003, 7, 61–68. [Google Scholar]
- Epperly, M.W.; Sikora, C.A.; Defilippi, S.; Gretton, J.E.; Greenberger, J.S. Bone marrow origin of myofibroblasts in irradiation pulmonary fibrosis. Am. J. Respir. Mol. Cell Biol. 2003, 29, 213–224. [Google Scholar] [CrossRef]
- Epperly, M.W.; Gretton, J.E.; Bernarding, M.; Nie, S.; Rasul, B.; Greenberger, J.S. Mitochondrial localization of copper/zinc superoxide dismutase (Cu/ZnSOD) confers radioprotective functions in vitro and in vivo. Radiat. Res. 2003, 160, 568–578. [Google Scholar] [CrossRef] [PubMed]
- Kanai, A.; Epperly, M.W.; Pearce, L.; Birder, L.; Zeidel, M.; Meyers, S.; Greenberger, J.; de Groat, W.; Apodaca, G.; Peterson, J. Differing roles of mitochondrial nitric oxide synthase in cardiomyocytes and urothelial cells. Am. J. Physiol. Heart Circ. Physiol. 2004, 286, H13–H21. [Google Scholar] [CrossRef] [PubMed]
- Epperly, M.W.; Osipov, A.N.; Martin, I.; Kawai, K.; Borisenko, G.G.; Jefferson, M.; Bernarding, M.; Greenberger, J.S.; Kagan, V.E. Ascorbate as a “redox-sensor” and protector against irradiation-induced oxidative stress in 32D cl 3 hematopoietic cells and subclones overexpressing human manganese Superoxide Dismutase. Int. J. Radiat. Oncol. Biol. Phys. 2004, 58, 851–861. [Google Scholar] [CrossRef] [PubMed]
- Epperly, M.W.; Hongliang, G.; Shields, D.; Zhang, X.; Flanders, K.; Lambert, P.; Greenberger, J.S. Correlation of ionizing irradiation-induced late pulmonary fibrosis with long-term bone marrow culture fibroblast progenitor cell biology in mice homozygous deletion recombinant negative for endothelial cell adhesion molecules. In Vivo 2004, 18, 1–14. [Google Scholar] [PubMed]
- Kalash, R.; Berhane, H.; Goff, J.; Houghton, F.; Epperly, M.W.; Dixon, T.; Zhang, X.; Sprachman, M.M.; Wipf, P.; Franicola, D.; et al. Thoracic irradiation effects on pulmonary endothelial compared to alveolar type II cells in fibrosis prone C57BL/6NTac mice. In Vivo 2013, 27, 291–298. [Google Scholar] [PubMed]
- Kalash, R.; Epperly, M.W.; Goff, J.; Dixon, T.; Sprachman, M.M.; Zhang, X.; Shields, D.; Cao, S.; Wipf, P.; Franicola, D.; et al. Amelioration of irradiation pulmonary fibrosis by a water-soluble bi-functional sulfoxide radiation mitigator (MMS350). Radiat. Res. 2013, 180, 474–490. [Google Scholar] [CrossRef] [PubMed]
- Kalash, R.; Berhane, H.; Au, J.; Rhieu, B.H.; Epperly, M.W.; Goff, J.; Dixon, T.; Wang, H.; Zhang, X.; Franicola, D.; et al. Differences in irradiated lung gene transcription between fibrosis-prone C57BL/6NHsd and fibrosis-resistant C3H/HeNHsd mice. In Vivo 2014, 28, 147–172. [Google Scholar] [PubMed]
- Epperly, M.W.; Franicola, D.; Shields, D.; Rwigema, J.-C.; Stone, B.; Zhang, X.; McBride, W.; Georges, G.; Wipf, P.; Greenberger, J.S. Screening for in vitro radiation protection and mitigation capacity of antimicrobial agents including those used in supportive care regimens for bone marrow transplant recipients. In Vivo 2010, 24, 9–20. [Google Scholar] [PubMed]
- Greenberger, J.S.; Epperly, M.W. Antioxidant therapeutic approaches toward amelioration of the pulmonary pathophysiological damaging effects of ionizing irradiation. Curr. Respir. Med. Rev. 2007, 3, 29–37. [Google Scholar] [CrossRef]
- Greenberger, J.S. Gene therapy approaches for stem cell protection. Gene Ther. 2008, 15, 100–108. [Google Scholar] [CrossRef] [PubMed]
- Greenberger, J.S. Radioprotection. In Vivo 2009, 23, 323–336. [Google Scholar] [PubMed]
- Koide, K.; Osman, S.; Garner, A.L.; Song, F.; Dixon, T.; Greenberger, J.S.; Epperly, M.W. The use of 3,5,4′-Tri-O-acetylresveratrol as a potential prodrug for Resveratrol protects mice from γ-irradiation-induced death. ACS Med. Chem. Lett. 2011, 2, 270–274. [Google Scholar] [CrossRef] [PubMed]
- Pearce, L.L.; Martinez-Bosch, S.; Khlangwiset, P.; Zhang, X.; Epperly, M.W.; Fink, M.P.; Greenberger, J.S.; Peterson, J. l-argrinine is a protector but not a mitigator of the effects of ionizing radiation on hematopoietic progenitor cells. Radiat. Res. 2012, 177, 792–803. [Google Scholar] [CrossRef] [PubMed]
- Miao, W.; Feng, R.X.; Park, M.-R.; Gu, H.; Hu, L.; Kang, J.; Wook, M.S.; Liang, P.H.; Li, Y.; Cheng, H.; et al. Hematopoietic stem cell regeneration enhanced by ectopic expression of ROS-detoxifying enzymes in transplant mice. Mol. Ther. 2013, 21, 423–432. [Google Scholar] [CrossRef] [PubMed]
- Greenberger, J.S.; Epperly, M.W. Radioprotective antioxidant gene therapy: Potential mechanisms of action. Gene Ther. Mol. Biol. 2004, 8, 31–44. [Google Scholar]
- Greenberger, J.S.; Epperly, M.W. Pleiotrophic stem cell and tissue effects of ionizing irradiation protection by MnSOD-plasmid liposome gene therapy. In Progress in Gene Therapy; Columbus, F., Ed.; Nova Science Publications: Hauppauge, NY, USA, 2005; pp. 110–118. [Google Scholar]
- Epperly, M.W.; Goff, J.P.; Sikora, C.A.; Shields, D.S.; Greenberger, J.S. Bone marrow origin of cells with capacity for homing and differentiation to esophageal squamous epithelium. Radiat. Res. 2004, 162, 233–240. [Google Scholar] [CrossRef] [PubMed]
- Epperly, M.W.; Carpenter, M.; Agarwal, A.; Mitra, P.; Nie, S.; Greenberger, J.S. Intra-oral manganese superoxide dismutase plasmid liposome radioprotective gene therapy decreases ionizing irradiation-induced murine mucosal cell cycling and apoptosis. In Vivo 2004, 18, 401–410. [Google Scholar] [PubMed]
- Epperly, M.W.; Chaillet, J.R.; Kalash, R.; Shaffer, B.; Goff, J.; Shields, D.; Dixon, T.; Wang, H.; Berhane, H.; Kim, J.-H.; et al. Conditional radioresistance of Tet-inducible manganese superoxide dismutase bone marrow stromal cells. Radiat. Res. 2013, 180, 189–204. [Google Scholar] [CrossRef] [PubMed]
- Rwigema, J.-C.M.; Beck, B.; Wang, W.; Doemling, A.; Epperly, M.W.; Shields, D.; Franicola, D.; Dixon, T.; Frantz, M.-C.; Wipf, P.; et al. Two strategies for the development of mitochondrial-targeted small molecule radiation damage mitigators. Int. J. Radiat. Oncol. Biol. Phys. 2011, 80, 860–868. [Google Scholar] [CrossRef] [PubMed]
- Jiang, J.; Stoyanovsky, D.; Belikova, N.A.; Tyurina, Y.Y.; Zhao, Q.; Tungekar, M.A.; Kapralova, V.; Huang, Z.; Mintz, A.; Greenberger, J.S.; et al. A mitochondria-targeted triphenylphosphonium-conjugated nitroxide functions as a radioprotector/mitigator. Radiat. Res. 2009, 172, 706–714. [Google Scholar] [CrossRef] [PubMed]
- Rajagopalan, M.S.; Gupta, K.; Epperly, M.W.; Franicola, D.; Zhang, X.; Wang, H.; Zhao, H.; Tyurin, V.A.; Kagan, V.E.; Wipf, P.; et al. The mitochondria-targeted nitroxide JP4-039 augments potentially lethal irradiation damage repair. In Vivo 2009, 23, 717–726. [Google Scholar] [PubMed]
- Samhan-Arias, A.K.; Ji, J.; Demidova, O.M.; Sparvero, L.J.; Feng, W.; Tyurin, V.; Tyurina, Y.Y.; Epperly, M.W.; Shvedova, A.A.; Greenberger, J.S.; et al. Oxidized phospholipids as biomarkers of tissue and cell damage with a focus on cardiolipin. Biochim. Biophys. Acta 2012, 1818, 2413–2423. [Google Scholar] [CrossRef] [PubMed]
- Greenberger, J.S.; Berhane, H.; Shinde, A.; Rhieu, B.H.; Bernard, M.; Wipf, P.; Skoda, E.M.; Epperly, M.W. Can radiosensitivity associated with defects in DNA repair be overcome by mitochondrial-targeted antioxidant radioprotectors? Front. Radiat. Oncol. 2014, 4, 1. [Google Scholar]
- Shinde, A.; Epperly, M.W.; Franicola, D.; Cao, S.; Goff, J.; Shields, D.; Franicola, D.; Wipf, P.; Wang, H.; Greenberger, J.S. Increased longevity of GS-nitroxide (JP4-039) treated mouse long-term bone marrow cultures and radioresistance of derived bone marrow stromal cell lines. In Vivo 2014, 28, 699–708. [Google Scholar] [PubMed]
- Shinde, A.; Epperly, M.W.; Cao, S.; Franicola, D.; Shields, D.; Wang, H.; Greenberger, J.S. Effects of the radiation mitigator bifunctional sulfoxide MMS350 on hematopoiesis and long-term bone marrow cultures. In Vivo 2014, 28, 457–466. [Google Scholar] [PubMed]
- Berhane, H.; Epperly, M.W.; Goff, J.; Kalash, R.; Cao, S.; Franicola, D.; Zhang, X.; Shields, D.; Houghton, F.; Wang, H.; et al. Radiobiologic differences between bone marrow stromal and hematopoietic progenitor cell lines from Fanconi Anemia (Fancd2−/−) mice. Radiat. Res. 2014, 181, 76–89. [Google Scholar] [CrossRef] [PubMed]
- Berhane, H.; Shinde, A.; Kalash, R.; Xu, K.; Epperly, M.W.; Goff, J.; Franicola, D.; Zhang, X.; Dixon, T.; Shields, D.; et al. Amelioration of irradiation induced oral cavity mucositis and distant bone marrow suppression in Fancd2−/− (FVB/N) mice by intraoral JP4-039/F15. Radiat. Res. 2014, 182, 35–49. [Google Scholar] [CrossRef] [PubMed]
- Kagan, V.E.; Tyurina, Y.Y.; Bayir, H.; Chu, C.T.; Kapralov, A.A.; Vlasova, B.N.A., II; Tyurin, V.A.; Amoscato, A.; Epperly, M.; Greenberger, J.; et al. The “pro-apoptotic genies” get out of mitochondria: Oxidative lipidomics and redox activity of cytochrome c/cardiolipin complexes. Chem. Biol. Interact. 2006, 163, 15–28. [Google Scholar] [CrossRef] [PubMed]
- Goff, J.; Shields, D.; Wang, H.; Skoda, E.; Sprachman, M.; Wipf, P.; Lazo, J.; Atkinson, J.; Kagan, V.; Epperly, M.; et al. Evaluation of ionizing irradiation protectors and mitigators using clonagenic survival of human umbilical cord blood hematopoietic progenitor cells. Exp. Hematol. 2013, 41, 957–966. [Google Scholar] [CrossRef] [PubMed]
- Epperly, M.W.; Smith, T.; Wang, H.; Schlesselman, J.; Franicola, D.; Greenberger, J.S. Modulation of total body irradiation induced life shortening by systemic intravenous MnSOD-plasmid liposome gene therapy. Radiat. Res. 2008, 170, 437–444. [Google Scholar] [CrossRef] [PubMed]
- Epperly, M.W.; Smith, T.; Zhang, X.; Greenberger, B.; Komanduri, P.; Wang, H.; Greenberger, J.S. Modulation of in utero total body irradiation induced newborn mouse growth retardation by maternal manganese superoxide dismutase-plamid liposome (MnSOD-PL) gene therapy. Gene Ther. 2010, 18, 579–583. [Google Scholar] [CrossRef]
- Epperly, M.W.; Wang, H.; Jones, J.; Dixon, T.; Montesinos, C.; Greenberger, J.S. Antioxidant-chemoprevention diet ameliorates late effects of total body irradiation and supplements radioprotection by MnSOD-plasmid liposome administration. Radiat. Res. 2011, 175, 759–765. [Google Scholar] [CrossRef] [PubMed]
- Rajagopalan, M.S.; Stone, B.; Rwigema, J.-C.; Salimi, U.; Epperly, M.W.; Goff, J.; Franicola, D.; Dixon, T.; Cao, S.; Zhang, X.; et al. Intraesophageal manganese superoxide dismutase-plasmid liposomes ameliorates novel total body and thoracic irradiation sensitivity of homologous deletion recombinant negative nitric oxide synthase-1 (NOS1−/−) mice. Radiat. Res. 2010, 174, 297–312. [Google Scholar] [CrossRef] [PubMed]
- Fink, M.P.; Macias, C.A.; Xiao, J.; Tyurina, Y.Y.; Delude, R.L.; Greenberger, J.S.; Kagan, V.E.; Wipf, P. Hemigramicidin-TEMPO conjugates: Novel mitochondria-targeted antioxidants. Crit. Care Med. 2007, 35, 5461–5470. [Google Scholar]
- Epperly, M.W.; Rwigema, J.-C.M.; Li, S.; Gao, X.; Wipf, P.; Goff, J.; Wang, H.; Franicola, D.; Shen, H.; Kagan, V.; et al. Intraesophageal administration of GS-nitroxide (JP4-039) protects against ionizing irradiation-induced esophagitis. In Vivo 2010, 24, 811–821. [Google Scholar] [PubMed]
- Jing, J.; Kline, A.E.; Amoscato, A.; Samhan-Arias, A.K.; Sparvero, L.J.; Tyurin, V.A.; Tyurina, Y.Y.; Fink, B.; Manoe, M.D.; Pucco, A.M.; et al. Lipidomics identifies cardiolipin oxidation as a mitochondrial target for redox therapy of brain injury. Nat. Neurosci. 2012, 15, 1407–1413. [Google Scholar] [CrossRef] [PubMed]
- Goff, J.P.; Epperly, M.W.; Shields, D.; Wipf, P.; Dixon, T.; Greenberger, J.S. Radiobiologic effects of GS-nitroxide (JP4-039) in the hematopoietic syndrome. In Vivo 2011, 25, 315–324. [Google Scholar] [PubMed]
- Greenberger, J.S.; Kagan, V.; Bayir, H.; Lazo, J.; Wipf, P.; Li, S.; Gao, X.; Clump, D.; Epperly, M.W. Mitochondrial targeted small molecule radiation protectors and radiation mitigators. Front. Radiat. Oncol. 2012, 1, 1–12. [Google Scholar] [CrossRef]
- Epperly, M.W.; Shen, H.; Jefferson, M.; Greenberger, J.S. In vitro differentiation capacity of esophageal progenitor cells with capacity for homing and repopulation of the ionizing irradition damaged esophagus. In Vivo 2004, 18, 675–685. [Google Scholar] [PubMed]
- Stone, H.B.; Coleman, C.N.; Moulder, J.E.; Ang, K.K.; Anscher, M.S.; Barcellos-Hoff, M.H.; Dynan, W.S.; Fike, J.R.; Grdina, D.J.; Greenberger, J.S.; et al. Models for evaluating agents intended for the prophylaxis, mitigation, and treatment of radiation injuries. Report of an NCI Workshop, December 3–4, 2003. Radiat. Res. 2004, 162, 711–718. [Google Scholar] [CrossRef] [PubMed]
- Carpenter, M.; Epperly, M.W.; Agarwal, A.; Nie, S.; Hricisak, L.; Niu, Y.; Greenberger, J.S. Inhalation delivery of manganese superoxide dismutase-plasmid/liposomes (MnSOD-PL) protects the murine lung from irradiation damage. Gene Ther. 2005, 12, 685–690. [Google Scholar] [CrossRef] [PubMed]
- Epperly, M.W.; Zhang, X.; Nie, S.; Cao, S.; Kagan, V.; Tyurin, V.; Greenberger, J.S. MnSOD-plasmid liposome gene therapy effects on ionizing irradiation induced lipid peroxidation of the esophagus. In Vivo 2005, 19, 997–1004. [Google Scholar] [PubMed]
- Epperly, M.W.; Shen, H.; Zhang, X.; Nie, S.; Cao, S.; Greenberger, J.S. Protection of esophageal stem cells from ionizing irradiation by MnSOD-plasmid liposome gene therapy. In Vivo 2005, 19, 965–974. [Google Scholar] [PubMed]
- Lechpammer, S.; Epperly, M.W.; Zhou, S.; Nie, S.; Glowacki, J.; Greenberger, J.S. Antioxidant pool regulated adipocyte differentiation Sod2−/− bone marrow stromal cells. Exp. Hematol. 2005, 33, 1201–1208. [Google Scholar] [CrossRef] [PubMed]
- Bayir, H.; Fadeel, B.; Palladino, M.J.; Witasp, E.; Kurnikov, I.V.; Tyurina, Y.Y.; Tyurin, V.A.; Amoscato, A.A.; Jiang, J.; Kochanek, P.M.; et al. Apoptotic interactions of cytochrome c: Redox flirting with anionic phospholipids within and outside of mitochondria. Biochim. Biophys. Acta 2006, 1757, 648–659. [Google Scholar] [CrossRef] [PubMed]
- Epperly, M.W.; Franicola, D.; Zhang, X.; Nie, S.; Greenberger, J.S. Effect of EGFR receptor antagonists gefitinib (Iressa) and C225 (Cetuximab) on MnSOD-plasmid liposome transgene radiosensitization of a murine squamous cell carcinoma cell line. In Vivo 2006, 20, 791–796. [Google Scholar] [PubMed]
- Epperly, M.W.; Wegner, R.; Kanai, A.J.; Kagan, V.; Greenberger, E.E.; Nie, S.; Greenberger, J.S. Irradiated murine oral cavity orthotopic tumor antioxidant pool destabilization by MnSOD-plasmid liposome gene therapy mediates tumor radiosensitization. Radiat. Res. 2007, 267, 289–297. [Google Scholar] [CrossRef]
- Jiang, J.; Belikova, N.A.; Xiao, J.; Zhao, Q.; Greenberger, J.S.; Wipf, P.; Kagan, V.E. A mitochondria-targeted nitroxide/hemi-gramicidin S conjugate protects mouse embryonic cells against γ-irradiation. Int. J. Radiat. Oncol. Biol. Phys. 2008, 70, 816–825. [Google Scholar] [CrossRef] [PubMed]
- Tyurina, Y.Y.; Tyurin, V.A.; Epperly, M.W.; Greenberger, J.S.; Kagan, V.E. Oxidative lipidomics of γ-irradiation induced intestinal injury. Free Radic. Biol. Med. 2008, 44, 299–314. [Google Scholar] [CrossRef] [PubMed]
- Epperly, M.W.; Melendez, A.; Zhang, X.; Franicola, D.; Smith, T.; Greenberger, B.A.; Komanduri, P.; Greenberger, J.S. Mitochondrial targeting of a catalase transgene product by plasmid liposomes increases radioresistance in vitro and in vivo. Radiat. Res. 2009, 171, 588–595. [Google Scholar] [CrossRef] [PubMed]
- Atkinson, J.; Kapralov, A.A.; Yanamala, N.; Pearce, L.; Peterson, J.; Tyurina, Y.Y.; Epperly, M.W.; Huang, Z.; Jiang, J.; Maeda, A.; et al. A mitochondria-targeted inhibitor of cytochrome c peroxidase mitigates radiation induced death. Nat. Commun. 2011, 2, 497. [Google Scholar] [CrossRef] [PubMed]
- Tyurina, Y.Y.; Tungekar, M.A.; Jung, M.-Y.; Tyurin, V.A.; Greenberger, J.S.; Stoyanovsky, D.A.; Kagan, V.E. Mitochondria targeting of non-peroxidizable triphenylphosphonium conjugated oleic acid protects mouse embryonic cells against apoptosis: Role of cardiolipin remodeling. FEBS Lett. 2012, 586, 235–241. [Google Scholar] [CrossRef] [PubMed]
- Frantz, M.-C.; Skoda, E.M.; Davoren, J.E.; Wang, Z.; Epperly, M.W.; Stripay, J.L.; Tyurin, V.A.; Fink, B.; Kapralov, A.; Greenberger, J.S.; et al. Synthesis and biochemical analysis of mitochondria-targeted nitroxide conjugates based on gramicidin S. JACS 2015, in press. [Google Scholar]
- Frantz, M.-C.; Skoda, E.M.; Sacher, J.R.; Epperly, M.W.; Goff, J.P.; Greenberger, J.S.; Wipf, P. Synthesis of analogs of the radiation mitigator JP4-039 and visualization of BODIPY derivatives in mitochondria. Org. Biomol. Chem. 2013, 11, 4147–4153. [Google Scholar] [CrossRef] [PubMed]
- Epperly, M.W.; Cao, S.; Zhang, X.; Franicola, D.; Kanai, A.J.; Greenberger, E.E.; Greenberger, J.S. Increased longevity of hematopoiesis in continuous bone marrow cultures derived from mtNOS−/− homozygous recombinant negative mice correlates with increased radioresistance of hematopoietic and bone marrow stromal cells. Exp. Hematol. 2007, 35, 137–145. [Google Scholar] [CrossRef] [PubMed]
- Jiang, J.; Kurnikov, I.; Belikova, N.A.; Xiao, J.; Zhao, Q.; Vlasova, I.L.; Amoscato, A.A.; Braslau, R.; Studer, A.; Fink, M.P.; et al. Structural requirements for optimized delivery, inhibition of oxidative stress and anti-apoptotic activity of targeted nitroxides. J. Pharmacol. Exp. Ther. 2007, 320, 1050–1060. [Google Scholar] [CrossRef] [PubMed]
- Epperly, M.W.; Epperly, L.D.; Zhang, X.; Franicola, D.; Greenberger, J.S. Overexpression of MnSOD transgene product protects cryopreserved bone marrow hematopoietic progenitor cells from ionizing irradiation. Radiat. Res. 2007, 168, 560–566. [Google Scholar] [CrossRef] [PubMed]
- Niu, Y.; Epperly, M.W.; Shen, H.; Smith, T.; Lewis, D.; Gollin, S.; Greenberger, J.S. Intraesophageal MnSOD-plasmid liposome administration enhances engraftment and self-renewal capacity of bone marrow derived progenitors of esophageal squamous epithelium. Gene Ther. 2008, 15, 347–356. [Google Scholar] [CrossRef] [PubMed]
- Zhang, X.; Epperly, M.W.; Kay, M.A.; Chen, Z.-Y.; Smith, T.; Franicola, D.; Greenberger, B.A.; Komanduri, P.; Greenberger, J.S. Radioprotection in vitro and in vivo by minicircle plasmid carrying the human manganese superoxide dismutase transgene. Hum. Gene Ther. 2008, 19, 820–826. [Google Scholar] [CrossRef] [PubMed]
- Niu, Y.; Wang, H.; Wiktor-Brown, D.; Rugo, R.; Shen, H.; Huq, M.S.; Engelward, B.; Epperly, M.; Greenberger, J.S. Irradiated esophageal cells are protected from radiation-induced recombination by MnSOD gene therapy. Radiat. Res. 2010, 173, 453–461. [Google Scholar] [CrossRef] [PubMed]
- Greenberger, J.S.; Epperly, M. Bone marrow-derived stem cells and radiation response. Semin. Radiat. Oncol. 2009, 19, 133–139. [Google Scholar] [CrossRef] [PubMed]
- Epperly, M.W.; Goff, J.P.; Franicola, D.; Wang, H.; Wipf, P.; Li, S.; Greenberger, J.S. Esophageal radioprotection in thoracic irradiated mice with transgenic lung tumors by swallowed JP4-039/F15. In Vivo 2014, 28, 435–440. [Google Scholar] [PubMed]
- Shinde, A.; Berhane, H.; Rhieu, B.H.; Kalash, R.; Xu, K.; Goff, J.; Epperly, M.W.; Franicola, D.; Zhang, X.; Dixon, T.; et al. Intraoral mitochondrial-targeted GS-Nitroxide, JP4-039, radioprotects normal tissue in tumor-bearing radiosensitive Fancd2−/− (C57BL/6) mice. Radiat. Res. 2015. submitted. [Google Scholar]
- Gokhale, A.S.; Epperly, M.; Glowacki, J.; Wang, H.; Wipf, P.; Pierce, J.G.; Dixon, T.; Patrene, K.; Greenberger, J.S. Small molecule GS-nitroxide and MnSOD gene therapy ameliorate ionizing irradiation-induced delay in bone wound healing in a novel murine model. In Vivo 2010, 24, 377–386. [Google Scholar] [PubMed]
- Bernard, M.E.; Kim, H.; Rwigema, J.-C.; Epperly, M.W.; Kelley, E.E.; Murdoch, G.H.; Dixon, T.; Wang, H.; Greenberger, J.S. Role of the esophageal vagus neural pathway in ionizing irradiation-induced seizures in Nitric Oxide Synthase-1 homologous recombination negative NOS1−/− mice. In Vivo 2011, 25, 861–870. [Google Scholar] [PubMed]
- Rhieu, B.H.; Epperly, M.W.; Cao, S.; Shields, D.; Franicola, D.; Wang, H.; Greenberger, J.S. Improved longevity of long-term bone marrow cultures from Toll-Like Receptor-4 (TLR4) deletion recombinant negative mice. In Vivo 2014, 28, 444–448. [Google Scholar]
- Epperly, M.W.; Goff, J.; Zhang, X.; Shields, D.; Wang, H.; Shen, H.; Franicola, D.; Bahnson, A.; Greenberger, E.E.; Greenberger, J.S. Increased radioresistance, G2M checkpoint inhibition and impaired migratory capacity of bone marrow stromal cell lines derived from SMAD3−/− mice. Radiat. Res. 2006, 165, 671–677. [Google Scholar] [CrossRef] [PubMed]
- Epperly, M.W.; Franicola, D.; Zhang, X.; Nie, S.; Wang, H.; Bahnson, A.; Shields, D.; Goff, J.; Greenberger, J.S. Decreased irradiation pulmonary fibrosis in SMAD3−/− marrow chimeric mice correlates to reduced bone marrow stromal cell migration in vitro. In Vivo 2006, 20, 573–582. [Google Scholar] [PubMed]
- Ding, B.-S.; Cao, Z.; Lis, R.; Nolan, D.J.; Guo, P.; Simons, M.; Penfold, M.E.; Shido, K.; Rabbany, S.Y.; Rafii, S. Divergent angiocrine signals from vascular niche balance liver regeneration and fibrosis. Nature 2014, 505, 97–102. [Google Scholar] [CrossRef] [PubMed]
- Watson, C.J.; Collier, P.; Tea, I.; Neary, R.; Watson, J.A.; Robinson, C.; Phelan, D.; Ledwidge, M.T.; McDonald, K.M.; McCann, A.; et al. Hypoxia-induced epigenetic modifications are associated with cardiac tissue fibrosis and the development of a myofibroblast-like phenotype. Hum. Mol. Genet. 2014, 23, 2176–2188. [Google Scholar] [CrossRef] [PubMed]
- Rhieu, B.H.; Epperly, M.W.; Cao, S.; Franicola, D.; Shields, D.; Goff, J.; Wang, H.; Greenberger, J.S. Increased hematopoiesis in long-term bone marrow cultures derived from Fon Willebrand Factor homologous deletion recombinant mice (vWF−/−). In Vivo 2014, 28, 449–456. [Google Scholar] [PubMed]
- Tarhini, A.A.; Belani, C.; Luketich, J.D.; Ramalingam, S.S.; Argiris, A.; Gooding, W.; Petro, D.; Kane, K.; Liggitt, D.; Championsmith, T.; et al. A phase I study of concurrent chemotherapy (Paclitaxel and Carboplatin) and thoracic radiotherapy with swallowed manganese superoxide dismutase (MnSOD) plasmid liposome (PL) protection in patients with locally advanced stage III non-small cell lung cancer. Hum. Gene Ther. 2011, 22, 336–343. [Google Scholar] [CrossRef] [PubMed]
- Bernard, M.E.; Kim, H.; Berhane, H.; Epperly, M.W.; Franicola, D.; Zhang, X.; Houghton, F.; Shields, D.; Wang, H.; Bakkenist, C.J.; et al. GS-nitroxide (JP4-039) mediated radioprotection of human Fanconi Anemia cell lines. Radiat. Res. 2011, 176, 603–612. [Google Scholar] [CrossRef] [PubMed]
- Kim, H.; Bernard, M.E.; Epperly, M.W.; Shen, H.; Amoscato, A.; Dixon, T.M.; Doemling, A.S.; Li, S.; Gao, X.; Wipf, P.; et al. Amelioration of radiation esophagitis by orally administered p53/mdm2/mdm4 inhibitor (BEB55) or GS-Nitroxide. In Vivo 2011, 25, 841–849. [Google Scholar] [PubMed]
- Stoyanovsky, D.A.; Huang, Z.; Jiang, J.; Belikova, N.A.; Tyurin, V.; Epperly, M.W.; Greenberger, J.S.; Bayir, H.; Kagan, V.E. A manganese-porphyrin complex decomposes hydrogen peroxide, compartmentalizes into mitochondria, inhibits apoptosis, and acts as a radiation mitigator in vivo. JACS Med. Chem. Lett. 2011, 362, 21–34. [Google Scholar]
© 2015 by the authors; licensee MDPI, Basel, Switzerland. This article is an open access article distributed under the terms and conditions of the Creative Commons Attribution license (http://creativecommons.org/licenses/by/4.0/).
Share and Cite
Greenberger, J.; Kagan, V.; Bayir, H.; Wipf, P.; Epperly, M. Antioxidant Approaches to Management of Ionizing Irradiation Injury. Antioxidants 2015, 4, 82-101. https://doi.org/10.3390/antiox4010082
Greenberger J, Kagan V, Bayir H, Wipf P, Epperly M. Antioxidant Approaches to Management of Ionizing Irradiation Injury. Antioxidants. 2015; 4(1):82-101. https://doi.org/10.3390/antiox4010082
Chicago/Turabian StyleGreenberger, Joel, Valerian Kagan, Hulya Bayir, Peter Wipf, and Michael Epperly. 2015. "Antioxidant Approaches to Management of Ionizing Irradiation Injury" Antioxidants 4, no. 1: 82-101. https://doi.org/10.3390/antiox4010082
APA StyleGreenberger, J., Kagan, V., Bayir, H., Wipf, P., & Epperly, M. (2015). Antioxidant Approaches to Management of Ionizing Irradiation Injury. Antioxidants, 4(1), 82-101. https://doi.org/10.3390/antiox4010082
