Fruit Peel Powder as Natural Antioxidant and Reinforcing Bio-Filler in Natural Rubber Latex Gloves: Cases of Mangosteen, Pomelo and Durian
Abstract
1. Introduction
2. Materials and Methods
2.1. Materials and Chemicals
2.2. Preparation of FPP/NRL Mixture
2.3. Preparation of FPP/NRL Gloves
2.4. Thermal and Gamma Aging of FPP/NRL Gloves
2.5. Characterization
2.5.1. Thermal Stability and Functional Groups
2.5.2. Morphology, Density, and Color
2.5.3. Radical-Scavenging Capacity
- MPP extracts were 0.0125, 0.025, 0.05, or 0.1 mg/mL;
- PPP extracts were 0.156, 0.625, 2.5, or 10 mg/mL;
- DPP extracts were 0.781, 3.125, 12.5, or 50 mg/mL.
2.5.4. Mechanical Properties
2.6. Statistical Analysis
3. Results and Discussion
3.1. Characteristics of FPP
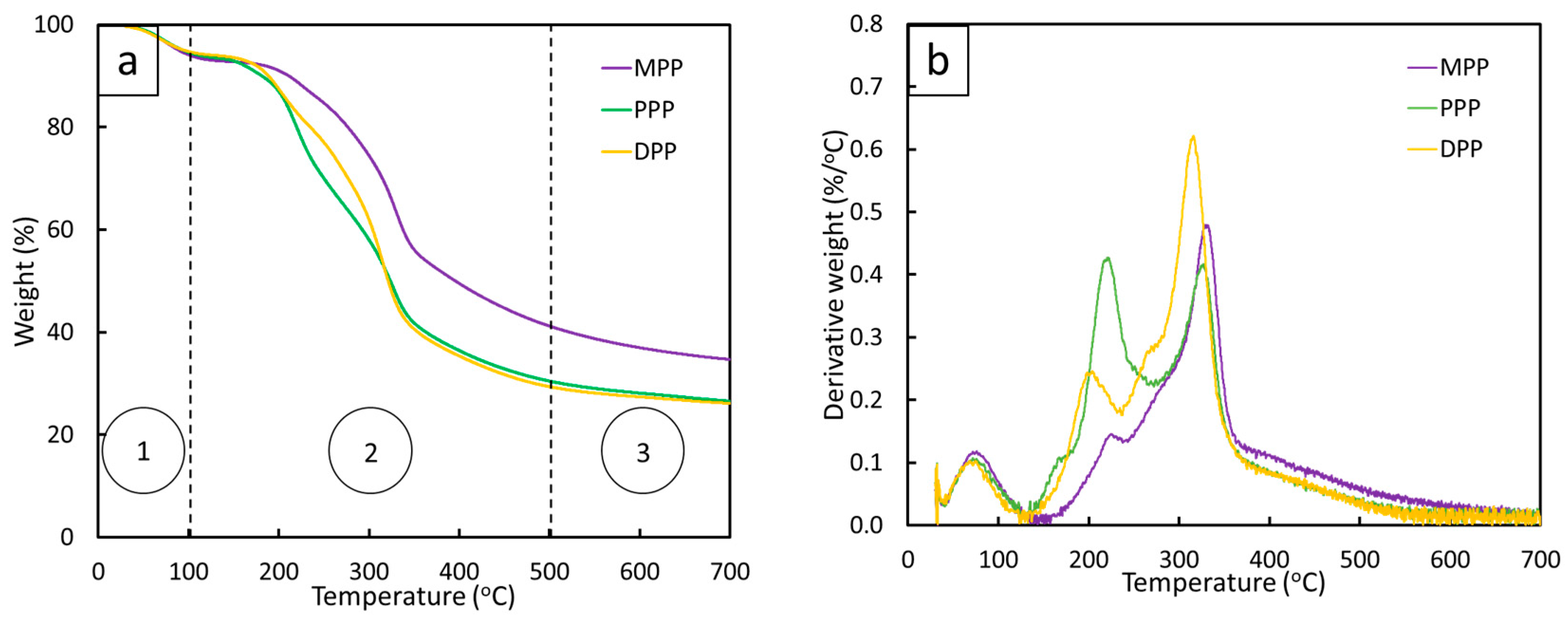
3.1.1. Thermal Stability
3.1.2. Functional Groups
3.1.3. Radical-Scavenging Capacity
3.2. Characteristics of FPP/NRL Gloves
3.2.1. Colors
3.2.2. Densities
3.2.3. Thermal Stability
3.2.4. Functional Groups
3.2.5. Mechanical Properties
3.3. Recommended FPP Contents for Actual Production
4. Conclusions
Supplementary Materials
Author Contributions
Funding
Institutional Review Board Statement
Informed Consent Statement
Data Availability Statement
Acknowledgments
Conflicts of Interest
References
- Obi, F.O.; Ugwuishiwu, B.O.; Nwakaire, J.N. Agricultural waste concept, generation, utilization and management. Niger. J. Technol. 2016, 35, 957–964. [Google Scholar] [CrossRef]
- Bhatnager, A.; Sillanpaa, M.; Witek-Krowiak, A. Agricultural waste peels as versatile biomass for water purification—A review. Chem. Eng. J. 2015, 270, 244–271. [Google Scholar] [CrossRef]
- Kasirajan, S.; Ngouajio, M. Polyethylene and biodegradable mulches for agricultural applications: A review. Agron. Sustain. Dev. 2012, 32, 501–529. [Google Scholar] [CrossRef]
- Aprianti, E.; Shafigh, P.; Bahri, S.; Farahani, J.N. Supplementary cementitious materials origin from agricultural wastes—A review. Constr. Build. Mater. 2015, 74, 176–187. [Google Scholar] [CrossRef]
- Bahrami, A.; Soltani, N.; Pech-Canul, M.I.; Gutierrez, C.A. Development of metal-matrix composites from industrial/agricultural waste materials and their derivatives. Crit. Rev. Environ. Sci. Technol. 2016, 46, 143–208. [Google Scholar] [CrossRef]
- Navarro, E.; Costa, N.; Pereira, A. A systematic review of IoT solutions for smart farming. Sensors 2020, 20, 4231. [Google Scholar] [CrossRef]
- Calabi-Floody, M.; Medina, J.; Rumpel, C.; Condron, L.M.; Hernandez, M.; Dumont, M.; de la Luz Mora, M. Chapter three—Smart fertilizers as a strategy for sustainable agriculture. Adv. Agron. 2018, 147, 119–157. [Google Scholar]
- Pathak, P.D.; Mandavgane, S.A.; Kulkarni, B.D. Fruit peel waste: Characterization and its potential uses. Curr. Sci. 2017, 113, 444–454. [Google Scholar] [CrossRef]
- Dutta, S.; Bhattacharry, A.; Ganguly, A.; Gupta, S.; Basu, S. Application of response surface methodology for preparation of low-cost adsorbent from citrus fruit peel and for removal of Methylene Blue. Desalination 2011, 275, 26–36. [Google Scholar] [CrossRef]
- Kumar, H.; Bhardwaj, K.; Sharma, R.; Nepovimova, E.; Kuca, K.; Dhanjal, D.S.; Verma, R.; Bhardwaj, P.; Sharma, S.; Kumar, D. Fruit and vegetable peels: Utilization of high value horticultural waste in novel industrial applications. Molecules 2020, 25, 2812. [Google Scholar] [CrossRef]
- Saleem, M.; Saeed, M.T. Potential application of waste fruit peels (orange, yellow lemon and banana) as wide range natural antimicrobial agent. J. King Saud Univ. Sci. 2020, 32, 805–810. [Google Scholar] [CrossRef]
- Thi, T.U.D.; Nguyen, T.T.; Thi, Y.D.; Thi, K.H.T.; Phan, B.T.; Pham, K.N. Green synthesis of ZnO nanoparticles using orange fruit peel extract for antibacterial activities. RSC Adv. 2020, 10, 23899–23907. [Google Scholar]
- Yusefi, M.; Shameli, K.; Ali, R.R.; Pang, S.W.; Teiw, S.Y. Evaluating anticancer activity of plant-mediated synthesized iron oxide nanoparticles using Punica Granatum fruit peel extract. J. Mol. Struct. 2020, 1204, 127539. [Google Scholar] [CrossRef]
- Sun, B.; Zhang, X.; Zhou, G.; Li, P.; Zhang, Y.; Wang, H.; Xia, Y.; Zhao, Y. An organic nonvolatile resistive switching memory device fabricated with natural pectin from fruit peel. Org. Electron. 2017, 42, 181–186. [Google Scholar] [CrossRef]
- Ninyong, K.; Wimolmala, E.; Sombatsompop, N.; Saenboonruang, K. Properties of natural rubber (NR) and wood/NR composites as gamma shielding materials. IOP Conf. Ser. Mater. Sci. Eng. 2019, 526, 012038. [Google Scholar] [CrossRef]
- Thumwong, A.; Wimolmala, E.; Markpin, T.; Sombatsompop, N.; Saenboonruang, K. Enhanced X-ray shielding properties of NRL gloves with nano-Bi2O3 and their mechanical properties under aging conditions. Radiat. Phys. Chem. 2021, 186, 109530. [Google Scholar] [CrossRef]
- Sukatta, U.; Rugthaworn, P.; Seangyen, W.; Tantaterdtam, R.; Smitthipong, W.; Chollakup, R. Prospects for rambutan peel extract as natural antioxidant on the aging properties of vulcanized natural rubber. SPE Polym. 2021, 2, 199–209. [Google Scholar] [CrossRef]
- Tasakorn, P.; Amatyakul, W. Photochemical reduction of molecular weight and number of double bonds in natural rubber film. Korean J. Chem. Eng. 2008, 25, 1532–1538. [Google Scholar] [CrossRef]
- Thumwong, A.; Poltabtim, W.; Kerdsang, P.; Saenboonruang, K. Roles of Chitosan as bio-fillers in radiation-vulcanized natural rubber latex and hybrid radiation and peroxide-vulcanized natural rubber latex: Physical/mechanical properties under thermal aging and biodegradability. Polymers 2021, 13, 3940. [Google Scholar] [CrossRef]
- Suleria, H.A.R.; Barrow, C.J.; Dunshea, F.R. Screening and characterization of phenolic compounds and their antioxidant capacity in different fruit peels. Foods 2020, 9, 1206. [Google Scholar] [CrossRef]
- Zhang, H.; Yang, Y.F.; Zhou, Z.Q. Phenolic and flavonoid contents of mandarin (Citrus reticulata Blanco) fruit tissues and their antioxidant capacity as evaluated by DPPH and ABTS methods. J. Integr. Agric. 2018, 17, 256–263. [Google Scholar] [CrossRef]
- Sethi, S.; Joshi, A.; Arora, B.; Bhowmik, A.; Sharma, R.R.; Kumar, P. Significance of FRAP, DPPH, and CUPRAC assays for antioxidant activity determination in apple fruit extracts. Eur. Food Res. Technol. 2020, 246, 591–598. [Google Scholar] [CrossRef]
- Mahir, N.A.; Ismail, H. Study of mangosteen (Garcinia mangostana) peel powder as antioxidant in natural rubber compound. J. Vinyl Addit. Technol. 2017, 23, 86–92. [Google Scholar] [CrossRef]
- Pocan, P.; Bahcegul, E.; Oztop, M.H.; Hamamci, H. Enzymatic hydrolysis of fruit peels and other lignocellulosic biomass as a source of sugar. Waste Biomass Valor. 2018, 9, 929–937. [Google Scholar] [CrossRef]
- Jacob, M.; Thomas, S.; Varughese, K.T. Mechanical properties of sisal/oil palm hybrid fiber reinforced natural rubber composites. Compos. Sci. Technol. 2004, 64, 955–965. [Google Scholar] [CrossRef]
- Hariwongsanupab, N.; Thanawan, S.; Amornsakchai, T.; Vallet, M.F.; Mougin, K. Improving the mechanical properties of short pineapple leaf fiber reinforced natural rubber by blending with acrylonitrile butadiene rubber. Polym. Test. 2017, 57, 94–100. [Google Scholar] [CrossRef]
- Sivasubramanian, P.; Mayandi, K.; Santulli, C.; Alavudeen, A.; Rajini, N. Effect of fiber length on curing and mechanical behavior of pineapple leaf fiber (PALF) reinforced natural rubber composites. J. Nat. Fibers 2020, 19, 4326–4337. [Google Scholar] [CrossRef]
- Thumwong, A.; Chinnawet, M.; Intarasena, P.; Rattanapongs, C.; Tokonami, S.; Ishikawa, T.; Saenboonruang, K. A comparative study on X-ray shielding and mechanical properties of natural rubber latex nanocomposites containing Bi2O3 or BaSO4: Experimental and numerical determination. Polymers 2022, 14, 3654. [Google Scholar] [CrossRef]
- Poh, G.K.X.; Chew, I.M.L.; Tan, J. Life cycle optimization for synthetic rubber glove manufacturing. Chem. Eng. Technol. 2019, 42, 1771–1779. [Google Scholar] [CrossRef]
- Moonlek, B.; Saenboonruang, K. Mechanical and electrical properties of radiation-vulcanized natural rubber latex with waste eggshell powder as bio-fillers. Radiat. Eff. Defects Solids 2019, 174, 452–466. [Google Scholar] [CrossRef]
- Hernigou, P.; Boceno, A.; Potage, D. Rubber gloves in orthopaedic surgery (part II): Cooke and Goodyear; Halsted and Caroline’s gloves of love; from cotton to rubber after Perthes’ experiments; double glove technique with Urist. Int. Orthop. 2023, 47, 1115–1123. [Google Scholar] [CrossRef] [PubMed]
- Wicha, G.; Intharaprasit, K.; Wimolmala, E.; Markpin, T.; Saenboonruang, K. Effects of post-gamma irradiation on swelling and mechanical properties of gamma vulcanized natural rubber latex (GVNRL) films. IOP Conf. Ser. Mater. Sci. Eng. 2020, 773, 012010. [Google Scholar] [CrossRef]
- Khan, M.; Ware, P.; Shimpi, N. Synthesis of ZnO nanoparticles using peels of Passiflora foetida and study of its activity as an efficient catalyst for the degradation of hazardous organic dye. SN Appl. Sci. 2021, 3, 528. [Google Scholar] [CrossRef]
- Timischl, F. The contrast-to-noise ratio for image quality evaluation in scanning electron microscopy. Scanning 2015, 37, 54–62. [Google Scholar] [CrossRef] [PubMed]
- Kires, M. Archimedes’ principle in action. Phys. Educ. 2007, 42, 484. [Google Scholar] [CrossRef]
- Toyen, D.; Wimolmala, E.; Sombatsompop, N.; Markpin, T.; Saenboonruang, K. Sm2O3/UHMWPE composites for radiation shielding applications: Mechanical and dielectric properties under gamma irradiation and thermal neutron shielding. Radiat. Phys. Chem. 2019, 164, 108366. [Google Scholar] [CrossRef]
- Can-Cauich, C.; Sauri-Duch, E.; Betancur-Ancona, D.; Chel-Guerrero, L.; Gonzalez-Aguilar, G.A.; Cuevas-Glory, L.F.; Perez-Pacheco, E.; Moo-Huchin, V.M. Tropical fruit peel powders as functional ingredients: Evaluation of their bioactive compounds and antioxidant activity. J. Funct. Foods 2017, 37, 501–506. [Google Scholar] [CrossRef]
- Erukainure, O.L.; Onifade, O.F.; Odjobo, B.O.; Olasehinde, T.A.; Adesioye, T.A.; Tugbobo-Amisu, A.O.; Adenekan, S.O.; Okonrokwo, G.I. Ethanol extract of Tetrapleura tetraptera fruit peels: Chemical characterization, and antioxidant potentials against free radicals and lipid peroxidation in hepatic tissues. J. Taibah Univ. Sci. 2017, 11, 861–867. [Google Scholar] [CrossRef]
- Hsu, C.Y.; Chao, P.Y.; Hu, S.P.; Yang, C.M. The antioxidant and free radical scavenging activities of chlorophylls and pheophytins. Food Nutr. Sci. 2013, 4, 35234. [Google Scholar] [CrossRef]
- Wang, X.; Yang, K.; Zhang, P. Evaluation of the aging coefficient and the aging lifetime of carbon black-filled styrene-isoprene-butadiee rubber after thermal-oxidative aging. Compos. Sci. Technol. 2022, 220, 109258. [Google Scholar] [CrossRef]
- El Gheriany, I.A.; El Saqa, F.A.; El Razek Amer, A.A.; Hussein, M. Oil spill sorption capacity of raw and thermally modified orange peel waste. Alex. Eng. J. 2020, 59, 925–932. [Google Scholar] [CrossRef]
- Majid, N.F.F.; Katende, A.; Ismail, I.; Sagala, F.; Sharif, N.M.; Yunus, M.A.C. A comprehensive investigation on the performance of durian rind as a lost circulation material in water based drilling mud. Petroleum 2019, 5, 285–294. [Google Scholar] [CrossRef]
- Trilokesh, C.; Uppuluri, K.B. Isolation and characterization of cellulose nanocrystals from jackfruit peel. Sci. Rep. 2019, 9, 16709. [Google Scholar] [CrossRef] [PubMed]
- Mukti, N.I.F.; Prasetyo, I.; Mindaryani, A.; Septarini, S. Preparation of porous carbon as ethylene adsorbent by pyrolysis of extraction waste Mangosteen rinds. MATEX Web Conf. 2018, 154, 01032. [Google Scholar] [CrossRef]
- Huang, R.; Cao, M.; Guo, H.; Su, R.; He, Z. Enhanced ethanol production from pomelo peel waste by integrated hydrothermal treatment, multienzyme formulation, and fed-batch operation. J. Agric. Food Chem. 2014, 62, 4643–4651. [Google Scholar] [CrossRef]
- Lubis, R.; Saragih, S.W.; Wirjosentono, B.; Eddyanto, E. Characterization of durian rinds fiber (Durio zubinthinus, Murr) from North Sumatera. AIP Conf. Proc. 2018, 2049, 020069. [Google Scholar]
- Yu, X.L.; He, Y. Optimal ranges of variables for an effective adsorption of lead (II) by the agricultural waste pomelo (Citrus grandis) peels using Doehlert designs. Sci. Rep. 2018, 8, 729. [Google Scholar] [CrossRef]
- Wittenauer, J.; Schweiggert-Weisz, U.; Carle, R. In vitro-study of antioxidant extracts from Garcinia mangostana pericarp and Riesling grape pomace—A contribution to by-products valorization as cosmetic ingredients. J. Appl. Bot. Food Qual. 2016, 89, 249–257. [Google Scholar]
- Xiao, L.; Ye, F.; Zhou, Y.; Zhao, G. Utilization of pomelo peels to manufacture value-added products: A review. Food Chem. 2021, 351, 129247. [Google Scholar] [CrossRef]
- Zhan, Y.F.; Hou, X.T.; Fan, L.L.; Du, Z.C.; Ch’ng, S.E.; Ng, S.M.; Thepkaysone, K.; Hao, E.W.; Deng, J.G. Chemical constituents and pharmacological effects of durian shells in ASEAN countries: A review. Chin. Herb. Med. 2021, 13, 461–471. [Google Scholar] [CrossRef]
- Kusumawati, N.; Santoso, A.B.; Sianita, M.M.; Muslim, S. Extraction, characterization, and application of natural dyes from the fresh mangosteen (Garcinia mangostana L.) peel. Int. J. Adv. Sci. Eng. Inf. Technol. 2017, 7, 878–884. [Google Scholar] [CrossRef]
- Sun, C. True density of microcrystalline cellulose. J. Pharm. Sci. 2005, 94, 2132–2134. [Google Scholar] [CrossRef] [PubMed]
- Mohamed, A.; Anas, A.K.; Bakar, S.A.; Aziz, A.A.; Sagisaka, M.; Brown, P.; Eastoe, J.; Kamari, A.; Hashim, N.; Isa, I.M. Preparation of multiwall carbon nanotubes (MWCNTs) stabilised by highly branched hydrocarbon surfactants and dispersed in natural rubber latex nanocomposites. Colloid Polym. Sci. 2014, 292, 3013–3023. [Google Scholar] [CrossRef]
- Sukthawon, C.; Dittanet, P.; Saeoui, P.; Loykulnant, S.; Prapainainar, P. Electron beam irradiation crosslinked chitosan/natural rubber-latex film: Preparation and characterization. Radiat. Phys. Chem. 2020, 177, 109159. [Google Scholar] [CrossRef]
- Moopayuk, W.; Tangboriboon, N. Anti-microbial and self-cleaning of natural rubber latex gloves by adding mangosteen peel powder. Key Eng. Mater. 2018, 777, 3–7. [Google Scholar] [CrossRef]
- Rakkaew, J.; Sombatsompop, N.; Markpin, T.; Wimolmala, E.; Saenboonruang, K. Effects of bismuth-embedded wood particles on mechanical, physical, and gamma-shielding properties of wood/poly(vinyl chloride) composites. Eur. J. Wood Wood Prod. 2020, 80, 1441–1455. [Google Scholar] [CrossRef]
- Mahmoud, M.E.; Khalifa, M.A.; El-Sharkawy, R.M.; Youssef, M.R. Effects of Al2O3 and BaO nano-additives on mechanical characteristics of high-density polyethylene. Mater. Chem. Phys. 2021, 262, 124251. [Google Scholar] [CrossRef]
- Zhang, H.; Li, Y.; Shou, J.Q.; Zhang, Z.Y.; Zhao, G.Z.; Liu, Y.Q. Effect of curing temperature on properties of semi-efficient vulcanized natural rubber. J. Elastomers Plast. 2016, 48, 331–339. [Google Scholar] [CrossRef]
- Nampitch, T.; Buakaew, P. The effect of curing parameters on the mechanical properties of styrene-NR elastomers containing natural rubber-graft-polystyrene. Kasetsart J. (Nat. Sci.) 2006, 40 (Suppl. S6), 7–16. [Google Scholar]
- Pimolsiriphol, V.; Saeoui, P.; Sirisinha, C. Relationship among thermal ageing degradation, dynamic properties, cure systems, and antioxidants in natural rubber vulcanisates. Polym. Plast. Technol. Eng. 2007, 46, 113–121. [Google Scholar] [CrossRef]
- Vinod, V.S.; Varghese, S.; Kuriakose, B. Degradation behaviour of natural rubber-aluminium powder composites: Effect of heat, ozone and high energy radiation. Polym. Degrad. Stab. 2002, 75, 405–412. [Google Scholar] [CrossRef]
- Seguchi, T.; Tamura, K.; Shimada, A.; Sugimoto, M.; Kudoh, H. Mechanism of antioxidant interaction on polymer oxidation by thermal and radiation ageing. Radiat. Phys. Chem. 2012, 81, 1747–1751. [Google Scholar] [CrossRef]











| Chemical | Content (phr) | Role |
|---|---|---|
| 10% w/w fruit peel powder (FPP) | 0, 2, 4, 6 | Antioxidant/Reinforcing filler |
| 10% w/w potassium hydroxide (KOH) | 0.2 | Stabilizer |
| 10% w/w teric 16A16 | 0.02 | Stabilizer |
| 50% w/w sulfur (S) | 0.8 | Crosslinking agent |
| 50% w/w zinc diethyl dithiocarbamate (ZDEC) | 0.4 | Accelerator |
| 50% w/w zinc-2-mercaptobenzthiazole (ZMBT) | 0.4 | Accelerator |
| 50% w/w zinc oxide (ZnO) | 1.0 | Activator |
| Distilled water (H2O) | 170.5 | Solvent |
| FPP Type | IC50 (mg/mL) |
|---|---|
| MPP | 0.10 ± 0.01 |
| PPP | 6.08 ± 0.27 |
| DPP | 29.41 ± 0.78 |
| Sample | FPP Content (phr) | L* | a* | b* | ΔE |
|---|---|---|---|---|---|
| NRL | 0 | 88.6 ± 0.1 | 0.2 ± 0.1 | 9.3 ± 0.1 | – |
| MPP/NRL | 2 | 72.0 ± 0.1 | 8.6 ± 0.1 | 31.2 ± 0.1 | 28.7 |
| 4 | 66.5 ± 0.1 | 12.9 ± 0.1 | 40.1 ± 0.1 | 40.0 | |
| 6 | 57.6 ± 0.1 | 20.4 ± 0.1 | 47.5 ± 0.1 | 53.1 | |
| PPP/NRL | 2 | 83.8 ± 0.1 | 0.6 ± 0.1 | 14.8 ± 0.1 | 7.3 |
| 4 | 82.7 ± 0.1 | 0.4 ± 0.1 | 18.6 ± 0.1 | 11.0 | |
| 6 | 83.4 ± 0.1 | 0.4 ± 0.1 | 20.1 ± 0.1 | 12.0 | |
| DPP/NRL | 2 | 83.7 ± 0.1 | 1.3 ± 0.1 | 16.1 ± 0.1 | 8.4 |
| 4 | 79.3 ± 0.1 | 2.9 ± 0.1 | 22.0 ± 0.1 | 16.0 | |
| 6 | 79.6 ± 0.1 | 3.1 ± 0.1 | 24.5 ± 0.1 | 17.9 |
| Sample | FPP Content (phr) | Density (g/cm3) |
|---|---|---|
| NRL | 0 | 0.90 ± 0.02 |
| MPP/NRL | 2 | 0.97 ± 0.01 |
| 4 | 0.98 ± 0.01 | |
| 6 | 0.98 ± 0.01 | |
| PPP/NRL | 2 | 0.96 ± 0.01 |
| 4 | 0.97 ± 0.01 | |
| 6 | 0.98 ± 0.01 | |
| DPP/NRL | 2 | 0.96 ± 0.01 |
| 4 | 0.97 ± 0.01 | |
| 6 | 0.99 ± 0.01 |
| Sample | FPP Content (phr) | Tensile Modulus (MPa) | Tensile Strength (MPa) | Elongation at Break (%) |
|---|---|---|---|---|
| NRL | 0 | 1.22 ± 0.06 | 16.85 ± 1.47 | 1599 ± 15 |
| MPP/NRL | 2 | 1.13 ± 0.09 | 18.10 ± 1.05 | 1700 ± 10 |
| 4 | 1.71 ± 0.10 | 19.25 ± 0.91 | 1542 ± 11 | |
| 6 | 1.70 ± 0.10 | 15.94 ± 0.30 | 1512 ± 32 | |
| PPP/NRL | 2 | 1.43 ± 0.01 | 15.12 ± 0.68 | 1478 ± 18 |
| 4 | 1.36 ± 0.06 | 19.62 ± 0.68 | 1689 ± 14 | |
| 6 | 1.15 ± 0.11 | 16.14 ± 0.85 | 1647 ± 28 | |
| DPP/NRL | 2 | 1.32 ± 0.04 | 20.48 ± 0.61 | 1680 ± 15 |
| 4 | 1.62 ± 0.13 | 18.00 ± 0.40 | 1560 ± 32 | |
| 6 | 1.79 ± 0.08 | 12.29 ± 0.67 | 1316 ± 16 |
Disclaimer/Publisher’s Note: The statements, opinions and data contained in all publications are solely those of the individual author(s) and contributor(s) and not of MDPI and/or the editor(s). MDPI and/or the editor(s) disclaim responsibility for any injury to people or property resulting from any ideas, methods, instructions or products referred to in the content. |
© 2023 by the authors. Licensee MDPI, Basel, Switzerland. This article is an open access article distributed under the terms and conditions of the Creative Commons Attribution (CC BY) license (https://creativecommons.org/licenses/by/4.0/).
Share and Cite
Thumwong, A.; Darachai, J.; Thamrongsiripak, N.; Tokonami, S.; Ishikawa, T.; Saenboonruang, K. Fruit Peel Powder as Natural Antioxidant and Reinforcing Bio-Filler in Natural Rubber Latex Gloves: Cases of Mangosteen, Pomelo and Durian. Antioxidants 2023, 12, 1119. https://doi.org/10.3390/antiox12051119
Thumwong A, Darachai J, Thamrongsiripak N, Tokonami S, Ishikawa T, Saenboonruang K. Fruit Peel Powder as Natural Antioxidant and Reinforcing Bio-Filler in Natural Rubber Latex Gloves: Cases of Mangosteen, Pomelo and Durian. Antioxidants. 2023; 12(5):1119. https://doi.org/10.3390/antiox12051119
Chicago/Turabian StyleThumwong, Arkarapol, Jitsuna Darachai, Nuatawan Thamrongsiripak, Shinji Tokonami, Tetsuo Ishikawa, and Kiadtisak Saenboonruang. 2023. "Fruit Peel Powder as Natural Antioxidant and Reinforcing Bio-Filler in Natural Rubber Latex Gloves: Cases of Mangosteen, Pomelo and Durian" Antioxidants 12, no. 5: 1119. https://doi.org/10.3390/antiox12051119
APA StyleThumwong, A., Darachai, J., Thamrongsiripak, N., Tokonami, S., Ishikawa, T., & Saenboonruang, K. (2023). Fruit Peel Powder as Natural Antioxidant and Reinforcing Bio-Filler in Natural Rubber Latex Gloves: Cases of Mangosteen, Pomelo and Durian. Antioxidants, 12(5), 1119. https://doi.org/10.3390/antiox12051119

