Combinatorial Interactions of Essential Oils Enriched with Individual Polyphenols, Polyphenol Mixes, and Plant Extracts: Multi-Antioxidant Systems
Abstract
1. Introduction
2. Materials and Methods
2.1. Materials
2.2. Preparation of Antioxidants
2.3. 2,2-Diphenyl-1-Picrylhydrazyl (DPPH) Radical Scavenging Assay
2.4. Oxygen Radical Absorption Capacity (ORAC) Assay
2.5. Statistical Analysis
3. Results and Discussion
3.1. Antioxidant Capacity of EOs Enriched with Individual Polyphenols
3.2. Antioxidant Capacity of EOs Enriched with Polyphenol Mixes
3.3. Antioxidant Capacity of EOs Enriched with Crude Extracts
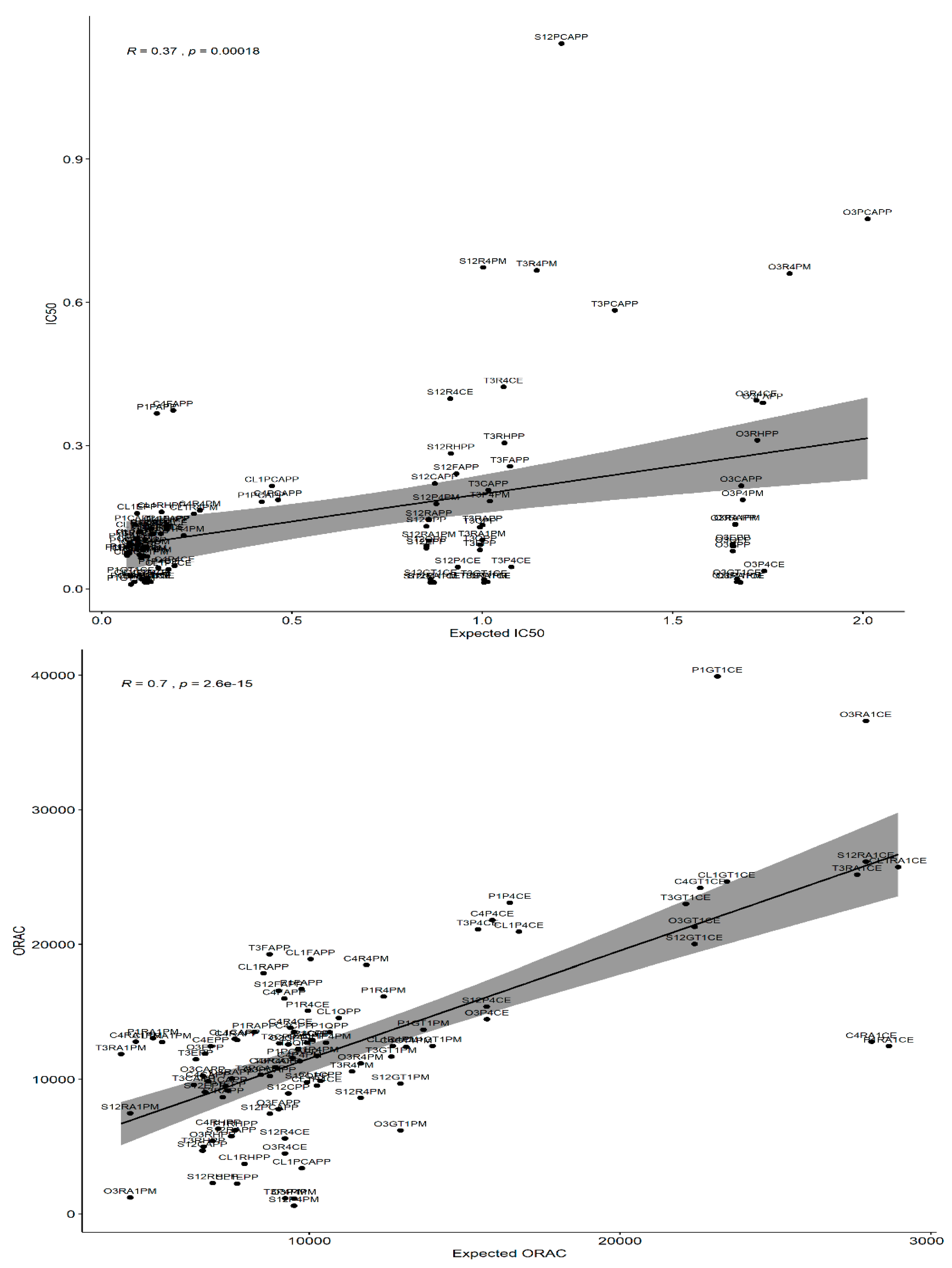
3.4. Prediction of the Effects of EO Enrichment
4. Conclusions
Supplementary Materials
Author Contributions
Funding
Data Availability Statement
Acknowledgments
Conflicts of Interest
References
- Patrignani, F.; Siroli, L.; Serrazanetti, D.I.; Gardini, F.; Lanciotti, R. Innovative strategies based on the use of essential oils and their components to improve safety, shelf-life and quality of minimally processed fruits and vegetables. Trends Food Sci. Technol. 2015, 46, 311–319. [Google Scholar] [CrossRef]
- Bagheri, L.; Khodaei, N.; Salmieri, S.; Karboune, S.; Lacroix, M. Correlation between chemical composition and antimicrobial properties of essential oils against most common food pathogens and spoilers: In-vitro efficacy and predictive modelling. Microb. Pathog. 2020, 147, 104212. [Google Scholar] [CrossRef] [PubMed]
- Ruberto, G.; Baratta, M.T. Antioxidant activity of selected essential oil components in two lipid model systems. Food Chem. 2000, 69, 167–174. [Google Scholar] [CrossRef]
- Cutillas, A.B.; Carrasco, A.; Martinez-Gutierrez, R.; Tomas, V.; Tudela, J. Rosmarinus officinalis L. essential oils from Spain: Composition, antioxidant capacity, lipoxygenase and acetylcholinesterase inhibitory capacities, and antimicrobial activities. Plant Biosyst. 2018, 152, 1282–1292. [Google Scholar] [CrossRef]
- de Araújo Couto, H.G.S.; Blank, A.F.; de Oliveira e Silva, A.M.; de Lima Nogueira, P.C.; Arrigoni-Blank, M.D.F.; de Castro Nizio, D.A.; de Oliveira Pinto, J.A. Essential oils of basil chemotypes: Major compounds, binary mixtures, and antioxidant activity. Food Chem. 2019, 293, 446–454. [Google Scholar] [CrossRef] [PubMed]
- Khodaei, N.; Nguyen, M.M.; Mdimagh, A.; Bayen, S.; Karboune, S. Compositional diversity and antioxidant properties of essential oils: Predictive models. LWT-Food Sci. Technol. 2021, 138, 110684. [Google Scholar] [CrossRef]
- Peyrat-Maillard, M.N.; Cuvelier, M.E.; Berset, C. Antioxidant activity of phenolic compounds in 2,2′-azobis (2-amidinopropane) dihydrochloride (AAPH)-induced oxidation: Synergistic and antagonistic effects. J. Am. Oil Chem. Soc. 2003, 80, 1007. [Google Scholar] [CrossRef]
- Brand-Williams, W.; Cuvelier, M.E.; Berset, C. Use of a free radical method to evaluate antioxidant activity. LWT-Food Sci. Technol. 1995, 28, 25–30. [Google Scholar] [CrossRef]
- Cao, G.; Alessio, H.M.; Cutler, R.G. Oxygen-radical absorbance capacity assay for antioxidants. Free. Radic. Biol. Med. 1993, 14, 303–311. [Google Scholar] [CrossRef] [PubMed]
- Rice-Evans, C.A.; Miller, N.J.; Paganga, G. Structure-antioxidant activity relationships of flavonoids and phenolic acids. Free Radic. Biol. Med. 1996, 20, 933–956. [Google Scholar] [CrossRef]
- Shahidi, F.; Janitha, P.K.; Wanasundara, P.D. Phenolic Antioxidants. Crit. Rev. Food Sci. Nutr. 1992, 32, 67–103. [Google Scholar] [CrossRef]
- Prasad, K.N.; Yang, B.; Dong, X.; Jiang, G.; Zhang, H.; Xie, H.; Jiang, Y. Flavonoid contents and antioxidant activities from Cinnamomum species. Innov. Food Sci. Emerg. Technol. 2009, 10, 627–632. [Google Scholar] [CrossRef]
- Nenadis, N.; Tsimidou, M. Observations on the estimation of scavenging activity of phenolic compounds using rapid 1,1-diphenyl-2-picrylhydrazyl (DPPH.) Tests. J. Am. Oil Chem. Soc. 2002, 79, 1191–1195. [Google Scholar] [CrossRef]
- Graßmann, J. Terpenoids as Plant Antioxidants. Vitam. Horm. 2005, 72, 505–535. [Google Scholar]
- Pedrielli, P.; Skibsted, L.H. Antioxidant synergy and regeneration effect of quercetin, (−)-epicatechin, and (+)-catechin on α-tocopherol in homogeneous solutions of peroxidating methyl linoleate. J. Agric. Food Chem. 2002, 50, 7138–7144. [Google Scholar] [CrossRef] [PubMed]
- Cuvelier, M.E.; Bondet, V.; Berset, C. Behavior of phenolic antioxidants in a partitioned medium: Structure-Activity relationship. J. Am. Oil Chem. Soc. 2000, 77, 819. [Google Scholar] [CrossRef]
- Koga, T.; Terao, J. Phospholipids Increase Radical-Scavenging Activity of Vitamin E in a Bulk Oil Model System. J. Agric. Food Chem. 1995, 43, 1450–1454. [Google Scholar] [CrossRef]
- Hidalgo, M.; Sánchez-Moreno, C.; de Pascual-Teresa, S. Flavonoid-flavonoid interaction and its effect on their antioxidant activity. Food Chem. 2010, 121, 691–696. [Google Scholar] [CrossRef]
- Freeman, B.L.; Eggett, D.L.; Parker, T.L. Synergistic and Antagonistic Interactions of Phenolic Compounds Found in Navel Oranges. J. Food Sci. 2010, 75, C570–C576. [Google Scholar] [CrossRef]
- Reber, J.D.; Eggett, D.L.; Parker, T.L. Antioxidant capacity interactions and a chemical/structural model of phenolic compounds found in strawberries. Int. J. Food Sci. Nutr. 2011, 62, 445–452. [Google Scholar] [CrossRef]
- Roy, M.K.; Koide, M.; Rao, T.P.; Okubo, T.; Ogasawara, Y.; Juneja, L.R. ORAC and DPPH assay comparison to assess antioxidant capacity of tea infusions: Relationship between total polyphenol and individual catechin content. Int. J. Food Sci. Nutr. 2010, 61, 109–124. [Google Scholar] [CrossRef] [PubMed]
- Yilmaz, Y.; Toledo, R.T. Major flavonoids in grape seeds and skins: Antioxidant capacity of catechin, epicatechin, and gallic acid. J. Agric. Food Chem. 2004, 52, 255–260. [Google Scholar] [CrossRef] [PubMed]
- Forester, S.C.; Lambert, J.D. The role of antioxidant versus pro-oxidant effects of green tea polyphenols in cancer prevention. Mol. Nutr. Food Res. 2011, 55, 844–854. [Google Scholar] [CrossRef] [PubMed]
) and enriched EOs
with individual polyphenols (
), polyphenol mixes (
), and crude plant extracts (
).
) and enriched EOs
with individual polyphenols (
), polyphenol mixes (
), and crude plant extracts (
).

| Enrichment | Oil ID a | IC50 (mg Oil + Polyphenol/mg DPPH) | Effect b | ORAC Value (µmol TE/g Oil + Polyphenol) | Effect b |
|---|---|---|---|---|---|
| Rutin Hydrate | N/A | 0.178 ± 0.003 c | N/A | 7075.9 ± 2.1 c | N/A |
| HE-CLO-01 | 0.161 ± 0.004 | + | 3716.9 ± 4.3 | − | |
| HE-PIM-01 | 0.114 ± 0.005 | + | 6227.0 ± 5.9 | − | |
| HE-ORI-03 | 0.311 ± 0.000 | + + + | 5427.5 ± 6.2 | − | |
| HE-THY-03 | 0.306 ± 0.000 | + + + | 4986.5 ± 2.7 | − | |
| HE-SAU-01-02 | 0.284 ± 0.001 | + + + | 2298.5 ± 1.2 | − | |
| HE-CAN-04 | 0.133 ± 0.007 | + + + | 6329.5 ± 3.2 | + | |
| Rosmarinic Acid | N/A | 0.063 ± 0.001 | N/A | 8296.2 ± 1.9 | N/A |
| HE-CLO-01 | 0.121 ± 0.004 | − | 17,879.5 ± 4.1 | + + + | |
| HE-PIM-01 | 0.097 ± 0.001 | − | 13,511.0 ± 3.8 | + + + | |
| HE-ORI-03 | 0.135 ± 0.002 | + + + | 10,067.0 ± 1.2 | + + + | |
| HE-THY-03 | 0.134 ± 0.002 | + + + | 8680.0 ± 1.4 | + + + | |
| HE-SAU-01-02 | 0.145 ± 0.001 | + + + | 5772.0 ± 1.8 | − | |
| HE-CAN-04 | 0.089 ± 0.003 | + + + | 12,916.0 ± 3.9 | + + + | |
| Quercetin | N/A | 0.051 ± 0.002 | N/A | 13,143.0 ± 0.5 | N/A |
| HE-CLO-01 | 0.106 ± 0.004 | + | 14,567.0 ± 1.9 | + + + | |
| HE-PIM-01 | 0.070 ± 0.002 | + | 13,502.5 ± 1.9 | + + + | |
| HE-ORI-03 | 0.089 ± 0.002 | + + + | 12,714.0 ± 0.9 | + + + | |
| HE-THY-03 | 0.092 ± 0.002 | + + + | 12,228.5 ± 1.8 | + + + | |
| HE-SAU-01-02 | 0.091 ± 0.002 | + + + | 9776.0 ± 1.9 | + | |
| HE-CAN-04 | 0.068 ± 0.001 | + + + | 12,921.5 ± 1.7 | + + + | |
| p-Coumaric acid | N/A | 0.759 ± 0.010 | N/A | 10,762.0 ± 3.2 | N/A |
| HE-CLO-01 | 0.215 ± 0.003 | + + + | 3400.0 ± 4.8 | − | |
| HE-PIM-01 | 0.182 ± 0.002 | + + + | 11,588.0 ± 4.5 | + + + | |
| HE-ORI-03 | 0.775 ± 0.007 | + + + | 10,242.5 ± 0.9 | + | |
| HE-THY-03 | 0.583 ± 0.006 | + + + | 10,349.0 ± 2.1 | + + + | |
| HE-SAU-01-02 | 1.142 ± 0.005 | + | 7451.0 ± 2.6 | − | |
| HE-CAN-04 | 0.186 ± 0.006 | + + + | 10,892.5 ± 5.3 | + + + | |
| Epicatechin | N/A | 0.049 ± 0.003 | N/A | 6593.0 ± 1.0 | N/A |
| HE-CLO-01 | 0.158 ± 0.006 | − | 2252.4 ± 2.6 | − | |
| HE-PIM-01 | 0.075 ± 0.002 | + | 9170.5 ± 2.1 | + + + | |
| HE-ORI-03 | 0.094 ± 0.006 | + + + | 11,907.5 ± 1.6 | + + + | |
| HE-THY-03 | 0.082 ± 0.001 | + + + | 11,489.0 ± 0.7 | + + + | |
| HE-SAU-01-02 | 0.085 ± 0.006 | + + + | 9058.5 ± 2.8 | + + + | |
| HE-CAN-04 | 0.069 ± 0.003 | + + + | 12,459.0 ± 2.4 | + + + | |
| Chlorogenic Acid | N/A | 0.093 ± 0.001 | N/A | 6438.2 ± 2.7 | N/A |
| HE-CLO-01 | 0.103 ± 0.000 | + | 13,014.5 ± 3.2 | + + + | |
| HE-PIM-01 | 0.134 ± 0.004 | − | 9497.5 ± 3.1 | + + + | |
| HE-ORI-03 | 0.216 ± 0.001 | + + + | 10,272.0 ± 2.7 | + + + | |
| HE-THY-03 | 0.207 ± 0.003 | + + + | 9599.5 ± 2.8 | + + + | |
| HE-SAU-01-02 | 0.221 ± 0.001 | + + + | 4709.4 ± 2.3 | − | |
| HE-CAN-04 | 0.126 ± 0.002 | + | 9870.0 ± 3.2 | + + + | |
| Catechin | N/A | 0.049 ± 0.002 | N/A | 11,950.0 ± 6.9 | N/A |
| HE-CLO-01 | 0.092 ± 0.004 | + + + | 9887.0 ± 3.0 | + | |
| HE-PIM-01 | 0.088 ± 0.002 | − | 12,937.0 ± 3.0 | + + + | |
| HE-ORI-03 | 0.079 ± 0.001 | + + + | 12,603.0 ± 1.5 | + + + | |
| HE-THY-03 | 0.129 ± 0.005 | + + + | 12,669.5 ± 3.4 | + + + | |
| HE-SAU-01-02 | 0.131 ± 0.004 | + + + | 8947.0 ± 2.3 | + | |
| HE-CAN-04 | 0.081 ± 0.003 | + + + | 13,511.0 ± 1.9 | + + + | |
| Ferulic Acid | N/A | 0.207 ± 0.001 | N/A | 18,915.0 ± 0.1 | N/A |
| HE-CLO-01 | 0.134 ± 0.001 | + + + | 18,915.0 ± 1.7 | + + + | |
| HE-PIM-01 | 0.367 ± 0.004 | − | 16,703.5 ± 2.3 | + + + | |
| HE-ORI-03 | 0.389 ± 0.001 | + + + | 7787.5 ± 0.5 | − | |
| HE-THY-03 | 0.256 ± 0.003 | + + + | 19,273.5 ± 0.4 | + + + | |
| HE-SAU-01-02 | 0.241 ± 0.001 | + + + | 16,581.0 ± 0.4 | + + + | |
| HE-CAN-04 | 0.374 ± 0.002 | − | 16,004.0 ± 0.3 | + + + |
| Polyphenol Mix a | Expected IC50 (mg/mg DPPH) | Measured IC50 (mg/mg DPPH) | Effect b | Expected ORAC (µmol TE/g Mix) | Measured ORAC (µmol TE/g Mix) | Effect b |
|---|---|---|---|---|---|---|
| EX-RAI-01 | 0.049 | 0.062 | − | 9170.9 | 1772.5 | − |
| EX-THE-01 | 0.054 | 0.071 | − | 7732.5 | 19,167.0 | + + + |
| EX-POM-04 | 0.091 | 0.101 | − | 7288.5 | 12,318.0 | + + + |
| EX-ROM-04 | 0.618 | 0.348 | + + + | 10,263.4 | 16,611.0 | + + + |
| Polyphenol Mix | Crude Plant Extract | ||||||||
|---|---|---|---|---|---|---|---|---|---|
| Enrichment a | Essential Oil ID b | IC50 (mg oil/mg DPPH) | Effect c | ORAC Value (μmol TE/g Sample) | Effect | IC50 (mg oil/mg DPPH) | Effect | ORAC Value (μmol TE/g Sample) | Effect |
| EX-RAI-01 | N/A | 0.062 ± 0.005 d | N/A | 1772.5 ± 0.9 d | N/A | 0.089 ± 0.004 d | N/A | 49,119.0 ± 0.6 d | N/A |
| HE-CLO-01 | 0.0713 ± 0.002 | + + + | 12,764.5 ± 1.8 | + + + | 0.014 ± 0.000 | + + + | 25,758.5 ± 3.4 | + | |
| HE-PIM-01 | 0.0744 ± 0.003 | + | 13,058.0 ± 1.6 | + + + | 0.015 ± 0.000 | + + + | 12,468.5 ± 3.4 | − | |
| HE-ORI-03 | 0.1348 ± 0.006 | + + + | 1219.4 ± 0.4 | − | 0.013 ± 0.000 | + + + | 36,607.5 ± 1.5 | + + + | |
| HE-THY-03 | 0.1022 ± 0.001 | + + + | 11,870.0 ± 0.7 | + + + | 0.014 ± 0.000 | + + + | 25,178.0 ± 2.4 | + | |
| HE-SAU-01-02 | 0.1006 ± 0.001 | + + + | 7483.0 ± 1.4 | + + + | 0.014 ± 0.000 | + + + | 26,152.5 ± 1.4 | + | |
| HE-CAN-04 | 0.085 ± 0.002 | + + + | 12,796.5 ± 3.7 | + + + | 0.014 ± 0.000 | + + + | 12,790.5 ± 2.4 | − | |
| EX-THE-01 | N/A | 0.0714 ± 0.005 | N/A | 19,167.0 ± 1.5 | N/A | 0.072 ± 0.003 | N/A | 38,095.0 ± 1.7 | N/A |
| HE-CLO-01 | 0.064 ± 0.000 | + + + | 12,473.5 ± 2.4 | + + | 0.020 ± 0.000 | + + + | 24,684.0 ± 1.6 | + | |
| HE-PIM-01 | 0.009 ± 0.000 | + + + | 13,681.0 ± 1.8 | + + | 0.026 ± 0.000 | + + + | 39,921.5 ± 2.9 | + + + | |
| HE-ORI-03 | 0.014 ± 0.000 | + + + | 6207.5 ± 0.8 | − | 0.020 ± 0.021 | + + + | 21,298.5 ± 6.6 | + | |
| HE-THY-03 | 0.014 ± 0.000 | + + + | 11,692.5 ± 1.7 | + + | 0.019 ± 0.000 | + + + | 23,003.0 ± 2.9 | + | |
| HE-SAU-01-02 | 0.013 ± 0.000 | + + + | 9685.5 ± 0.5 | − | 0.020 ± 0.001 | + + + | 20,030.0 ± 1.9 | + | |
| HE-CAN-04 | 0.068 ± 0.000 | + + + | 12,413.0 ± 4.8 | + + | 0.020 ± 0.000 | + + + | 24,199.0 ± 2.4 | + | |
| EX-POM-04 | N/A | 0.101 ± 0.001 | N/A | 12,318.0 ± 2.0 | N/A | 0.215 ± 0.013 | N/A | 24,721.0 ± 3.5 | N/A |
| HE-CLO-01 | 0.013 ± 0.004 | + + + | 12,720.5 ± 3.0 | + + + | 0.041 ± 0.000 | + + + | 20,954.0 ± 1.7 | + + + | |
| HE-PIM-01 | 0.104 ± 0.003 | + | 11,740.0 ± 3.4 | + | 0.044 ± 0.001 | + + + | 23,100.0 ± 1.8 | + + + | |
| HE-ORI-03 | 0.186 ± 0.001 | + + + | 1151.6 ± 1.1 | − | 0.038 ± 0.000 | + + + | 14,475.0 ± 0.9 | + | |
| HE-THY-03 | 0.184 ± 0.001 | + + + | 1156.4 ± 1.6 | − | 0.046 ± 0.000 | + + + | 21,128.0 ± 1.1 | + + + | |
| HE-SAU-01-02 | 0.178 ± 0.001 | + + + | 601.6 ± 0.7 | − | 0.045 ± 0.000 | + + + | 15,410.5 ± 1.2 | + | |
| HE-CAN-04 | 0.116 ± 0.004 | + + + | 11,338.5 ± 2.4 | + + | 0.048 ± 0.001 | + + + | 21,813.5 ± 1.9 | + + + | |
| EX-ROM-04 | N/A | 0.348 ± 0.003 | N/A | 16,611.0 ± 1.6 | N/A | 0.174 ± 0.008 | N/A | 11,729.0 ± 1.3 | N/A |
| HE-CLO-01 | 0.157 ± 0.004 | + + + | 12,481.5 ± 4.3 | + | 0.115 ± 0.004 | + + + | 9529.5 ± 2.2 | + | |
| HE-PIM-01 | 0.112 ± 0.006 | + + + | 16,148.0 ± 0.9 | + + + | 0.126 ± 0.003 | + | 15,089.0 ± 2.4 | + + + | |
| HE-ORI-03 | 0.660 ± 0.015 | + + + | 11,193.5 ± 2.6 | + | 0.395 ± 0.004 | + + + | 4487.3 ± 0.3 | − | |
| HE-THY-03 | 0.667 ± 0.012 | + + + | 10,590.0 ± 3.8 | + | 0.423 ± 0.007 | + + + | 10,893.5 ± 1.8 | + + + | |
| HE-SAU-01-02 | 0.673 ± 0.009 | + + + | 8620.0 ± 1.2 | − | 0.398 ± 0.005 | + + + | 5605.5 ± 1.5 | − | |
| HE-CAN-04 | 0.164 ± 0.001 | + + + | 18,477.0 ± 0.9 | + + + | 0.124 ± 0.003 | + + + | 13,828.0 ± 2.1 | + + + | |
Disclaimer/Publisher’s Note: The statements, opinions and data contained in all publications are solely those of the individual author(s) and contributor(s) and not of MDPI and/or the editor(s). MDPI and/or the editor(s) disclaim responsibility for any injury to people or property resulting from any ideas, methods, instructions or products referred to in the content. |
© 2023 by the authors. Licensee MDPI, Basel, Switzerland. This article is an open access article distributed under the terms and conditions of the Creative Commons Attribution (CC BY) license (https://creativecommons.org/licenses/by/4.0/).
Share and Cite
Nguyen, M.M.; Karboune, S. Combinatorial Interactions of Essential Oils Enriched with Individual Polyphenols, Polyphenol Mixes, and Plant Extracts: Multi-Antioxidant Systems. Antioxidants 2023, 12, 486. https://doi.org/10.3390/antiox12020486
Nguyen MM, Karboune S. Combinatorial Interactions of Essential Oils Enriched with Individual Polyphenols, Polyphenol Mixes, and Plant Extracts: Multi-Antioxidant Systems. Antioxidants. 2023; 12(2):486. https://doi.org/10.3390/antiox12020486
Chicago/Turabian StyleNguyen, Marina Minh, and Salwa Karboune. 2023. "Combinatorial Interactions of Essential Oils Enriched with Individual Polyphenols, Polyphenol Mixes, and Plant Extracts: Multi-Antioxidant Systems" Antioxidants 12, no. 2: 486. https://doi.org/10.3390/antiox12020486
APA StyleNguyen, M. M., & Karboune, S. (2023). Combinatorial Interactions of Essential Oils Enriched with Individual Polyphenols, Polyphenol Mixes, and Plant Extracts: Multi-Antioxidant Systems. Antioxidants, 12(2), 486. https://doi.org/10.3390/antiox12020486

