Association between the Oxidative Balance Score and Incident Chronic Kidney Disease in Adults
Abstract
1. Introduction
2. Materials and Methods
2.1. Study Population
2.2. Assessment of OBS
2.3. Definition of CKD
2.4. Covariates
2.5. Statistical Analysis
3. Results
3.1. Characteristics of the Study Population
3.2. Individual Components of the OBS According to Sex-Specific OBS Tertile
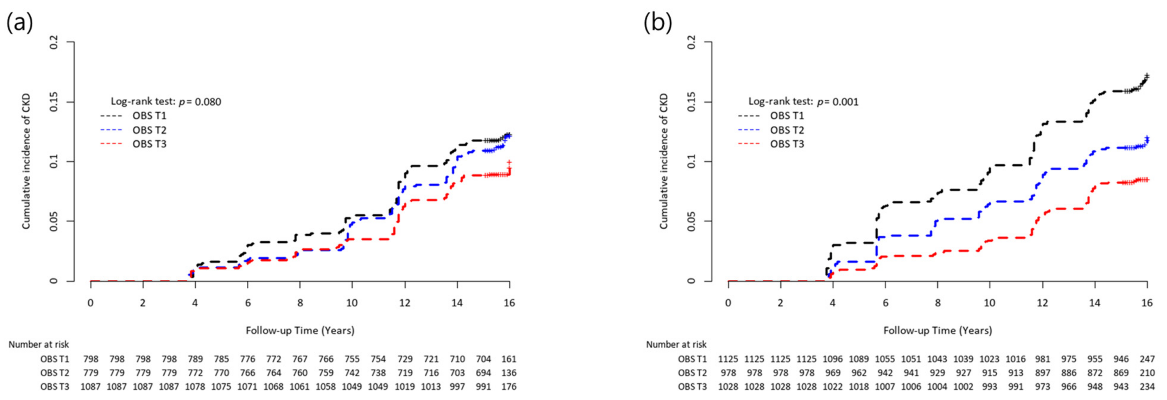
3.3. Relationship between Oxidative Balance Score and Incident Chronic Kidney Disease
4. Discussion
5. Conclusions
Author Contributions
Funding
Institutional Review Board Statement
Informed Consent Statement
Data Availability Statement
Conflicts of Interest
References
- Honeycutt, A.A.; Segel, J.E.; Zhuo, X.; Hoerger, T.J.; Imai, K.; Williams, D. Medical costs of CKD in the Medicare population. J. Am. Soc. Nephrol. 2013, 24, 1478–1483. [Google Scholar] [CrossRef]
- Manns, B.; Hemmelgarn, B.; Tonelli, M.; Au, F.; So, H.; Weaver, R.; Quinn, A.E.; Klarenbach, S.; Solutions, C.S.; Disease, I.t.O.C.K. The cost of care for people with chronic kidney disease. Can. J. Kidney Health Dis. 2019, 6, 2054358119835521. [Google Scholar] [CrossRef] [PubMed]
- Bikbov, B.; Purcell, C.A.; Levey, A.S.; Smith, M.; Abdoli, A.; Abebe, M.; Adebayo, O.M.; Afarideh, M.; Agarwal, S.K.; Agudelo-Botero, M. Global, regional, and national burden of chronic kidney disease, 1990–2017: A systematic analysis for the Global Burden of Disease Study 2017. Lancet 2020, 395, 709–733. [Google Scholar] [CrossRef] [PubMed]
- Kazancioğlu, R. Risk factors for chronic kidney disease: An update. Kidney Int. Suppl. 2013, 3, 368–371. [Google Scholar] [CrossRef] [PubMed]
- Dounousi, E.; Papavasiliou, E.; Makedou, A.; Ioannou, K.; Katopodis, K.P.; Tselepis, A.; Siamopoulos, K.C.; Tsakiris, D. Oxidative stress is progressively enhanced with advancing stages of CKD. Am. J. Kidney Dis. 2006, 48, 752–760. [Google Scholar] [CrossRef]
- Small, D.M.; Coombes, J.S.; Bennett, N.; Johnson, D.W.; Gobe, G.C. Oxidative stress, anti-oxidant therapies and chronic kidney disease. Nephrology 2012, 17, 311–321. [Google Scholar] [CrossRef] [PubMed]
- Kim, B.H.; Lee, E.S.; Choi, R.; Nawaboot, J.; Lee, M.Y.; Lee, E.Y.; Kim, H.S.; Chung, C.H. Protective effects of curcumin on renal oxidative stress and lipid metabolism in a rat model of type 2 diabetic nephropathy. Yonsei Med. J. 2016, 57, 664–673. [Google Scholar] [CrossRef]
- Kregel, K.C.; Zhang, H.J. An integrated view of oxidative stress in aging: Basic mechanisms, functional effects, and pathological considerations. Am. J. Physiol.-Regul. Integr. Comp. Physiol. 2007, 292, R18–R36. [Google Scholar] [CrossRef] [PubMed]
- Che, R.; Yuan, Y.; Huang, S.; Zhang, A. Mitochondrial dysfunction in the pathophysiology of renal diseases. Am. J. Physiol. -Ren. Physiol. 2014, 306, F367–F378. [Google Scholar] [CrossRef]
- Chawla, L.S.; Eggers, P.W.; Star, R.A.; Kimmel, P.L. Acute kidney injury and chronic kidney disease as interconnected syndromes. N. Engl. J. Med. 2014, 371, 58–66. [Google Scholar] [CrossRef]
- Baumgaertel, M.W.; Kraemer, M.; Berlit, P. Neurologic complications of acute and chronic renal disease. Handb. Clin. Neurol. 2014, 119, 383–393. [Google Scholar] [PubMed]
- Liakopoulos, V.; Roumeliotis, S.; Gorny, X.; Dounousi, E.; Mertens, P.R. Oxidative stress in hemodialysis patients: A review of the literature. Oxidative Med. Cell. Longev. 2017, 2017, 3081856. [Google Scholar] [CrossRef] [PubMed]
- Ceballos-Picot, I.; Witko-Sarsat, V.; Merad-Boudia, M.; Nguyen, A.T.; Thévenin, M.; Jaudon, M.C.; Zingraff, J.; Verger, C.; Jingers, P.; Descamps-Latscha, B. Glutathione antioxidant system as a marker of oxidative stress in chronic renal failure. Free Radic. Biol. Med. 1996, 21, 845–853. [Google Scholar] [CrossRef] [PubMed]
- Aveles, P.R.; Criminácio, C.R.; Gonçalves, S.; Bignelli, A.T.; Claro, L.M.; Siqueira, S.S.; Nakao, L.S.; Pecoits-Filho, R. Association between biomarkers of carbonyl stress with increased systemic inflammatory response in different stages of chronic kidney disease and after renal transplantation. Nephron Clin. Pract. 2010, 116, c294–c299. [Google Scholar] [CrossRef]
- Kuchta, A.; Pacanis, A.; Kortas-Stempak, B.; Çwiklińska, A.; Ziętkiewicz, M.; Renke, M.; Rutkowski, B. Estimation of oxidative stress markers in chronic kidney disease. Kidney Blood Press. Res. 2011, 34, 12–19. [Google Scholar] [CrossRef]
- Goodman, M.; Bostick, R.M.; Dash, C.; Flanders, W.D.; Mandel, J.S. Hypothesis: Oxidative stress score as a combined measure of pro-oxidant and antioxidant exposures. Ann. Epidemiol. 2007, 17, 394–399. [Google Scholar] [CrossRef]
- Van Hoydonck, P.G.; Temme, E.H.; Schouten, E.G. A dietary oxidative balance score of vitamin C, β-carotene and iron intakes and mortality risk in male smoking Belgians. J. Nutr. 2002, 132, 756–761. [Google Scholar] [CrossRef]
- Hernández-Ruiz, Á.; García-Villanova, B.; Guerra-Hernández, E.J.; Carrión-García, C.J.; Amiano, P.; Sánchez, M.-J.; Molina-Montes, E. Oxidative Balance Scores (OBSs) Integrating Nutrient, Food and Lifestyle Dimensions: Development of the NutrientL-OBS and FoodL-OBS. Antioxidants 2022, 11, 300. [Google Scholar] [CrossRef]
- Ilori, T.O.; Ro, Y.S.; Kong, S.Y.; Gutierrez, O.M.; Ojo, A.O.; Judd, S.E.; Narayan, K.V.; Goodman, M.; Plantinga, L.; McClellan, W. Oxidative balance score and chronic kidney disease. Am. J. Nephrol. 2015, 42, 320–327. [Google Scholar] [CrossRef]
- Mathur, R.; Dreyer, G.; Yaqoob, M.M.; Hull, S.A. Ethnic differences in the progression of chronic kidney disease and risk of death in a UK diabetic population: An observational cohort study. BMJ Open 2018, 8, e020145. [Google Scholar] [CrossRef]
- Muntner, P.; Newsome, B.; Kramer, H.; Peralta, C.A.; Kim, Y.; Jacobs, D.R.; Kiefe, C.I.; Lewis, C.E. Racial Differences in the Incidence of Chronic Kidney Disease. Clin. J. Am. Soc. Nephrol. 2012, 7, 101–107. [Google Scholar] [CrossRef]
- Jo, H.; Kim, J.-Y.; Jung, M.-Y.; Ahn, Y.-S.; Chang, S.-J.; Koh, S.-B. Leisure time physical activity to reduce metabolic syndrome risk: A 10-year community-based prospective study in Korea. Yonsei Med. J. 2020, 61, 218–228. [Google Scholar] [CrossRef]
- Hernández-Ruiz, Á.; García-Villanova, B.; Guerra-Hernández, E.; Amiano, P.; Ruiz-Canela, M.; Molina-Montes, E. A review of a priori defined oxidative balance scores relative to their components and impact on health outcomes. Nutrients 2019, 11, 774. [Google Scholar] [CrossRef]
- Lakkur, S.; Goodman, M.; Bostick, R.M.; Citronberg, J.; McClellan, W.; Flanders, W.D.; Judd, S.; Stevens, V.L. Oxidative balance score and risk for incident prostate cancer in a prospective US cohort study. Ann. Epidemiol. 2014, 24, 475–478.e474. [Google Scholar] [CrossRef] [PubMed]
- Kong, S.Y.; Goodman, M.; Judd, S.; Bostick, R.M.; Flanders, W.D.; McClellan, W. Oxidative balance score as predictor of all-cause, cancer, and noncancer mortality in a biracial US cohort. Ann. Epidemiol. 2015, 25, 256–262.e251. [Google Scholar] [CrossRef] [PubMed]
- Cho, A.; Kwon, Y.-J.; Lim, H.-J.; Lee, H.S.; Kim, S.; Shim, J.-Y.; Lee, H.-R.; Lee, Y.-J. Oxidative balance score and serum γ-glutamyltransferase level among Korean adults: A nationwide population-based study. Eur. J. Nutr. 2018, 57, 1237–1244. [Google Scholar] [CrossRef]
- Lee, J.H.; Son, D.H.; Kwon, Y.J. Association between oxidative balance score and new-onset hypertension in adults: A community-based prospective cohort study. Front. Nutr. 2022, 9, 1066159. [Google Scholar] [CrossRef]
- Levey, A.S.; Stevens, L.A.; Schmid, C.H.; Zhang, Y.; Castro III, A.F.; Feldman, H.I.; Kusek, J.W.; Eggers, P.; Van Lente, F.; Greene, T. A new equation to estimate glomerular filtration rate. Ann. Intern. Med. 2009, 150, 604–612. [Google Scholar] [CrossRef] [PubMed]
- Seo, M.H.; Lee, W.-Y.; Kim, S.S.; Kang, J.-H.; Kang, J.-H.; Kim, K.K.; Kim, B.-Y.; Kim, Y.-H.; Kim, W.-J.; Kim, E.M. 2018 Korean Society for the Study of Obesity guideline for the management of obesity in Korea. J. Obes. Metab. Syndr. 2019, 28, 40. [Google Scholar]
- Williams, B.; Mancia, G.; Spiering, W.; Agabiti Rosei, E.; Azizi, M.; Burnier, M.; Clement, D.L.; Coca, A.; De Simone, G.; Dominiczak, A. 2018 ESC/ESH Guidelines for the management of arterial hypertension: The Task Force for the management of arterial hypertension of the European Society of Cardiology (ESC) and the European Society of Hypertension (ESH). Eur. Heart J. 2018, 39, 3021–3104. [Google Scholar] [CrossRef]
- Friedewald, W.T.; Levy, R.I.; Fredrickson, D.S. Estimation of the concentration of low-density lipoprotein cholesterol in plasma, without use of the preparative ultracentrifuge. Clin. Chem. 1972, 18, 499–502. [Google Scholar] [CrossRef] [PubMed]
- Chun, M.Y. Validity and reliability of Korean version of international physical activity questionnaire short form in the elderly. Korean J. Fam. Med. 2012, 33, 144. [Google Scholar] [CrossRef] [PubMed]
- Jang, M.; Won, C.; Choi, H.; Kim, S.; Park, W.; Kim, D.; Jeong, S.; Kim, B. Effects of physical activity on fractures in adults: A community-based Korean cohort study. Korean J. Sport. Med. 2017, 35, 97–102. [Google Scholar] [CrossRef]
- Hockham, C.; Bao, L.; Tiku, A.; Badve, S.V.; Bello, A.K.; Jardine, M.J.; Jha, V.; Toyama, T.; Woodward, M.; Jun, M. Sex differences in chronic kidney disease prevalence in Asia: A systematic review and meta-analysis. Clin. Kidney J. 2022, 15, 1144–1151. [Google Scholar] [CrossRef] [PubMed]
- Bhatia, K.; Elmarakby, A.A.; El-Remessey, A.; Sullivan, J.C. Oxidative stress contributes to sex differences in angiotensin II-mediated hypertension in spontaneously hypertensive rats. Am. J. Physiol.-Regul. Integr. Comp. Physiol. 2012, 302, R274–R282. [Google Scholar] [CrossRef]
- Kander, M.C.; Cui, Y.; Liu, Z. Gender difference in oxidative stress: A new look at the mechanisms for cardiovascular diseases. J. Cell. Mol. Med. 2017, 21, 1024–1032. [Google Scholar] [CrossRef]
- Borrás, C.; Gambini, J.; Gómez-Cabrera, M.C.; Sastre, J.; Pallardó, F.V.; Mann, G.E.; Viña, J. 17β-oestradiol up-regulates longevity-related, antioxidant enzyme expression via the ERK1 and ERK2 [MAPK]/NFκB cascade. Aging Cell 2005, 4, 113–118. [Google Scholar] [CrossRef]
- Prokai, L.; Prokai-Tatrai, K.; Perjési, P.; Simpkins, J.W. Mechanistic insights into the direct antioxidant effects of estrogens. Drug Dev. Res. 2005, 66, 118–125. [Google Scholar] [CrossRef]
- Witko-Sarsat, V.; Friedlander, M.; Nguyen Khoa, T.; Capeillère-Blandin, C.; Nguyen, A.T.; Canteloup, S.; Dayer, J.M.; Jungers, P.; Drüeke, T.; Descamps-Latscha, B. Advanced oxidation protein products as novel mediators of inflammation and monocyte activation in chronic renal failure. J. Immunol. 1998, 161, 2524–2532. [Google Scholar] [CrossRef]
- Terawaki, H.; Yoshimura, K.; Hasegawa, T.; Matsuyama, Y.; Negawa, T.; Yamada, K.; Matsushima, M.; Nakayama, M.; Hosoya, T.; Era, S. Oxidative stress is enhanced in correlation with renal dysfunction: Examination with the redox state of albumin. Kidney Int. 2004, 66, 1988–1993. [Google Scholar] [CrossRef]
- Karamouzis, I.; Sarafidis, P.A.; Karamouzis, M.; Iliadis, S.; Haidich, A.B.; Sioulis, A.; Triantos, A.; Vavatsi-Christaki, N.; Grekas, D.M. Increase in oxidative stress but not in antioxidant capacity with advancing stages of chronic kidney disease. Am. J. Nephrol. 2008, 28, 397–404. [Google Scholar] [CrossRef] [PubMed]
- Dobashi, K.; Ghosh, B.; Orak, J.; Singh, I.; Singh, A. Kidney ischemia-reperfusion: Modulation of antioxidant defenses. Mol. Cell. Biochem. 2000, 205, 1–11. [Google Scholar] [CrossRef]
- Lahera, V.; Goicoechea, M.; de Vinuesa, S.G.; Oubina, P.; Cachofeiro, V.; Gómez-Campderá, F.; Amann, R.; Luño, J. Oxidative stress in uremia: The role of anemia correction. J. Am. Soc. Nephrol. 2006, 17, S174–S177. [Google Scholar] [CrossRef]
- Kelly, J.T.; Su, G.; Zhang, L.; Qin, X.; Marshall, S.; González-Ortiz, A.; Clase, C.M.; Campbell, K.L.; Xu, H.; Carrero, J.-J. Modifiable lifestyle factors for primary prevention of CKD: A systematic review and meta-analysis. J. Am. Soc. Nephrol. 2021, 32, 239–253. [Google Scholar] [CrossRef] [PubMed]
- Roumeliotis, S.; Mallamaci, F.; Zoccali, C. Endothelial dysfunction in chronic kidney disease, from biology to clinical outcomes: A 2020 update. J. Clin. Med. 2020, 9, 2359. [Google Scholar] [CrossRef]
- Bonetti, P.O.; Lerman, L.O.; Lerman, A. Endothelial dysfunction: A marker of atherosclerotic risk. Arterioscler. Thromb. Vasc. Biol. 2003, 23, 168–175. [Google Scholar] [CrossRef] [PubMed]
- Duni, A.; Liakopoulos, V.; Roumeliotis, S.; Peschos, D.; Dounousi, E. Oxidative stress in the pathogenesis and evolution of chronic kidney disease: Untangling Ariadne’s thread. Int. J. Mol. Sci. 2019, 20, 3711. [Google Scholar] [CrossRef]
- Dash, C.; Goodman, M.; Flanders, W.D.; Mink, P.J.; McCullough, M.L.; Bostick, R.M. Using pathway-specific comprehensive exposure scores in epidemiology: Application to oxidative balance in a pooled case-control study of incident, sporadic colorectal adenomas. Am. J. Epidemiol. 2013, 178, 610–624. [Google Scholar] [CrossRef]
- Young, A.J.; Lowe, G.M. Antioxidant and prooxidant properties of carotenoids. Arch. Biochem. Biophys. 2001, 385, 20–27. [Google Scholar] [CrossRef]



| OBS Components | Assignment Scheme * |
|---|---|
| 1. Saturated fatty acid [P] | 0 = high (3rd tertile), 1 = intermediate (2nd tertile), 2 = low (1st tertile) |
| 2. Omega-6 PUFA intake [P] | 0 = high (3rd tertile), 1 = intermediate (2nd tertile), 2 = low (1st tertile) |
| 3. Total iron intake [P] | 0 = high (3rd tertile), 1 = intermediate (2nd tertile), 2 = low (1st tertile) |
| 4. Copper intake [P] | 0 = high (3rd tertile), 1 = intermediate (2nd tertile), 2 = low (1st tertile) |
| 5. Smoking status [P] | 0 = current smoker, 1 = former smoker, 2 = never smoker |
| 6. Alcohol drinking status [P] | 0 = heavy drinker, 1 = mild-to-moderate drinker, 2 = non-drinker |
| 7. Overweight/obese [P] | 0 = obese, 1 = overweight, 2= normal |
| 8. Abdominal obesity [P] | 0 = abdominal obesity, 1 = normal |
| 9. Omega-3 PUFA intake [A] | 0 = low (1st tertile), 1 = intermediate (2nd tertile), 2 = high (3rd tertile) |
| 10. Vitamin C intake [A] | 0 = low (1st tertile), 1 = intermediate (2nd tertile), 2 = high (3rd tertile) |
| 11. Vitamin E intake [A] | 0 = low (1st tertile), 1 = intermediate (2nd tertile), 2 = high (3rd tertile) |
| 12. Selenium intake [A] | 0 = low (1st tertile), 1 = intermediate (2nd tertile), 2 = high (3rd tertile) |
| 13. Total beta-carotene intake [A] | 0 = low (1st tertile), 1 = intermediate (2nd tertile), 2 = high (3rd tertile) |
| 14. Zinc intake [A] | 0 = low (1st tertile), 1 = intermediate (2nd tertile), 2 = high (3rd tertile) |
| 15. Physical activity [A] | 0 = low intensity, 1 = moderate intensity, 2 = high intensity |
| Oxidative Balance Score | ||||||||||||
|---|---|---|---|---|---|---|---|---|---|---|---|---|
| Total | Men | Women | ||||||||||
| Variables | T1 (n = 1923) | T2 (n = 1757) | T3 (n = 2115) | p * | T1 (n = 798) | T2 (n = 779) | T3 (n = 1087) | p * | T1 (n = 1125) | T2 (n = 978) | T3 (n = 1028) | p * |
| Men, n (%) | 798 (41.5%) | 779 (44.3%) | 1087 (51.4%) | <0.001 | N/A | N/A | N/A | N/A | N/A | N/A | ||
| Age, years | 52.4 ± 8.4 | 51.8 ± 8.5 | 50.3 ± 8.2 | <0.001 | 50.5 ± 7.7 | 51.5 ± 8.4 | 50.8 ± 8.2 | 0.593 | 53.8 ± 8.6 | 52.1 ± 8.7 | 49.9 ± 8.1 | <0.001 |
| MBP, mmHg | 98.0 ± 13.2 | 96.7 ± 12.7 | 94.0 ± 12.6 | <0.001 | 98.4 ± 12.2 | 98.1 ± 11.9 | 96.2 ± 12.3 | <0.001 | 97.6 ± 13.8 | 95.6 ± 13.3 | 91.7 ± 12.6 | <0.001 |
| Glucose, mg/dL | 87.3 ± 18.8 | 86.6 ± 18.9 | 85.7 ± 20.6 | 0.008 | 90.1 ± 20.8 | 89.0 ± 18.6 | 88.4 ± 23.2 | 0.089 | 85.3 ± 17.0 | 84.6 ± 19.0 | 82.8 ± 16.8 | 0.001 |
| Insulin, µU/mL | 8.2 ± 5.5 | 7.7 ± 4.7 | 7.2 ± 4.0 | <0.001 | 7.4 ± 4.5 | 7.2 ± 4.0 | 6.8 ± 3.6 | <0.001 | 8.7 ± 6.1 | 8.1 ± 5.1 | 7.6 ± 4.3 | <0.001 |
| Total cholesterol, mg/dL | 194.7 ± 34.5 | 191.0 ± 35.7 | 187.8 ± 33.5 | <0.001 | 195.4 ± 34.9 | 193.4 ± 36.2 | 190.3 ± 34.3 | 0.002 | 194.1 ± 34.2 | 189.1 ± 35.2 | 185.0 ± 32.5 | <0.001 |
| Triglyceride, mg/dL | 176.6 ± 108.5 | 160.3 ± 102.7 | 147.8 ± 94.8 | <0.001 | 196.3 ± 121.9 | 180.2 ± 123.0 | 161.3 ± 101.9 | <0.001 | 162.6 ± 95.4 | 144.3 ± 79.6 | 133.5 ± 84.4 | <0.001 |
| HDL cholesterol, mg/dL | 43.3 ± 9.3 | 44.7 ± 10.2 | 45.1 ± 9.9 | <0.001 | 42.3 ± 9.2 | 43.3 ± 9.7 | 43.9 ± 10.0 | 0.001 | 44.0 ± 9.2 | 45.8 ± 10.4 | 46.4 ± 9.7 | <0.001 |
| CRP, mg/dL | 0.2 ± 0.4 | 0.3 ± 0.8 | 0.2 ± 0.4 | 0.016 | 0.2 ± 0.3 | 0.3 ± 0.8 | 0.2 ± 0.3 | 0.157 | 0.2 ± 0.5 | 0.2 ± 0.8 | 0.2 ± 0.4 | 0.041 |
| eGFR, mL/min/1.73 m2 | 91.8 ± 13.2 | 92.8 ± 13.2 | 94.2 ± 12.8 | <0.001 | 91.2 ± 13.4 | 91.5 ± 13.4 | 91.8 ± 13.0 | 0.321 | 92.2 ± 13.0 | 93.9 ± 12.9 | 96.6 ± 12.2 | <0.001 |
| Education level, n (%) | <0.001 | 0.928 | <0.001 | |||||||||
| Elementary/middle school | 1165 (60.9%) | 951 (54.5%) | 1018 (48.3%) | 312 (39.1%) | 303 (39.1%) | 437 (40.4%) | 853 (76.5%) | 648 (66.7%) | 581 (56.7%) | |||
| High school | 529 (27.7%) | 559 (32.0%) | 747 (35.5%) | 307 (38.5%) | 303 (39.1%) | 402 (37.1%) | 222 (19.9%) | 256 (26.4%) | 345 (33.7%) | |||
| College/university | 219 (11.4%) | 236 (13.5%) | 342 (16.2%) | 179 (22.4%) | 169 (21.8%) | 244 (22.5%) | 40 (3.6%) | 67 (6.9%) | 98 (9.6%) | |||
| Household income, n (%) | <0.001 | 0.159 | <0.001 | |||||||||
| <100 million Korean Won | 706 (37.2%) | 603 (34.7%) | 588 (28.1%) | 187 (23.6%) | 204 (26.3%) | 265 (24.5%) | 519 (46.9%) | 399 (41.5%) | 323 (31.9%) | |||
| 100–200 million Korean Won | 545 (28.7%) | 499 (28.7%) | 633 (30.2%) | 242 (30.6%) | 212 (27.4%) | 352 (32.5%) | 303 (27.4%) | 287 (29.8%) | 281 (27.8%) | |||
| >200 million Korean Won | 647 (34.1%) | 635 (36.6%) | 872 (41.7%) | 363 (45.8%) | 359 (46.3%) | 465 (43.0%) | 284 (25.7%) | 276 (28.7%) | 407 (40.3%) | |||
| Total energy intake, kcal/day | 1820.0 ± 528.8 | 2134.7 ± 755.2 | 2519.8 ± 868.2 | <0.001 | 1926.4 ± 507.4 | 2209.1 ± 762.0 | 2556.4 ± 769.6 | <0.001 | 1744.5 ± 531.0 | 2075.4 ± 744.8 | 2481.2 ± 960.4 | <0.001 |
| † Protein/total energy intake, % | 12.7 ± 2.0 | 13.3 ± 2.3 | 14.2 ± 2.4 | <0.001 | 13.0 ± 2.0 | 13.5 ± 2.3 | 14.1 ± 2.3 | <0.001 | 12.4 ± 2.0 | 13.2 ± 2.2 | 14.3 ± 2.5 | <0.001 |
| Oxidative Balance Score | ||||||||||||
|---|---|---|---|---|---|---|---|---|---|---|---|---|
| Total | Men | Women | ||||||||||
| Variables | T1 (n = 1923) | T2 (n = 1757) | T3 (n = 2115) | p * | T1 (n = 798) | T2 (n = 779) | T3 (n = 1087) | p * | T1 (n = 1125) | T2 (n = 978) | T3 (n = 1028) | p * |
| Saturated fatty acid, g/day | 8.3 ± 4.4 | 10.5 ± 6.0 | 13.3 ± 8.4 | <0.001 | 8.7 ± 4.0 | 10.6 ± 6.0 | 12.9 ± 7.4 | <0.001 | 7.9 ± 4.6 | 10.4 ± 6.0 | 13.8 ± 9.3 | <0.001 |
| omega-6 PUFA intake, g/day | 7.7 ± 4.2 | 8.8 ± 5.7 | 9.3 ± 5.4 | <0.001 | 7.6 ± 3.8 | 8.8 ± 5.6 | 8.9 ± 5.0 | <0.001 | 7.8 ± 4.4 | 8.8 ± 5.8 | 9.7 ± 5.9 | <0.001 |
| Total iron intake, mg/day | 15.3 ± 6.1 | 19.0 ± 8.6 | 23.8 ± 11.3 | <0.001 | 16.2 ± 6.2 | 19.2 ± 8.6 | 23.4 ± 10.0 | <0.001 | 14.7 ± 6.1 | 18.8 ± 8.5 | 24.3 ± 12.5 | <0.001 |
| Copper intake, μg/day | 1082.0 ± 821.5 | 1288.9 ± 892.7 | 1504.6 ± 916.4 | <0.001 | 1168.1 ± 856.4 | 1294.4 ± 926.5 | 1398.1 ± 840.4 | <0.001 | 1020.9 ± 790.5 | 1284.6 ± 865.3 | 1617.3 ± 978.3 | <0.001 |
| Smoking status, n (%) | <0.001 | <0.001 | <0.001 | |||||||||
| Current smoker | 520 (27.0%) | 390 (22.2%) | 366 (17.3%) | 466 (58.4%) | 374 (48.0%) | 363 (33.4%) | 54 (4.8%) | 16 (1.6%) | 3 (0.3%) | |||
| Former smoker | 259 (13.5%) | 257 (14.6%) | 353 (16.7%) | 242 (30.3%) | 250 (32.1%) | 350 (32.2%) | 17 (1.5%) | 7 (0.7%) | 3 (0.3%) | |||
| Never smoker | 1144 (59.5%) | 1110 (63.2%) | 1396 (66.0%) | 90 (11.3%) | 155 (19.9%) | 374 (34.4%) | 1054 (93.7%) | 955 (97.6%) | 1022 (99.4%) | |||
| Drinking status, n (%) | <0.001 | <0.001 | <0.001 | |||||||||
| Heavy drinker | 259 (13.5%) | 172 (9.8%) | 127 (6.0%) | 229 (28.7%) | 162 (20.8%) | 121 (11.1%) | 30 (2.7%) | 10 (1.0%) | 6 (0.6%) | |||
| Mild-to-moderate drinker | 790 (41.1%) | 654 (37.2%) | 738 (34.9%) | 448 (56.1%) | 417 (53.5%) | 547 (50.3%) | 342 (30.4%) | 237 (24.2%) | 191 (18.6%) | |||
| Non-drinker | 874 (45.4%) | 931 (53.0%) | 1250 (59.1%) | 121 (15.2%) | 200 (25.7%) | 419 (38.5%) | 753 (66.9%) | 731 (74.7%) | 831 (80.8%) | |||
| Obesity status, n (%) | <0.001 | <0.001 | <0.001 | |||||||||
| Obese | 1230 (64.0%) | 794 (45.2%) | 516 (24.4%) | 498 (62.4%) | 346 (44.4%) | 278 (25.6%) | 732 (65.1%) | 448 (45.8%) | 238 (23.2%) | |||
| Overweight | 452 (23.5%) | 443 (25.2%) | 632 (29.9%) | 176 (22.1%) | 198 (25.4%) | 319 (29.3%) | 276 (24.5%) | 245 (25.1%) | 313 (30.4%) | |||
| Normal weight | 241 (12.5%) | 520 (29.6%) | 967 (45.7%) | 124 (15.5%) | 235 (30.2%) | 490 (45.1%) | 117 (10.4%) | 285 (29.1%) | 477 (46.4%) | |||
| Abdominal obesity, n (%) | 909 (47.3%) | 533 (30.3%) | 292 (13.8%) | <0.001 | 274 (34.3%) | 190 (24.4%) | 113 (10.4%) | <0.001 | 635 (56.4%) | 343 (35.1%) | 179 (17.4%) | <0.001 |
| omega-3 PUFA intake, g/day | 1.1 ± 0.7 | 1.3 ± 0.9 | 1.5 ± 0.9 | <0.001 | 1.1 ± 0.6 | 1.3 ± 0.9 | 1.5 ± 0.9 | <0.001 | 1.1 ± 0.7 | 1.3 ± 0.9 | 1.6 ± 1.0 | <0.001 |
| Vitamin C intake, mg/day | 79.5 ± 59.3 | 123.7 ± 102.4 | 182.1 ± 133.8 | <0.001 | 74.2 ± 42.4 | 109.1 ± 83.8 | 158.4 ± 113.6 | <0.001 | 83.2 ± 68.6 | 135.3 ± 113.7 | 207.1 ± 148.2 | <0.001 |
| Vitamin E intake, mg/day | 9.7 ± 4.3 | 13.6 ± 6.8 | 18.3 ± 9.1 | <0.001 | 10.5 ± 4.2 | 13.7 ± 6.7 | 17.6 ± 7.7 | <0.001 | 9.1 ± 4.3 | 13.5 ± 7.0 | 19.0 ± 10.4 | <0.001 |
| Selenium intake, μg/day | 32.3 ± 19.4 | 47.2 ± 28.9 | 66.3 ± 41.6 | <0.001 | 37.1 ± 20.2 | 49.5 ± 30.8 | 65.7 ± 34.9 | <0.001 | 28.9 ± 18.0 | 45.3 ± 27.1 | 66.8 ± 47.8 | <0.001 |
| Beta-carotene intake, μg/day | 2074.7 ± 1488.3 | 3385.7 ± 2861.2 | 5062.3 ± 4270.2 | <0.001 | 2288.7 ± 1756.2 | 3508.6 ± 3073.5 | 4866.7 ± 3861.9 | <0.001 | 1922.9 ± 1242.9 | 3287.8 ± 2677.6 | 5269.2 ± 4656.2 | <0.001 |
| Zinc intake, mg/day | 10.5 ± 3.4 | 12.4 ± 4.7 | 14.8 ± 5.7 | <0.001 | 10.7 ± 3.1 | 12.5 ± 4.7 | 14.7 ± 5.1 | <0.001 | 10.3 ± 3.5 | 12.3 ± 4.7 | 15.0 ± 6.3 | <0.001 |
| Physical activity, n (%) | <0.001 | <0.001 | <0.001 | |||||||||
| Low (<7.5 METs-hr/wk) | 230 (12.0%) | 103 (5.9%) | 78 (3.7%) | 89 (11.2%) | 28 (3.6%) | 36 (3.3%) | 141 (12.5%) | 75 (7.7%) | 42 (4.1%) | |||
| Moderate (7.5–30 METs-hr/wk) | 1198 (62.3%) | 1098 (62.5%) | 1193 (56.4%) | 527 (66.0%) | 485 (62.3%) | 590 (54.3%) | 671 (59.6%) | 613 (62.7%) | 603 (58.7%) | |||
| High (>30 METs-hr/wk) | 495 (25.7%) | 556 (31.6%) | 844 (39.9%) | 182 (22.8%) | 266 (34.1%) | 461 (42.4%) | 313 (27.8%) | 290 (29.7%) | 383 (37.3%) | |||
| Oxidative Balance Score Tertile | Numbers, n | New-Onset Cases, n | Follow-Up Period, Person–Year | Incidence Rate Per 1000 Person Years | Unadjusted | Adjusted |
|---|---|---|---|---|---|---|
| HR (95% CI) | HR (95% CI) | |||||
| Total | ||||||
| Continuous (per 1 increment) | 0.90 (0.87–0.93) | 0.94 (0.91–0.97) | ||||
| T1 | 1923 | 288 | 28,539.5 | 10.09 | 1 (reference) | 1 (reference) |
| T2 | 1757 | 203 | 26,507.1 | 7.66 | 0.76 (0.63–0.91) | 0.77 (0.63–0.93) |
| T3 | 2115 | 187 | 32,302.5 | 5.79 | 0.57 (0.48–0.69) | 0.71 (0.58–0.87) |
| p for trend | <0.001 | <0.001 | ||||
| Men | ||||||
| Continuous (per 1 increment) | 0.95 (0.91–0.99) | 0.95 (0.90–0.99) | ||||
| T1 | 798 | 97 | 12,012.2 | 8.08 | 1 (reference) | 1 (reference) |
| T2 | 779 | 90 | 11,802.2 | 7.63 | 0.94 (0.71–1.25) | 0.80 (0.59–1.08) |
| T3 | 1087 | 99 | 16,552.1 | 5.98 | 0.74 (0.56–0.98) | 0.70 (0.51–0.95) |
| p for trend | 0.031 | 0.022 | ||||
| Women | ||||||
| Continuous (per 1 increment) | 0.86 (0.83–0.90) | 0.93 (0.89–0.98) | ||||
| T1 | 1125 | 191 | 16,527.3 | 11.56 | 1 (reference) | 1 (reference) |
| T2 | 978 | 113 | 14,704.9 | 7.68 | 0.66 (0.53–0.84) | 0.76 (0.59–0.98) |
| T3 | 1028 | 88 | 15,750.4 | 5.59 | 0.48 (0.37–0.62) | 0.73 (0.55–0.96) |
| p for trend | <0.001 | 0.015 |
Disclaimer/Publisher’s Note: The statements, opinions and data contained in all publications are solely those of the individual author(s) and contributor(s) and not of MDPI and/or the editor(s). MDPI and/or the editor(s) disclaim responsibility for any injury to people or property resulting from any ideas, methods, instructions or products referred to in the content. |
© 2023 by the authors. Licensee MDPI, Basel, Switzerland. This article is an open access article distributed under the terms and conditions of the Creative Commons Attribution (CC BY) license (https://creativecommons.org/licenses/by/4.0/).
Share and Cite
Son, D.-H.; Lee, H.S.; Seol, S.-Y.; Lee, Y.-J.; Lee, J.-H. Association between the Oxidative Balance Score and Incident Chronic Kidney Disease in Adults. Antioxidants 2023, 12, 335. https://doi.org/10.3390/antiox12020335
Son D-H, Lee HS, Seol S-Y, Lee Y-J, Lee J-H. Association between the Oxidative Balance Score and Incident Chronic Kidney Disease in Adults. Antioxidants. 2023; 12(2):335. https://doi.org/10.3390/antiox12020335
Chicago/Turabian StyleSon, Da-Hye, Hye Sun Lee, So-Young Seol, Yong-Jae Lee, and Jun-Hyuk Lee. 2023. "Association between the Oxidative Balance Score and Incident Chronic Kidney Disease in Adults" Antioxidants 12, no. 2: 335. https://doi.org/10.3390/antiox12020335
APA StyleSon, D.-H., Lee, H. S., Seol, S.-Y., Lee, Y.-J., & Lee, J.-H. (2023). Association between the Oxidative Balance Score and Incident Chronic Kidney Disease in Adults. Antioxidants, 12(2), 335. https://doi.org/10.3390/antiox12020335

