Association between Seminal Oxidation-Reduction Potential and Sperm DNA Fragmentation—A Meta-Analysis
Abstract
:1. Introduction
2. Materials and Methods
2.1. Search Strategy
2.2. Quality Assessment of Individual Studies
2.3. Meta-Analysis
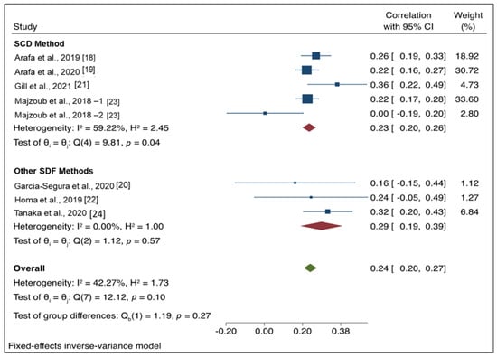
3. Results
3.1. Characteristics of Eligible Studies and Methodological Quality
| Studies (Author, Year) | Study Type | Sample Size | SDF Methods | ORP vs SDF (Correlation Coefficient) | p-Value | * Study Quality (Maximum Score = 10 Stars) |
|---|---|---|---|---|---|---|
| Arafa et al., 2019 [18] | Retrospective | 659 | SCD | 0.264 | <0.0001 | 9 |
| Arafa et al., 2020 [19] | Retrospective | 1068 | SCD | 0.218 | <0.0001 | 9 |
| Garcia-Segura et al., 2020 [20] | Cross-sectional | 42 | TUNEL | 0.160 | NS | 6 |
| Alkaline comet | 0.125 | NS | ||||
| Gill et al., 2021 [21] | Cross-sectional | 167 | SCD | 0.364 | <0.000001 | 8 |
| Homa et al., 2019 [22] | Cross-sectional | 47 | SCSA | 0.23992 | 0.1043 | 7 |
| Majzoub et al., 2018–1 [23] | Prospective case-control | 1168 | SCD | 0.222 | 0.001 | 10 |
| Majzoub et al., 2018–2 [23] | Prospective case-control | 100 | SCD | 0.004 | NS | |
| Tanaka et al., 2020 [24] | Cross-sectional | 240 | SCSA | 0.320075 | <0.001 | 8 |
3.2. Correlation between ORP and SDF
3.2.1. Pooled Correlation
3.2.2. Subgroup Analysis
3.3. Publication Bias
4. Discussion
5. Conclusions
Supplementary Materials
Author Contributions
Funding
Institutional Review Board Statement
Informed Consent Statement
Data Availability Statement
Acknowledgments
Conflicts of Interest
References
- Vander Borght, M.; Wyns, C. Fertility and infertility: Definition and epidemiology. Clin. Biochem. 2018, 62, 2–10. [Google Scholar] [CrossRef] [PubMed]
- Barati, E.; Nikzad, H.; Karimian, M. Oxidative stress and male infertility: Current knowledge of pathophysiology and role of antioxidant therapy in disease management. Cell Mol. Life Sci. 2020, 77, 93–113. [Google Scholar] [CrossRef] [PubMed]
- Aitken, R.J.; Drevet, J.R.; Moazamian, A.; Gharagozloo, P. Male Infertility and Oxidative Stress: A Focus on the Underlying Mechanisms. Antioxidants 2022, 11, 306. [Google Scholar] [CrossRef] [PubMed]
- Agarwal, A.; Parekh, N.; Panner Selvam, M.K.; Henkel, R.; Shah, R.; Homa, S.T.; Ramasamy, R.; Ko, E.; Tremellen, K.; Esteves, S.; et al. Male Oxidative Stress Infertility (MOSI): Proposed Terminology and Clinical Practice Guidelines for Management of Idiopathic Male Infertility. World J. Men’s Health 2019, 37, 296–312. [Google Scholar] [CrossRef] [PubMed]
- Baskaran, S.; Finelli, R.; Agarwal, A.; Henkel, R. Reactive oxygen species in male reproduction: A boon or a bane? Andrologia 2021, 53, e13577. [Google Scholar] [CrossRef] [PubMed]
- Aitken, R.J.; Drevet, J.R. The Importance of Oxidative Stress in Determining the Functionality of Mammalian Spermatozoa: A Two-Edged Sword. Antioxidants 2020, 9, 111. [Google Scholar] [CrossRef] [PubMed]
- Sikka, S.C. Relative impact of oxidative stress on male reproductive function. Curr. Med. Chem. 2001, 8, 851–862. [Google Scholar] [CrossRef]
- Agarwal, A.; Sharma, R.; Roychoudhury, S.; Du Plessis, S.; Sabanegh, E. MiOXSYS: A novel method of measuring oxidation reduction potential in semen and seminal plasma. Fertil. Steril. 2016, 106, 566–573.e10. [Google Scholar] [CrossRef] [PubMed]
- Agarwal, A.; Baskaran, S.; Panner Selvam, M.K.; Finelli, R.; Barbarosie, C.; Robert, K.A.; Iovine, C.; Master, K.; Henkel, R. Scientific landscape of oxidative stress in male reproductive research: A scientometric study. Free Radic. Biol. Med. 2020, 156, 36–44. [Google Scholar] [CrossRef] [PubMed]
- Vassiliou, A.; Martin, C.H.; Homa, S.T.; Stone, J.; Dawkins, A.; Genkova, M.N.; Skyla Dela Roca, H.; Parikh, S.; Patel, J.; Yap, T.; et al. Redox potential in human semen: Validation and qualification of the MiOX(sys) assay. Andrologia 2021, 53, e13938. [Google Scholar] [CrossRef] [PubMed]
- Panner Selvam, M.K.; Finelli, R.; Agarwal, A.; Henkel, R. Evaluation of seminal oxidation-reduction potential in male infertility. Andrologia 2021, 53, e13610. [Google Scholar] [CrossRef] [PubMed]
- Agarwal, A.; Panner Selvam, M.K.; Baskaran, S.; Cho, C.L. Sperm DNA damage and its impact on male reproductive health: A critical review for clinicians, reproductive professionals and researchers. Expert Rev. Mol. Diagn. 2019, 19, 443–457. [Google Scholar] [CrossRef] [PubMed]
- Aitken, R.J.; De Iuliis, G.N.; Finnie, J.M.; Hedges, A.; McLachlan, R.I. Analysis of the relationships between oxidative stress, DNA damage and sperm vitality in a patient population: Development of diagnostic criteria. Hum. Reprod. 2010, 25, 2415–2426. [Google Scholar] [CrossRef] [PubMed]
- Wright, C.; Milne, S.; Leeson, H. Sperm DNA damage caused by oxidative stress: Modifiable clinical, lifestyle and nutritional factors in male infertility. Reprod. Biomed. Online 2014, 28, 684–703. [Google Scholar] [CrossRef] [PubMed]
- Darbandi, M.; Darbandi, S.; Agarwal, A.; Baskaran, S.; Dutta, S.; Sengupta, P.; Khorram Khorshid, H.R.; Esteves, S.; Gilany, K.; Hedayati, M.; et al. Reactive oxygen species-induced alterations in H19-Igf2 methylation patterns, seminal plasma metabolites, and semen quality. J. Assist. Reprod. Genet. 2019, 36, 241–253. [Google Scholar] [CrossRef] [PubMed]
- Page, M.J.; McKenzie, J.E.; Bossuyt, P.M.; Boutron, I.; Hoffmann, T.C.; Mulrow, C.D.; Shamseer, L.; Tetzlaff, J.M.; Akl, E.A.; Brennan, S.E.; et al. The PRISMA 2020 statement: An updated guideline for reporting systematic reviews. BMJ 2021, 372, n71. [Google Scholar] [CrossRef] [PubMed]
- Duval, S.; Tweedie, R. Trim and fill: A simple funnel-plot-based method of testing and adjusting for publication bias in meta-analysis. Biometrics 2000, 56, 455–463. [Google Scholar] [CrossRef]
- Arafa, M.; Henkel, R.; Agarwal, A.; Majzoub, A.; Elbardisi, H. Correlation of oxidation-reduction potential with hormones, semen parameters and testicular volume. Andrologia 2019, 51, e13258. [Google Scholar] [CrossRef] [PubMed]
- Arafa, M.; Henkel, R.; Agarwal, A.; Robert, K.; Finelli, R.; Majzoub, A.; El Bardisi, H. Seminal oxidation-reduction potential levels are not influenced by the presence of leucocytospermia. Andrologia 2020, 52, e13609. [Google Scholar] [CrossRef]
- Garcia-Segura, S.; Ribas-Maynou, J.; Lara-Cerrillo, S.; Garcia-Peiró, A.; Castel, A.B.; Benet, J.; Oliver-Bonet, M. Relationship of Seminal Oxidation-Reduction Potential with Sperm DNA Integrity and pH in Idiopathic Infertile Patients. Biology 2020, 9, 262. [Google Scholar] [CrossRef] [PubMed]
- Gill, K.; Kups, M.; Harasny, P.; Machalowski, T.; Grabowska, M.; Lukaszuk, M.; Matuszewski, M.; Duchnik, E.; Fraczek, M.; Kurpisz, M.; et al. The Negative Impact of Varicocele on Basic Semen Parameters, Sperm Nuclear DNA Dispersion and Oxidation-Reduction Potential in Semen. Int. J. Environ. Res. Public Health 2021, 18, 5977. [Google Scholar] [CrossRef] [PubMed]
- Homa, S.T.; Vassiliou, A.M.; Stone, J.; Killeen, A.P.; Dawkins, A.; Xie, J.; Gould, F.; Ramsay, J.W. A Comparison Between Two Assays for Measuring Seminal Oxidative Stress and their Relationship with Sperm DNA Fragmentation and Semen Parameters. Genes 2019, 10, 236. [Google Scholar] [CrossRef]
- Majzoub, A.; Arafa, M.; Mahdi, M.; Agarwal, A.; Al Said, S.; Al-Emadi, I.; El Ansari, W.; Alattar, A.; Al Rumaihi, K.; Elbardisi, H. Oxidation-reduction potential and sperm DNA fragmentation, and their associations with sperm morphological anomalies amongst fertile and infertile men. Arab. J. Urol. 2018, 16, 87–95. [Google Scholar] [CrossRef]
- Tanaka, T.; Kobori, Y.; Terai, K.; Inoue, Y.; Osaka, A.; Yoshikawa, N.; Shimomura, Y.; Suzuki, K.; Minami, T.; Iwahata, T.; et al. Seminal oxidation-reduction potential and sperm DNA fragmentation index increase among infertile men with varicocele. Hum. Fertil. 2022, 25, 142–146. [Google Scholar] [CrossRef] [PubMed]
- WHO. WHO Laboratory Manual for the Examination and Processing of Human Semen, 6th ed.; World Health Organization: Geneva, Switzerland, 2021. [Google Scholar]
- Aitken, R.J.; Smith, T.B.; Jobling, M.S.; Baker, M.A.; De Iuliis, G.N. Oxidative stress and male reproductive health. Asian J. Androl. 2014, 16, 31–38. [Google Scholar] [CrossRef] [PubMed]
- Henkel, R.R. Leukocytes and oxidative stress: Dilemma for sperm function and male fertility. Asian J. Androl. 2011, 13, 43–52. [Google Scholar] [CrossRef] [PubMed]
- Sikka, S.C.; Rajasekaran, M.; Hellstrom, W.J. Role of oxidative stress and antioxidants in male infertility. J. Androl. 1995, 16, 464–468. [Google Scholar] [PubMed]
- Robert, K.A.; Sharma, R.; Henkel, R.; Agarwal, A. An update on the techniques used to measure oxidative stress in seminal plasma. Andrologia 2021, 53, e13726. [Google Scholar] [CrossRef] [PubMed]
- Agarwal, A.; Panner Selvam, M.K.; Arafa, M.; Okada, H.; Homa, S.; Killeen, A.; Balaban, B.; Saleh, R.; Armagan, A.; Roychoudhury, S.; et al. Multi-center evaluation of oxidation-reduction potential by the MiOXSYS in males with abnormal semen. Asian J. Androl. 2019, 21, 565–569. [Google Scholar] [CrossRef] [PubMed]
- Agarwal, A.; Bui, A.D. Oxidation-reduction potential as a new marker for oxidative stress: Correlation to male infertility. Investig. Clin. Urol. 2017, 58, 385–399. [Google Scholar] [CrossRef] [PubMed]
- Park, Y.S.; Lee, S.H.; Choi, H.W.; Lee, H.S.; Lee, J.S.; Seo, J.T. Abnormal Human Sperm Parameters Contribute to Sperm DNA Fragmentation in Men with Varicocele. World J. Men’s Health 2018, 36, 239–247. [Google Scholar] [CrossRef] [PubMed]
- Cohen-Bacrie, P.; Belloc, S.; Ménézo, Y.J.; Clement, P.; Hamidi, J.; Benkhalifa, M. Correlation between DNA damage and sperm parameters: A prospective study of 1633 patients. Fertil. Steril. 2009, 91, 1801–1805. [Google Scholar] [CrossRef] [PubMed]
- Agarwal, A.; Wang, S.M. Clinical Relevance of Oxidation-Reduction Potential in the Evaluation of Male Infertility. Urology 2017, 104, 84–89. [Google Scholar] [CrossRef]
- Arafa, M.; Agarwal, A.; Al Said, S.; Majzoub, A.; Sharma, R.; Bjugstad, K.B.; AlRumaihi, K.; Elbardisi, H. Semen quality and infertility status can be identified through measures of oxidation-reduction potential. Andrologia 2018, 50, e12881. [Google Scholar] [CrossRef] [PubMed]
- Esteves, S.C.; Zini, A.; Coward, R.M.; Evenson, D.P.; Gosálvez, J.; Lewis, S.E.M.; Sharma, R.; Humaidan, P. Sperm DNA fragmentation testing: Summary evidence and clinical practice recommendations. Andrologia 2021, 53, e13874. [Google Scholar] [CrossRef] [PubMed]
- Agarwal, A.; Majzoub, A.; Esteves, S.C.; Ko, E.; Ramasamy, R.; Zini, A. Clinical utility of sperm DNA fragmentation testing: Practice recommendations based on clinical scenarios. Transl. Androl. Urol. 2016, 5, 935–950. [Google Scholar] [CrossRef] [PubMed]
- Agarwal, A.; Majzoub, A.; Baskaran, S.; Panner Selvam, M.K.; Cho, C.L.; Henkel, R.; Finelli, R.; Leisegang, K.; Sengupta, P.; Barbarosie, C.; et al. Sperm DNA Fragmentation: A New Guideline for Clinicians. World J. Men’s Health 2020, 38, 412–471. [Google Scholar] [CrossRef]
- Elbardisi, H.; Finelli, R.; Agarwal, A.; Majzoub, A.; Henkel, R.; Arafa, M. Predictive value of oxidative stress testing in semen for sperm DNA fragmentation assessed by sperm chromatin dispersion test. Andrology 2020, 8, 610–617. [Google Scholar] [CrossRef]




Publisher’s Note: MDPI stays neutral with regard to jurisdictional claims in published maps and institutional affiliations. |
© 2022 by the authors. Licensee MDPI, Basel, Switzerland. This article is an open access article distributed under the terms and conditions of the Creative Commons Attribution (CC BY) license (https://creativecommons.org/licenses/by/4.0/).
Share and Cite
Panner Selvam, M.K.; Baskaran, S.; O’Connell, S.; Almajed, W.; Hellstrom, W.J.G.; Sikka, S.C. Association between Seminal Oxidation-Reduction Potential and Sperm DNA Fragmentation—A Meta-Analysis. Antioxidants 2022, 11, 1563. https://doi.org/10.3390/antiox11081563
Panner Selvam MK, Baskaran S, O’Connell S, Almajed W, Hellstrom WJG, Sikka SC. Association between Seminal Oxidation-Reduction Potential and Sperm DNA Fragmentation—A Meta-Analysis. Antioxidants. 2022; 11(8):1563. https://doi.org/10.3390/antiox11081563
Chicago/Turabian StylePanner Selvam, Manesh Kumar, Saradha Baskaran, Samantha O’Connell, Wael Almajed, Wayne J. G. Hellstrom, and Suresh C. Sikka. 2022. "Association between Seminal Oxidation-Reduction Potential and Sperm DNA Fragmentation—A Meta-Analysis" Antioxidants 11, no. 8: 1563. https://doi.org/10.3390/antiox11081563
APA StylePanner Selvam, M. K., Baskaran, S., O’Connell, S., Almajed, W., Hellstrom, W. J. G., & Sikka, S. C. (2022). Association between Seminal Oxidation-Reduction Potential and Sperm DNA Fragmentation—A Meta-Analysis. Antioxidants, 11(8), 1563. https://doi.org/10.3390/antiox11081563

