Abstract
There is a serious problem with soil salinization that affects the growth and development of plants. Tamarix ramosissima Ledeb (T. ramosissima), as a halophyte, is widely used for afforestation in salinized soils. At present, there are few reports on the antioxidant mechanism of T. ramosissima under NaCl stress. In this study, we learned about the superoxide dismutase (SOD), peroxidase (POD), and catalase (CAT) activities, and hydrogen peroxide (H2O2) and malondialdehyde (MDA) content changes in T. ramosissima. We also mined the relevant metabolic pathways in the antioxidant mechanism, candidate key genes, and their related differential metabolites and verified them using quantitative real-time PCR (qRT-PCR). The results show that the SOD, POD, and CAT activities, and the H2O2 and MDA content reached the highest values in the roots of T. ramosissima. Simultaneously, 92 differentially expressed genes (DEGs) related to antioxidant enzyme activities changed during 48 and 168 h of NaCl stress, and these DEGs were mainly upregulated in 168 h. Based on the association analysis of transcriptomic and metabolomic data, we found Unigene0089358 and Unigene0007782 as genes related to key enzymes in the flavonoid biosynthesis pathway. They were located in the upstream positive regulation at 48 and 168 h under NaCl stress, and their respective related metabolites (phloretin and pinocembrin) were involved in resistance to NaCl stress, and they were significantly correlated with their respective metabolites. In conclusion, at 48 and 168 h under NaCl stress, the roots of T. ramosissima resist NaCl stress by enhancing enzymatic and nonenzymatic antioxidant mechanisms, scavenging ROS generated by high-salt stress, alleviating NaCl toxicity, and maintaining the growth of T. ramosissima. This study provides genetic resources and a scientific theoretical basis for further breeding of salt-tolerant Tamarix plants and the molecular mechanism of antioxidants to alleviate NaCl toxicity.
1. Introduction
There are a number of factors that influence plant growth, including soil salinization. Currently, about 8 × 109 km2 of the land in the world is affected by salinization [1]. There are about 3.6 × 108 km2 of salinized soil in China, accounting for about 4.9% of the country’s usable land area [2]. Soil salinization is mainly characterized by excess Na+, Mg2+, Ca2+, CO32−, HCO3−, Cl−, and SO42−, especially Na+ and Cl− [3].
Salt stress is one of the major environmental factors affecting plant growth and development [4]. In particular, an elevated salt level can lead plants to ion imbalance and osmotic stress, which in glycophitic plants negatively affect their growth and development and eventually lead to serious damage [5,6]. Meanwhile, water shortages caused by salt stress reduces plant stomatal conductance and photosynthetic activity, thereby accelerating the accumulation of reactive oxygen species (ROS) [7]. Salt stress can also cause metabolic imbalance and excessive ROS accumulation in plants, causing oxidative damage and affecting the growth and development of plants as a result of ion imbalance and osmotic stress [8]. When a plant is subjected to salt stress, ROS is produced in many of its organelles and cells. Plants scavenge accumulated ROS by activating an adaptative response [9,10]. Notably, plants have evolved enzymatic and nonenzymatic antioxidant defense systems to improve tolerance to salt stress over a long period of time [11]. The enzymatic system mainly includes enzyme systems, including superoxide dismutase (SOD), catalase (CAT), guaiacol peroxidase (POD), ascorbic acid peroxidase (APX), glutathione peroxidase (GPX), glutathione reductase (GR), glutathione S-transferase (GST), monodehydroascorbate reductase (MDHAR), and dehydroascorbate reductase (DHAR) [12,13]. Under salt stress, the increased activity of these antioxidant enzymes can generally be considered to enhance plant salt tolerance [14]. Nonenzymatic systems include ascorbic acid (AsA), glutathione (GSH), α-tocopherol, phenolic compounds (PhOH), flavonoids, alkaloids, and nonprotein amino acids [15,16]. Enzymatic and nonenzymatic antioxidants produced by plant cells can help eliminate ROS, reduce its damage to plant cells, and improve the antioxidant capacity of plants [17,18]. Therefore, enzymatic and nonenzymatic antioxidants play an important role in scavenging excess ROS accumulation [19], which is essential for maintaining normal plant growth and development [20]. Nonenzymatic antioxidants such as flavonoids can interact with antioxidant enzymes such as SOD, CAT, APX, GPX, GST, and GR in enzymatic antioxidants to prevent the overproduction of ROS [16].
The flavonoid biosynthesis pathway is a plant biology secondary metabolic pathway with the most research [21]. Flavonoids, as plant antioxidants, protect plants from damage resulting from abiotic stresses [22]. Flavonoids, as important secondary metabolites of plants, play an important role in the tolerance response of plants to salt stress and the elimination of hydrogen peroxide (H2O2) and ROS [18,23]. Flavonoids generally include chalcones, stilbenes, aurones, flavanones, flavones, isoflavones, phlobaphenes, dihydroflavonols, flavonols, leucoanthocyanidins, proanthocyanidins, and anthocyanins [24,25]. The results of Qin et al. showed that the more flavonoids accumulated in plants, the more resistant they were to the damage caused by high salt stress [26].
The root system of plants is the first organ to feel the stress signal under salt stress, and it is also the most directly damaged part [27,28,29]. Under normal growth conditions, the root system can absorb and transport water and nutrients to the aerial parts of the plant to maintain cellular homeostasis. However, under salt stress, changes in the root phenotype and cellular structure disrupt this balance [30,31], and salt stress can inhibit root respiration, affect the normal metabolism of roots, and lead to functional disorders such as root absorption, water, and nutrient transport [32]. However, halophytes are salt-tolerant plants that can achieve growth in high salt concentrations and are adapted to saline–alkali environments [33]. Flowers et al. found that halophytes can complete several life-cycle alternations at concentrations above 200 mM of NaCl [34]. In addition, the Tamarix plant as a halophyte [35] contains polyphenols such as flavonoids, tannins, and phenolic acids [36]. The Tamarix plant possesses good economic [37,38,39], medicinal [40,41], and ecological values [42], and it is an especially valuable herb in China. It had been used by Chinese doctors for hundreds of years as an herb medicine. Several diseases as well as detoxification can be treated with Tamarix plants, according to the Compendium of Materia Medica. Numerous recent studies have been conducted using the Tamarix plant extract that support the medicinal benefits of Tamarix plants. In addition to their antioxidant, anti-inflammatory, and anticancer properties, Tamarix plants are rich in flavonoids and phenols. Tamarix plants are widely used in the treatment of diabetes, rheumatoid arthritis, Alzheimer’s disease, and cancer, and in liver protection [14]. Tamarix ramosissima Ledeb (T. ramosissima), a typical representative of T. ramosissima plants, normally grows at concentrations below 100 mM of NaCl but inhibits growth at concentrations above 200 mM of NaCl [43].
In this study, the roots of T. ramosissima were subjected to 200 mM of NaCl stress. We combined physiological, transcriptomic, and metabolomic data to understand the role of antioxidants in response to NaCl stress in the roots of T. ramosissima and observed the changes in their antioxidant mechanisms in anticipation of uncovering key metabolic pathways, candidate genes, and metabolites. Our aim was to provide a scientific theoretical basis and genetic resources for the study of salt toxicity mitigation effects on Tamarix plants under NaCl stress.
2. Materials and Methods
2.1. Plant Material Selection
Five-month-old T. ramosissima cuttings with similar growth were selected and transferred them to a 24-hole hydroponic box (40 cm × 30 cm × 16 cm) filled with 1/2 Hoagland nutrient solution. The culture medium was replaced every 3 days and placed in a greenhouse at a temperature of 26 ± 2 °C and relative humidity of 40 to 55%. The experiment was carried out in the key laboratory of the School of Forestry, Nanjing Forestry University.
2.2. Experimental Seedling Treatment
The control and treatment groups were set up in the experiment, with 8 plants in each group, and the experiment was repeated three times in total. The control group was cultured in 1/2 Hoagland nutrient solution, and the treatment group was cultured in 1/2 Hoagland nutrient solution supplemented with 200 mM NaCl. The culture solution was changed every 3 days. Then, root samples at 0, 48, and 168 h were collected for treatment, immediately placed in liquid nitrogen, and then transferred to a −80 °C refrigerator for future use.
2.3. Determination of Physiological Indexes
We selected 8 T. ramosissima seedlings under 200 mM NaCl stress at 0, 48, and 168 h after treatment, and each treatment had 3 biological replicates. We sampled the root tissue to determine the SOD, POD, and CAT activities [43], and the H2O2 [44] and MDA content [45] of T. ramosissima under different treatments.
2.4. Transcriptome Sequencing and Differentially Expressed Gene Screening
We sent the samples of T. ramosissima root after experimental treatment to GENE Denovo biotechnology company (GENE Denovo, Guangzhou, China) for high-throughput transcriptome sequencing. We extracted total RNA using the Omega kit (Beinuo Bio, Shanghai, China) from Omega Bio-Tek. RNA quality was determined using RNase free agarose gel electrophoresis on an Agilent 2100 Bioanalyzer (Agilent Technologies, Palo Alto, CA, USA). Using an Epicentre Ribo-ZeroTM magnetic kit (Madison, WI, USA), mRNA from eukaryotic cells was enriched with Oligo(dT) beads, and mRNA from prokaryotic cells was enriched by removing rRNA. A fragmentation buffer was used to fragment the enriched mRNA, and random primers were used to reverse transcript the cDNA. With the help of DNA polymerase I, RNase H, dNTP, and buffer, second-strand cDNA was synthesized. A QiaQuick PCR extraction kit (Qiagen, Venlo, The Netherlands) was used to purify cDNA fragments, end repair them, add poly(A), and ligate them to Illumina sequencing adapters. Using Illumina HiSeqTM 4000 by Gene Denovo Biotechnology Company (Guangzhou, China), ligation products were size-selected using agarose gel electrophoresis, and the PCR was amplified and sequenced.
Then, we submitted the raw sequencing data obtained by transcriptome sequencing to the Short Reads Archive (SRA) database of the National Center for Biotechnology Information (NCBI), SRP number SRP356215. Finally, we referred to the method of Chen et al. to screen the differentially expressed genes (DEGs) from the sequencing data [46], and the DEGs were obtained for Gene Ontology (GO) [47] and Kyoto Encyclopedia of Genes and Genomes (KEGG) [48] enrichment analysis.
2.5. Metabolic Extraction, Detection, and Differential Metabolic Screening
We sent the processed samples of T. ramosissima root after experimental treatment to GENE Denovo biotechnology company (GENE Denovo, Guangzhou, China) for metabolite extraction and detection and then analyzed via liquid chromatography–mass spectrometry (LC–MS) [49]. We referred to the method of Chen et al. for differential metabolite screening and p-value testing of sequencing data [46]. At the same time, we also identified the pathways annotated by differential metabolites in the KEGG database (www.kegg.jp/kegg/pathway.html, accessed on 22 January 2021).
2.6. Quantitative Real-Time PCR (qRT-PCR) Validation of Candidate Key Genes
Eight candidate key genes were randomly selected to verify the accuracy of RNA-Seq results. We designed primers for candidate key genes and performed qRT-PCR detection (Supplementary Table S1), which was verified by referring to the method of Chen et al. [50]. Each gene was biologically replicated 3 times, with Tubulin as the internal reference gene, and the relative expression was calculated using the 2−ΔΔCt method [51].
2.7. Experiment Processing
In this study, we used Excel (Microsoft, Washington, DC, USA) to process all the data, SPSS 26.0 (IBM, Chicago, IL, USA) to perform significant analysis, Origin 2018 software (OriginLab Corporation, Northampton, MA, USA) to make the graph, and MEGA 11 software (MEGA Software, State College, PA, USA) to create phylogenetic trees. Then, we used ANOVA for significance testing, transcriptome sequencing, and metabolite detection which were repeated 3 times technically and 3 times biologically.
3. Results
3.1. Analysis of Main Antioxidant Enzyme Activities, H2O2 Content, and MDA Content of T. ramosissima Roots under NaCl Stress
The roots of T. ramosissima were treated with 200 mM of NaCl stress for 0, 48 and 168 h, and the SOD, POD, and CAT activities increased with time (Figure 1). It is worth noting that the SOD, POD, and CAT activities all reached the highest at 168 h under 200 mM of NaCl stress. The content of H2O2 and MDA increased with time in the roots of T. ramosissima treated with 200 mM of NaCl stress for 0, 48 and 168 h (Figure 2). In particular, at 168 h under 200 mM of NaCl stress, the content of H2O2 and MDA both reached the maximum.

Figure 1.
Change in antioxidative enzyme activity of T. ramosissima roots under NaCl stress. (Changes in SOD, POD, and CAT activities in the roots of T. ramosissima at 0, 48, and 168 h under NaCl stress).
Figure 2.
Change in H2O2 and MDA content of T. ramosissima roots under NaCl stress. (Changes in H2O2 and MDA content in roots of T. ramosissima under different treatments at 0, 48, and 168 h).
In conclusion, the SOD, POD, and CAT activities, and the H2O2 and MDA content in the roots of T. ramosissima within 168 h were induced by NaCl to increase to different degrees.
3.2. Analysis of Differentially Expressed Genes Related to Antioxidant Enzyme Activities in the Roots of T. ramosissima under NaCl Stress
DEGs were screened with FDR < 0.05, corrected p < 0.05, and |log2 FC| > 1 according to the transcriptional data of T. ramosissima treated with NaCl stress at 0, 48, and 168 h.
Under NaCl stress for 48 and 168 h, there was the expression of 92 SOD, POD, CAT, APX, GPX, GST, and GR activity-related DGEs in the roots of T. ramosissima (Supplementary Figure S1). In the comparison group of the Control group-0 h vs. 200 mM NaCl-48 h, 56 genes were upregulated, and 36 genes were downregulated. Among them, the number of upregulated genes was POD (25), followed by GST (11), SOD (7), APX (6), GPX (4), CAT (2), and GR (1). The number of downregulated genes was POD (11), followed by SOD (9), GST (8), CAT (4), GR (2), APX (1), and GPX (1). In the 200 mM NaCl-48 h vs. 200 mM NaCl-168 h comparison group, 42 genes were upregulated, and 50 genes were downregulated. Among them, the most upregulated genes were SOD (12), followed by GST (8), POD (7), APX (5), CAT (4), GPX (4), and GR (2). The number of downregulated genes was POD (29), followed by GST (11), SOD (4), CAT (2), APX (2), GPX (1), and GR (1). In the Control group-0 h vs. 200 mM NaCl-168 h comparison group, 55 genes were upregulated, and 37 were downregulated. Among them, the number of upregulated genes was POD (16), followed by GST (12), SOD (10), APX (6), CAT (5), GPX (4), and GR (2). The number of downregulated genes was POD (20), followed by GST (7), SOD (6), CAT (1), APX (1), GPX (1), and GR (1). These results show that the roots of T. ramosissima were actively resisting NaCl stress by upregulating the expression of genes related to antioxidant enzyme activities within 168 h under NaCl stress.
According to the log2 fold-change analysis of T. ramosissima under NaCl stress for 48 and 168 h (Table 1), the expression levels of 14 DEGs were upregulated (Supplementary Figure S2). There were three genes in the SOD activity (Unigene0096238, Unigene0027643, and Unigene0099972), one gene in the POD activity (Unigene0010026), one gene in the CAT activity (Unigene0089761), four genes in the APX activity (Unigene0105663, Unigene0105664, Unigene0008033, and Unigene0048032), three genes in the GPX activity (Unigene0019780, Unigene0026893, and Unigene0035407), and two genes in the GST activity (Unigene0015109 and Unigene0020552).
Table 1.
Antioxidant enzyme activity differentially expressed genes annotated to KEGG pathway.
3.3. Analysis of KEGG Pathway in the Roots of T. ramosissima under NaCl Stress
We performed a KEGG pathway analysis of the top 10 in the comparison groups based on the Control group-0 h vs. 200 mM NaCl-48 h, 200 mM NaCl-48 h vs. 200 mM NaCl-168 h, and the Control group-0 h vs. 200 mM NaCl-168 h. We more intuitively observed the changes in the expression levels of DEGs and differential metabolites involved in the KEGG Pathway in T. ramosissima. In the Control group-0 h vs. 200 mM NaCl-48 h, 200 mM NaCl-48 h vs. 200 mM NaCl-168 h, and the Control group-0 h vs. 200 mM NaCl-168 h comparison groups (Table 2), we found that there were three identical KEGG pathways, namely, the flavonoid, phenylpropanoid, and zeatin biosynthesis pathways. Notably, the flavonoid biosynthesis pathway was significantly enriched with DEGs in the Control group-0 h vs. 200 mM NaCl-48 h, 200 mM NaCl-48 h vs. 200 mM NaCl-168 h, and the Control group-0 h vs. 200 mM NaCl -168 h comparison groups (p < 0.05).
Table 2.
Top 10 KEGG pathways.
3.4. Flavonoid Biosynthesis Pathway Analysis
According to the previous results of Section 3.3, the flavonoid biosynthesis pathway was significantly enriched with DEGs in the A, B, and C comparison groups (p < 0.05), and these DEGs also regulated their associated differential metabolites (Figure 3). At 48 and 168 h under NaCl stress, we found five differential metabolites in the flavonoid biosynthesis pathway (Supplementary Table S2). Among them, four differential metabolites were found in the Control group-0 h vs. 200 mM NaCl-48 h comparison group, namely, pinocembrin, phloretin, eriodictyol, and (−)-epigallocatechin. Five differential metabolites were found in the 200 mM NaCl-48 h vs. 200 mM NaCl-168 h comparison group: pinocembrin, phloretin, eriodictyol, dihydromyricetin, and (−)-epigallocatechin. Three differential metabolites were found in the Control group-0 h vs. 200 mM NaCl-168 h comparison group, namely, pinocembrin, phloretin, and eriodictyol.

Figure 3.
Flavonoid biosynthesis pathway annotated with DEGs and differential metabolites. (DEGs and metabolites annotated on the flavonoid biosynthesis pathway in the roots of T. ramosissima at 48 and 168 h under NaCl stress. Note: blue box: DEGs regulate their related differential metabolites; red genes: DEGs upregulated; black genes: DEGs downregulated; red differential metabolites: differential metabolite accumulation; green differential metabolites: differential metabolite degradation.
According to the analysis of the flavonoid biosynthesis pathway (Figure 3), we observed that Unigene0035458 and Unigene0007782 in the Control group-0 h vs. 200 mM NaCl-48 h comparison group positively regulated the pinocembrin accumulation upstream, and Unigene0090049 and Unigene0102724 were downstream and positively regulated the pinocembrin accumulation. Unigene0089358 and Unigene0034881 were upstream to positively regulate the accumulation of phloretin. Unigene0090222 was upstream to positively regulate the accumulation of eriodictyol, and Unigene0090049, Unigene0102724, and Unigene0014681 were downstream to positively regulate the accumulation of eriodictyol. Unigene0100649 was in the upstream positive regulation of (−)-epigallocatechin accumulation. In the 200 mM NaCl-48 h vs. 200 mM NaCl-168 h comparison group, Unigene0007782 was in the upstream and positively regulated the degradation of pinocembrin, whereas Unigene0090049 and Unigene0102724 were in the downstream and positively regulated the degradation of pinocembrin. Unigene0090049 and Unigene0102724 were downstream and positively regulated the degradation of pinocembrin. Unigene0034881, Unigene0089358, and Unigene0045515 were located upstream to positively regulate the phloretin degradation, and Unigene0079503 was in the downstream to negatively regulate the degradation of phloretin. Unigene0090222 was in the upstream to positively regulate the degradation of eriodictyol, and Unigene0090049, Unigene0102724, and Unigene0014681 were in the downstream to positively regulate the degradation of eriodictyol. Unigene0090049 and Unigene0102724 were in the upstream and negatively regulated the accumulation of dihydromyricetin, and Unigene0095023 and Unigene0014681 were in the downstream and negatively regulated the accumulation of dihydromyricetin. Unigene0100649 was in the upstream positive regulation of (−)-epigallocatechin degradation. In the Control group-0 h vs. 200 mM NaCl-168 h comparison group, Unigene0007782 was in the upstream and positively regulated the accumulation of pinocembrin. Unigene0045515 was in the upstream and negatively regulated the accumulation of phloretin, whereas Unigene0089358 was in the upstream and positively regulated the accumulation of phloretin. It is worth noting that in these three comparison groups, Unigene0007782 was involved in the regulation of pinocembrin, and Unigene0089358 was involved in regulating phloretin. Unigene0007782 and Unigene0089358 played important roles in the flavonoid biosynthesis pathway as candidate key genes for resistance to NaCl in T. ramosissima.
Additionally, according to the heatmap analysis of the correlation between the differential metabolites in the flavonoid biosynthesis pathway and their DEGs (Figure 4), we found that Unigene0035458, Unigene0007782, Unigene0090049, and Unigene0102724 were significantly positively correlated with pinocembrin. Unigene0089358 and Unigene0034881 were significantly positively correlated with phloretin, and Unigene0079503 was significantly negatively correlated with phloretin. Unigene0090222, Unigene0014681, Unigene0090049, and Unigene0102724 were significantly positively correlated with eriodictyol. Unigene0100649 was significantly positively correlated with (−)-epigallocatechin. Unigene0102724, Unigene0090049, Unigene0014681, and Unigene0095023 were significantly negatively correlated with dihydromyricetin.
Figure 4.
Heatmap of the correlation between DEGs and differential metabolites in the flavonoid biosynthesis pathway. (Heatmap of correlations between DEGs regulating differential metabolites in the flavonoid biosynthesis pathway and their differential metabolites. Note: p ≥ 0.05 is not marked; 0.01 < p < 0.05 is marked as *; 0.001 < p < 0.01 is marked as **; p ≤ 0.001 is marked as ***).
3.5. Phylogenetic Tree Analysis of Candidate Key Genes in the Flavonoid Biosynthesis Pathway
According to the results in 3.4, Unigene0007782 and Unigene0089358 were involved in regulating related metabolites in the flavonoid biosynthesis pathway to resist NaCl stress (Supplementary Table S3). Although the expression levels of Unigene0007782 and Unigene0089358 increased first and then decreased under NaCl stress at 48 and 168 h, the expression levels of Unigene0007782 and Unigene0089358 at 168 h were significantly higher than those of the control group (Supplementary Figure S3). Therefore, Unigene0007782 and Unigene0089358 were selected as candidate key genes in the flavonoid biosynthesis pathway. Using Blast, we selected the protein amino acid sequences of Unigene0007782 and Unigene0089358 for alignment on NCBI. Then, 15 homologous gene species of Unigene0007782 (Supplementary Table S4) and 15 homologous gene species of Unigene0089358 (Supplementary Table S5) were selected. Finally, we used MEGA software (MEGA Software, Coatesville, USA) to construct a phylogenetic tree by combining the protein amino acid sequences of Unigene0007782 and Unigene0089358 of T. ramosissima with their respective 15 homologous gene species protein amino acid sequences. The results show that Unigene0007782 was closely related to Beta vulgaris subsp. vulgaris (Supplementary Figure S4), and Unigene0089358 was also closely related to Beta vulgaris subsp. vulgaris (Supplementary Figure S5).
3.6. Quantitative Real-Time PCR (qRT-PCR) Validation of Candidate Key Genes
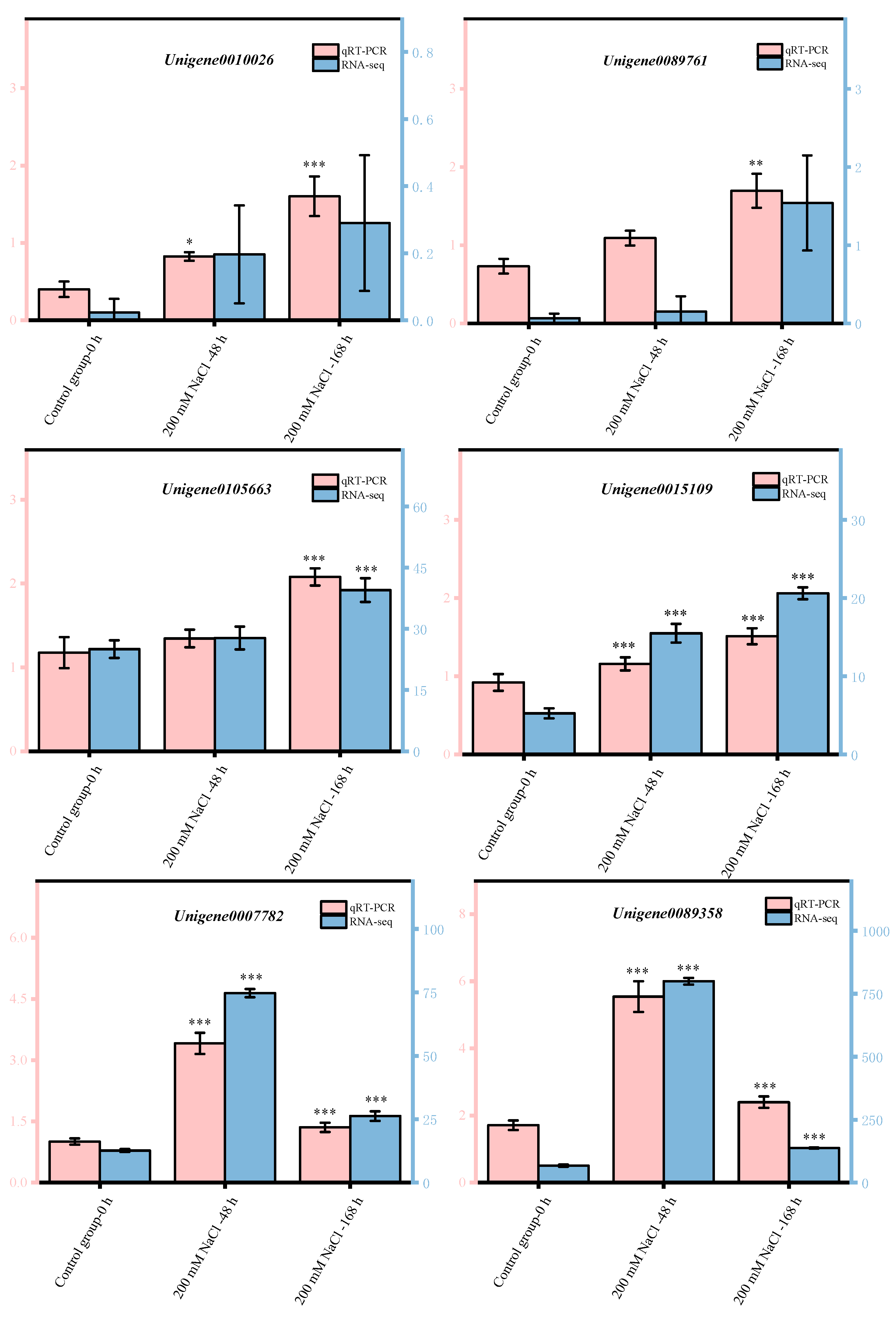
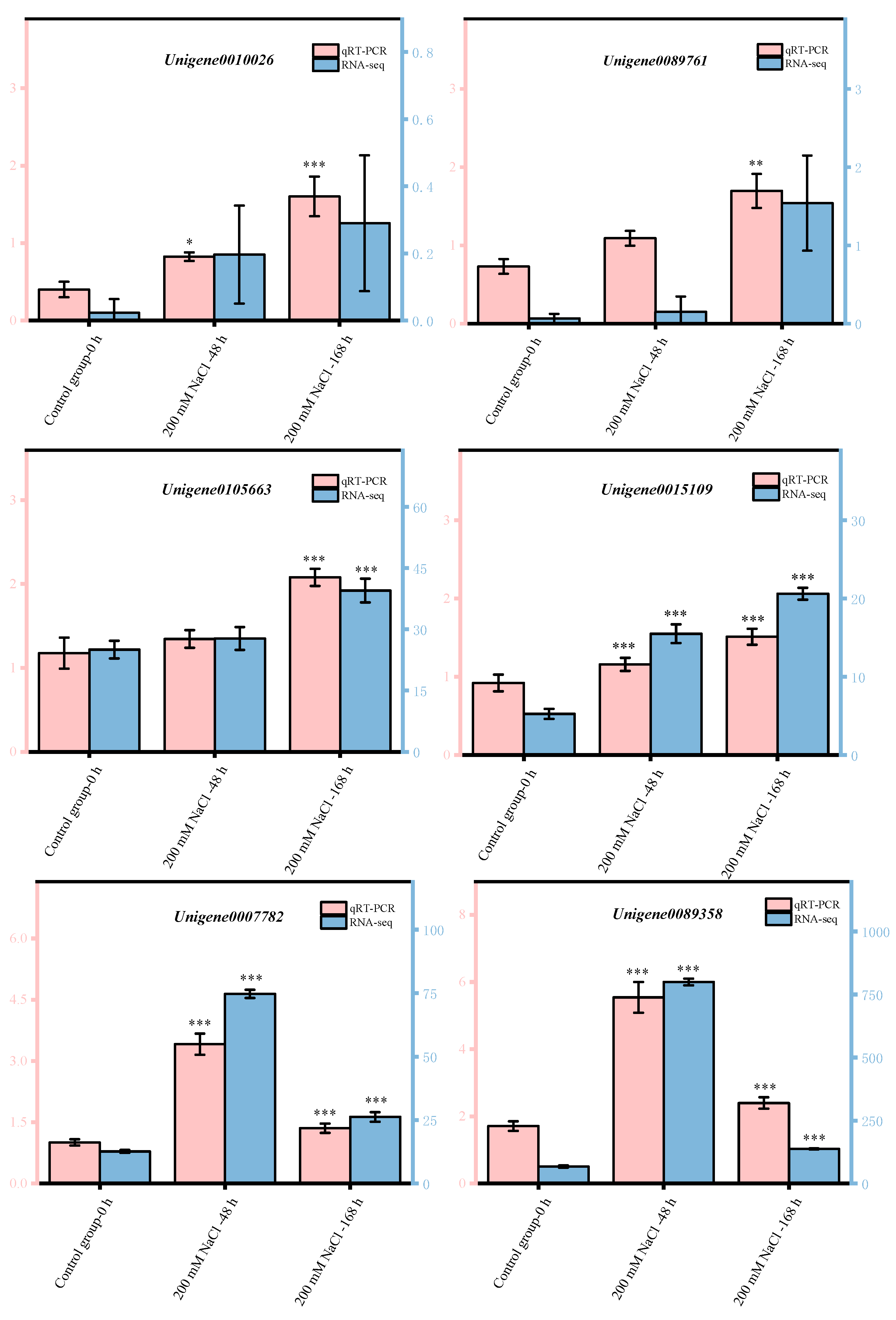
We selected nine candidate key genes obtained in this study for qRT-PCR validation. Notably, the qRT-PCR validation results in this study were in complete agreement with the expression trends of transcriptome sequencing analysis (Figure 5). Therefore, the transcriptome data obtained in this study are accurate. These findings can provide a scientific theoretical basis for mining candidate key genes for improving salt tolerance and alleviating NaCl stress injury in T. ramosissima.

Figure 5.
qRT-PCR validation of candidate key genes. (Nine candidate key genes were obtained based on antioxidant enzyme activity and gene expression in the flavonoid biosynthesis pathway. Note: p ≥ 0.05 is not marked; 0.01 < p < 0.05 is marked as *; 0.001 < p < 0.01 is marked as **; p ≤ 0.001 is marked as ***; red color: numerical value is shown on the left side of the Y axis; blue color: numerical value is shown on the right side of the Y axis).
4. Discussion
The effects of salt stress on plant growth and development [52] are well-documented. Excess salinity in soil can be characterized by the excessive accumulation of sodium chloride, which inhibits plants’ absorption of water and nutrients from the soil, ultimately leading to slow plant growth and eventual plant death [53,54]. When plants are subjected to salt stress, the integrity of the plants’ cell membranes will be destroyed, the ions will be unbalanced, and ROS will eventually be generated [55]. Excessive accumulation of ROS can lead to oxidative stress, which can damage biological macromolecules, biofilms, and other structures and even lead to cell death [43]. It is noteworthy that salt-induced oxidative stress has the greatest effect on the root tissue of plants [56,57].
H2O2 is the most common ROS molecule, and H2O2 can also act as a signal transduction molecule to activate plant defense responses [58]. MDA is a product of lipid peroxidation and accumulates when oxidative stress is particularly severe [59]. It is worth noting that lipid peroxidation is an indicator of oxidative damage caused by salt stress, and the MDA content marks the degree of damage to plant cell membranes [60,61]. In this study, the content of H2O2 and MDA in the roots of T. ramosissima increased under NaCl stress for 48 and 168 h. The results show that the roots of T. ramosissima were affected by NaCl, ROS accumulated, and the oxidative stress was intense, which might cause cell membrane damage.
Furthermore, halophytes have evolved an efficient ROS scavenging system [62,63]. In the antioxidant defense mechanism, SOD is able to catalyze O2− to H2O2, and CAT further converts this H2O2 into H2O and O2. POD is a key enzyme that scavenges H2O2 during oxidative stress in plants [57,64,65]. In addition, under salt stress, plants can use antioxidant enzymes such as SOD, POD, and CAT to scavenge the excessive accumulation of ROS, thereby reducing the damage to plants [66]. The upregulation of SOD, POD, and CAT activities and other related gene expression levels will promote the enhancement of enzyme activity, the ability to scavenge ROS, and ultimately improve the resistance of plants to abiotic stress [67]. In this study, the SOD, POD, and CAT activities in T. ramosissima roots increased with time under NaCl stress for 168 h, and in the Control group-0 h vs. 200 mM NaCl-168 h comparison group, the SOD activity and CAT activity-related genes were upregulated and mainly involved in related metabolic pathways to resist NaCl stress. However, the POD activity-related genes showed more downregulated genes than upregulated genes in the Control group-0 h vs. 200 mM NaCl-168 h comparison group, and more upregulated genes than downregulated genes in the Control group-0 h vs. 200 mM NaCl-48 h comparison group. The results show that the POD activity was actively involved in the relevant metabolic pathways to resist NaCl stress during 48 h of NaCl stress. However, the related genes in the POD activity were partially downregulated due to the prolonged NaCl stress. APX, GPX, and GR are important enzymes for scavenging intracellular ROS [68].
Meanwhile, APX is able to maintain the optimal level of H2O2 as a signaling molecule [69]. APX is considered to be one of the main factors in reducing free radicals such as H2O2, which can minimize plant damage caused by oxidative stress [70]. APX and GPX can also convert H2O2 to H2O and O2 [71]. Moreover, increased GR activity can maintain the ratio of GSH/GSH + GSSG at an optimal level, thereby improving plant tolerance to abiotic stress [57]. Compared to barley treated with 200 mM of salt, salt-tolerant barley showed less oxidative damage and higher antioxidant enzyme activities, such as SOD, APX, GPX, and GR [72]. In this study, the expression levels of APX activity, GPX activity, and GR activity-related genes were mainly upregulated in the roots of T. ramosissima under NaCl stress for 168 h. This indicates that APX, GPX, and GR were all involved in the plant response to NaCl stress, and their upregulation of related genes alleviated the damage caused by NaCl stress. The role of GST is detoxification and antioxidant defense. It can protect plants from different adversities [73]. Studies have shown that GST-active gene expression levels are sensitive to concentrations above 200 mM of NaCl but insensitive to concentrations below 100 mM of NaCl [74]. Under NaCl stress, the expression levels of GST activity-related genes in tobacco were upregulated, which improved the salt tolerance of tobacco [75]. Under NaCl stress, gene expression levels of antioxidant enzymes were mainly upregulated within 168 h in T. ramosissima. In particular, 14 genes in antioxidant enzyme activities were upregulated at 48 and 168 h under NaCl stress, which helped T. ramosissima to resist NaCl stress, and they participated in the related KEGG pathway under NaCl stress for 48 and 168 h and actively resisted NaCl stress. They play an important role in improving the salt tolerance of T. ramosissima. In this study, T. ramosissima resists salt poisoning by enhancing the antioxidant defense system, which is similar to the previous study [76,77,78].
Flavonoid biosynthesis and antioxidant pathways play important roles in plant defense during NaCl stress [79]. Flavonoids can eliminate ROS accumulation to improve plants’ tolerance to stress and alleviate the damage caused by unfavorable factors [80,81,82]. In addition, flavonoids are a kind of polyphenolic compound [83]. In many halophytes, increased salt tolerance is positively associated with increased phenolic compounds [84]. Phenolic compounds produced by plant metabolism also play a role in improving plant salt tolerance [85]. Phloretin, a dihydrochalcone flavonoid, exhibits potent antioxidant activity in scavenging and inhibiting lipid peroxidation [86]. Phloretin formation depends on the chalcone synthase family [87]. Chalcone synthase (CHS) is the key and first rate-limiting enzyme in the flavonoid biosynthesis pathway [88]. Studies have shown that the overexpression of EaCHS1 in Eupatorium adenophorum increases the downstream flavonoid production and expression of related genes in the phenylpropanoid pathway, and the elevated expression level of EaCHS1 increases the accumulation of flavonoids in plants and improves the tolerance of plants to salt stress [89]. The overexpression of AeCHS in Abelmoschus esculentus increases the downstream flavonoid production and expression of related genes in flavonoid biosynthesis pathways and enhances salt resistance during root development [90]. Unigene0089358 is a gene related to chalcone synthase. Its expression was upregulated in the comparison group of the Control group-0 h vs. 200 mM NaCl-48 h and the Control group-0 h vs. 200 mM NaCl-168 h, which has been in the upstream of phloretin and positively regulates the accumulation of phloretin. There is a significant positive correlation between Unigene0089358 and phloretin. Pinocembrin is a major flavonoid molecule and one of the major flavonoids [91]; it shows an antioxidant effect [92]. Studies have shown pinocembrin as a salinity stress reliever to reduce NaCl damage to okra plants [93]. Chalcone isomerase (CHI) is the second key rate-limiting enzyme in the flavonoid biosynthesis pathway [94]. It exists only in plants [95]. CHI-related genes in Millettia pinnata help yeast transformants reject the entry of salt ions, thereby enhancing salt tolerance [96]. CHI-related genes involved in flavonoid metabolite production were upregulated under NaCl treatment in the roots of Medicago sativa [97].
5. Conclusions
In conclusion, through the analysis of the physiology, transcriptome, and metabolites of T. ramosissima root under NaCl stress, our results suggest that enzymatic and nonenzymatic antioxidant defense systems can help scavenge ROS and maintain and enhance plant growth and development when plants are under NaCl stress. This study elucidates the changes in antioxidant enzyme activities in the roots of T. ramosissima under NaCl stress and unearths candidate key genes and metabolic pathways related to the antioxidant mechanism. It provides a scientific theoretical basis for studying the molecular mechanism and salt tolerance gene resources of Tamarix plants to alleviate salt poisoning and lays a foundation for breeding forest tree varieties on saline–alkali land.
Supplementary Materials
The following supporting information can be downloaded at: https://www.mdpi.com/article/10.3390/antiox11122362/s1, Supplementary Table S1: The sequences of specific primers. Supplementary Table S2: Differential metabolites in flavonoid biosynthesis pathway. Supplementary Table S3: Candidate key genes in the flavonoid biosynthesis pathway. Supplementary Table S4: Fifteen homologous species Information Sheet for Unigene0007782. Supplementary Table S5: Fifteen homologous species Information Sheet for Unigene0089358. Supplementary Figure S1: Statistical chart of the expression number of key genes of antioxidant enzymes in the roots of T. ramosissima under NaCl stress. Supplementary Figure S2: Expression levels of differentially expressed genes related to antioxidant enzyme activity. Supplementary Figure S3: The expression levels of candidate key genes in flavonoid biosynthesis pathway. Supplementary Figure S4: Phylogenetic tree analysis of T. ramosissima chalcone-flavonone isomerase and other species chalcone-flavonone isomerase. Supplementary Figure S5: Phylogenetic tree analysis of T. ramosissima chalcone synthase and other species chalcone synthase.
Author Contributions
Conceptualization, Y.C. and J.J.; methodology, Y.C.; software, Y.C. and S.Z.; validation, Y.C., S.D. and J.J.; formal analysis, Y.C. and S.Z.; investigation, Y.C.; resources, Y.C., H.L. and S.D.; data curation, Y.C.; writing—original draft preparation, Y.C.; writing—review and editing, Y.C. and J.J.; visualization, Y.C. and J.J.; supervision, G.W., J.Z. and J.J.; project administration, Y.C., J.Z. and J.J.; funding acquisition, Y.C., J.Z. and J.J. All authors have read and agreed to the published version of the manuscript.
Funding
This research was funded by Jiangsu Province Carbon Peak Carbon Neutral Science and Technology Innovation Project (BE2022420) and China Scholarship Council (202108320311).
Institutional Review Board Statement
Not applicable.
Informed Consent Statement
Not applicable.
Data Availability Statement
Not applicable.
Acknowledgments
This work was jointly supported by grants from the Jiangsu Provincial Water Conservancy Science and Technology Project “Jiangsu Province Carbon Peak Carbon Neutral Science and Technology Innovation Project” (BE2022420) and the China Scholarship Council (202108320311).
Conflicts of Interest
The authors declare no conflict of interest.
References
- Fan, C. Genetic mechanisms of salt stress responses in halophytes. Plant Signal. Behav. 2020, 15, 1704528. [Google Scholar] [CrossRef] [PubMed]
- Fu, J.; Liu, B. Enhanced yield performance of transgenic cry1C* rice in saline-alkaline soil. GM Crops Food 2020, 11, 97–112. [Google Scholar] [CrossRef]
- Kumar, A.; Mann, A.; Kumar, A.; Kumar, N.; Meena, B.L. Physiological response of diverse halophytes to high salinity through ionic accumulation and ROS scavenging. Int. J. Phytoremediat. 2021, 23, 1041–1051. [Google Scholar] [CrossRef] [PubMed]
- Kumar, S.; Li, G.; Yang, J.; Huang, X.; Ji, Q.; Liu, Z.; Ke, W.; Hou, H. Effect of Salt Stress on Growth, Physiological Parameters, and Ionic Concentration of Water Dropwort (Oenanthe javanica) Cultivars. Front. Plant Sci. 2021, 12, 660409. [Google Scholar] [CrossRef] [PubMed]
- Rahneshan, Z.; Nasibi, F.; Moghadam, A.A. Effects of salinity stress on some growth, physiological, biochemical parameters and nutrients in two pistachio (Pistacia vera L.) rootstocks. J. Plant Interact. 2018, 13, 73–82. [Google Scholar] [CrossRef]
- Zhao, S.; Zhang, Q.; Liu, M.; Zhou, H.; Ma, C.; Wang, P. Regulation of Plant Responses to Salt Stress. Int. J. Mol. Sci. 2021, 22, 4609. [Google Scholar] [CrossRef]
- Hasanuzzaman, M.; Raihan, M.; Masud, A.; Rahman, K.; Nowroz, F.; Rahman, M.; Nahar, K.; Fujita, M. Regulation of Reactive Oxygen Species and Antioxidant Defense in Plants under Salinity. Int. J. Mol. Sci. 2021, 22, 9326. [Google Scholar] [CrossRef]
- Yang, Y.; Guo, Y. Unraveling salt stress signaling in plants. J. Integr. Plant Biol. 2018, 60, 796–804. [Google Scholar] [CrossRef] [PubMed]
- Park, H.J.; Kim, W.Y.; Yun, D.J. A New Insight of Salt Stress Signaling in Plant. Mol. Cells 2016, 39, 447–459. [Google Scholar] [CrossRef]
- van Zelm, E.; Zhang, Y.; Testerink, C. Salt Tolerance Mechanisms of Plants. Annu. Rev. Plant Biol. 2020, 71, 403–433. [Google Scholar] [CrossRef]
- Sofy, M.R.; Aboseidah, A.A.; Heneidak, S.A.; Ahmed, H.R. ACC deaminase containing endophytic bacteria ameliorate salt stress in Pisum sativum through reduced oxidative damage and induction of antioxidative defense systems. Environ. Sci. Pollut. Res. Int. 2021, 28, 40971–40991. [Google Scholar] [CrossRef] [PubMed]
- Singh, A.; Kumar, A.; Yadav, S.; Singh, I.K. Reactive oxygen species-mediated signaling during abiotic stress. Plant Gene 2019, 18, 100173. [Google Scholar] [CrossRef]
- Shen, W.; Liu, D.; Zhang, H.; Zhu, W.; He, H.; Li, G.; Liu, J. Overexpression of β-cyanoalanine synthase of Prunus persica increases salt tolerance by modulating ROS metabolism and ion homeostasis. Environ. Exp. Bot. 2021, 186, 104431. [Google Scholar] [CrossRef]
- Duan, Q.; Zhu, Z.; Wang, B.; Chen, M. Recent Progress on the Salt Tolerance Mechanisms and Application of Tamarisk. Int. J. Mol. Sci. 2022, 23, 3325. [Google Scholar] [CrossRef] [PubMed]
- Nath, M.; Bhatt, D.; Bhatt, M.D.; Prasad, R.; Tuteja, N. Chapter 14-Microbe-Mediated Enhancement of Nitrogen and Phosphorus Content for Crop Improvement. Crop Improv. Through Microb. Biotechnol. 2018, 293–304. [Google Scholar] [CrossRef]
- Laxa, M.; Liebthal, M.; Telman, W.; Chibani, K.; Dietz, K. The Role of the Plant Antioxidant System in Drought Tolerance. Antioxidants 2019, 8, 94. [Google Scholar] [CrossRef]
- Hodaei, M.; Rahimmalek, M.; Arzani, A.; Talebi, M. The effect of water stress on phytochemical accumulation, bioactive compounds and expression of key genes involved in flavonoid biosynthesis in Chrysanthemum morifolium L. Ind. Crops Prod. 2018, 120, 295–304. [Google Scholar] [CrossRef]
- Zhu, Y.; Wang, Q.; Wang, Y.; Xu, Y.; Liu, Y. Combined Transcriptomic and Metabolomic Analysis Reveals the Role of Phenylpropanoid Biosynthesis Pathway in the Salt Tolerance Process of Sophora alopecuroides. Int. J. Mol. Sci. 2021, 22, 2399. [Google Scholar] [CrossRef]
- Hammami, H.; Saadatian, B.; Hossein Hosseini, S.A. Geographical variation in seed germination and biochemical response of milk thistle (Silybum marianum) ecotypes exposed to osmotic and salinity stresses. Ind. Crops Prod. 2020, 152, 112507. [Google Scholar] [CrossRef]
- Rajput, V.D.; Harish; Singh, R.K.; Verma, K.K.; Sharma, L.; Quiroz-Figueroa, F.R.; Meena, M.; Gour, V.S.; Minkina, T.; Sushkova, S.; et al. Recent Developments in Enzymatic Antioxidant Defence Mechanism in Plants with Special Reference to Abiotic Stress. Biology 2021, 10, 267. [Google Scholar] [CrossRef]
- Liu, W.; Feng, Y.; Yu, S.; Fan, Z.; Li, X.; Li, J.; Yin, H. The Flavonoid Biosynthesis Network in Plants. Int. J. Mol. Sci. 2021, 22, 12824. [Google Scholar] [CrossRef]
- Cavaiuolo, M.; Cocetta, G.; Ferrante, A. The Antioxidants Changes in Ornamental Flowers during Development and Senescence. Antioxidants 2013, 2, 132–155. [Google Scholar] [CrossRef] [PubMed]
- Pi, E.; Zhu, C.; Fan, W.; Huang, Y.; Qu, L.; Li, Y.; Zhao, Q.; Ding, F.; Qiu, L.; Wang, H.; et al. Quantitative Phosphoproteomic and Metabolomic Analyses Reveal GmMYB173 Optimizes Flavonoid Metabolism in Soybean under Salt Stress. Mol. Cell. Proteomics 2018, 17, 1209–1224. [Google Scholar] [CrossRef]
- Sasaki, N.; Nakayama, T. Achievements and perspectives in biochemistry concerning anthocyanin modification for blue flower coloration. Plant Cell Physiol. 2015, 56, 28–40. [Google Scholar] [CrossRef]
- Winkel-Shirley, B. Flavonoid biosynthesis. A colorful model for genetics, biochemistry, cell biology, and biotechnology. Plant Physiol. 2001, 126, 485–493. [Google Scholar] [CrossRef]
- Qin, X.; Yin, Y.; Zhao, J.; An, W.; Fan, Y.; Liang, X.; Cao, Y. Correction to: Metabolomic and transcriptomic analysis of Lycium chinese and L. ruthenicum under salinity stress. BMC Plant Biol. 2022, 22, 50. [Google Scholar] [CrossRef]
- Yang, X.; Zhu, X.; Wei, J.; Li, W.; Wang, H.; Xu, Y.; Yang, Z.; Xu, C.; Li, P. Primary root response to combined drought and heat stress is regulated via salicylic acid metabolism in maize. BMC Plant Biol. 2022, 22, 417. [Google Scholar] [CrossRef]
- Duan, W.; Lu, B.; Liu, L.; Meng, Y.; Ma, X.; Li, J.; Zhang, K.; Sun, H.; Zhang, Y.; Dong, H.; et al. Effects of Exogenous Melatonin on Root Physiology, Transcriptome and Metabolome of Cotton Seedlings under Salt Stress. Int. J. Mol. Sci. 2022, 23, 9456. [Google Scholar] [CrossRef]
- Kenrick, P.; Crane, P.R. The origin and early evolution of plants on land. Nature 1997, 389, 33–39. [Google Scholar] [CrossRef]
- Jbir, N.; Chaibi, W.; Ammar, S.; Jemmali, A.; Ayadi, A. Root growth and lignification of two wheat species differing in their sensitivity to NaCl, in response to salt stress. C R Acad. Sci. III 2001, 324, 863–868. [Google Scholar] [CrossRef] [PubMed]
- Ibrahim, W.; Ahmed, I.M.; Chen, X.; Wu, F. Genotype-dependent alleviation effects of exogenous GSH on salinity stress in cotton is related to improvement in chlorophyll content, photosynthetic performance, and leaf/root ultrastructure. Environ. Sci. Pollut. Res. Int. 2017, 24, 9417–9427. [Google Scholar] [CrossRef]
- Costa, J.H.; Jolivet, Y.; Hasenfratz-Sauder, M.P.; Orellano, E.G.; Da, G.S.L.M.; Dizengremel, P.; Fernandes, D.M.D. Alternative oxidase regulation in roots of Vigna unguiculata cultivars differing in drought/salt tolerance. J. Plant Physiol. 2007, 164, 718–727. [Google Scholar] [CrossRef] [PubMed]
- Su, T.; Li, X.; Yang, M.; Shao, Q.; Zhao, Y.; Ma, C.; Wang, P. Autophagy: An Intracellular Degradation Pathway Regulating Plant Survival and Stress Response. Front. Plant Sci. 2020, 11, 164. [Google Scholar] [CrossRef]
- Flowers, T.J.; Colmer, T.D. Salinity tolerance in halophytes. New Phytol. 2008, 179, 945–963. [Google Scholar] [CrossRef]
- Long, R.W.; D’Antonio, C.M.; Dudley, T.L.; Hultine, K.R. Variation in salinity tolerance and water use strategies in an introduced woody halophyte (Tamarix spp.). J. Ecol. 2021, 109, 3807–3817. [Google Scholar] [CrossRef]
- Bahramsoltani, R.; Kalkhorani, M.; Abbas, Z.S.; Farzaei, M.H.; Rahimi, R. The genus Tamarix: Traditional uses, phytochemistry, and pharmacology. J. Ethnopharmacol. 2020, 246, 112245. [Google Scholar] [CrossRef]
- Han, Z.; Yin, W.; Zhang, J.; Niu, S.; Ren, L. Active Anti-erosion Protection Strategy in Tamarisk (Tamarix aphylla). Sci. Rep. 2013, 3, 3429. [Google Scholar] [CrossRef]
- Mamat, Z.; Halik, U.; Aishan, T.; Aini, A. Ecological effect of the riparian ecosystem in the lower reaches of the Tarim River in northwest China. PLoS ONE 2019, 14, e0208462. [Google Scholar] [CrossRef]
- Zeng, Y.; Zhao, C.; Kundzewicz, Z.; Lv, G. Distribution pattern of Tugai forests species diversity and their relationship to environmental factors in an arid area of China. PLoS ONE 2020, 15, e0232907. [Google Scholar] [CrossRef] [PubMed]
- Bahramsoltani, R.; Farzaei, M.H.; Iranpanah, A.; Hajimahmoudi, M.; Pourjabar, Z.; Daglia, M.; Santarcangelo, C.; Rashidi, K.; Nabavi, S.M.; Rahimi, R. Phytochemical and toxicological evaluation of Tamarix stricta Boiss. Drug Chem. Toxicol. 2019, 45, 223–230. [Google Scholar] [CrossRef] [PubMed]
- Torshizi, M.R.; Miri, A.; Tundis, R.; Loizzo, M.R.; Menichini, F. Natural Products as α-Amylase and α-Glucosidase Inhibitors and their Hypoglycaemic Potential in the Treatment of Diabetes: An Update. Mini-Rev. Med. Chem. 2010, 10, 315–331. [Google Scholar] [CrossRef]
- Shahriari, A.; Dong, Z.; Davidson-Arnott, R. The effectiveness of a multi-row Tamarix windbreak in reducing aeolian erosion and sediment flux, Niatak area, Iran. J. Environ. Manag. 2020, 265, 110486. [Google Scholar] [CrossRef]
- Chen, Y.; Wang, G.; Zhang, H.; Zhang, N.; Jiang, J.; Song, Z. Transcriptome analysis of Tamarix ramosissima leaves in response to NaCl stress. PLoS ONE 2022, 17, e265653. [Google Scholar] [CrossRef]
- Eisenberg, G. Colorimetric Determination of Hydrogen Peroxide. Ind. Eng. Chem. Anal. Ed. 1943, 15, 327–328. [Google Scholar] [CrossRef]
- Davey, M.W.; Stals, E.; Panis, B.; Keulemans, J.; Swennen, R.L. High-throughput determination of malondialdehyde in plant tissues. Anal. Biochem. 2005, 347, 201–207. [Google Scholar] [CrossRef]
- Chen, Y.; Zhang, S.; Du, S.; Zhang, X.; Jiang, J.; Wang, G. Analysis of Amino Acids in the Roots of Tamarix ramosissima by Application of Exogenous Potassium (K+) under NaCl Stress. Int. J. Mol. Sci. 2022, 23, 9331. [Google Scholar] [CrossRef]
- Conesa, A.; Gotz, S.; Garcia-Gomez, J.M.; Terol, J.; Talon, M.; Robles, M. Blast2GO: A universal tool for annotation, visualization and analysis in functional genomics research. Bioinformatics 2005, 21, 3674–3676. [Google Scholar] [CrossRef]
- Ashburner, M.; Ball, C.A.; Blake, J.A.; Botstein, D.; Butler, H.; Cherry, J.M.; Davis, A.P.; Dolinski, K.; Dwight, S.S.; Eppig, J.T.; et al. Gene Ontology: Tool for the unification of biology. Nat. Genet. 2000, 25, 25–29. [Google Scholar] [CrossRef]
- Lu, X.; Zhao, X.; Bai, C.; Zhao, C.; Lu, G.; Xu, G. LC-MS-based metabonomics analysis. J. Chromatogr. B Anal. Technol. Biomed. Life Sci. 2008, 866, 64–76. [Google Scholar] [CrossRef]
- Chen, Y.; Zhang, S.; Du, S.; Jiang, J.; Wang, G. Transcriptome and Metabonomic Analysis of Tamarix ramosissima Potassium (K+) Channels and Transporters in Response to NaCl Stress. Genes 2022, 13, 1313. [Google Scholar] [CrossRef]
- Livak, K.J.; Schmittgen, T. Analysis of relative gene expression data using real-time quantitative PCR and the 2-DDCt method. Methods 2001, 25, 402–408. [Google Scholar] [CrossRef]
- Shahid, M.A.; Sarkhosh, A.; Khan, N.; Balal, R.M.; Ali, S.; Rossi, L.; Gómez, C.; Mattson, N.; Nasim, W.; Garcia-Sanchez, F. Insights into the Physiological and Biochemical Impacts of Salt Stress on Plant Growth and Development. Agronomy 2020, 10, 938. [Google Scholar] [CrossRef]
- Cakmak, I. The role of potassium in alleviating detrimental effects of abiotic stresses in plants. J. Plant Nutr. Soil Sci. 2005, 168, 521–530. [Google Scholar] [CrossRef]
- Chen, G.; Zheng, D.; Feng, N.; Zhou, H.; Mu, D.; Zhao, L.; Shen, X.; Rao, G.; Meng, F.; Huang, A. Physiological mechanisms of ABA-induced salinity tolerance in leaves and roots of rice. Sci. Rep. 2022, 12, 8228. [Google Scholar] [CrossRef]
- Ahmad, P.; Jaleel, C.A.; Salem, M.A.; Nabi, G.; Sharma, S. Roles of enzymatic and nonenzymatic antioxidants in plants during abiotic stress. Crit. Rev. Biotechnol. 2010, 30, 161–175. [Google Scholar] [CrossRef]
- Cheng, Y.W.; Kong, X.W.; Wang, N.; Wang, T.T.; Chen, J.; Shi, Z.Q. Thymol confers tolerance to salt stress by activating anti-oxidative defense and modulating Na+ homeostasis in rice root. Ecotoxicol. Environ. Saf. 2020, 188, 109894. [Google Scholar] [CrossRef]
- Hasanuzzaman, M.; Bhuyan, M.; Zulfiqar, F.; Raza, A.; Mohsin, S.M.; Mahmud, J.A.; Fujita, M.; Fotopoulos, V. Reactive Oxygen Species and Antioxidant Defense in Plants under Abiotic Stress: Revisiting the Crucial Role of a Universal Defense Regulator. Antioxidants 2020, 9, 681. [Google Scholar] [CrossRef]
- Foyer, C.H.; Noctor, G. Redox sensing and signalling associated with reactive oxygen in chloroplasts, peroxisomes and mitochondria. Physiol. Plantarum 2003, 119, 355–364. [Google Scholar] [CrossRef]
- Liang, W.; Ma, X.; Wan, P.; Liu, L. Plant salt-tolerance mechanism: A review. Biochem. Biophys. Res. Commun. 2018, 495, 286–291. [Google Scholar] [CrossRef]
- Sarker, U.; Oba, S. The Response of Salinity Stress-Induced A. tricolor to Growth, Anatomy, Physiology, Non-Enzymatic and Enzymatic Antioxidants. Front. Plant Sci. 2020, 11, 559876. [Google Scholar] [CrossRef]
- Gharibi, S.; Tabatabaei, B.E.; Saeidi, G.; Goli, S.A. Effect of Drought Stress on Total Phenolic, Lipid Peroxidation, and Antioxidant Activity of Achillea Species. Appl. Biochem. Biotechnol. 2016, 178, 796–809. [Google Scholar] [CrossRef] [PubMed]
- Wang, Y.; Wang, S.; Tian, Y.; Wang, Q.; Chen, S.; Li, H.; Ma, C.; Li, H. Functional Characterization of a Sugar Beet BvbHLH93 Transcription Factor in Salt Stress Tolerance. Int. J. Mol. Sci. 2021, 22, 3669. [Google Scholar] [CrossRef] [PubMed]
- Bose, J.; Rodrigo-Moreno, A.; Shabala, S. ROS homeostasis in halophytes in the context of salinity stress tolerance. J. Exp. Bot. 2014, 65, 1241–1257. [Google Scholar] [CrossRef] [PubMed]
- Del Río, L.A.; Corpas, F.J.; López-Huertas, E.; Palma, J.M. Plant Superoxide Dismutases: Function under Abiotic Stress Conditions; Springer International Publishing: Cham, Switzerland, 2018; pp. 1–26. [Google Scholar]
- Polash, M.A.S.; Sakil, M.A.; Hossain, M.A. Plants responses and their physiological and biochemical defense mechanisms against salinity: A review. Trop. Plant Res. 2019, 6, 250–274. [Google Scholar] [CrossRef]
- Stewart, R.R.; Bewley, J.D. Lipid peroxidation associated with accelerated aging of soybean axes. Plant Physiol. 1980, 65, 245–248. [Google Scholar] [CrossRef] [PubMed]
- Noctor, G.; Reichheld, J.; Foyer, C.H. ROS-related redox regulation and signaling in plants. Semin. Cell Dev. Biol. 2018, 80, 3–12. [Google Scholar] [CrossRef] [PubMed]
- Liu, Y.; Wei, L.; Feng, L.; Zhang, M.; Hu, D.; Tie, J.; Liao, W. Hydrogen Sulfide Promotes Adventitious Root Development in Cucumber under Salt Stress by Enhancing Antioxidant Ability. Plants 2022, 11, 935. [Google Scholar] [CrossRef] [PubMed]
- Shafi, A.; Chauhan, R.; Gill, T.; Swarnkar, M.K.; Sreenivasulu, Y.; Kumar, S.; Kumar, N.; Shankar, R.; Ahuja, P.S.; Singh, A.K. Expression of SOD and APX genes positively regulates secondary cell wall biosynthesis and promotes plant growth and yield in Arabidopsis under salt stress. Plant Mol. Biol. 2015, 87, 615–631. [Google Scholar] [CrossRef] [PubMed]
- Omidi, M.; Khandan-Mirkohi, A.; Kafi, M.; Zamani, Z.; Ajdanian, L.; Babaei, M. Biochemical and molecular responses of Rosa damascena mill. cv. Kashan to salicylic acid under salinity stress. BMC Plant Biol. 2022, 22, 373. [Google Scholar] [CrossRef]
- Islam, M.J.; Ryu, B.R.; Azad, M.; Rahman, M.H.; Rana, M.S.; Lim, J.D.; Lim, Y.S. Exogenous Putrescine Enhances Salt Tolerance and Ginsenosides Content in Korean Ginseng (Panax ginseng Meyer) Sprouts. Plants 2021, 10, 1313. [Google Scholar] [CrossRef] [PubMed]
- Ouertani, R.N.; Jardak, R.; Ben Chikha, M.; Ben Yaala, W.; Abid, G.; Karmous, C.; Hamdi, Z.; Mejri, S.; Jansen, R.K.; Ghorbel, A. Genotype-specific patterns of physiological and antioxidative responses in barley under salinity stress. Cereal Res. Commun. 2022, 50, 851–863. [Google Scholar] [CrossRef]
- Nianiou-Obeidat, I.; Madesis, P.; Kissoudis, C.; Voulgari, G.; Chronopoulou, E.; Tsaftaris, A.; Labrou, N.E. Plant glutathione transferase-mediated stress tolerance: Functions and biotechnological applications. Plant Cell Rep. 2017, 36, 791–805. [Google Scholar] [CrossRef] [PubMed]
- Hao, Y.; Xu, S.; Lyu, Z.; Wang, H.; Kong, L.; Sun, S. Comparative analysis of the Glutathione S-Transferase gene family of four triticeae species and transcriptome analysis of GST genes in common wheat responding to salt stress. Int. J. Genom. 2021, 6289174. [Google Scholar] [CrossRef]
- Jha, B.; Sharma, A.; Mishra, A. Expression of SbGSTU (tau class glutathione S-transferase) gene isolated from Salicornia brachiata in tobacco for salt tolerance. Mol. Biol. Rep. 2011, 38, 4823–4832. [Google Scholar] [CrossRef]
- Zhu, J. Genetic analysis of plant salt tolerance using Arabidopsis. Plant Physiol. 2000, 124, 941–948. [Google Scholar] [CrossRef]
- Ali, S.; Zeng, F.; Cai, S.; Qiu, B.; Zhang, G. The interaction of salinity and chromium in the influence of barley growth and oxidative stress. Plant Soil Environ. 2011, 57, 153–159. [Google Scholar] [CrossRef]
- Sun, J.K.; Li, T.; Xia, J.B.; Tian, J.Y.; Lu, Z.H.; Wang, R.T. Influence of salt stress on ecophysiological parameters of Periploca sepium bunge. Plant Soil Environ. 2011, 57, 139–144. [Google Scholar] [CrossRef]
- Bharti, P.; Mahajan, M.; Vishwakarma, A.K.; Bhardwaj, J.; Yadav, S.K. AtROS1 overexpression provides evidence for epigenetic regulation of genes encoding enzymes of flavonoid biosynthesis and antioxidant pathways during salt stress in transgenic tobacco. J. Exp. Bot. 2015, 66, 5959–5969. [Google Scholar] [CrossRef] [PubMed]
- Steyn, W.J.; Wand, S.; Holcroft, D.M.; Jacobs, G. Anthocyanins in vegetative tissues: A proposed unified function in photoprotection. New Phytol. 2002, 155, 349–361. [Google Scholar] [CrossRef]
- Li, S.; Wang, W.; Gao, J.; Yin, K.; Wang, R.; Wang, C.; Petersen, M.; Mundy, J.; Qiu, J.L. MYB75 Phosphorylation by MPK4 Is Required for Light-Induced Anthocyanin Accumulation in Arabidopsis. Plant Cell 2016, 28, 2866–2883. [Google Scholar] [CrossRef] [PubMed]
- Zhao, C.; Zhang, H.; Song, C.; Zhu, J.; Shabala, S. Mechanisms of Plant Responses and Adaptation to Soil Salinity. Innovation 2020, 1, 100017. [Google Scholar] [CrossRef]
- Mutha, R.E.; Tatiya, A.U.; Surana, S.J. Flavonoids as natural phenolic compounds and their role in therapeutics: An overview. Future J. Pharm. Sci. 2021, 7, 25. [Google Scholar] [CrossRef]
- Linic, I.; Mlinaric, S.; Brkljacic, L.; Pavlovic, I.; Smolko, A.; Salopek-Sondi, B. Ferulic Acid and Salicylic Acid Foliar Treatments Reduce Short-Term Salt Stress in Chinese Cabbage by Increasing Phenolic Compounds Accumulation and Photosynthetic Performance. Plants 2021, 10, 2346. [Google Scholar] [CrossRef]
- Samec, D.; Karalija, E.; Sola, I.; Vujcic, B.V.; Salopek-Sondi, B. The Role of Polyphenols in Abiotic Stress Response: The Influence of Molecular Structure. Plants 2021, 10, 118. [Google Scholar] [CrossRef] [PubMed]
- Rezk, B.M.; Haenen, G.R.; van der Vijgh, W.J.; Bast, A. The antioxidant activity of phloretin: The disclosure of a new antioxidant pharmacophore in flavonoids. Biochem. Biophys. Res. Commun. 2002, 295, 9–13. [Google Scholar] [CrossRef] [PubMed]
- Yahyaa, M.; Ali, S.; Davidovich-Rikanati, R.; Ibdah, M.; Shachtier, A.; Eyal, Y.; Lewinsohn, E.; Ibdah, M. Characterization of three chalcone synthase-like genes from apple (Malus × domestica Borkh.). Phytochemistry 2017, 140, 125–133. [Google Scholar] [CrossRef]
- Yin, Y.; Hou, J.; Tian, S.; Yang, L.; Zhang, Z.; Li, W.; Liu, Y. Overexpressing chalcone synthase (CHS) gene enhanced flavonoids accumulation in Glycyrrhiza uralensis hairy roots. Bot. Lett. 2020, 167, 219–231. [Google Scholar] [CrossRef]
- Lijuan, C.; Huiming, G.; Yi, L.; Hongmei, C. Chalcone synthase EaCHS1 from Eupatorium adenophorum functions in salt stress tolerance in tobacco. Plant Cell Rep. 2015, 34, 885–894. [Google Scholar] [CrossRef] [PubMed]
- Wang, F.; Ren, G.; Li, F.; Qi, S.; Xu, Y.; Wang, B.; Yang, Y.; Ye, Y.; Zhou, Q.; Chen, X. A chalcone synthase gene AeCHS from Abelmoschus esculentus regulates flavonoid accumulation and abiotic stress tolerance in transgenic Arabidopsis. Acta Physiol. Plant. 2018, 40, 97. [Google Scholar] [CrossRef]
- Rasul, A.; Millimouno, F.M.; Ali, E.W.; Ali, M.; Li, J.; Li, X. Pinocembrin: A novel natural compound with versatile pharmacological and biological activities. BioMed Res. Int. 2013, 2013, 379850. [Google Scholar] [CrossRef]
- Estevinho, L.; Pereira, A.P.; Moreira, L.; Dias, L.G.; Pereira, E. Antioxidant and antimicrobial effects of phenolic compounds extracts of Northeast Portugal honey. Food Chem. Toxicol. 2008, 46, 3774–3779. [Google Scholar] [CrossRef] [PubMed]
- Bibi, N.; Jan, G.; Jan, F.G.; Hamayun, M.; Iqbal, A.; Hussain, A.; Rehman, H.; Tawab, A.; Khushdil, F. Cochliobolus sp. acts as a biochemical modulator to alleviate salinity stress in okra plants. Plant Physiol. Biochem. 2019, 139, 459–469. [Google Scholar] [CrossRef] [PubMed]
- Yin, Y.C.; Zhang, X.D.; Gao, Z.Q.; Hu, T.; Liu, Y. The Research Progress of Chalcone Isomerase (CHI) in Plants. Mol. Biotechnol. 2019, 61, 32–52. [Google Scholar] [CrossRef] [PubMed]
- Yoshikawa, K.; Tanaka, T.; Furusawa, C.; Nagahisa, K.; Hirasawa, T.; Shimizu, H. Comprehensive phenotypic analysis for identification of genes affecting growth under ethanol stress in Saccharomyces cerevisiae. FEMS Yeast Res. 2009, 9, 32–44. [Google Scholar] [CrossRef]
- Wang, H.; Hu, T.; Huang, J.; Lu, X.; Huang, B.; Zheng, Y. The expression of Millettia pinnata chalcone isomerase in Saccharomyces cerevisiae salt-sensitive mutants enhances salt-tolerance. Int. J. Mol. Sci. 2013, 14, 8775–8786. [Google Scholar] [CrossRef] [PubMed]
- Xiong, J.; Sun, Y.; Yang, Q.; Tian, H.; Zhang, H.; Liu, Y.; Chen, M. Proteomic analysis of early salt stress responsive proteins in alfalfa roots and shoots. Proteome Sci. 2017, 15, 19. [Google Scholar] [CrossRef] [PubMed]
Publisher’s Note: MDPI stays neutral with regard to jurisdictional claims in published maps and institutional affiliations. |
© 2022 by the authors. Licensee MDPI, Basel, Switzerland. This article is an open access article distributed under the terms and conditions of the Creative Commons Attribution (CC BY) license (https://creativecommons.org/licenses/by/4.0/).