Screen Media Use Affects Subcortical Structures, Resting-State Functional Connectivity, and Mental Health Problems in Early Adolescence
Abstract
:1. Introduction
2. Materials and Methods
2.1. Participants
2.2. Measures
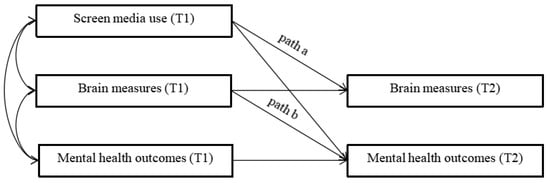
2.3. Statistical Analyses
3. Results
3.1. Descriptive Statistics
3.2. Associations between Screen Media Use and Mental Health Outcomes
3.3. Associations between Screen Media Use and Brain Measures
3.4. Mediation Analyses
4. Discussion
5. Conclusions
Author Contributions
Funding
Institutional Review Board Statement
Informed Consent Statement
Data Availability Statement
Conflicts of Interest
References
- Bergmann, C.; Dimitrova, N.; Alaslani, K.; Almohammadi, A.; Alroqi, H.; Aussems, S.; Barokova, M.; Davies, C.; Gonzalez-Gomez, N.; Gibson, S.P.; et al. Young Children’s Screen Time during the First COVID-19 Lockdown in 12 Countries. Sci. Rep. 2022, 12, 2015. [Google Scholar] [CrossRef]
- Goode, J.A.; Fomby, P.; Mollborn, S.; Limburg, A. Children’s Technology Time in Two US Cohorts. Child. Ind. Res. 2020, 13, 1107–1132. [Google Scholar] [CrossRef]
- Nagata, J.M.; Cortez, C.A.; Cattle, C.J.; Ganson, K.T.; Iyer, P.; Bibbins-Domingo, K.; Baker, F.C. Screen Time Use Among US Adolescents During the COVID-19 Pandemic: Findings from the Adolescent Brain Cognitive Development (ABCD) Study. JAMA Pediatr. 2022, 176, 94. [Google Scholar] [CrossRef]
- Oswald, T.K.; Rumbold, A.R.; Kedzior, S.G.E.; Moore, V.M. Psychological Impacts of “Screen Time” and “Green Time” for Children and Adolescents: A Systematic Scoping Review. PLoS ONE 2020, 15, e0237725. [Google Scholar] [CrossRef]
- Pandya, A.; Lodha, P. Social Connectedness, Excessive Screen Time During COVID-19 and Mental Health: A Review of Current Evidence. Front. Hum. Dyn. 2021, 3, 684137. [Google Scholar] [CrossRef]
- Small, G.W.; Lee, J.; Kaufman, A.; Jalil, J.; Siddarth, P.; Gaddipati, H.; Moody, T.D.; Bookheimer, S.Y. Brain Health Consequences of Digital Technology Use. Dialogues Clin. Neurosci. 2020, 22, 179–187. [Google Scholar] [CrossRef]
- Babic, M.J.; Smith, J.J.; Morgan, P.J.; Eather, N.; Plotnikoff, R.C.; Lubans, D.R. Longitudinal Associations between Changes in Screen-Time and Mental Health Outcomes in Adolescents. Ment. Health Phys. Act. 2017, 12, 124–131. [Google Scholar] [CrossRef]
- Twenge, J.M.; Joiner, T.E.; Rogers, M.L.; Martin, G.N. Increases in Depressive Symptoms, Suicide-Related Outcomes, and Suicide Rates Among U.S. Adolescents After 2010 and Links to Increased New Media Screen Time. Clin. Psychol. Sci. 2018, 6, 3–17. [Google Scholar] [CrossRef]
- Boers, E.; Afzali, M.H.; Conrod, P. Temporal Associations of Screen Time and Anxiety Symptoms Among Adolescents. Can. J. Psychiatry 2020, 65, 206–208. [Google Scholar] [CrossRef]
- Tang, S.; Werner-Seidler, A.; Torok, M.; Mackinnon, A.J.; Christensen, H. The Relationship between Screen Time and Mental Health in Young People: A Systematic Review of Longitudinal Studies. Clin. Psychol. Rev. 2021, 86, 102021. [Google Scholar] [CrossRef]
- Ferguson, C.J.; Kaye, L.K.; Branley-Bell, D.; Markey, P.; Ivory, J.D.; Klisanin, D.; Elson, M.; Smyth, M.; Hogg, J.L.; McDonnell, D.; et al. Like This Meta-Analysis: Screen Media and Mental Health. Prof. Psychol. Res. Pract. 2022, 53, 205–214. [Google Scholar] [CrossRef]
- Twenge, J.M.; Farley, E. Not All Screen Time Is Created Equal: Associations with Mental Health Vary by Activity and Gender. Soc. Psychiatry Psychiatr. Epidemiol. 2021, 56, 207–217. [Google Scholar] [CrossRef] [PubMed]
- Blakemore, S.-J.; Mills, K.L. Is Adolescence a Sensitive Period for Sociocultural Processing? Annu. Rev. Psychol. 2014, 65, 187–207. [Google Scholar] [CrossRef] [PubMed]
- Crone, E.A.; Konijn, E.A. Media Use and Brain Development during Adolescence. Nat. Commun. 2018, 9, 588. [Google Scholar] [CrossRef] [PubMed]
- Quaglieri, A.; Biondi, S.; Roma, P.; Varchetta, M.; Fraschetti, A.; Burrai, J.; Lausi, G.; Martí-Vilar, M.; González-Sala, F.; Di Domenico, A.; et al. From Emotional (Dys)Regulation to Internet Addiction: A Mediation Model of Problematic Social Media Use among Italian Young Adults. JCM 2021, 11, 188. [Google Scholar] [CrossRef]
- Ahmed, S.P.; Bittencourt-Hewitt, A.; Sebastian, C.L. Neurocognitive Bases of Emotion Regulation Development in Adolescence. Dev. Cogn. Neurosci. 2015, 15, 11–25. [Google Scholar] [CrossRef]
- McLaughlin, K.A.; Hatzenbuehler, M.L.; Mennin, D.S.; Nolen-Hoeksema, S. Emotion Dysregulation and Adolescent Psychopathology: A Prospective Study. Behav. Res. Ther. 2011, 49, 544–554. [Google Scholar] [CrossRef]
- He, Q.; Turel, O.; Brevers, D.; Bechara, A. Excess Social Media Use in Normal Populations Is Associated with Amygdala-Striatal but Not with Prefrontal Morphology. Psychiatry Res. Neuroimaging 2017, 269, 31–35. [Google Scholar] [CrossRef]
- Takeuchi, H.; Taki, Y.; Hashizume, H.; Asano, K.; Asano, M.; Sassa, Y.; Yokota, S.; Kotozaki, Y.; Nouchi, R.; Kawashima, R. Impact of Videogame Play on the Brain’s Microstructural Properties: Cross-Sectional and Longitudinal Analyses. Mol. Psychiatry 2016, 21, 1781–1789. [Google Scholar] [CrossRef] [PubMed]
- Paulus, M.P.; Squeglia, L.M.; Bagot, K.; Jacobus, J.; Kuplicki, R.; Breslin, F.J.; Bodurka, J.; Morris, A.S.; Thompson, W.K.; Bartsch, H.; et al. Screen Media Activity and Brain Structure in Youth: Evidence for Diverse Structural Correlation Networks from the ABCD Study. NeuroImage 2019, 185, 140–153. [Google Scholar] [CrossRef]
- Zhao, Y.; Paulus, M.; Bagot, K.S.; Constable, R.T.; Yaggi, H.K.; Redeker, N.S.; Potenza, M.N. Brain Structural Covariation Linked to Screen Media Activity and Externalizing Behaviors in Children. JBA 2022, 11, 417–426. [Google Scholar] [CrossRef]
- Chahal, R.; Gotlib, I.H.; Guyer, A.E. Research Review: Brain Network Connectivity and the Heterogeneity of Depression in Adolescence—A Precision Mental Health Perspective. J. Child. Psychol. Psychiatr. 2020, 61, 1282–1298. [Google Scholar] [CrossRef] [PubMed]
- Scheuer, H.; Alarcón, G.; Demeter, D.V.; Earl, E.; Fair, D.A.; Nagel, B.J. Reduced Fronto-Amygdalar Connectivity in Adolescence Is Associated with Increased Depression Symptoms over Time. Psychiatry Res. Neuroimaging 2017, 266, 35–41. [Google Scholar] [CrossRef]
- Casey, B.J.; Cannonier, T.; Conley, M.I.; Cohen, A.O.; Barch, D.M.; Heitzeg, M.M.; Soules, M.E.; Teslovich, T.; Dellarco, D.V.; Garavan, H.; et al. The Adolescent Brain Cognitive Development (ABCD) Study: Imaging Acquisition across 21 Sites. Dev. Cogn. Neurosci. 2018, 32, 43–54. [Google Scholar] [CrossRef]
- Hagler, D.J.; Hatton, S.; Cornejo, M.D.; Makowski, C.; Fair, D.A.; Dick, A.S.; Sutherland, M.T.; Casey, B.J.; Barch, D.M.; Harms, M.P.; et al. Image Processing and Analysis Methods for the Adolescent Brain Cognitive Development Study. NeuroImage 2019, 202, 116091. [Google Scholar] [CrossRef] [PubMed]
- Gordon, E.M.; Laumann, T.O.; Adeyemo, B.; Huckins, J.F.; Kelley, W.M.; Petersen, S.E. Generation and Evaluation of a Cortical Area Parcellation from Resting-State Correlations. Cereb. Cortex 2016, 26, 288–303. [Google Scholar] [CrossRef]
- Achenbach, T.M.; Ruffle, T.M. The Child Behavior Checklist and Related Forms for Assessing Behavioral/Emotional Problems and Competencies. Pediatr. Rev. 2000, 21, 265–271. [Google Scholar] [CrossRef]
- Bates, D.; Mächler, M.; Bolker, B.; Walker, S. Fitting Linear Mixed-Effects Models Using Lme4. J. Stat. Soft. 2015, 67, 1–48. [Google Scholar] [CrossRef]
- Cole, D.A.; Maxwell, S.E. Testing Mediational Models with Longitudinal Data: Questions and Tips in the Use of Structural Equation Modeling. J. Abnorm. Psychol. 2003, 112, 558–577. [Google Scholar] [CrossRef]
- Eirich, R.; McArthur, B.A.; Anhorn, C.; McGuinness, C.; Christakis, D.A.; Madigan, S. Association of Screen Time With Internalizing and Externalizing Behavior Problems in Children 12 Years or Younger: A Systematic Review and Meta-Analysis. JAMA Psychiatry 2022, 79, 393. [Google Scholar] [CrossRef]
- McAllister, C.; Hisler, G.C.; Blake, A.B.; Twenge, J.M.; Farley, E.; Hamilton, J.L. Associations Between Adolescent Depression and Self-Harm Behaviors and Screen Media Use in a Nationally Representative Time-Diary Study. Res. Child. Adolesc. Psychopathol. 2021, 49, 1623–1634. [Google Scholar] [CrossRef] [PubMed]
- Zink, J.; Belcher, B.R.; Imm, K.; Leventhal, A.M. The Relationship between Screen-Based Sedentary Behaviors and Symptoms of Depression and Anxiety in Youth: A Systematic Review of Moderating Variables. BMC Public. Health 2020, 20, 472. [Google Scholar] [CrossRef] [PubMed]
- Hidalgo-Fuentes, S.; Martí-Vilar, M.; Ruiz-Ordoñez, Y. Problematic Internet Use and Resilience: A Systematic Review and Meta-Analysis. Nurs. Rep. 2023, 13, 337–350. [Google Scholar] [CrossRef] [PubMed]
- Dienlin, T.; Johannes, N. The Impact of Digital Technology Use on Adolescent Well-Being. Dialogues Clin. Neurosci. 2020, 22, 135–142. [Google Scholar] [CrossRef]
- Loton, D.; Borkoles, E.; Lubman, D.; Polman, R. Video Game Addiction, Engagement and Symptoms of Stress, Depression and Anxiety: The Mediating Role of Coping. Int. J. Ment. Health Addict. 2016, 14, 565–578. [Google Scholar] [CrossRef]
- Milani, L.; La Torre, G.; Fiore, M.; Grumi, S.; Gentile, D.A.; Ferrante, M.; Miccoli, S.; Di Blasio, P. Internet Gaming Addiction in Adolescence: Risk Factors and Maladjustment Correlates. Int. J. Ment. Health Addict. 2018, 16, 888–904. [Google Scholar] [CrossRef]
- Rubin, D.H.; Crehan, E.T.; Althoff, R.R.; Rettew, D.C.; Krist, E.; Harder, V.; Walkup, J.T.; Hudziak, J.J. Temperamental Characteristics of Withdrawn Behavior Problems in Children. Child. Psychiatry Hum. Dev. 2017, 48, 478–484. [Google Scholar] [CrossRef] [PubMed]
- Hanafi, E.; Siste, K.; Wiguna, T.; Kusumadewi, I.; Nasrun, M.W. Temperament Profile and Its Association with the Vulnerability to Smartphone Addiction of Medical Students in Indonesia. PLoS ONE 2019, 14, e0212244. [Google Scholar] [CrossRef] [PubMed]
- Pettorruso, M.; Valle, S.; Cavic, E.; Martinotti, G.; Di Giannantonio, M.; Grant, J.E. Problematic Internet Use (PIU), Personality Profiles and Emotion Dysregulation in a Cohort of Young Adults: Trajectories from Risky Behaviors to Addiction. Psychiatry Res. 2020, 289, 113036. [Google Scholar] [CrossRef]
- Blasi, M.D.; Giardina, A.; Giordano, C.; Coco, G.L.; Tosto, C.; Billieux, J.; Schimmenti, A. Problematic Video Game Use as an Emotional Coping Strategy: Evidence from a Sample of MMORPG Gamers. J. Behav. Addict. 2019, 8, 25–34. [Google Scholar] [CrossRef] [PubMed]
- Pynta, P.; Seixas, S.A.S.; Nield, G.E.; Hier, J.; Millward, E.; Silberstein, R.B. The Power of Social Television: Can Social Media Build Viewer Engagement?: A New Approach to Brain Imaging of Viewer Immersion. JAR 2014, 54, 71–80. [Google Scholar] [CrossRef]
- Cramer, S.C.; Sur, M.; Dobkin, B.H.; O’Brien, C.; Sanger, T.D.; Trojanowski, J.Q.; Rumsey, J.M.; Hicks, R.; Cameron, J.; Chen, D.; et al. Harnessing Neuroplasticity for Clinical Applications. Brain 2011, 134, 1591–1609. [Google Scholar] [CrossRef] [PubMed]
- Korte, M. The Impact of the Digital Revolution on Human Brain and Behavior: Where Do We Stand? Dialogues Clin. Neurosci. 2020, 22, 101–111. [Google Scholar] [CrossRef] [PubMed]
- Gindrat, A.-D.; Chytiris, M.; Balerna, M.; Rouiller, E.M.; Ghosh, A. Use-Dependent Cortical Processing from Fingertips in Touchscreen Phone Users. Curr. Biol. 2015, 25, 109–116. [Google Scholar] [CrossRef]
- Kanai, R.; Bahrami, B.; Roylance, R.; Rees, G. Online Social Network Size Is Reflected in Human Brain Structure. Proc. R. Soc. B. 2012, 279, 1327–1334. [Google Scholar] [CrossRef] [PubMed]
- Appelbaum, L.G.; Shenasa, M.A.; Stolz, L.; Daskalakis, Z. Synaptic Plasticity and Mental Health: Methods, Challenges and Opportunities. Neuropsychopharmacology 2023, 48, 113–120. [Google Scholar] [CrossRef]
- Mari, E.; Biondi, S.; Varchetta, M.; Cricenti, C.; Fraschetti, A.; Pizzo, A.; Barchielli, B.; Roma, P.; Vilar, M.M.; Sala, F.G.; et al. Gender Differences in Internet Addiction: A Study on Variables Related to Its Possible Development. Comput. Human. Behav. Rep. 2023, 9, 100247. [Google Scholar] [CrossRef]
- Ford, E.; Curlewis, K.; Wongkoblap, A.; Curcin, V. Public Opinions on Using Social Media Content to Identify Users with Depression and Target Mental Health Care Advertising: Mixed Methods Survey. JMIR Ment. Health 2019, 6, e12942. [Google Scholar] [CrossRef] [PubMed]
- Funder, D.C.; Ozer, D.J. Evaluating Effect Size in Psychological Research: Sense and Nonsense. Adv. Methods Pract. Psychol. Sci. 2019, 2, 156–168. [Google Scholar] [CrossRef]


| Characteristics | Original Sample | Final Sample |
|---|---|---|
| N or Mean ± SD | ||
| N Total (n Male) | 11876 (6192) | 4619 (2396) |
| Age, Years | 9.48 ± 0.51 | 9.50 ± 0.51 |
| Race/ethnicity | ||
| White | 6208 (52.3%) | 2773 (60.0%) |
| Black | 1796 (15.1%) | 464 (10.0%) |
| Hispanic | 2411 (20.3%) | 857 (18.6%) |
| Asian | 228 (1.9%) | 65 (1.4%) |
| Other | 1233 (10.4%) | 460 (10.0%) |
| Family income (past 12 months) | ||
| Less than $50,000 | 3223 (27.1%) | 1198 (25.9%) |
| USD 50,000 through USD 99,999 | 3071 (25.8%) | 1415 (30.6%) |
| USD 100,000 through USD 199,999 | 3314 (27.9%) | 1490 (32.3%) |
| USD 200,000 and greater | 1250 (10.5%) | 516 (11.2%) |
| Screen media use (hours) | ||
| Passive media | 2.41 ± 1.8 | 2.26 ± 1.7 |
| Video game | 1.08 ± 1.1 | 1.00 ± 1.1 |
| Social media | 0.56 ± 1.2 | 0.47 ± 1.0 |
| Total screen time | 4.03 ± 3.2 | 3.72 ± 2.9 |
| Variable | 1 | 2 | 3 | 4 | 5 | 6 | 7 | 8 | Mean | SD |
|---|---|---|---|---|---|---|---|---|---|---|
| Screen media use | ||||||||||
| 1. Passive media, T1 | — | 2.26 | 1.71 | |||||||
| 2. Passive media, T2 | .38 * | — | 3.39 | 3.26 | ||||||
| 3. Video game, T1 | .46 * | .26 * | — | 1.00 | 1.06 | |||||
| 4. Video game, T2 | .28 * | .54 * | .39 * | — | 2.05 | 2.91 | ||||
| 5. Social media, T1 | .33 * | .20 * | .24 * | .13 * | — | 0.47 | 0.99 | |||
| 6. Social media, T2 | .20 * | .48 * | .09 * | .33 * | .32 * | — | 1.74 | 3.72 | ||
| 7. Total screen time, T1 | .88 * | .39 * | .72 * | .35 * | .63 * | .26 * | — | 3.72 | 2.88 | |
| 8. Total screen time, T2 | .36 * | .84 * | .29 * | .75 * | .28 * | .79 * | .42 * | — | 7.17 | 7.86 |
| Mental health outcomes | ||||||||||
| 9. Anxiety/depression, T1 | .01 | .01 | .02 | .00 | .00 | −.01 | .01 | .00 | 2.46 | 2.96 |
| 10. Anxiety/depression, T2 | −.02 | .02 | −.02 | −.03 | .00 | .00 | −.02 | .00 | 2.31 | 2.93 |
| 11. Withdrawn, T1 | .04 | .06 * | .05 | .07 * | −.01 | .01 | .04 | .05 * | 0.94 | 1.56 |
| 12. Withdrawn, T2 | .04 | .08 * | .06 * | .04 | .01 | .03 | .05 | .06 * | 1.17 | 1.87 |
| 13. Somatic, T1 | .07 * | .08 * | .01 | .01 | .02 | .05 | .05 * | .06 * | 1.47 | 1.88 |
| 14. Somatic, T2 | .06 * | .08 * | .02 | .02 | .03 | .04 | .05 * | .06 * | 1.38 | 1.87 |
| 15. Social, T1 | .11 * | .12 * | .06 * | .09 * | .05 * | .05 * | .10 * | .11 * | 1.43 | 2.07 |
| 16. Social, T2 | .08 * | .11 * | .06 * | .07 * | .05 * | .04 | .08 * | .09 * | 1.21 | 1.96 |
| 17. Thought, T1 | .06 * | .07 * | .08 * | .06 * | .02 | .01 | .07 * | .05 * | 1.53 | 2.02 |
| 18. Thought, T2 | .06 * | .08 * | .07 * | .05 | .02 | .02 | .07 * | .06 * | 1.38 | 1.99 |
| 19. Attention, T1 | .12 * | .11 * | .13 * | .14 * | .05 | .01 | .13 * | .10 * | 2.74 | 3.28 |
| 20. Attention, T2 | .11 * | .12 * | .13 * | .15 * | .04 | .04 | .13 * | .12 * | 2.55 | 3.19 |
| 21. Rule breaking, T1 | .14 * | .14 * | .11 * | .15 * | .12 * | .09 * | .17 * | .16 * | 1.07 | 1.72 |
| 22. Rule breaking, T2 | .13 * | .15 * | .11 * | .14 * | .10 * | .11 * | .16 * | .16 * | 0.99 | 1.76 |
| 23. Aggressive, T1 | .10 * | .10 * | .08 * | .10 * | .06 * | .05 | .11 * | .10 * | 3.01 | 4.10 |
| 24. Aggressive, T2 | .09 * | .11 * | .07 * | .10 * | .06 * | .08 * | .10 * | .12 * | 2.73 | 3.82 |
| 25. Internalizing, T1 | .05 | .05 * | .03 | .03 | .00 | .02 | .04 | .04 | 4.87 | 5.23 |
| 26. Internalizing, T2 | .02 | .06 * | .02 | .01 | .01 | .02 | .03 | .04 | 4.86 | 5.50 |
| 27. Externalizing, T1 | .12 * | .12 * | .10 * | .12 * | .08 * | .06 * | .13 * | .12 * | 4.08 | 5.49 |
| 28. Externalizing, T2 | .11 * | .13 * | .09 * | .12 * | .08 * | .09 * | .12 * | .14 * | 3.72 | 5.25 |
| Passive Media | Video Game | Social Media | Total Screen Time | |||||||||
|---|---|---|---|---|---|---|---|---|---|---|---|---|
| b | p | pFDR | b | p | pFDR | b | p | pFDR | b | p | pFDR | |
| Mental health outcomes | ||||||||||||
| Anxiety/depression | −.021 | .080 | .226 | −.013 | .286 | .477 | −.001 | .951 | .951 | −.018 | .143 | .239 |
| Withdrawn/depression | .009 | .477 | .530 | .041 | .002 | .021 * | .002 | .874 | .951 | .021 | .111 | .223 |
| Somatic | .011 | .374 | .530 | .012 | .379 | .486 | .010 | .410 | .683 | .015 | .253 | .316 |
| Social | .009 | .440 | .530 | .015 | .226 | .452 | .016 | .187 | .622 | .017 | .172 | .245 |
| Thought | .019 | .113 | .226 | .028 | .026 | .086 | .011 | .335 | .671 | .026 | .035 | .118 |
| Attention | .023 | .031 | .154 | .020 | .069 | .173 | .007 | .486 | .695 | .024 | .028 | .118 |
| Rule breaking | .038 | .002 | .021 * | .030 | .018 | .086 | .029 | .015 | .146 | .044 | .000 | .003 * |
| Aggressive | .011 | .327 | .530 | .002 | .875 | .875 | .011 | .299 | .671 | .011 | .311 | .345 |
| Internalizing | −.007 | .572 | .572 | .009 | .441 | .490 | .004 | .713 | .892 | .001 | .946 | .946 |
| Externalizing | .018 | .108 | .226 | .010 | .389 | .486 | .015 | .157 | .622 | .020 | .075 | .187 |
| Subcortical volume | ||||||||||||
| Hippocampus | −.008 | .035 | .140 | .002 | .692 | .923 | −.010 | .010 | .039 * | −.008 | .041 | .109 |
| Amygdala | .000 | .951 | .951 | −.004 | .498 | .797 | −.004 | .461 | .527 | −.003 | .587 | .587 |
| Caudate | .000 | .885 | .951 | −.002 | .423 | .797 | −.007 | .016 | .043 * | −.004 | .219 | .438 |
| Putamen | −.002 | .591 | .945 | .000 | .925 | .925 | −.003 | .455 | .527 | −.003 | .533 | .587 |
| Pallidum | −.021 | .011 | .090 | −.017 | .056 | .226 | −.010 | .242 | .388 | −.023 | .008 | .068 |
| Accumbens area | −.008 | .282 | .564 | .001 | .873 | .925 | −.009 | .233 | .388 | −.008 | .310 | .497 |
| Ventral diencephalon | .002 | .748 | .951 | .012 | .034 | .226 | −.002 | .681 | .681 | .004 | .416 | .555 |
| Thalamus proper | −.008 | .130 | .346 | −.005 | .420 | .797 | −.016 | .003 | .022 * | −.013 | .024 | .094 |
Disclaimer/Publisher’s Note: The statements, opinions and data contained in all publications are solely those of the individual author(s) and contributor(s) and not of MDPI and/or the editor(s). MDPI and/or the editor(s) disclaim responsibility for any injury to people or property resulting from any ideas, methods, instructions or products referred to in the content. |
© 2023 by the authors. Licensee MDPI, Basel, Switzerland. This article is an open access article distributed under the terms and conditions of the Creative Commons Attribution (CC BY) license (https://creativecommons.org/licenses/by/4.0/).
Share and Cite
He, X.; Hu, J.; Yin, M.; Zhang, W.; Qiu, B. Screen Media Use Affects Subcortical Structures, Resting-State Functional Connectivity, and Mental Health Problems in Early Adolescence. Brain Sci. 2023, 13, 1452. https://doi.org/10.3390/brainsci13101452
He X, Hu J, Yin M, Zhang W, Qiu B. Screen Media Use Affects Subcortical Structures, Resting-State Functional Connectivity, and Mental Health Problems in Early Adolescence. Brain Sciences. 2023; 13(10):1452. https://doi.org/10.3390/brainsci13101452
Chicago/Turabian StyleHe, Xu, Jiaxin Hu, Mengyun Yin, Wei Zhang, and Boyu Qiu. 2023. "Screen Media Use Affects Subcortical Structures, Resting-State Functional Connectivity, and Mental Health Problems in Early Adolescence" Brain Sciences 13, no. 10: 1452. https://doi.org/10.3390/brainsci13101452
APA StyleHe, X., Hu, J., Yin, M., Zhang, W., & Qiu, B. (2023). Screen Media Use Affects Subcortical Structures, Resting-State Functional Connectivity, and Mental Health Problems in Early Adolescence. Brain Sciences, 13(10), 1452. https://doi.org/10.3390/brainsci13101452

