The Role of Dopaminergic Genes in Probabilistic Reinforcement Learning in Schizophrenia Spectrum Disorders
Abstract
1. Introduction
2. Materials and Methods
2.1. Participants
2.2. Measures
2.2.1. Clinical Assessment
2.2.2. General Neuropsychological Assessment
2.2.3. Probabilistic Selection Task
2.3. Genotyping
2.4. Statistical Analysis
3. Results
4. Discussion
5. Conclusions
Author Contributions
Funding
Institutional Review Board Statement
Informed Consent Statement
Data Availability Statement
Acknowledgments
Conflicts of Interest
Appendix A
| Genetic Polymorphism | Genotype | SZ | HC | p-Value |
|---|---|---|---|---|
| DRD2 rs2734839 | CC | 23 (29.9%) | 53 (21.4%) | 0.229 |
| CT | 35 (45.5%) | 97 (44.7%) | ||
| TT | 19 (24.7%) | 67 (34.3%) | ||
| DRD2 rs936461 | AA | 13 (16.9%) | 18 (12.9%) | 0.157 |
| AG | 37 (48.1%) | 54 (38.6%) | ||
| GG | 27 (35.1%) | 68 (48.6%) | ||
| DRD2 rs1800497 | CC | 49 (63.6%) | 97 (69.8%) | 0.396 |
| CT | 24 (31.2%) | 39 (28.1%) | ||
| TT | 4 (5.2%) | 3 (2.2%) | ||
| DRD2 rs1799732 | GG | 61 (80.3%) | 118 (86.1%) | 0.516 |
| G- | 13 (17.1%) | 17 (12.4%) | ||
| -- | 2 (2.6%) | 2 (1.5%) | ||
| DRD2 rs6277 | AA | 16 (20.8%) | 61 (32.1%) | 0.059 |
| AG | 35 (45.5%) | 101 (47.1%) | ||
| GG | 26 (33.8%) | 55 (20.7%) | ||
| DRD4 rs1800955 | CC | 20 (26.3%) | 37 (26.4%) | 0.430 |
| CT | 39 (51.3%) | 61 (43.6%) | ||
| TT | 17 (22.4%) | 42 (30.0%) | ||
| DRD4 rs747302 | CC | 7 (13.5%) | 18 (24.7%) | 0.081 |
| CG | 9 (17.3%) | 19 (26.0%) | ||
| GG | 36 (69.2%) | 36 (49.3%) | ||
| COMT rs4680 | Met/Met | 27 (35.1%) | 31 (22.1%) | 0.101 |
| Met/Val | 35 (45.5%) | 71 (50.7%) | ||
| Val/Val | 15 (19.5%) | 38 (27.1%) | ||
| DAT1 rs2975226 | AA | 20 (26.7%) | 38 (27.5%) | 0.978 |
| AT | 31 (41.3%) | 55 (39.9%) | ||
| TT | 24 (32.0%) | 45 (32.6%) | ||
| DAT1 rs28363170 | 9R, 9R | 3 (4.0%) | 10 (7.3%) | 0.583 |
| 9R, 10R | 31 (41.3%) | 51 (37.2%) | ||
| 10R, 10R | 41 (54.7%) | 76 (55.5%) | ||
| DARP32 rs907094 | AA | 42 (55.3%) | 61 (43.6%) | 0.172 |
| AG | 30 (39.5%) | 64 (45.7%) | ||
| GG | 4 (5.3%) | 15 (10.7%) |
| Variable | Learning Accuracy in Training Phase | Choose-A Frequency in Test Phase | Avoid-B Frequency in Test Phase |
|---|---|---|---|
| Neurocognition | |||
| RBANS—immediate memory | r ** = 0.30, p < 0.001 | r ** = −0.23, p = 0.791 | r ** = −0.12, p = 0.154 |
| RBANS—visuospatial constructional | r ** = 0.23, p = 0.007 | r ** = 0.15, p = 0.846 | r ** = −0.11, p = 0.202 |
| RBANS—language | r * = 0.15, p = 0.082 | r * = −0.10, p = 0.232 | r * = −0.58, p = 0.500 |
| RBANS—attention | r * = 0.26, p = 0.002 | r * = −0.70, p = 0.446 | r * = −0.12, p = 0.156 |
| RBANS—delayed memory | r ** = 0.30, p < 0.001 | r ** = −0.4, p = 0.629 | r ** = −0.12, p = 0.176 |
| RBANS—total score | r * = 0.30, p < 0.001 | r * = −0.65, p = 0.448 | r * = −0.12, p = 0.154 |
| Clinical ratings | |||
| Age of onset | r * = −0.02, p = 0.200 | r * = −0.15, p = 0.341 | r * = 0.11, p = 0.510 |
| Illness duration | r ** = −0.08, p = 0.337 | r ** = 0.03, p = 0.831 | r ** = 0.12, p = 0.465 |
| BPRS | r * = −0.13, p = 0.418 | r * = −0.45, p = 0.788 | r * = 0.32, p = 0.050 |
| PANSS—positive symptoms | r * = −0.25, p = 0.418 | r * = −0.47, p = 0.757 | r * = 0.17, p = 0.259 |
| PANSS—negative symptoms | r * = 0.30, p = 0.845 | r * = 0.76, p = 0.618 | r * = 0.18, p = 0.258 |
| PANSS—general symptoms | r * = −0.2, p = 0.436 | r * = −0.52, p = 0.736 | r * = 0.01, p = 0.258 |
| SANS | r * = −0.07, p = 0.709 | r * = −0.18, p = 0.921 | r * = 0.25, p = 0.157 |
| SAPS | r ** < 0.01, p > 0.99 | r ** = −0.17, p = 0.389 | r ** = 0.14, p = 0.469 |
| MADRS | r ** = −0.16, p = 0.395 | r ** = 0.15, p = 0.422 | r ** = 0.2, p = 0.907 |
| GAF | r * = −0.17, p = 0.33 | r * = −0.21, p = 0.240 | r * = 0.11, p = 0.530 |
| Antipsychotic medication | |||
| CPZ | r ** = −0.16, p = 0.330 | r ** = 0.43, p = 0.793 | r ** = 0.12, p = 0.458 |
| Variable | SZ |
|---|---|
| Age of onset | r * = 0.08, p = 0.427 |
| Illness duration | r ** = −0.10, p = 0.422 |
| BPRS | r * = −0.26, p = 0.021 |
| PANSS P—positive symptoms | r * = −0.15, p = 0.132 |
| PANSS N—negative symptoms | r * = −0.34, p = 0.001 |
| PANSS G—general symptoms | r * = −0.21, p = 0.0.49 |
| SANS | r * = −0.14, p = 0.212 |
| SAPS | r ** = −0.10, p = 0.374 |
| MADRS | r ** = −0.10, p = 0.422 |
| GAF | r * = 0.29, p = 0.011 |
| CPZ | r ** = −0.23, p = 0.027 |
References
- Frydecka, D.; Eissa, A.M.; Hewedi, D.H.; Ali, M.; Drapala, J.; Misiak, B.; Klosinska, E.; Phillips, J.R.; Moustafa, A.A. Impairments of working memory in schizophrenia and bipolar disorder: The effect of history of psychotic symptoms and different aspects of cognitive task demands. Front. Behav. Neurosci. 2014, 8, 416. [Google Scholar] [CrossRef]
- Howes, O.D.; Murray, R.M. Schizophrenia: An integrated sociodevelopmental-cognitive model. Lancet 2014, 383, 1677–1687. [Google Scholar] [CrossRef]
- Frydecka, D.; Misiak, B.; Pawlak-Adamska, E.; Karabon, L.; Tomkiewicz, A.; Sedlaczek, P.; Kiejna, A.; Beszlej, J.A. Interleukin-6: The missing element of the neurocognitive deterioration in schizophrenia? The focus on genetic underpinnings, cognitive impairment and clinical manifestation. Eur. Arch. Psychiatry Clin. Neurosci. 2015, 265, 449–459. [Google Scholar] [CrossRef] [PubMed]
- Howes, O.D.; Kambeitz, J.; Kim, E.; Stahl, D.; Slifstein, M.; Abi-Dargham, A.; Kapur, S. The nature of dopamine dysfunction in schizophrenia and what this means for treatment. Arch. Gen. Psychiatry 2012, 69, 776–786. [Google Scholar] [CrossRef] [PubMed]
- Howes, O.D.; Kapur, S. The dopamine hypothesis of schizophrenia: Version III—The final common pathway. Schizophr. Bull. 2009, 35, 549–562. [Google Scholar] [CrossRef]
- Kapur, S. Psychosis as a state of aberrant salience: A framework linking biology, phenomenology, and pharmacology in schizophrenia. Am. J. Psychiatry 2003, 160, 13–23. [Google Scholar] [CrossRef]
- Houk, J.C. Biological implementation of the temporal difference algorithm for reinforcement learning: Theoretical comment on O’Reilly et al. (2007). Behav. Neurosci. 2007, 121, 231–232. [Google Scholar] [CrossRef]
- Schultz, W. Reward signaling by dopamine neurons. Neuroscientist 2001, 7, 293–302. [Google Scholar] [CrossRef]
- Schultz, W. Getting formal with dopamine and reward. Neuron 2002, 36, 241–263. [Google Scholar] [CrossRef]
- Frank, M.J. Schizophrenia: A computational reinforcement learning perspective. Schizophr. Bull. 2008, 34, 1008–1011. [Google Scholar] [CrossRef][Green Version]
- Smith, A.; Li, M.; Becker, S.; Kapur, S. Dopamine, prediction error and associative learning: A model-based account. Network 2006, 17, 61–84. [Google Scholar] [CrossRef] [PubMed]
- Millard, S.J.; Bearden, C.E.; Karlsgodt, K.H.; Sharpe, M.J. The prediction-error hypothesis of schizophrenia: New data point to circuit-specific changes in dopamine activity. Neuropsychopharmacology 2021. [Google Scholar] [CrossRef]
- Murray, G.K.; Corlett, P.R.; Clark, L.; Pessiglione, M.; Blackwell, A.D.; Honey, G.; Jones, P.B.; Bullmore, E.T.; Robbins, T.W.; Fletcher, P.C. Substantia nigra/ventral tegmental reward prediction error disruption in psychosis. Mol. Psychiatry 2008, 13, 239, 267–276. [Google Scholar] [CrossRef]
- Corlett, P.R.; Murray, G.K.; Honey, G.D.; Aitken, M.R.; Shanks, D.R.; Robbins, T.W.; Bullmore, E.T.; Dickinson, A.; Fletcher, P.C. Disrupted prediction-error signal in psychosis: Evidence for an associative account of delusions. Brain 2007, 130, 2387–2400. [Google Scholar] [CrossRef] [PubMed]
- Waltz, J.A.; Gold, J.M. Probabilistic reversal learning impairments in schizophrenia: Further evidence of orbitofrontal dysfunction. Schizophr. Res. 2007, 93, 296–303. [Google Scholar] [CrossRef]
- Murray, G.K.; Clark, L.; Corlett, P.R.; Blackwell, A.D.; Cools, R.; Jones, P.B.; Robbins, T.W.; Poustka, L. Incentive motivation in first-episode psychosis: A behavioural study. BMC Psychiatry 2008, 8, 34. [Google Scholar] [CrossRef]
- Gold, J.M.; Waltz, J.A.; Matveeva, T.M.; Kasanova, Z.; Strauss, G.P.; Herbener, E.S.; Collins, A.G.; Frank, M.J. Negative symptoms and the failure to represent the expected reward value of actions: Behavioral and computational modeling evidence. Arch. Gen. Psychiatry 2012, 69, 129–138. [Google Scholar] [CrossRef]
- Geana, A.; Barch, D.M.; Gold, J.M.; Carter, C.S.; MacDonald, A.W., 3rd; Ragland, J.D.; Silverstein, S.M.; Frank, M.J. Using Computational Modeling to Capture Schizophrenia-Specific Reinforcement Learning Differences and Their Implications on Patient Classification. Biol. Psychiatry Cogn. Neurosci. Neuroimaging 2021. [Google Scholar] [CrossRef] [PubMed]
- Edwards, A.C.; Bacanu, S.A.; Bigdeli, T.B.; Moscati, A.; Kendler, K.S. Evaluating the dopamine hypothesis of schizophrenia in a large-scale genome-wide association study. Schizophr. Res. 2016, 176, 136–140. [Google Scholar] [CrossRef] [PubMed]
- Howes, O.D.; McCutcheon, R.; Owen, M.J.; Murray, R.M. The Role of Genes, Stress, and Dopamine in the Development of Schizophrenia. Biol. Psychiatry 2017, 81, 9–20. [Google Scholar] [CrossRef]
- Kasanova, Z.; Ceccarini, J.; Frank, M.J.; van Amelsvoort, T.; Booij, J.; van Duin, E.; Steinhart, H.; Vaessen, T.; Heinzel, A.; Mottaghy, F.; et al. Intact striatal dopaminergic modulation of reward learning and daily-life reward-oriented behavior in first-degree relatives of individuals with psychotic disorder. Psychol. Med. 2018, 48, 1909–1914. [Google Scholar] [CrossRef] [PubMed]
- Ermakova, A.O.; Knolle, F.; Justicia, A.; Bullmore, E.T.; Jones, P.B.; Robbins, T.W.; Fletcher, P.C.; Murray, G.K. Abnormal reward prediction-error signalling in antipsychotic naive individuals with first-episode psychosis or clinical risk for psychosis. Neuropsychopharmacology 2018, 43, 1691–1699. [Google Scholar] [CrossRef]
- Montagnese, M.; Knolle, F.; Haarsma, J.; Griffin, J.D.; Richards, A.; Vertes, P.E.; Kiddle, B.; Fletcher, P.C.; Jones, P.B.; Owen, M.J.; et al. Reinforcement learning as an intermediate phenotype in psychosis? Deficits sensitive to illness stage but not associated with polygenic risk of schizophrenia in the general population. Schizophr. Res. 2020, 222, 389–396. [Google Scholar] [CrossRef]
- Lancaster, T.M.; Linden, D.E.; Tansey, K.E.; Banaschewski, T.; Bokde, A.L.; Bromberg, U.; Buchel, C.; Cattrell, A.; Conrod, P.J.; Flor, H.; et al. Polygenic Risk of Psychosis and Ventral Striatal Activation During Reward Processing in Healthy Adolescents. JAMA Psychiatry 2016, 73, 852–861. [Google Scholar] [CrossRef] [PubMed]
- Frank, M.J.; Moustafa, A.A.; Haughey, H.M.; Curran, T.; Hutchison, K.E. Genetic triple dissociation reveals multiple roles for dopamine in reinforcement learning. Proc. Natl. Acad. Sci. USA 2007, 104, 16311–16316. [Google Scholar] [CrossRef]
- Jocham, G.; Klein, T.A.; Neumann, J.; von Cramon, D.Y.; Reuter, M.; Ullsperger, M. Dopamine DRD2 polymorphism alters reversal learning and associated Neural. activity. J. Neurosci. 2009, 29, 3695–3704. [Google Scholar] [CrossRef] [PubMed]
- Doll, B.B.; Hutchison, K.E.; Frank, M.J. Dopaminergic genes predict individual differences in susceptibility to confirmation bias. J. Neurosci. 2011, 31, 6188–6198. [Google Scholar] [CrossRef]
- Krugel, L.K.; Biele, G.; Mohr, P.N.; Li, S.C.; Heekeren, H.R. Genetic variation in dopaminergic neuromodulation influences the ability to rapidly and flexibly adapt decisions. Proc. Natl. Acad. Sci. USA 2009, 106, 17951–17956. [Google Scholar] [CrossRef]
- Frank, M.J.; Hutchison, K. Genetic contributions to avoidance-based decisions: Striatal D2 receptor polymorphisms. Neuroscience 2009, 164, 131–140. [Google Scholar] [CrossRef]
- Richter, A.; de Boer, L.; Guitart-Masip, M.; Behnisch, G.; Seidenbecher, C.I.; Schott, B.H. Motivational learning biases are differentially modulated by genetic determinants of striatal and prefrontal dopamine function. J. Neural. Transm. 2021, 128, 1705–1720. [Google Scholar] [CrossRef]
- Corral-Frias, N.S.; Pizzagalli, D.A.; Carre, J.M.; Michalski, L.J.; Nikolova, Y.S.; Perlis, R.H.; Fagerness, J.; Lee, M.R.; Conley, E.D.; Lancaster, T.M.; et al. COMT Val(158) Met genotype is associated with reward learning: A replication study and meta-analysis. Genes Brain Behav. 2016, 15, 503–513. [Google Scholar] [CrossRef]
- Tardiff, N.; Graves, K.N.; Thompson-Schill, S.L. The Role of Frontostriatal Systems in Instructed Reinforcement Learning: Evidence From Genetic and Experimentally-Induced Variation. Front. Hum. Neurosci. 2018, 12, 472. [Google Scholar] [CrossRef]
- McGuffin, P.; Farmer, A.; Harvey, I. A polydiagnostic application of operational criteria in studies of psychotic illness. Development and reliability of the OPCRIT system. Arch. Gen. Psychiatry 1991, 48, 764–770. [Google Scholar] [CrossRef] [PubMed]
- Andreasen, N.C.; Olsen, S. Negative v positive schizophrenia. Definition and validation. Arch. Gen. Psychiatry 1982, 39, 789–794. [Google Scholar] [CrossRef]
- Kay, S.R.; Fiszbein, A.; Opler, L.A. The positive and negative syndrome scale (PANSS) for schizophrenia. Schizophr. Bull. 1987, 13, 261–276. [Google Scholar] [CrossRef]
- Montgomery, S.A.; Asberg, M. A new depression scale designed to be sensitive to change. Br. J. Psychiatry 1979, 134, 382–389. [Google Scholar] [CrossRef] [PubMed]
- Beck, A.T.; Ward, C.H.; Mendelson, M.; Mock, J.; Erbaugh, J. An inventory for measuring depression. Arch. Gen. Psychiatry 1961, 4, 561–571. [Google Scholar] [CrossRef]
- Woods, S.W. Chlorpromazine equivalent doses for the newer atypical antipsychotics. J. Clin. Psychiatry 2003, 64, 663–667. [Google Scholar] [CrossRef]
- Randolph, C.; Tierney, M.C.; Mohr, E.; Chase, T.N. The Repeatable Battery for the Assessment of Neuropsychological Status (RBANS): Preliminary clinical validity. J. Clin. Exp. NeuroPsychol. 1998, 20, 310–319. [Google Scholar] [CrossRef]
- Frank, M.J.; Seeberger, L.C.; O’Reilly, C.R. By carrot or by stick: Cognitive reinforcement learning in parkinsonism. Science 2004, 306, 1940–1943. [Google Scholar] [CrossRef] [PubMed]
- Waltz, J.A.; Frank, M.J.; Robinson, B.M.; Gold, J.M. Selective reinforcement learning deficits in schizophrenia support predictions from computational models of striatal-cortical dysfunction. Biol. Psychiatry 2007, 62, 756–764. [Google Scholar] [CrossRef] [PubMed]
- Meyer-Lindenberg, A.; Straub, R.E.; Lipska, B.K.; Verchinski, B.A.; Goldberg, T.; Callicott, J.H.; Egan, M.F.; Huffaker, S.S.; Mattay, V.S.; Kolachana, B.; et al. Genetic evidence implicating DARPP-32 in human frontostriatal structure, function, and cognition. J. Clin. Investig. 2007, 117, 672–682. [Google Scholar] [CrossRef] [PubMed]
- Ritchie, T.E.; Noble, P. Association of seven polymorphisms of the D2 dopamine receptor gene with brain receptor-binding characteristics. Neurochem. Res. 2003, 28, 73–82. [Google Scholar] [CrossRef]
- Eisenstein, S.A.; Bogdan, R.; Love-Gregory, L.; Corral-Frias, N.S.; Koller, J.M.; Black, K.J.; Moerlein, S.M.; Perlmutter, J.S.; Barch, D.M.; Hershey, T. Prediction of striatal D2 receptor binding by DRD2/ANKK1 TaqIA allele status. Synapse 2016, 70, 418–431. [Google Scholar] [CrossRef]
- Voisey, J.; Swagell, C.D.; Hughes, I.P.; Lawford, B.R.; Young, R.M.; Morris, C.P. A novel DRD2 single-nucleotide polymorphism associated with schizophrenia predicts age of onset: HapMap tag-single-nucleotide polymorphism analysis. Genet. Test. Mol. Biomark. 2012, 16, 77–81. [Google Scholar] [CrossRef]
- Duan, J.; Wainwright, M.S.; Comeron, J.M.; Saitou, N.; Sanders, A.R.; Gelernter, J.; Gejman, P.V. Synonymous mutations in the human dopamine receptor D2 (DRD2) affect mRNA stability and synthesis of the receptor. Hum. Mol. Genet. 2003, 12, 205–216. [Google Scholar] [CrossRef]
- Hirvonen, M.; Laakso, A.; Nagren, K.; Rinne, J.O.; Pohjalainen, T.; Hietala, J. C957T polymorphism of the dopamine D2 receptor (DRD2) gene affects striatal DRD2 availability in vivo. Mol. Psychiatry 2004, 9, 1060–1061. [Google Scholar] [CrossRef]
- Laakso, A.; Pohjalainen, T.; Bergman, J.; Kajander, J.; Haaparanta, M.; Solin, O.; Syvalahti, E.; Hietala, J. The A1 allele of the human D2 dopamine receptor gene is associated with increased activity of striatal L-amino acid decarboxylase in healthy subjects. Pharmacogenet. Genom. 2005, 15, 387–391. [Google Scholar] [CrossRef]
- Jonsson, E.G.; Nothen, M.M.; Grunhage, F.; Farde, L.; Nakashima, Y.; Propping, P.; Sedvall, G.C. Polymorphisms in the dopamine D2 receptor gene and their relationships to striatal dopamine receptor density of healthy volunteers. Mol. Psychiatry 1999, 4, 290–296. [Google Scholar] [CrossRef] [PubMed]
- Forbes, E.E.; Brown, S.M.; Kimak, M.; Ferrell, R.E.; Manuck, S.B.; Hariri, A.R. Genetic variation in components of dopamine neurotransmission impacts ventral striatal reactivity associated with impulsivity. Mol. Psychiatry 2009, 14, 60–70. [Google Scholar] [CrossRef]
- Okuyama, Y.; Ishiguro, H.; Toru, M.; Arinami, T. A genetic polymorphism in the promoter region of DRD4 associated with expression and schizophrenia. Biochem. Biophys. Res. Commun. 1999, 258, 292–295. [Google Scholar] [CrossRef]
- Kramer, U.M.; Cunillera, T.; Camara, E.; Marco-Pallares, J.; Cucurell, D.; Nager, W.; Bauer, P.; Schule, R.; Schols, L.; Rodriguez-Fornells, A.; et al. The impact of catechol-O-methyltransferase and dopamine D4 receptor genotypes on neurophysiological markers of performance monitoring. J. Neurosci. 2007, 27, 14190–14198. [Google Scholar] [CrossRef] [PubMed]
- Lowe, N.; Kirley, A.; Mullins, C.; Fitzgerald, M.; Gill, M.; Hawi, Z. Multiple marker analysis at the promoter region of the DRD4 gene and ADHD: Evidence of linkage and association with the SNP -616. Am. J. Med. Genet. B Neuropsychiatr. Genet. 2004, 131B, 33–37. [Google Scholar] [CrossRef] [PubMed]
- Huang, S.Y.; Chen, H.K.; Ma, K.H.; Shy, M.J.; Chen, J.H.; Lin, W.C.; Lu, R.B. Association of promoter variants of human dopamine transporter gene with schizophrenia in Han Chinese. Schizophr. Res. 2010, 116, 68–74. [Google Scholar] [CrossRef] [PubMed]
- Fuke, S.; Suo, S.; Takahashi, N.; Koike, H.; Sasagawa, N.; Ishiura, S. The VNTR polymorphism of the human dopamine transporter (DAT1) gene affects gene expression. Pharm. J. 2001, 1, 152–156. [Google Scholar] [CrossRef]
- VanNess, S.H.; Owens, M.J.; Kilts, C.D. The variable number of tandem repeats element in DAT1 regulates in vitro dopamine transporter density. BMC Genet. 2005, 6, 55. [Google Scholar] [CrossRef][Green Version]
- Garcia-Garcia, M.; Barcelo, F.; Clemente, I.C.; Escera, C. The role of the dopamine transporter DAT1 genotype on the Neural. correlates of cognitive flexibility. Eur. J. Neurosci. 2010, 31, 754–760. [Google Scholar] [CrossRef] [PubMed]
- Stollstorff, M.; Foss-Feig, J.; Cook, E.H.J.; Stein, M.A.; Gaillard, W.D.; Vaidya, C.J. Neural response to working memory load varies by dopamine transporter genotype in children. Neuroimage 2010, 53, 970–977. [Google Scholar] [CrossRef] [PubMed]
- Simon, J.R.; Stollstorff, M.; Westbay, L.C.; Vaidya, C.J.; Howard, J.; Howard, D.V. Dopamine transporter genotype predicts implicit sequence learning. Behav. Brain Res. 2011, 216, 452–457. [Google Scholar] [CrossRef][Green Version]
- Weickert, T.W.; Mattay, V.S.; Das, S.; Bigelow, L.B.; Apud, J.A.; Egan, M.F.; Weinberger, D.R.; Goldberg, T.E. Dopaminergic therapy removal differentially effects learning in schizophrenia and Parkinson’s disease. Schizophr. Res. 2013, 149, 162–166. [Google Scholar] [CrossRef][Green Version]
- Keri, S.; Juhasz, A.; Rimanoczy, A.; Szekeres, G.; Kelemen, O.; Cimmer, C.; Szendi, I.; Benedek, G.; Janka, Z. Habit learning and the genetics of the dopamine D3 receptor: Evidence from patients with schizophrenia and healthy controls. Behav. Neurosci. 2005, 119, 687–693. [Google Scholar] [CrossRef]
- Horan, W.P.; Green, M.F.; Knowlton, B.J.; Wynn, J.K.; Mintz, J.; Nuechterlein, K.H. Impaired implicit learning in schizophrenia. Neuropsychology 2008, 22, 606–617. [Google Scholar] [CrossRef]
- Weickert, T.W.; Goldberg, T.E.; Callicott, J.H.; Chen, Q.; Apud, J.A.; Das, S.; Zoltick, B.J.; Egan, M.F.; Meeter, M.; Myers, C.; et al. Neural. correlates of probabilistic category learning in patients with schizophrenia. J. Neurosci. 2009, 29, 1244–1254. [Google Scholar] [CrossRef] [PubMed]
- Weickert, T.W.; Terrazas, A.; Bigelow, L.B.; Malley, J.D.; Hyde, T.; Egan, M.F.; Weinberger, D.R.; Goldberg, T.E. Habit and skill learning in schizophrenia: Evidence of normal striatal processing with abnormal cortical input. Learn. Mem. 2002, 9, 430–442. [Google Scholar] [CrossRef] [PubMed][Green Version]
- Moustafa, A.A.; Keri, S.; Somlai, Z.; Balsdon, T.; Frydecka, D.; Misiak, B.; White, C. Drift diffusion model of reward and punishment learning in schizophrenia: Modeling and experimental data. Behav. Brain Res. 2015, 291, 147–154. [Google Scholar] [CrossRef]
- Somlai, Z.; Moustafa, A.A.; Keri, S.; Gluck, C.E.M.A. General functioning predicts reward and punishment learning in schizophrenia. Schizophr. Res. 2011, 127, 131–136. [Google Scholar] [CrossRef] [PubMed]
- Strauss, G.P.; Thaler, N.S.; Matveeva, T.M.; Vogel, S.J.; Sutton, G.P.; Lee, B.G.; Allen, D.N. Predicting psychosis across diagnostic boundaries: Behavioral and computational modeling evidence for impaired reinforcement learning in schizophrenia and bipolar disorder with a history of psychosis. J. Abnorm. Psychol. 2015, 124, 697–708. [Google Scholar] [CrossRef] [PubMed]
- Cicero, D.C.; Martin, E.A.; Becker, T.M.; Kerns, J.G. Reinforcement learning deficits in people with schizophrenia persist after extended trials. Psychiatry Res. 2014, 220, 760–764. [Google Scholar] [CrossRef][Green Version]
- Waltz, J.A.; Frank, M.J.; Wiecki, T.V.; Gold, J.M. Altered probabilistic learning and response biases in schizophrenia: Behavioral evidence and neurocomputational modeling. Neuropsychology 2011, 25, 86–97. [Google Scholar] [CrossRef]
- Deserno, L.; Boehme, R.; Heinz, A.; Schlagenhauf, F. Reinforcement learning and dopamine in schizophrenia: Dimensions of symptoms or specific features of a disease group? Front. Psychiatry 2013, 4, 172. [Google Scholar] [CrossRef]
- Strauss, G.P.; Frank, M.J.; Waltz, J.A.; Kasanova, Z.; Herbener, E.S.; Gold, J.M. Deficits in positive reinforcement learning and uncertainty-driven exploration are associated with distinct aspects of negative symptoms in schizophrenia. Biol. Psychiatry 2011, 69, 424–431. [Google Scholar] [CrossRef]
- Shen, W.; Flajolet, M.; Greengard, P.; Surmeier, D.J. Dichotomous dopaminergic control of striatal synaptic plasticity. Science 2008, 321, 848–851. [Google Scholar] [CrossRef] [PubMed]
- Kapur, S.; Seeman, P. Does fast dissociation from the dopamine d(2) receptor explain the action of atypical antipsychotics? A new hypothesis. Am. J. Psychiatry 2001, 158, 360–369. [Google Scholar] [CrossRef]
- Nord, M.; Farde, L. Antipsychotic occupancy of dopamine receptors in schizophrenia. CNS Neurosci. Ther. 2011, 17, 97–103. [Google Scholar] [CrossRef]
- Frydecka, D.; Beszlej, J.A.; Goscimski, P.; Kiejna, A.; Misiak, B. Profiling cognitive impairment in treatment-resistant schizophrenia patients. Psychiatry Res. 2016, 235, 133–138. [Google Scholar] [CrossRef] [PubMed]
- Torrisi, S.A.; Laudani, S.; Contarini, G.; de Luca, A.; Geraci, F.; Manago, F.; Papaleo, F.; Salomone, S.; Drago, F.; Leggio, G.M. Dopamine, Cognitive Impairments and Second-Generation Antipsychotics: From Mechanistic Advances to More Personalized Treatments. Pharmaceuticals 2020, 13, 365. [Google Scholar] [CrossRef] [PubMed]
- Gold, J.M.; Strauss, G.P.; Waltz, J.A.; Robinson, B.M.; Brown, J.K.; Frank, M.J. Negative symptoms of schizophrenia are associated with abnormal effort-cost computations. Biol. Psychiatry 2013, 74, 130–136. [Google Scholar] [CrossRef] [PubMed]
- Strauss, G.P.; Datta, R.; Armstrong, W.; Raugh, I.M.; Kraguljac, N.V.; Lahti, A.C. Reinforcement learning abnormalities in the attenuated psychosis syndrome and first episode psychosis. Eur. Neuropsychopharmacol. 2021, 47, 11–19. [Google Scholar] [CrossRef]
- Klein, T.A.; Neumann, J.; Reuter, M.; Hennig, J.; von Cramon, D.Y.; Ullsperger, M. Genetically determined differences in learning from errors. Science 2007, 318, 1642–1645. [Google Scholar] [CrossRef]
- Cohen, M.X.; Young, J.; Baek, J.M.; Kessler, C.; Ranganath, C. Individual differences in extraversion and dopamine genetics predict Neural. reward responses. Brain Res. Cogn. Brain Res. 2005, 25, 851–861. [Google Scholar] [CrossRef]
- Friedman, N.P.; Miyake, A.; Young, S.E.; Defries, J.C.; Corley, R.P.; Hewitt, J.K. Individual differences in executive functions are almost entirely genetic in origin. J. Exp. Psychol. Gen. 2008, 137, 201–225. [Google Scholar] [CrossRef] [PubMed]
- Vandenbergh, D.J.; Persico, A.M.; Hawkins, A.L.; Griffin, C.A.; Li, X.; Jabs, E.W.; Uhl, G.R. Human dopamine transporter gene (DAT1) maps to chromosome 5p15.3 and displays a VNTR. Genomics 1992, 14, 1104–1106. [Google Scholar] [CrossRef]
- Mill, J.; Asherson, P.; Browes, C.; Craig, U.D. Expression of the dopamine transporter gene is regulated by the 3′ UTR VNTR: Evidence from brain and lymphocytes using quantitative RT-PCR. Am. J. Med. Genet. 2002, 114, 975–979. [Google Scholar] [CrossRef] [PubMed]
- Faraone, S.V.; Spencer, T.J.; Madras, B.K.; Zhang-James, Y.; Biederman, J. Functional effects of dopamine transporter gene genotypes on in vivo dopamine transporter functioning: A meta-analysis. Mol. Psychiatry 2014, 19, 880–889. [Google Scholar] [CrossRef] [PubMed]
- Lewis, D.A.; Melchitzky, D.S.; Sesack, S.R.; Whitehead, R.E.; Auh, S.; Sampson, A. Dopamine transporter immunoreactivity in monkey cerebral cortex: Regional, laminar, and ultrastructural localization. J. Comp. Neurol. 2001, 432, 119–136. [Google Scholar] [CrossRef] [PubMed]
- Bertolino, A.; Fazio, L.; di Giorgio, A.; Blasi, G.; Romano, R.; Taurisano, P.; Caforio, G.; Sinibaldi, L.; Ursini, G.; Popolizio, T.; et al. Genetically determined interaction between the dopamine transporter and the D2 receptor on prefronto-striatal activity and volume in humans. J. Neurosci. 2009, 29, 1224–1234. [Google Scholar] [CrossRef]
- Schuck, N.W.; Frensch, P.A.; Schjeide, B.M.; Schroder, J.; Bertram, L.; Li, S.C. Effects of aging and dopamine genotypes on the emergence of explicit memory during sequence learning. Neuropsychologia 2013, 51, 2757–2769. [Google Scholar] [CrossRef]
- Althaus, M.; Groen, Y.; Wijers, A.A.; Minderaa, R.B.; Kema, I.P.; Dijck, J.D.; Hoekstra, P.J. Variants of the SLC6A3 (DAT1) polymorphism affect performance monitoring-related cortical evoked potentials that are associated with ADHD. Biol. Psychol. 2010, 85, 19–32. [Google Scholar] [CrossRef]
- Biehl, S.C.; Dresler, T.; Reif, A.; Scheuerpflug, P.; Deckert, J.; Herrmann, M.J. Dopamine transporter (DAT1) and dopamine receptor D4 (DRD4) genotypes differentially impact on electrophysiological correlates of error processing. PLoS ONE 2011, 6, e28396. [Google Scholar] [CrossRef]
- Raczka, K.A.; Mechias, M.L.; Gartmann, N.; Reif, A.; Deckert, J.; Pessiglione, M.; Kalisch, R. Empirical support for an involvement of the mesostriatal dopamine system in human fear extinction. Transl. Psychiatry 2011, 1, e12. [Google Scholar] [CrossRef]
- Dubol, M.; Trichard, C.; Leroy, C.; Sandu, A.L.; Rahim, M.; Granger, B.; Tzavara, E.T.; Karila, L.; Martinot, J.L.; Artiges, E. Dopamine Transporter and Reward Anticipation in a Dimensional Perspective: A Multimodal Brain Imaging Study. Neuropsychopharmacology 2018, 43, 820–827. [Google Scholar] [CrossRef]
- Dreher, J.C.; Kohn, P.; Kolachana, B.; Weinberger, D.R.; Berman, K.F. Variation in dopamine genes influences responsivity of the human reward system. Proc. Natl. Acad. Sci. USA 2009, 106, 617–622. [Google Scholar] [CrossRef]
- Aarts, E.; Roelofs, A.; Franke, B.; Rijpkema, M.; Fernandez, G.; Helmich, R.C.; Cools, R. Striatal dopamine mediates the interface between motivational and cognitive control in humans: Evidence from genetic imaging. Neuropsychopharmacology 2010, 35, 1943–1951. [Google Scholar] [CrossRef]
- Yacubian, J.; Sommer, T.; Schroeder, K.; Glascher, J.; Kalisch, R.; Leuenberger, B.; Buchel, D.F.B. Gene-gene interaction associated with Neural. reward sensitivity. Proc. Natl. Acad. Sci. USA 2007, 104, 8125–8130. [Google Scholar] [CrossRef] [PubMed]
- Den Ouden, H.E.; Daw, N.D.; Fernandez, G.; Elshout, J.A.; Rijpkema, M.; Hoogman, M.; Franke, B.; Cools, R. Dissociable effects of dopamine and serotonin on reversal learning. Neuron 2013, 80, 1090–1100. [Google Scholar] [CrossRef] [PubMed]
- Beeler, J.A.; Daw, N.; Frazier, C.R.; Zhuang, X. Tonic dopamine modulates exploitation of reward learning. Front. Behav. Neurosci. 2010, 4, 170. [Google Scholar] [CrossRef] [PubMed]
- Salamone, J.D.; Correa, M.; Farrar, A.; Mingote, S.M. Effort-related functions of nucleus accumbens dopamine and associated forebrain circuits. Psychopharmacology 2007, 191, 461–482. [Google Scholar] [CrossRef]
- Dreyer, J.K.; Herrik, K.F.; Berg, R.W.; Hounsgaard, J.D. Influence of phasic and tonic dopamine release on receptor activation. J. Neurosci. 2010, 30, 14273–14283. [Google Scholar] [CrossRef]
- Martel, J.C.; McArthur, S.G. Dopamine Receptor Subtypes, Physiology and Pharmacology: New Ligands and Concepts in Schizophrenia. Front. Pharmacol. 2020, 11, 1003. [Google Scholar] [CrossRef]
- Leggio, G.M.; Torrisi, S.A.; Mastrogiacomo, R.; Mauro, D.; Chisari, M.; Devroye, C.; Scheggia, D.; Nigro, M.; Geraci, F.; Pintori, N.; et al. The epistatic interaction between the dopamine D3 receptor and dysbindin-1 modulates higher-order cognitive functions in mice and humans. Mol. Psychiatry 2021, 26, 1272–1285. [Google Scholar] [CrossRef]
- Groman, S.M.; Smith, N.J.; Petrullli, J.R.; Massi, B.; Chen, L.; Ropchan, J.; Huang, Y.; Lee, D.; Morris, E.D.; Taylor, J.R. Dopamine D3 Receptor Availability Is Associated with Inflexible Decision Making. J. Neurosci. 2016, 36, 6732–6741. [Google Scholar] [CrossRef] [PubMed]
- Loch, A.A.; van de Bilt, M.T.; Bio, D.S.; Prado, C.M.; de Sousa, R.T.; Valiengo, L.L.; Moreno, R.A.; Zanetti, M.V.; Gattaz, W.F. Epistasis between COMT Val158Met and DRD3 Ser9Gly polymorphisms and cognitive function in schizophrenia: Genetic influence on dopamine transmission. Braz. J. Psychiatry 2015, 37, 235–241. [Google Scholar] [CrossRef] [PubMed]
- Escamilla, R.; Camarena, B.; Saracco-Alvarez, R.; Fresan, A.; Hernandez, S.; Aguilar-Garcia, A. Association study between COMT, DRD2, and DRD3 gene variants and antipsychotic treatment response in Mexican patients with schizophrenia. Neuropsychiatr. Dis. Treat. 2018, 14, 2981–2987. [Google Scholar] [CrossRef] [PubMed]


| Variable | SZ | HC | p-Value |
|---|---|---|---|
| Demographic information | |||
| Age (years) | 37.61 ± 12.99 | 39.07 ± 18.74 | 0.474 |
| Gender (M/F) | 58/52 | 66/122 | 0.003 |
| Educational level (%) Primary Vocational Secondary Higher | 19.8% 9.9% 44% 26.4% | 11.7% 0.0% 48.7% 39.6% | 0.003 |
| Neurocognition (mean ± SD) | |||
| RBANS—immediate memory | 39.03 ± 10.86 | 50.12 ± 6.87 | <0.001 |
| RBANS—visuospatial/constructional | 33.39 ± 6.44 | 37.09 ± 3.13 | <0.001 |
| RBANS—language | 29.19 ± 6.37 | 33.96 ± 6.38 | <0.001 |
| RBANS—attention | 44.76 ± 13.84 | 61.49 ± 15.20 | <0.001 |
| RBANS—delayed memory | 42.64 ± 11.47 | 53.70 ± 6.09 | <0.001 |
| RBANS—total score | 189.02 ± 40.32 | 236.08 ± 29.96 | <0.001 |
| Clinical ratings (mean ± SD) | |||
| Age of onset | 24.82 ± 7.38 | - | - |
| Illness duration | 11.12 ± 10.38 | - | - |
| BPRS | 41.73 ± 9.64 | - | - |
| PANSS positive symptoms | 13.64 ± 4.63 | - | - |
| PANSS negative symptoms | 21.07 ± 9.28 | - | - |
| PANSS general symptoms | 30.10 ± 7.76 | - | - |
| SANS | 22.57 ± 19.81 | - | - |
| SAPS | 35.43 ± 21.78 | - | - |
| MADRS | 8.19 ± 8.69 | - | - |
| GAF | 46.08 ± 17.77 | - | - |
| Antipsychotic medication (mean ± SD) | - | - | |
| CPZ | 482.12 ± 306.99 | - | - |
| Models | Variable | F | p-Value |
|---|---|---|---|
| Model 1 (R2 = 0.60, p-value < 0.001) | Group | 15.52 | <0.001 |
| Reward contingency | 1.13 | 0.324 | |
| Group x reward contingency | 3.07 | 0.047 | |
| Model 2 (R2 = 0.064, p-value < 0.001) | Group | 13.79 | <0.001 |
| Reward contingency | 1.13 | 0.323 | |
| Group x reward contingency | 2.77 | 0.064 | |
| Gender | 1.83 | 0.176 | |
| Model 3 (R2 = 0.066, p-value < 0.001) | Group | 4.43 | 0.032 |
| Reward contingency | 1.51 | 0.223 | |
| Group x reward contingency | 2.77 | 0.064 | |
| Educational level | 4.43 | 0.036 | |
| Model 4 (R2 = 0.072, p-value < 0.001) | Group | 1.70 | 0.193 |
| Reward contingency | 1.53 | 0.217 | |
| Group x reward contingency | 2.77 | 0.064 | |
| RBANS total score | 4.58 | 0.033 | |
| Model 5 (R2 = 0.073, p-value = 0.001) | Group | 0.72 | 0.397 |
| Reward contingency | 1.61 | 0.202 | |
| Group x reward contingency | 2.91 | 0.056 | |
| Gender | 0.88 | 0.350 | |
| Educational level | 1.48 | 0.224 | |
| RBANS total score | 1.75 | 0.187 |
| Genetic Polymorphism | Task Phase | Variable | p-Value | ||
|---|---|---|---|---|---|
| SZ + HC | SZ | HC | |||
| DRD2 rs2734839 | Training phase | Accuracy in all trials | 0.482 | 0.439 | 0.915 |
| Test phase | Choose-A frequency | 0.445 | 0.357 | 0.882 | |
| Avoid-B frequency | 0.271 | 0.397 | 0.645 | ||
| DRD2 rs936461 | Training phase | Accuracy in all trials | 0.505 | 0.424 | 0.462 |
| Test phase | Choose-A frequency | 0.055 | 0.093 | 0.575 | |
| Avoid-B frequency | 0.569 | 0.385 | 0.990 | ||
| DRD2 rs1800497 | Training phase | Accuracy in all trials | 0.089 | 0.159 | 0.373 |
| Test phase | Choose-A frequency | 0.784 | 0.513 | 0.742 | |
| Avoid-B frequency | 0.608 | 0.484 | 0.254 | ||
| DRD2 rs1799732 | Training phase | Accuracy in all trials | 0.480 | 0.442 | 0.116 |
| Test phase | Choose-A frequency | 0.821 | 0.657 | 0.088 | |
| Avoid-B frequency | 0.951 | 0.989 | 0.842 | ||
| DRD2 rs6277 | Training phase | Accuracy in all trials | 0.379 | 0.822 | 0.652 |
| Test phase | Choose-A frequency | 0.529 | 0.180 | 0.113 | |
| Avoid-B frequency | 0.936 | 0.871 | 0.161 | ||
| DRD4 rs1800955 | Training phase | Accuracy in all trials | 0.531 | 0.814 | 0.380 |
| Test phase | Choose-A frequency | 0.039 | 0.300 | 0.047 | |
| Avoid-B frequency | 0.543 | 0.338 | 0.842 | ||
| DRD4 rs747302 | Training phase | Accuracy in all trials | 0.656 | 0.402 | 0.784 |
| Test phase | Choose-A frequency | 0.469 | 0.450 | 0.958 | |
| Avoid-B frequency | 0.548 | 0.699 | 0.592 | ||
| COMT rs4680 | Training phase | Accuracy in all trials | 0.111 | 0.673 | 0.035 |
| Test phase | Choose-A frequency | 0.803 | 0.697 | 0.577 | |
| Avoid-B frequency | 0.641 | 0.139 | 0.836 | ||
| DAT1 rs2975226 | Training phase | Accuracy in all trials | 0.294 | 0.018 | 0.746 |
| Test phase | Choose-A frequency | 0.408 | 0.501 | 0.275 | |
| Avoid-B frequency | 0.154 | 0.281 | 0.305 | ||
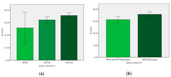
| DAT1 rs28363170 | Training phase | Accuracy in all trials | 0.042 | 0.469 | 0.004 |
| Test phase | Choose-A frequency | 0.702 | 0.528 | 0.897 | |
| Avoid-B frequency | 0.436 | 0.495 | 0.593 | ||
| DARP32 rs907094 | Training phase | Accuracy in all trials | 0.665 | 0.469 | 0.747 |
| Test phase | Choose-A frequency | 0.870 | 0.528 | 0.897 | |
| Avoid-B frequency | 0.598 | 0.495 | 0.646 | ||
Publisher’s Note: MDPI stays neutral with regard to jurisdictional claims in published maps and institutional affiliations. |
© 2021 by the authors. Licensee MDPI, Basel, Switzerland. This article is an open access article distributed under the terms and conditions of the Creative Commons Attribution (CC BY) license (https://creativecommons.org/licenses/by/4.0/).
Share and Cite
Frydecka, D.; Misiak, B.; Piotrowski, P.; Bielawski, T.; Pawlak, E.; Kłosińska, E.; Krefft, M.; Al Noaimy, K.; Rymaszewska, J.; Moustafa, A.A.; et al. The Role of Dopaminergic Genes in Probabilistic Reinforcement Learning in Schizophrenia Spectrum Disorders. Brain Sci. 2022, 12, 7. https://doi.org/10.3390/brainsci12010007
Frydecka D, Misiak B, Piotrowski P, Bielawski T, Pawlak E, Kłosińska E, Krefft M, Al Noaimy K, Rymaszewska J, Moustafa AA, et al. The Role of Dopaminergic Genes in Probabilistic Reinforcement Learning in Schizophrenia Spectrum Disorders. Brain Sciences. 2022; 12(1):7. https://doi.org/10.3390/brainsci12010007
Chicago/Turabian StyleFrydecka, Dorota, Błażej Misiak, Patryk Piotrowski, Tomasz Bielawski, Edyta Pawlak, Ewa Kłosińska, Maja Krefft, Kamila Al Noaimy, Joanna Rymaszewska, Ahmed A. Moustafa, and et al. 2022. "The Role of Dopaminergic Genes in Probabilistic Reinforcement Learning in Schizophrenia Spectrum Disorders" Brain Sciences 12, no. 1: 7. https://doi.org/10.3390/brainsci12010007
APA StyleFrydecka, D., Misiak, B., Piotrowski, P., Bielawski, T., Pawlak, E., Kłosińska, E., Krefft, M., Al Noaimy, K., Rymaszewska, J., Moustafa, A. A., & Drapała, J. (2022). The Role of Dopaminergic Genes in Probabilistic Reinforcement Learning in Schizophrenia Spectrum Disorders. Brain Sciences, 12(1), 7. https://doi.org/10.3390/brainsci12010007

