Safinamide Improves Non-Motor Symptoms Burden in Parkinson’s Disease: An Open-Label Prospective Study
Abstract
1. Introduction
2. Material and Methods
2.1. Data Analysis
2.2. Standard Protocol Approvals, Registrations and Patient Consents
2.3. Data Availability
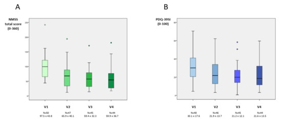
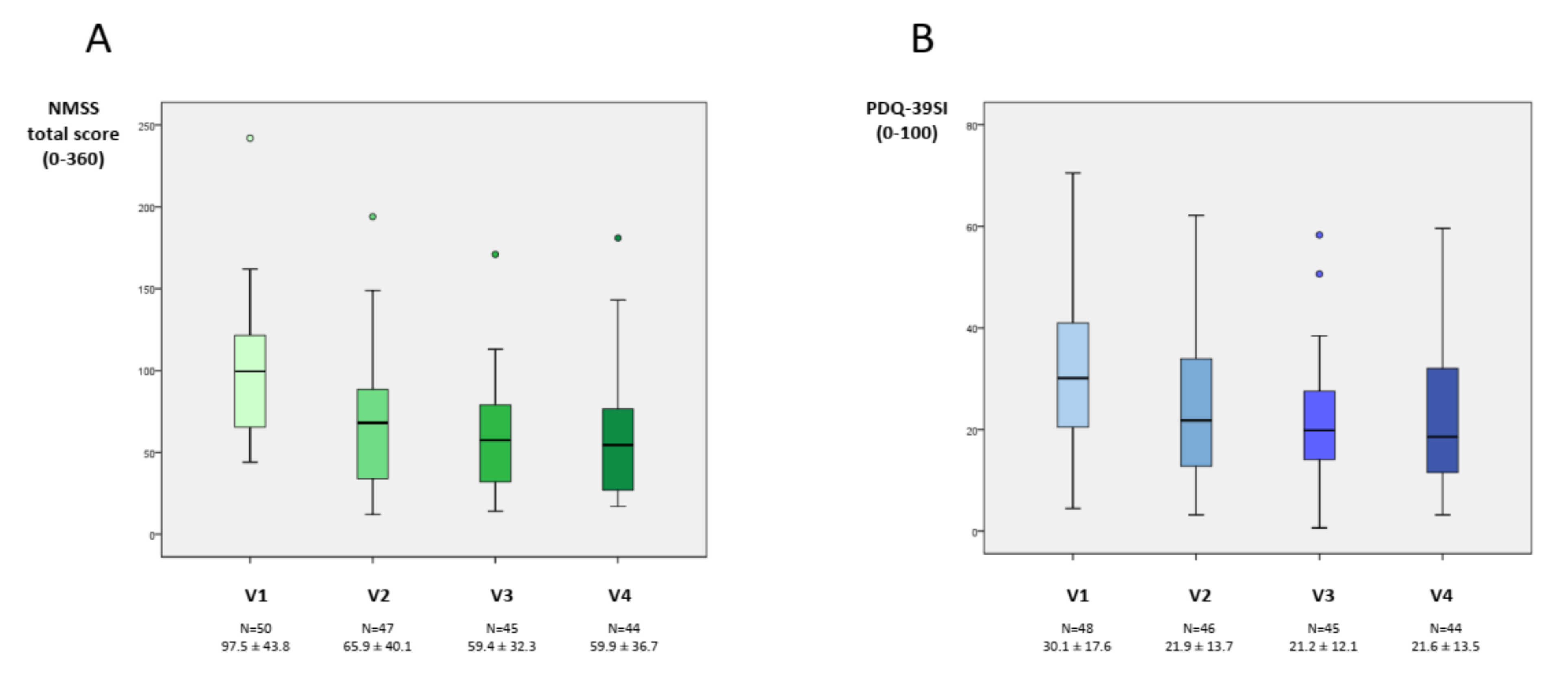
3. Results
4. Discussion
5. Conclusions
Supplementary Materials
Author Contributions
Funding
Institutional Review Board Statement
Informed Consent Statement
Acknowledgments
Conflicts of Interest
Abbreviations
| ADLS | Schwab and England Activities of Daily Living Scale |
| BDI | Beck Depression Inventory |
| CGI | Clinical Global Impressions |
| ESS | Epworth Sleepiness Scale |
| FOGQ | Freezing Of Gait Questionnaire |
| H&Y | Hoenh and Yahr |
| KPPS | King’s PD Pain Scale |
| NMS | non-motor symptoms |
| NMSS | Non-Motor Symptoms Scale |
| NPI | Neuropsychiatric Inventory |
| PDQ-39SI | 39-item Parkinson’s Disease Quality of Life Questionnaire Summary Index |
| PSQI | Pittsburgh Sleep Quality Index |
| UPDRS | Unified Parkinson’s Disease Rating Scale |
| VAFS | Visual Analog Fatigue Scale |
| VAS-Pain | Visual Analog Scale-Pain |
References
- Kalia, L.V.; Lang, A.E. Parkinson’s disease. Lancet 2015, 386, 896–912. [Google Scholar] [CrossRef]
- Lewitt, P.A. Levodopa therapy for Parkinson’s disease: Pharmacokinetics and pharmacodynamics. Mov. Disord. 2015, 30, 64–72. [Google Scholar] [CrossRef] [PubMed]
- Fabbri, M.; Rosa, M.M.; Abreu, D.; Ferreira, J.J. Clinical pharmacology review of safinamide for the treatment of Parkinson’s disease. Neurodegener. Dis. Manag. 2015, 5, 481–496. [Google Scholar] [CrossRef] [PubMed]
- Borgohain, R.; Szasz, J.; Stanzione, P.; Meshram, C.; Bhatt, M.; Chirilineau, D.; Stocchi, F.; Lucini, V.; Giuliani, R.; Forrest, E.; et al. Study 016 Investigators. Randomized trial of safinamide add-on to levodopa in Parkinson’s disease with motor fluctuations. Mov. Disord. 2014, 29, 229–237. [Google Scholar] [CrossRef] [PubMed]
- Borgohain, R.; Szasz, J.; Stanzione, P.; Meshram, C.; Bhatt, M.H.; Chirilineau, D.; Stocchi, F.; Lucini, V.; Giuliani, R.; Forrest, E.; et al. Study 018 Investigators. Two-year, randomized, controlled study of safinamide as add-on to levodopa in mid to late Parkinson’s disease. Mov. Disord. 2014, 29, 1273–1280. [Google Scholar] [CrossRef]
- Stocchi, F.; Torti, M. Adjuvant therapies for Parkinson’s disease: Critical evaluation of safinamide. Drug Des. Dev. Ther. 2016, 10, 609–618. [Google Scholar] [CrossRef]
- Schnitker, J.; Müller, T.; GmbH, B.I.; Für Angewandte, S. Meta-analysis of Placebo-controlled Clinical Trials of Safinamide and Entacapone as Add-on Therapy to Levodopa in the Treatment of Parkinson’s Disease. Eur. Neurol. Rev. 2015, 10, 15. [Google Scholar] [CrossRef]
- Kandadai, R.M.; Jabeen, S.A.; Kanikannan, M.A.; Borgohain, R. Safinamide for the treatment of Parkinson’s disease. Expert Rev. Clin. Pharmacol. 2014, 7, 747–759. [Google Scholar] [CrossRef] [PubMed]
- Perez-Lloret, S.; Rascol, O. The safety and efficacy of safinamide mesylate for the treatment of Parkinson’s disease. Expert Rev. Neurother. 2016, 16, 1–14. [Google Scholar] [CrossRef] [PubMed]
- Bianchi, M.L.E.; Riboldazzi, G.; Mauri, M.; Versino, M. Efficacy of safinamide on non-motor symptoms in a cohort of patients affected by idiopathic Parkinson’s disease. Neurol. Sci. 2019, 40, 275–279. [Google Scholar] [CrossRef] [PubMed]
- Jost, W.H.; Kupsch, A.; Mengs, J.; Delf, M.; Bosse, D. Wirksamkeit und Sicherheit von Safinamid als Zusatztherapie zu Levodopa bei Parkinson-Patienten: Eine nicht-interventionelle Beobachtungsstudie [Effectiveness and safety of safinamide as add-on to levodopa in patients with parkinson’s disease: Non-interventional study]. Fortschr. Neurol. Psychiatr. 2018, 86, 624–634. [Google Scholar]
- Müller, T. Safinamide: An add-on treatment for managing Parkinson’s disease. Clin. Pharmacol. Adv. Appl. 2018, 10, 31–41. [Google Scholar] [CrossRef]
- Pisanò, C.A.; Brugnoli, A.; Novello, S.; Caccia, C.; Keywood, C.; Melloni, E.; Vailati, S.; Padoani, G.; Morari, M. Safinamide inhibits in vivo glutamate release in a rat model of Parkinson’s disease. Neuropharmacology 2020, 167, 108006. [Google Scholar] [CrossRef] [PubMed]
- Santos-García, D.; de la Fuente-Fernández, R. Impact of non-motor symptoms on health-related and perceived quality of life in Parkinson’s disease. J. Neurol. Sci. 2013, 332, 136–140. [Google Scholar] [CrossRef] [PubMed]
- Antonini, A.; Bauer, L.; Dohin, E.; Oertel, W.H.; Rascol, O.; Reichmann, H.; Schmid, M.; Singh, P.; Tolosa, E.; Chaudhuri, K.R. Effects of rotigotine transdermal patch in patients with Parkinson’s disease presenting with non-motor symptoms—Results of a double-blind, randomized, placebo-controlled trial. Eur. J. Neurol. 2015, 22, 1400–1407. [Google Scholar] [CrossRef] [PubMed]
- Daniel, S.E.; Lees, A.J. Parkinson’s Disease Society Brain Bank, London: Overview and research. J. Neural Transm. Suppl. 1993, 39, 165–172. [Google Scholar] [PubMed]
- Dubois, B.; Burn, D.; Goetz, C.; Aarsland, D.; Brown, R.G.; Broe, G.A.; Dickson, D.; Duyckaerts, C.; Cummings, J.; Gauthier, S.; et al. Diagnostic procedures for Parkinson’s disease dementia: Recommendations from the movement disorder society task force. Mov. Disord. 2007, 22, 2314–2324. [Google Scholar] [CrossRef]
- Hoehn, M.M.; Yahr, M.D. Parkinsonism: Onset, progression, and mortality. Neurology 1967, 17, 427. [Google Scholar] [CrossRef] [PubMed]
- Fahn, S.; Elton, R.L.; Members of the UPDRS Development Committee. Unified Parkinson’s Disease Rating Scale. In Recent Developments in Parkinson’s Disease; Fahn, S., Marsden, C.D., Calne, D.B., Goldstein, M., Eds.; Macmillan Health Care Information: Florham Park, NJ, USA, 1987; Volume 2, pp. 153–164. [Google Scholar]
- Giladi, N.; Shabtai, H.; Simon, E.; Biran, S.; Tal, J.; Korczyn, A. Construction of freezing of gait questionnaire for patients with Parkinsonism. Park. Relat. Disord. 2000, 6, 165–170. [Google Scholar] [CrossRef]
- Chaudhuri, K.R.; Martinez-Martin, P.; Brown, R.G.; Sethi, K.; Stocchi, F.; Odin, P.; Ondo, W.; Abe, K.; Macphee, G.; Macmahon, D.; et al. The metric properties of a novel non-motor symptoms scale for Parkinson’s disease: Results from an international pilot study. Mov. Disord. 2007, 22, 1901–1911. [Google Scholar] [CrossRef]
- Johns, M.W. A New Method for Measuring Daytime Sleepiness: The Epworth Sleepiness Scale. Sleep 1991, 14, 540–545. [Google Scholar] [CrossRef] [PubMed]
- Buysse, D.J.; Reynolds, C.F., 3rd; Monk, T.H.; Berman, S.R.; Kupfer, D.J. The Pittsburgh Sleep Quality Index: A new instrument for psychiatric practice and research. Psychiatry Res. 1989, 28, 193–213. [Google Scholar] [CrossRef]
- Beck, A.T.; Steer, R.A.; Brown, G.K. Beck Depression Inventory, 2nd ed.; Manual; The Psychological Corporation: San Antonio, TX, USA, 1996. [Google Scholar]
- Chaudhuri, K.R.; Rizos, A.; Trenkwalder, C.; Rascol, O.; Pal, S.; Martino, D.; Carroll, C.; Paviour, D.; Falup-Pecurariu, C.; Kessel, B.; et al. King’s Parkinson’s disease pain scale, the first scale for pain in PD: An international validation. Mov. Disord. 2015, 30, 1623–1631. [Google Scholar] [CrossRef]
- Burckhardt, C.S.; Jones, K.D. Adult measures of pain: The McGill Pain Questionnaire (MPQ), Rheumatoid Arthritis Pain Scale (RAPS), Short-Form McGill Pain Questionnaire (SF-MPQ), Verbal Descriptive Scale (VDS), Visual Analog Scale (VAS), and West Haven-Yale Multidisciplinary Pain Inventory (WHYMPI). Arthritis Rheum. 2003, 49, S96–S104. [Google Scholar] [CrossRef]
- Tseng, B.Y.; Gajewski, B.J.; Kluding, P.M. Reliability, Responsiveness, and Validity of the Visual Analog Fatigue Scale to Measure Exertion Fatigue in People with Chronic Stroke: A Preliminary Study. Stroke Res. Treat. 2010, 2010, 1–7. [Google Scholar] [CrossRef] [PubMed]
- Schwab, R.S.; England, A.C. Third Symposium on Parkinson’s Disease; E & S Livingstone: Edinburgh, UK, 1969; pp. 152–157. [Google Scholar]
- Jenkinson, C.; Fitzpatrick, R.; Peto, V.; Greenhall, R.; Hyman, N. The Parkinson’s Disease Questionnaire (PDQ-39): Development and validation of a Parkinson’s disease summary index score. Age Ageing 1997, 26, 353–357. [Google Scholar] [CrossRef] [PubMed]
- Guy, W. ECDEU Assessment Manual for Psychopharmacology; U.S. Dept. of Health, Education, and Welfare, Public Health Service, Alcohol, Drug Abuse, and Mental Health Administration, National Institute of Mental Health, Psychopharmacology Research Branch, Division of Extramural Research Programs: Rockville, MD, USA, 1976; pp. 218–222.
- Schade, S.; Mollenhauer, B.; Trenkwalder, C. Levodopa Equivalent Dose Conversion Factors: An Updated Proposal Including Opicapone and Safinamide. Mov. Disord. Clin. Pract. 2020, 7, 343–345. [Google Scholar] [CrossRef] [PubMed]
- Martinez-Martin, P.; Ray Chaudhuri, K. Comprehensive grading of Parkinson’s disease using motor and non-motor assessments: Addressing a key unmet need. Expert Rev. Neurother. 2018, 18, 41–50. [Google Scholar] [CrossRef]
- Gómez-López, A.; Sánchez-Sánchez, A.; Natera-Villalba, E.; Ros-Castelló, V.; Beltrán-Corbellini, Á.; Fanjul-Arbós, S.; Moreno, I.P.; Moreno, J.L.L.-S.; Castrillo, J.C.M.; Alonso-Canovas, A. SURINPARK: Safinamide for Urinary Symptoms in Parkinson’s Disease. Brain Sci. 2021, 11, 57. [Google Scholar] [CrossRef]
- Rinaldi, D.; Sforza, M.; Assogna, F.; Savini, C.; Salvetti, M.; Caltagirone, C.; Spalletta, G.; Pontieri, F.E. Safinamide improves executive functions in fluctuating Parkinson’s disease patients: An exploratory study. J. Neural Transm. 2020. [Google Scholar] [CrossRef] [PubMed]
- Santos García, D.; De Deus Fonticoba, T.; Muñoz, G. Staging Parkinson’s Disease Combining Motor and Non-motor Symptoms Correlates with Disability and Quality of Life. Parkinson’s Disease 2021, in press. [Google Scholar]
- Santos García, D.; de Deus Fonticoba, T.; Castro, E.S.; Borrué, C.; Mata, M.; Solano Vila, B.; Cots Foraster, A.; Álvarez Sauco, M.; Rodríguez Pérez, A.B.; Vela, L.; et al. COPPADIS Study Group. Non-motor symptoms burden, mood, and gait problems are the most significant factors contributing to a poor quality of life in non-demented Parkinson’s disease patients: Results from the COPPADIS Study Cohort. Parkinsonism Relat. Disord. 2019, 66, 151–157. [Google Scholar] [CrossRef] [PubMed]
- Cattaneo, C.; Müller, T.; Bonizzoni, E.; Lazzeri, G.; Kottakis, I.; Keywood, C. Long-Term Effects of Safinamide on Mood Fluctuations in Parkinson’s Disease. J. Park. Dis. 2017, 7, 629–634. [Google Scholar] [CrossRef] [PubMed]
- Cattaneo, C.; Kulisevsky, J.; Tubazio, V.; Castellani, P. Long-term Efficacy of Safinamide on Parkinson’s Disease Chronic Pain. Adv. Ther. 2018, 35, 515–522. [Google Scholar] [CrossRef] [PubMed]
- Cattaneo, C.; Barone, P.; Bonizzoni, E.; Sardina, M. Effects of Safinamide on Pain in Fluctuating Parkinson’s Disease Patients: A Post-Hoc Analysis. J. Park. Dis. 2017, 7, 95–101. [Google Scholar] [CrossRef]
- Geroin, C.; Di Vico, I.A.; Squintani, G.; Segatti, A.; Bovi, T.; Tinazzi, M. Effects of safinamide on pain in Parkinson’s disease with motor fluctuations: An exploratory study. J. Neural Transm. 2020, 127, 1143–1152. [Google Scholar] [CrossRef] [PubMed]
- Liguori, C.; Stefani, A.; Ruffini, R.; Mercuri, N.B.; Pierantozzi, M. Safinamide effect on sleep disturbances and daytime sleepiness in motor fluctuating Parkinson’s disease patients: A validated questionnaires-controlled study. Parkinsonism Relat. Disord. 2018, 57, 80–81. [Google Scholar] [CrossRef]
- Liguori, C.; Mercuri, N.B.; Stefani, A.; Pierantozzi, M. Effective treatment of restless legs syndrome by safinamide in Parkinson’s disease patients. Sleep Med. 2018, 41, 113–114. [Google Scholar] [CrossRef] [PubMed]
- Fil, A.; Cano-De-La-Cuerda, R.; Muñoz-Hellín, E.; Vela, L.; Ramiro-González, M.; Fernández-De-Las-Peñas, C. Pain in Parkinson disease: A review of the literature. Park. Relat. Disord. 2013, 19, 285–294. [Google Scholar] [CrossRef]
- Morari, M.; Brugnoli, A.; Pisanò, C.A.; Novello, S.; Caccia, C.; Melloni, E.; Padoani, G.; Vailati, S.; Sardina, M. Safinamide Differentially Modulates In Vivo Glutamate and GABA Release in the Rat Hippocampus and Basal Ganglia. J. Pharmacol. Exp. Ther. 2017, 364, 198–206. [Google Scholar] [CrossRef]
- Huang, Y.H.; Chen, J.H.; Loh, E.W.; Chan, L.; Hong, C.T. The effect of monoamine oxidase-B inhibitors on the alleviation of de-pressive symptoms in Parkinson’s disease: Meta-analysis of randomized controlled trials. Ther. Adv. Psychopharmacol. 2021, 11, 2045125320985993. [Google Scholar] [CrossRef]
- Cattaneo, C.; Sardina, M.; Bonizzoni, E. Safinamide as Add-On Therapy to Levodopa in Mid- to Late-Stage Parkinson’s Disease Fluctuating Patients: Post hoc Analyses of Studies 016 and SETTLE. J. Parkinsons Dis. 2016, 6, 165–173. [Google Scholar] [CrossRef] [PubMed]
- Cattaneo, C.; Jost, W.H.; Bonizzoni, E. Long-Term Efficacy of Safinamide on Symptoms Severity and Quality of Life in Fluctuating Parkinson’s Disease Patients. J. Park. Dis. 2020, 10, 89–97. [Google Scholar] [CrossRef] [PubMed]
- Tsuboi, Y.; Hattori, N.; Yamamoto, A.; Sasagawa, Y.; Nomoto, M.; ME2125-4 Study Group. Long-term safety and efficacy of safinamide as add-on therapy in levodopa-treated Japanese patients with Parkinson’s disease with wearing-off: Results of an open-label study. J. Neurol. Sci. 2020, 416, 117012. [Google Scholar] [CrossRef] [PubMed]
- Rahimi, F.; Roberts, A.C.; Jog, M. Patterns and predictors of freezing of gait improvement following rasagiline therapy: A pilot study. Clin. Neurol. Neurosurg. 2016, 150, 117–124. [Google Scholar] [CrossRef] [PubMed]
- Hattori, N.; Tsuboi, Y.; Yamamoto, A.; Sasagawa, Y.; Nomoto, M.; ME2125-3 Study Group. Efficacy and safety of safinamide as an add-on therapy to L-DOPA for patients with Parkinson’s disease: A randomized, double-blind, placebo-controlled, phase II/III study. Parkinsonism Relat. Disord. 2020, 75, 17–23. [Google Scholar] [CrossRef]
- Abdelalem Aziz Ahmed, M. A systematic review and meta-analysis of safety and efficacy of safinamide for motor fluctuations in patients with Parkinson’s disease. F1000Research 2019, 8, 2078. [Google Scholar] [CrossRef]
- Martí-Andrés, G.; Jiménez-Bolaños, R.; Arbelo-González, J.M.; Pagonabarraga, J.; Duran-Herrera, C.; Valenti-Azcarate, R.; Luquin, M.R. Safinamide in Clinical Practice: A Spanish Multicenter Cohort Study. Brain Sci. 2019, 9, 272. [Google Scholar] [CrossRef]
- Abbruzzese, G.; Kulisevsky, J.; Bergmans, B.; Gomez-Esteban, J.C.; Kägi, G.; Raw, J.; Stefani, A.; Warnecke, T.; Jost, W.H.; the SYNAPSES Study Investigators Group. A European Observational Study to Evaluate the Safety and the Effectiveness of Safinamide in Routine Clinical Practice: The SYNAPSES Trial. J. Park. Dis. 2021, 11, 187–198. [Google Scholar] [CrossRef]
- Schapira, A.H.; Fox, S.H.; Hauser, R.A.; Jankovic, J.; Jost, W.H.; Kenney, C.; Kulisevsky, J.; Pahwa, R.; Poewe, W.; Anand, R. Assessment of Safety and Efficacy of Safinamide as a Levodopa Adjunct in Patients with Parkinson Disease and Motor Fluctuations: A Randomized Clinical Trial. JAMA Neurol. 2017, 74, 216–224. [Google Scholar] [CrossRef]
- Santos-García, D.; Oreiro, M.; Pérez, P.; Fanjul, G.; Paz González, J.M.; Feal Painceiras, M.J.; Bartolomé, C.C.; Aymerich, L.V.; Sancho, C.G.; Rodrigo, M.d.M.C. Impact of Coronavirus Disease 2019 Pandemic on Parkinson’s Disease: A Cross-Sectional Survey of 568 Spanish Patients. Mov. Disord. 2020, 35, 1712–1716. [Google Scholar] [CrossRef] [PubMed]



| N | N | ||||
|---|---|---|---|---|---|
| Age | 50 | 68.50 ± 9.12 | Time from diagnosis of PD | 48 | 6.39 ± 5.06 |
| Gender (females) (%) | 50 | 58 | |||
| Race (%) | 50 | Motor fluctuations (%) | 50 | 78 | |
| - Caucasian | 50 | 98 | Dyskinesia (%) | 50 | 30 |
| - Indian | 50 | 2 | Cognitive impairment (%) | 50 | 4 |
| Civil status (%): | 27 | Treatment for PD (%): | 50 | ||
| - Married | 70.4 | - Levodopa | 94 | ||
| - Widowed | 22.2 | - Dopamine agonists: | 66 | ||
| - Other | 7.4 | * Pramipexole | 36 | ||
| * Ropinirole | 14 | ||||
| Living style (%) | 29 | * Rotigotine | 18 | ||
| - With the partner | 65.5 | - COMT inhibitor | 34 | ||
| - With another family member | 27.6 | * Entacapone | 16 | ||
| - Other | 7.2 | * Opicapone | 18 | ||
| - Amantadine | 8 | ||||
| Habitat (%): | 30 | - Anticholinergic drug | 0 | ||
| - Rural (<5.000) | 13.4 | L-dopa daily dose (mg) | 612.23 ± 423.4 | ||
| - Semiurban (5.000–20.000) | 23.3 | DA daily dose (mg) | 234.33 ± 96.19 | ||
| - Urban (>20.000) | 63.3 | LEDD (mg) | 810.21 ± 518.14 | ||
| Comorbidities (%): | 50 | Other treatments (%): | 50 | ||
| - Arterial hypertension | 40 | - Antidepressant | 32 | ||
| - Diabetes mellitus | 20 | - Benzodiazepine | 38 | ||
| - Dyslipemia | 36 | - Antipsychotic | 4 | ||
| - Cardiopathy | 10 | - Analgesic | 22 | ||
| - Cardiac arrhythmia | 12 | ||||
| - Smoking | 10 | Number of anti-PD drugs | 50 | 2.27 ± 0.94 | |
| - Alcohol consumption | 12 | Total number of drugs | 50 | 6.36 ± 3.14 |
| V1 | N (V1) | V4 | N (V4) | ∆ V1−V4 | p | |
|---|---|---|---|---|---|---|
| MOTOR ASSESSMENT | ||||||
| H&Y-OFF | 2.5 [2,3] | 46 | N. A. | |||
| H&Y-ON | 2 [2,2.5] | 49 | N. A. | |||
| UPDRS-III-ON | 24.63 ± 9.12 | 48 | 20.21 ± 9.81 | 39 | −17.9% | 0.009 |
| UPDRS-IV | 3.82 ± 2.55 | 50 | 2.82 ± 2.38 | 34 | −25.4% | 0.188 |
| FOGQ | 6.10 ± 5.23 | 48 | 5.68 ± 4.96 | 44 | −6.9% | 0.24 |
| NON MOTOR ASSESSMENT | ||||||
| NMSS total score | 97.48 ± 43.70 | 50 | 59.91 ± 35.49 | 44 | −38.5% | <0.0001 |
| - Cardiovascular | 9.58 ± 2.46 | 50 | 6.72 ± 11.94 | 44 | −29.9% | 0.268 |
| - Sleep/fatigue | 36.08 ± 21.77 | 50 | 23.15 ± 18.12 | 44 | −35.8% | 0.002 |
| - Mood/apathy | 34.42 ± 29.89 | 50 | 14.49 ± 19.63 | 44 | −57.9% | <0.0001 |
| - Perceptual symptoms | 4.33 ± 8.67 | 50 | 2.84 ± 5.88 | 44 | −34.4% | 0.63 |
| - Attention/memory | 17.50 ± 17.09 | 50 | 13.32 ± 18.19 | 44 | −23.9% | 0.026 |
| - Gastrointestinal symptoms | 19.61 ± 18.01 | 50 | 13.13 ± 13.39 | 44 | −33.0% | 0.01 |
| - Urinary symptos | 42.72 ± 30.41 | 50 | 30.62 ± 23.94 | 44 | −28.3% | 0.003 |
| - Sexual dysfunction | 28.25 ± 35.69 | 50 | 25.28 ± 33.58 | 44 | −10.5% | 0.784 |
| - Miscellaneous | 33.33 ± 20.73 | 50 | 18.99 ± 14.03 | 44 | −43.0% | <0.0001 |
| ESS | 9.20 ± 5.64 | 49 | 6.93 ± 5.11 | 44 | −24.7% | 0.012 |
| PSQI | 10.43 ± 4.02 | 47 | 8.36 ± 4.41 | 42 | −19.8% | 0.001 |
| BDI-II | 15.88 ± 10.46 | 50 | 10.18 ± 6.76 | 44 | −35.9% | <0.0001 |
| KPPS | 40.04 ± 36.18 | 48 | 22.60 ± 21.42 | 44 | −43.6% | <0.0001 |
| - Musculoskeletal pain | 48.44 ± 39.74 | 48 | 31.06 ± 30.15 | 44 | −35.9% | 0.009 |
| - Chronic pain | 11.89 ± 21.14 | 48 | 8.24 ± 15.24 | 44 | −30.7% | 0.636 |
| - Fluctuation-related pain | 11.11 ± 15.08 | 48 | 5.37 ± 10.74 | 44 | −51.7% | 0.02 |
| - Nocturnal pain | 23.18 ± 27.30 | 48 | 12.50 ± 26.17 | 44 | −46.1% | 0.001 |
| - Oro-facial pain | 2.49 ± 9.58 | 48 | 0.82 ± 3.20 | 44 | −67.1% | 1 |
| - Discoloration, edema/swelling | 11.46 ± 17.99 | 48 | 5.68 ± 11.65 | 44 | 50.40% | 0.009 |
| - Radicular pain | 16.32 ± 30.60 | 48 | 9.66 ± 22.15 | 44 | −40.1% | 0.048 |
| VAS—PAIN | 4.61 ± 3.22 | 49 | 3.67 ± 2.69 | 43 | −20.4% | 0.071 |
| VAFS—Physical | 4.18 ± 2.84 | 49 | 3.64 ± 2.55 | 44 | −12.9% | 0.293 |
| VAFS—Mental | 3.14 ± 2.65 | 49 | 2.45 ± 2.79 | 44 | −21.9% | 0.118 |
| QOL AND AUTONOMY | ||||||
| PDQ-39SI | 30.07 ± 17.61 | 49 | 21.24 ± 13.48 | 44 | −29.4% | <0.0001 |
| - Mobility | 34.55 ± 27.79 | 49 | 29.09 ± 26.85 | 44 | −15.8% | 0.037 |
| - Activities of daily living | 26.50 ± 23.94 | 49 | 17.80 ± 17.96 | 44 | −32.8% | 0.014 |
| - Emotional well-being | 44.30 ± 29.34 | 49 | 26.33 ± 23.01 | 44 | −40.6% | <0.0001 |
| - Stigmatization | 15.82 ± 22.79 | 49 | 7.67 ± 13.13 | 44 | −51.5% | 0.021 |
| - Social support | 7.48 ± 16.51 | 49 | 3.59 ± 12.63 | 44 | −52.0% | 0.302 |
| - Cognition | 27.17 ± 22.00 | 49 | 23.72 ± 22.49 | 44 | −12.7% | 0.876 |
| - Communication | 20.07 ± 26.73 | 49 | 12.12 ± 15.19 | 44 | −39.6% | 0.203 |
| - Pain and discomfort | 44.56 ± 27.35 | 49 | 33.33 ± 19.93 | 44 | −25.2% | 0.018 |
| ADLS | 81.40 ± 11.78 | 50 | 80.91 ± 16.39 | 44 | −0.6% | 0.845 |
| Adverse Events | N |
|---|---|
| Total AEs, N | 21 |
| - Nausea | 3 |
| - Dyskenia | 3 |
| - Diurnal somnolence | 2 |
| - Urinary infection | 1 |
| - Dizziness | 1 |
| - Pneumonia | 1 |
| - Respiratory insufficiency | 1 |
| - Rash | 1 |
| - Diurnal somnolence | 1 |
| - Dry mouth | 1 |
| - Insomnia | 1 |
| - Increased appetite | 1 |
| - Abdominal pain | 1 |
| - Constipation | 1 |
| - Urinary incontinence | 1 |
| - Deep brain stimulation surgery | 1 |
| Patients with at least one AE, N (%) | 16 (32) |
| At least possibly related AEs, N | 14 |
| Patients with at least possibly * related to safinamide AEs, N (%) | 9 (18) |
| Total SAEs, N | 5 |
| - Urinary infection | 1 |
| - Pneumonia | 1 |
| - Respiratoy insufficiency | 1 |
| - Dizziness | 1 |
| - Deep brain stimulation surgery | 1 |
| Patients with at least one SAE, N (%) | 5 (10) |
| At least possibly * related to safinamide SAEs, N | 0 |
| Patients with at least possibly being related to safinamide SAEs, N (%) | 0 (0) |
| Patients with at least one AE leading to discontinuation, N (%) | 4 (8) |
| Patients with at least one possibly * being related to safinamide AE leading to discontinuation N (%) | 1 (2) |
| Deaths, N (%) | 0 (0) |
Publisher’s Note: MDPI stays neutral with regard to jurisdictional claims in published maps and institutional affiliations. |
© 2021 by the authors. Licensee MDPI, Basel, Switzerland. This article is an open access article distributed under the terms and conditions of the Creative Commons Attribution (CC BY) license (http://creativecommons.org/licenses/by/4.0/).
Share and Cite
Santos García, D.; Labandeira Guerra, C.; Yáñez Baña, R.; Cimas Hernando, M.I.; Cabo López, I.; Paz Gonález, J.M.; Alonso Losada, M.G.; González Palmás, M.J.; Martínez Miró, C. Safinamide Improves Non-Motor Symptoms Burden in Parkinson’s Disease: An Open-Label Prospective Study. Brain Sci. 2021, 11, 316. https://doi.org/10.3390/brainsci11030316
Santos García D, Labandeira Guerra C, Yáñez Baña R, Cimas Hernando MI, Cabo López I, Paz Gonález JM, Alonso Losada MG, González Palmás MJ, Martínez Miró C. Safinamide Improves Non-Motor Symptoms Burden in Parkinson’s Disease: An Open-Label Prospective Study. Brain Sciences. 2021; 11(3):316. https://doi.org/10.3390/brainsci11030316
Chicago/Turabian StyleSantos García, Diego, Carmen Labandeira Guerra, Rosa Yáñez Baña, Maria Icíar Cimas Hernando, Iria Cabo López, Jose Manuel Paz Gonález, Maria Gemma Alonso Losada, María José González Palmás, and Cristina Martínez Miró. 2021. "Safinamide Improves Non-Motor Symptoms Burden in Parkinson’s Disease: An Open-Label Prospective Study" Brain Sciences 11, no. 3: 316. https://doi.org/10.3390/brainsci11030316
APA StyleSantos García, D., Labandeira Guerra, C., Yáñez Baña, R., Cimas Hernando, M. I., Cabo López, I., Paz Gonález, J. M., Alonso Losada, M. G., González Palmás, M. J., & Martínez Miró, C. (2021). Safinamide Improves Non-Motor Symptoms Burden in Parkinson’s Disease: An Open-Label Prospective Study. Brain Sciences, 11(3), 316. https://doi.org/10.3390/brainsci11030316

