Adaptation in Gait to Body-Weight Unloading
Abstract
1. Introduction
2. Materials and Methods
2.1. Participants
2.2. Body-Weight Unloading
2.3. Gait Assessment
2.4. Weight Perception
2.5. Data Analysis
- Mean of the first 30 strides after one minute of walking before the unloaded or control adaptation session (T0)
- Mean of 30 strides just prior to the completion of the control or unloading adaptation session starting from 29 min (Tduring)
- Mean of the first 30 strides immediately after 30 min of the adaptation session (control and unloading), i.e., immediately post adaptation (T1)
- Mean of 30 strides immediately after the first 100 strides of the post-adaptation session (101–130 strides) (T2)
- Mean of the first 30 strides immediately after 3 min of the post-adaptation session (T3)
- Mean of the first 30 strides immediately after 6 min of the post-adaptation session (T4)
- Mean of the first 30 strides immediately after 9 min of the post-adaptation session (T5).
2.6. Temporal Gait Measures
2.7. Kinematic Measures
2.8. EMG Measures
- Loading response (1–12%)
- Mid-stance (12–31%)
- Terminal stance (31–50%)
- Pre-swing (50–62%)
- Initial swing (62–75%)
- Mid-swing (75–87%)
- Terminal swing (87–100%)
2.9. Statistical Analyses
3. Results
3.1. Body-Weight Perception
3.2. Temporal Gait Measures
3.3. Kinematics
3.4. EMG
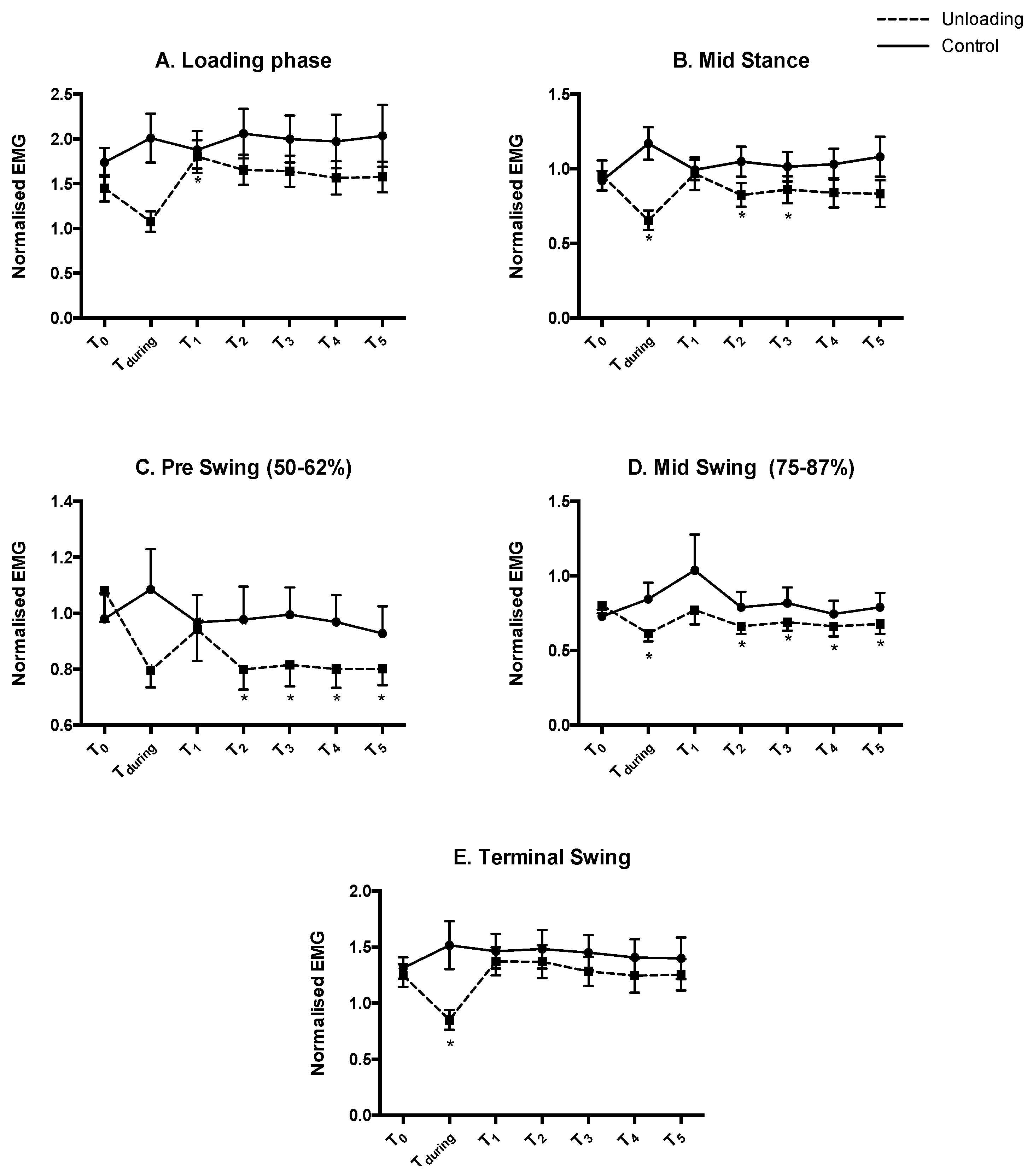
3.4.1. Rectus Femoris Activity
3.4.2. Biceps Femoris Activity
3.4.3. Gastrocnemius Activity
3.4.4. Tibialis Anterior Activity
4. Discussion
4.1. Body-Weight Perception
4.2. Temporal Gait Measures
4.3. Kinematics
4.4. EMG
4.4.1. During Adaptation
4.4.2. Post-Adaptation
4.5. Clinical Implications
5. Conclusions
6. Future Direction
Author Contributions
Funding
Acknowledgments
Conflicts of Interest
References
- Shadmehr, R.; Smith, M.A.; Krakauer, J.W. Error correction, sensory prediction, and adaptation in motor control. Annu. Rev. Neurosci. 2010, 33, 89–108. [Google Scholar] [CrossRef] [PubMed]
- Mazzoni, P.; Krakauer, J.W. An implicit plan overrides an explicit strategy during visuomotor adaptation. J. Neurosci. 2006, 26, 3642–3645. [Google Scholar] [CrossRef] [PubMed]
- Adams, H.; Narasimham, G.; Rieser, J.; Creem-Regehr, S.; Stefanucci, J.; Bodenheimer, B. Locomotive Recalibration and Prism Adaptation of Children and Teens in Immersive Virtual Environments. IEEE Trans. Vis. Comput. Graph. 2018, 24, 1408–1417. [Google Scholar] [CrossRef] [PubMed]
- Martin, T.A.; Keating, J.G.; Goodkin, H.P.; Bastian, A.J.; Thach, W.T. Throwing while looking through prisms. II. Specificity and storage of multiple gaze-throw calibrations. Brain 1996, 119 Pt 4, 1199–1211. [Google Scholar] [CrossRef]
- Temple, D.R.; De Dios, Y.E.; Layne, C.S.; Bloomberg, J.J.; Mulavara, A.P. Efficacy of Stochastic Vestibular Stimulation to Improve Locomotor Performance During Adaptation to Visuomotor and Somatosensory Distortion. Front. Physiol. 2018, 9. [Google Scholar] [CrossRef]
- Reisman, D.S.; Bastian, A.J.; Morton, S.M. Neurophysiologic and rehabilitation insights from the split-belt and other locomotor adaptation paradigms. Phys. Ther. 2010, 90, 187–195. [Google Scholar] [CrossRef]
- Torres-Oviedo, G.; Vasudevan, E.; Malone, L.; Bastian, A.J. Locomotor adaptation. Prog. Brain Res. 2011, 191, 65–74. [Google Scholar]
- Helm, E.E.; Reisman, D.S. The Split-Belt Walking Paradigm: Exploring Motor Learning and Spatiotemporal Asymmetry Poststroke. Phys. Med. Rehabil. Clin. N. Am. 2015, 26, 703–713. [Google Scholar] [CrossRef]
- Gordon, C.R.; Fletcher, W.A.; Melvill Jones, G.; Block, E.W. Adaptive plasticity in the control of locomotor trajectory. Exp. Brain Res. 1995, 102, 540–545. [Google Scholar] [CrossRef]
- Mulavara, A.P.; Richards, J.T.; Ruttley, T.; Marshburn, A.; Nomura, Y.; Bloomberg, J.J. Exposure to a rotating virtual environment during treadmill locomotion causes adaptation in heading direction. Exp. Brain Res. 2005, 166, 210–219. [Google Scholar] [CrossRef][Green Version]
- Davis, B.L.; Cavanagh, P.R.; Sommer, H.J.; Wu, G. Ground reaction forces during locomotion in simulated microgravity. Aviat. Space Environ. Med. 1996, 67, 235–242. [Google Scholar] [PubMed]
- Ivanenko, Y.P.; Grasso, R.; Macellari, V.; Lacquaniti, F. Control of foot trajectory in human locomotion: Role of ground contact forces in simulated reduced gravity. J. Neurophysiol. 2002, 87, 3070–3089. [Google Scholar] [CrossRef] [PubMed]
- Grabowski, A.M. Metabolic and biomechanical effects of velocity and weight support using a lower-body positive pressure device during walking. Arch. Phys. Med. Rehabil. 2010, 91, 951–957. [Google Scholar] [CrossRef] [PubMed]
- Kurz, M.J.; Deffeyes, J.E.; Arpin, D.J.; Karst, G.M.; Stuberg, W.A. Influence of lower body pressure support on the walking patterns of healthy children and adults. J. Appl. Biomech. 2012, 28, 530–541. [Google Scholar] [CrossRef] [PubMed]
- Takakusaki, K. Neurophysiology of gait: From the spinal cord to the frontal lobe. Mov. Disord. 2013, 28, 1483–1491. [Google Scholar] [CrossRef]
- Nielsen, J.B.; Sinkjaer, T. Afferent feedback in the control of human gait. J. Electromyogr. Kinesiol. 2002, 12, 213–217. [Google Scholar] [CrossRef]
- Pearson, K.G. Generating the walking gait: Role of sensory feedback. Prog. Brain Res. 2004, 143, 123–129. [Google Scholar]
- Dietz, V.; Müller, R.; Colombo, G. Locomotor activity in spinal man: Significance of afferent input from joint and load receptors. Brain 2002, 125, 2626–2634. [Google Scholar] [CrossRef]
- Harkema, S.J.; Hurley, S.L.; Patel, U.K.; Requejo, P.S.; Dobkin, B.H.; Edgerton, V.R. Human lumbosacral spinal cord interprets loading during stepping. J. Neurophysiol. 1997, 77, 797–811. [Google Scholar] [CrossRef]
- Layne, C.S.; Lange, G.W.; Pruett, C.J.; McDonald, P.V.; Merkle, L.A.; Mulavara, A.P.; Smith, S.L.; Kozlovskaya, I.B.; Bloomberg, J.J. Adaptation of neuromuscular activation patterns during treadmill walking after long-duration space flight. Acta Astronaut. 1998, 43, 107–119. [Google Scholar] [CrossRef]
- Takacs, J.; Anderson, J.E.; Leiter, J.R.; MacDonald, P.B.; Peeler, J.D. Lower body positive pressure: An emerging technology in the battle against knee osteoarthritis? Clin. Interv. Aging 2013, 8, 983–991. [Google Scholar] [PubMed]
- Kurz, M.J.; Corr, B.; Stuberg, W.; Volkman, K.G.; Smith, N. Evaluation of lower body positive pressure supported treadmill training for children with cerebral palsy. Pediatr. Phys. Ther. 2011, 23, 232–239. [Google Scholar] [CrossRef] [PubMed]
- Ruckstuhl, H.; Kho, J.; Weed, M.; Wilkinson, M.W.; Hargens, A.R. Comparing two devices of suspended treadmill walking by varying body unloading and Froude number. Gait Posture 2009, 30, 446–451. [Google Scholar] [CrossRef] [PubMed]
- Finch, L.; Barbeau, H.; Arsenault, B. Influence of body weight support on normal human gait: Development of a gait retraining strategy. Phys. Ther. 1991, 71, 842–855, discussion 855–856. [Google Scholar] [CrossRef] [PubMed]
- Sylos-Labini, F.; Lacquaniti, F.; Ivanenko, Y.P. Human locomotion under reduced gravity conditions: Biomechanical and neurophysiological considerations. Biomed. Res. Int. 2014, 2014, 547242. [Google Scholar] [CrossRef] [PubMed]
- Newman, D.J.; Alexander, H.L.; Webbon, B.W. Energetics and mechanics for partial gravity locomotion. Aviat. Space Environ. Med. 1994, 65, 815–823. [Google Scholar]
- Fischer, A.G.; Wolf, A. Assessment of the effects of body weight unloading on overground gait biomechanical parameters. Clin. Biomech. (Bristol, Avon) 2015, 30, 454–461. [Google Scholar] [CrossRef]
- Apte, S.; Plooij, M.; Vallery, H. Influence of body weight unloading on human gait characteristics: A systematic review. J. NeuroEng. Rehabil. 2018, 15, 53. [Google Scholar] [CrossRef]
- Sainton, P.; Nicol, C.; Cabri, J.; Barthelemy-Montfort, J.; Berton, E.; Chavet, P. Influence of short-term unweighing and reloading on running kinetics and muscle activity. Eur. J. Appl. Physiol. 2015, 115, 1135–1145. [Google Scholar] [CrossRef]
- Ruttley, T.M. The Role of Load-Regulating Mechanisms in Gaze Stabilization during Locomotion; University of Texas Medical Branch: Galveston, TX, USA, 2007. [Google Scholar]
- Reschke, M.F.; Bloomberg, J.J.; Harm, D.L.; Paloski, W.H.; Layne, C.; McDonald, V. Posture, locomotion, spatial orientation, and motion sickness as a function of space flight. Brain Res. Rev. 1998, 28, 102–117. [Google Scholar] [CrossRef]
- Mulavara, A.P.; Peters, B.T.; Miller, C.A.; Kofman, I.S.; Reschke, M.F.; Taylor, L.C.; Lawrence, E.L.; Wood, S.J.; Laurie, S.S.; Lee, S.M.C.; et al. Physiological and Functional Alterations after Spaceflight and Bed Rest. Med. Sci. Sports Exerc. 2018. [Google Scholar] [CrossRef] [PubMed]
- Layne, C.; Mulavara, A.P.; McDonald, P.V.; Pruett, C.J.; Kozlovskaya, I.B.; Bloomberg, J. Alterations in human neuromuscular activation during overground locomotion after long-duration spaceflight. J. Gravit. Physiol. 2004, 1–16. [Google Scholar]
- Layne, C.S.; Spooner, B.S. Microgravity effects on “postural” muscle activity patterns. Adv. Space Res. 1994, 14, 381–384. [Google Scholar] [CrossRef]
- Berthelsen, M.P.; Husu, E.; Christensen, S.B.; Prahm, K.P.; Vissing, J.; Jensen, B.R. Anti-gravity training improves walking capacity and postural balance in patients with muscular dystrophy. Neuromuscul. Disord. 2014, 24, 492–498. [Google Scholar] [CrossRef] [PubMed]
- Birgani, P.M.; Ashtiyani, M.; Rasooli, A.; Shahrokhnia, M.; Shahrokhi, A.; Mirbagheri, M.M. Can an anti-gravity treadmill improve stability of children with cerebral palsy? In Proceedings of the 2016 38th Annual International Conference of the IEEE Engineering in Medicine and Biology Society (EMBC), Orlando, FL, USA, 16–20 August 2016; pp. 5465–5468. [Google Scholar]
- Thomas, S.; Reading, J.; Shephard, R.J. Revision of the Physical Activity Readiness Questionnaire (PAR-Q). Can. J. Sport Sci. 1992, 17, 338–345. [Google Scholar] [PubMed]
- Fraccaro, P.; Coyle, L.; Doyle, J.; O’Sullivan, D. Real-world Gyroscope-based Gait Event Detection and Gait Feature Extraction. In Proceedings of the eTELEMED, The Sixth International Conference on eHealth, Telemedicine, and Social Medicine, Barcelona, Spain, 24–27 March 2014; pp. 247–252. [Google Scholar]
- Winter, D.A. Human balance and posture control during standing and walking. Gait Posture 1995, 3, 193–214. [Google Scholar] [CrossRef]
- den Otter, A.R.; Geurts, A.C.H.; Mulder, T.; Duysens, J. Speed related changes in muscle activity from normal to very slow walking speeds. Gait Posture 2004, 19, 270–278. [Google Scholar] [CrossRef]
- Shiavi, R.; Frigo, C.; Pedotti, A. Electromyographic signals during gait: Criteria for envelope filtering and number of strides. Med. Biol. Eng. Comput. 1998, 36, 171–178. [Google Scholar] [CrossRef]
- Layne, C.S.; McDonald, P.V.; Bloomberg, J.J. Neuromuscular activation patterns during treadmill walking after space flight. Exp. Brain Res. 1997, 113, 104–116. [Google Scholar] [CrossRef]
- Kharb, A.; Saini, V.; Jain, Y.K.; Dhiman, S. A review of gait cycle and its parameters. IJCEM Int. J. Computat. Eng. Manag. 2011, 13, 78–83. [Google Scholar]
- Gibson, J.J. The Senses Considered as Perceptual Systems; Houghton Mifflin: Oxford, UK, 1966. [Google Scholar]
- Gibson, J.J. Observations on active touch. Psychol. Rev. 1962, 69, 477–491. [Google Scholar] [CrossRef] [PubMed]
- Awai, L.; Franz, M.; Easthope, C.S.; Vallery, H.; Curt, A.; Bolliger, M. Preserved gait kinematics during controlled body unloading. J. Neuroeng. Rehabil. 2017, 14, 25. [Google Scholar] [CrossRef] [PubMed]
- Donelan, J.M.; Kram, R. The effect of reduced gravity on the kinematics of human walking: A test of the dynamic similarity hypothesis for locomotion. J. Exp. Biol. 1997, 200, 3193–3201. [Google Scholar] [PubMed]
- McDonald, P.V.; Basdogan, C.; Bloomberg, J.J.; Layne, C.S. Lower limb kinematics during treadmill walking after space flight: Implications for gaze stabilization. Exp. Brain Res. 1996, 112, 325–334. [Google Scholar] [CrossRef]
- Lewek, M.D. The influence of body weight support on ankle mechanics during treadmill walking. J. Biomech. 2011, 44, 128–133. [Google Scholar] [CrossRef]
- Mulavara, A.P.; Ruttley, T.; Cohen, H.S.; Peters, B.T.; Miller, C.; Brady, R.; Merkle, L.; Bloomberg, J.J. Vestibular-somatosensory convergence in head movement control during locomotion after long-duration space flight. J. Vestib. Res. 2012, 22, 153–166. [Google Scholar]
- Bloomberg, J.J.; Peters, B.T.; Smith, S.L.; Huebner, W.P.; Reschke, M.F. Locomotor head-trunk coordination strategies following space flight. J. Vestib. Res. 1997, 7, 161–177. [Google Scholar] [CrossRef]
- Clément, G.; André-Deshays, C. Motor activity and visually induced postural reactions during two-g and zero-g phases of parabolic flight. Neurosci. Lett. 1987, 79, 113–116. [Google Scholar] [CrossRef]
- Clément, G.; Gurfinkel, V.S.; Lestienne, F.; Lipshits, M.I.; Popov, K.E. Changes of posture during transient perturbations in microgravity. Aviat. Space Environ. Med. 1985, 56, 666–671. [Google Scholar]
- Lestienne, F.G.; Gurfinkel, V.S. Postural control in weightlessness: A dual process underlying adaptation to an unusual environment. Trends Neurosci. 1988, 11, 359–363. [Google Scholar] [CrossRef]
- Pöyhönen, T.; Avela, J. Effect of head-out water immersion on neuromuscular function of the plantarflexor muscles. Aviat. Space Environ. Med. 2002, 73, 1215–1218. [Google Scholar] [PubMed]










| RF | Loading Phase | Mid-Stance | Terminal Stance | Pre-Swing | Initial Swing | Mid-Swing | Terminal Swing |
| Tduring | - | ⇓ | - | - | - | ⇓ | ⇓ |
| T1 | ⇑ | - | - | - | - | - | - |
| T2 | - | ⇓ | - | ⇓ | - | ⇓ | - |
| T3 | - | ⇓ | - | ⇓ | - | ⇓ | - |
| T4 | - | - | - | ⇓ | - | ⇓ | - |
| T5 | - | - | - | ⇓ | - | ⇓ | - |
| BF | Loading Phase | Mid-Stance | Terminal Stance | Pre-Swing | Initial Swing | Mid-Swing | Terminal Swing |
| Tduring | - | - | - | - | - | ⇓ | - |
| T1 | - | - | - | - | - | - | - |
| T2 | - | - | - | - | - | - | - |
| T3 | - | - | ⇓ | - | - | - | - |
| T4 | - | - | ⇓ | - | - | - | - |
| T5 | - | - | ⇓ | - | - | - | - |
| GA | Loading Phase | Mid-Stance | Terminal Stance | Pre-Swing | Initial Swing | Mid-Swing | Terminal Swing |
| Tduring | - | ⇓ | ⇓ | - | - | - | - |
| T1 | - | - | - | - | - | - | - |
| T2 | - | - | - | - | - | - | - |
| T3 | - | - | - | - | - | - | - |
| T4 | - | - | - | - | - | - | - |
| T5 | - | - | - | - | - | - | - |
| TA | Loading Phase | Mid-Stance | Terminal Stance | Pre-Swing | Initial Swing | Mid-Swing | Terminal Swing |
| Tduring | - | - | - | - | - | - | - |
| T1 | - | - | - | - | - | ⇑ | - |
| T2 | - | - | - | - | - | ⇑ | - |
| T3 | - | - | - | - | - | ⇑ | - |
| T4 | - | - | - | - | - | ⇑ | - |
| T5 | - | - | - | - | - | ⇑ | - |
© 2019 by the authors. Licensee MDPI, Basel, Switzerland. This article is an open access article distributed under the terms and conditions of the Creative Commons Attribution (CC BY) license (http://creativecommons.org/licenses/by/4.0/).
Share and Cite
Kabbaligere, R.; Layne, C.S. Adaptation in Gait to Body-Weight Unloading. Appl. Sci. 2019, 9, 4494. https://doi.org/10.3390/app9214494
Kabbaligere R, Layne CS. Adaptation in Gait to Body-Weight Unloading. Applied Sciences. 2019; 9(21):4494. https://doi.org/10.3390/app9214494
Chicago/Turabian StyleKabbaligere, Rakshatha, and Charles S. Layne. 2019. "Adaptation in Gait to Body-Weight Unloading" Applied Sciences 9, no. 21: 4494. https://doi.org/10.3390/app9214494
APA StyleKabbaligere, R., & Layne, C. S. (2019). Adaptation in Gait to Body-Weight Unloading. Applied Sciences, 9(21), 4494. https://doi.org/10.3390/app9214494
