Postponing the Onset and Alleviating the Load of Transonic Buffet by Using Steady and Periodic Tangential Slot Blowing
Abstract
Featured Application
Abstract
1. Introduction
2. Numerical Methods and Validation
3. Delay of Buffet Onset
4. Alleviation of Buffet Load by Tangential Slot Blowing
4.1. Steady Blowing
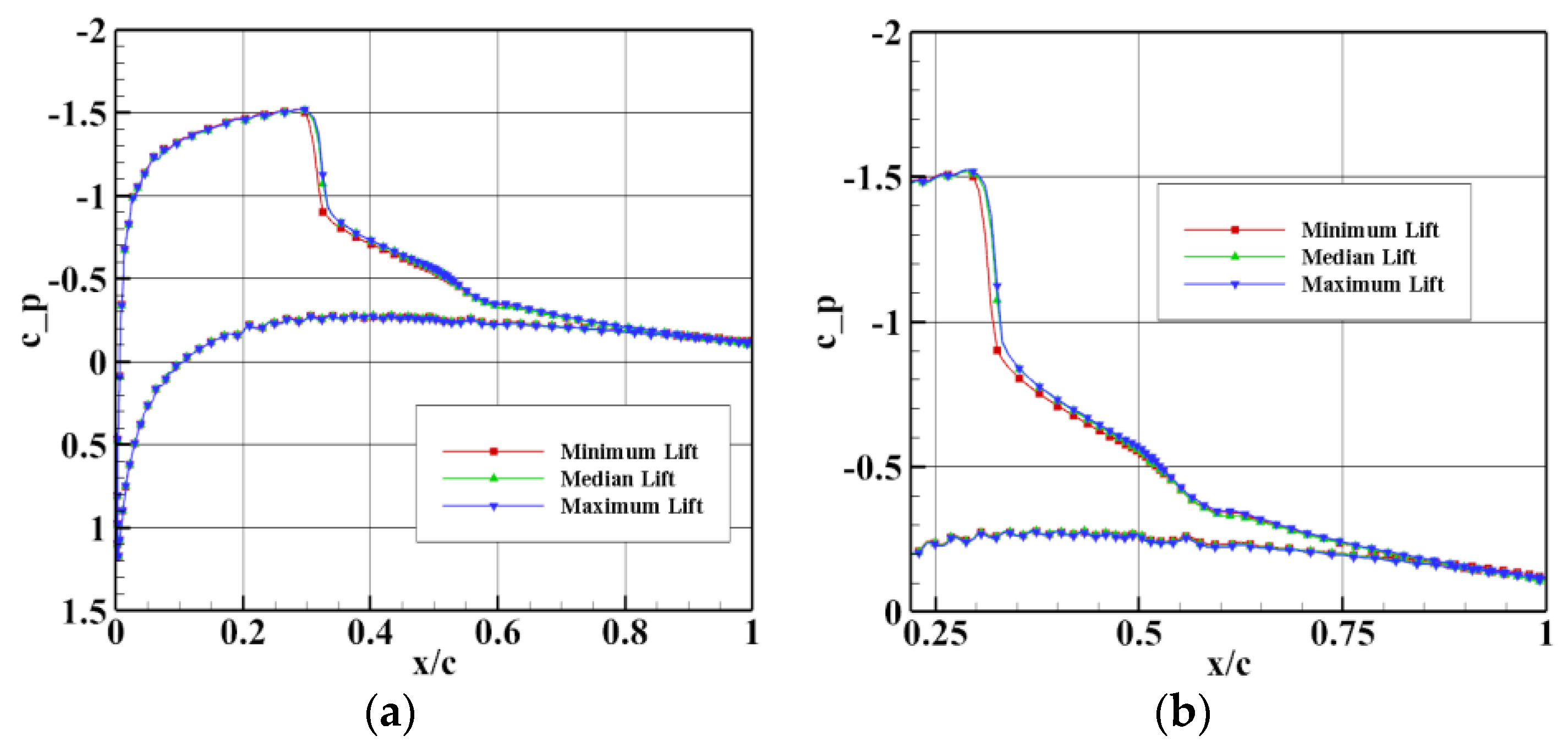
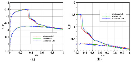
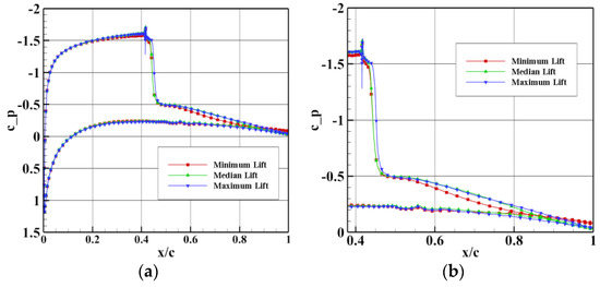
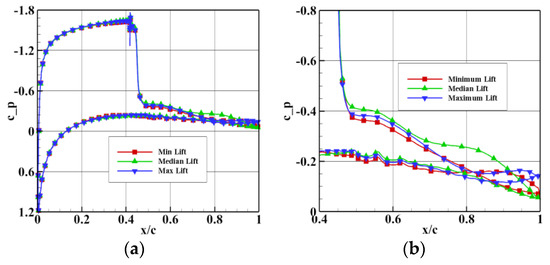
4.1.1. Buffet Load Alleviation
4.1.2. Flow Characteristics of the “41% x/c” Case
4.2. Periodic Blowing
5. Conclusions
Author Contributions
Funding
Conflicts of Interest
References
- Huang, J.; Xiao, Z.; Liu, J.; Fu, S. Simulation of shock wave buffet and its suppression on an OAT15A supercritical airfoil by IDDES. China Phys. Mech. 2012, 55, 260–271. [Google Scholar] [CrossRef]
- Giannelis, N.F.; Vio, G.A.; Levinski, O. A review of recent developments in the understanding of transonic shock buffet. Prog. Aerosp. Sci. 2017, 92, 39–84. [Google Scholar] [CrossRef]
- Szubert, D.; Grossi, F.; Jimenez Garcia, A.; Yannick, H.; Julian, C.R.H.; Marianna, B. Shock-vortex shear-layer interaction in the transonic flow around a supercritical airfoil at high Reynolds number in buffet conditions. J. Fluid Struct. 2015, 55, 276–302. [Google Scholar] [CrossRef]
- Timme, S.; Thormann, R. Towards Three-Dimensional Global Stability Analysis of Transonic Shock Buffet. In Proceedings of the AIAA Atmospheric Flight Mechanics Conference, American Institute of Aeronautics and Astronautics, Washington, DC, USA, 13–17 June 2016. [Google Scholar] [CrossRef]
- Zhang, Z.; Qu, K. Numerical Investigation of Transonic Airfoil Buffet Suppression. In Proceedings of the 53rd AIAA Aerospace Sciences Meeting, American Institute of Aeronautics and Astronautics, Kissimmee, FL, USA, 5–9 January 2015. [Google Scholar] [CrossRef]
- Ohmichi, Y.; Ishida, T.; Hashimoto, A. Numerical Investigation of Transonic Buffet on a Three-Dimensional Wing using Incremental Mode Decomposition. In Proceedings of the 55th AIAA Aerospace Sciences Meeting, American Institute of Aeronautics and Astronautics, Grapevine, TX, USA, 9–13 January 2017. [Google Scholar] [CrossRef]
- Dandois, J.; Lepage, A.; Dor, J.B.; Molton, P.; Ternoy, F.; Geeraert, A.; Brunet, V.; Coustols, É. Open and closed-loop control of transonic buffet on 3D turbulent wings using fluidic devices. C. R. Mécanique 2014, 342, 425–436. [Google Scholar] [CrossRef]
- Sartor, F.; Mettot, C.; Sipp, D. Stability, Receptivity, and Sensitivity Analyses of Buffeting Transonic Flow over a Profile. AIAA J. 2014, 53, 1980–1993. [Google Scholar] [CrossRef]
- Gao, C.; Zhang, W.; Ye, Z. Numerical study on closed-loop control of transonic buffet suppression by trailing edge flap. Comput. Fluids 2016, 132, 32–45. [Google Scholar] [CrossRef]
- Tian, Y.; Liu, P.; Li, Z. Multi-objective optimization of shock control bump on a supercritical wing. Sci. China (Technol. Sci.) 2014, 1, 192–202. [Google Scholar] [CrossRef]
- Ishida, T.; Ishiko, K.; Hashimoto, A.; Aoyama, T.; Takekawa, K. Transonic Buffet Simulation over Supercritical Airfoil by Unsteady-FaSTAR Code. In Proceedings of the 54th AIAA Aerospace Sciences Meeting, American Institute of Aeronautics and Astronautics, San Diego, CA, USA, 4–8 January 2016. [Google Scholar] [CrossRef]
- Fukushima, Y.; Kawai, S. Wall-modeled Large-Eddy Simulation of Transonic Buffet over a Supercritical Airfoil at high Reynolds Number. In Proceedings of the 55th AIAA Aerospace Sciences Meeting, American Institute of Aeronautics and Astronautics, Grapevine, TX, USA, 9–13 January 2017. [Google Scholar] [CrossRef]
- Raveh, D.E.; Dowell, E.H. Aeroelastic Responses of Elastically Suspended Airfoil Systems in Transonic Buffeting Flows. AIAA J. 2014, 52, 926–934. [Google Scholar] [CrossRef]
- Tian, Y.; Li, Z.; Liu, P.Q. Upper Trailing-Edge Flap for Transonic Buffet Control. J. Aircr. 2017, 1, 8. [Google Scholar] [CrossRef]
- Quan, J.; Zhang, W.; Gao, C.; Ye, Z. Characteristic analysis of lock-in for an elastically suspended airfoil in transonic buffet flow. Chin. J. Aeronaut. 2016, 29, 129–143. [Google Scholar] [CrossRef]
- Tian, Y.; Feng, P.; Liu, P.; Hu, T.; Qu, Q. Spoiler Upward Deflection on Transonic Buffet Control of Supercritical Airfoil and Wing. J. Aircr. 2016, 54, 1229–1233. [Google Scholar] [CrossRef]
- Crouch, J.D.; Garbaruk, A.; Magidov, D. Predicting the onset of flow unsteadiness based on global instability. J. Comput. Phys. 2007, 224, 924–940. [Google Scholar] [CrossRef]
- Dietz, G.; Schewe, G.; Mai, H. Amplification and amplitude limitation of heave/pitch limit-cycle oscillations close to the transonic dip. J. Fluid Struct. 2006, 22, 505–527. [Google Scholar] [CrossRef]
- Lee, B.H.K. Self-sustained shock oscillations on airfoils at transonic speeds. Prog. Aerosp. Sci. 2001, 37, 147–196. [Google Scholar] [CrossRef]
- Hermes, V.; Klioutchnikov, I.; Olivier, H. Numerical investigation of unsteady wave phenomena for transonic airfoil flow. Aerosp. Sci. Technol. 2013, 25, 224–233. [Google Scholar] [CrossRef]
- Bouhadji, A.; Braza, M. Organised modes and shock–vortex interaction in unsteady viscous transonic flows around an aerofoil: Part I: Mach number effect. Comput. Fluids 2003, 32, 1233–1260. [Google Scholar] [CrossRef]
- Bouhadji, A.; Braza, M. Organised modes and shock–vortex interaction in unsteady viscous transonic flows around an aerofoil: Part II: Reynolds number effect. Comput. Fluids 2003, 32, 1261–1281. [Google Scholar] [CrossRef]
- Caruana, D.; Mignosi, A.; Corrège, M.; Le Pourhiet, A.; Rodde, A.M. Buffet and buffeting control in transonic flow. Aerosp. Sci. Technol. 2005, 9, 605–616. [Google Scholar] [CrossRef]
- Tian, Y.; Gao, S.; Liu, P.; Wang, J. Transonic buffet control research with two types of shock control bump based on RAE2822 airfoil. Chin. J. Aeronaut. 2017, 30, 1681–1696. [Google Scholar] [CrossRef]
- Murman, S.M.; Diosady, L.T.; Blonigan, P.J. Comparison of Transonic Buffet Simulations with Unsteady PSP Measurements for a Hammerhead Payload Fairing. In Proceedings of the 55th AIAA Aerospace Sciences Meeting, American Institute of Aeronautics and Astronautics, Grapevine, TX, USA, 9–13 January 2017. [Google Scholar] [CrossRef]
- Liu, J.; Yang, Z. A Maximum Curvature Method for Predicting Transonic Buffet Onset Based on Steady Aerodynamic Parameters. Procedia Eng. 2013, 61, 363–369. [Google Scholar] [CrossRef]
- Yang, Z.; Liu, J. A Precise Approach to Predict Transonic Wing Buffet Boundary. Mech. Sci. Technol. Aerosp. Eng. 2013, 12, 1717–1721. (In Chinese) [Google Scholar]
- Kou, J.; Zhang, W. An improved criterion to select dominant modes from dynamic mode decomposition. Eur. J. Mech. B Fluids 2017, 62, 109–129. [Google Scholar] [CrossRef]
- Barakos, G.; Drikakis, D. Numerical simulation of transonic buffet flows using various turbulence closures. Int. J. Heat Fluid Flow 2000, 21, 620–626. [Google Scholar] [CrossRef]
- Thiery, M.; Coustols, E. Numerical prediction of shock induced oscillations over a 2D airfoil: Influence of turbulence modelling and test section walls. Int. J. Heat Fluid Flow 2006, 27, 661–670. [Google Scholar] [CrossRef]
- Bonnifet, V.; Gerolymos, G.A.; Vallet, I. Transonic Buffet Prediction using Partially Averaged Navier-Stokes. In Proceedings of the 23rd AIAA Computational FLUID DYNAMICS Conference, American Institute of Aeronautics and Astronautics, Denver, CO, USA, 5–9 June 2017. [Google Scholar] [CrossRef]
- Iovnovich, M.; Raveh, D.E. Transonic unsteady aerodynamics in the vicinity of shock-buffet instability. J. Fluid Struct. 2012, 29, 131–142. [Google Scholar] [CrossRef]
- Thiede, P.K.P.; Stanewsky, E. Active and Passive Shock/Boundary Layer Interaction Control on Supercritical Airfoils; AGARD CP-365, DEUTSCHE FORSCHUNGS-UND VERSUCHSANSTALT FUER LUFT-UND RAUMFAHRT EV GOETTINGEN (GERMANY FR); Reston: Brussels, Belgium, 1984. [Google Scholar]
- Smith, A.; Babinsky, H.; Fulker, J.L.; Ashill, P.R. Shock Wave/ Boundary-Layer Interaction Control Using Streamwise Slots in Transonic Flows. J. Aircr. 2004, 41, 540–546. [Google Scholar] [CrossRef]
- Holden, H.A.; Babinsky, H. Separated Shock-Boundary-Layer Interaction Control Using Streamwise Slots. J. Aircr. 2005, 42, 166–171. [Google Scholar] [CrossRef]
- Molton, P.; Dandois, J.; Lepage, A.; Brunet, V.; Bur, R. Control of Buffet Phenomenon on a Transonic Swept Wing. AIAA J. 2013, 51, 761–772. [Google Scholar] [CrossRef]
- Ogawa, H.; Babinsky, H.; Pätzold, M.; Lutz, T. Shock-Wave/Boundary-Layer Interaction Control Using Three-Dimensional Bumps for Transonic Wings. AIAA J. 2008, 46, 1442–1452. [Google Scholar] [CrossRef]
- Eastwood, J.P.; Jarrett, J.P. Toward Designing with Three-Dimensional Bumps for Lift/Drag Improvement and Buffet Alleviation. AIAA J. 2012, 50, 2882–2898. [Google Scholar] [CrossRef]
- Liu, J.; Yang, Z. Numerical study on transonic shock oscillation suppression and buffet load alleviation for a supercritical airfoil using a microtab. Eng. Appl. Comput. Fluid Mech. 2016, 10, 529–544. [Google Scholar] [CrossRef]
- Caruana, D.; Mignosi, A.; Correge, M.; Le Pourhiet, A. Buffeting Active Control in Transonic Flow. In Proceedings of the 21st AIAA Applied Aerodynamics Conference, American Institute of Aeronautics and Astronautics, Orlando, FL, USA, 23–26 June 2003. [Google Scholar] [CrossRef]
- Caruana, D.; Mignosi, A.; Robitaillié, C.; Corrège, M. Separated Flow and Buffeting Control. Flow Turbul. Combust. 2003, 71, 221–245. [Google Scholar] [CrossRef]
- Ferman, M.A.; Huttsell, L.J.; Turner, E.W. Experiments with Tangential Blowing to Reduce Buffet Response on an F-15 Model. J. Aircr. 2004, 41, 903–910. [Google Scholar] [CrossRef]
- Abramova, K.A.; Khairullin, B.M.A.; Petrov, K.G.; Potapchik, A.V.; Soudakov, V.G. Buffet Delay on Transonic Airfoil by Tangential Jet Blowing. In Proceedings of the 7th European Conference for Aeronautics and Space Sciences (Eucass), Milan, Italy, 3–6 June 2017. [Google Scholar]
- Abramova, K.A.; Ryzhov, A.A.; Sudakov, V.G.; Khairullin, K.G. Numerical modeling of transonic buffeting and its control by means of tangential jet blowing. Fluid Dyn. 2017, 52, 329–335. [Google Scholar] [CrossRef]
- Abramova, K.A.; Petrov, A.V.; Potapchick, A.V.; Soudakov, V.G. Investigations of Transonic Buffet Control on Civil Aircraft Wing with the Use of Tangential Jet Blowing. AIP Conf. Proc. 2016, 1770, 020017. [Google Scholar] [CrossRef]
- Abramova, K.A.; Soudakov, V.G. Numerical optimization of flow control by tangential jet blowing on transonic airfoil. In Proceedings of the 31st Congress of the International Council of the Aeronautical Sciences, Belo Horizonte, Brazil, 9–14 September 2018. [Google Scholar] [CrossRef]
- Grossi, F.; Braza, M.; Hoarau, Y. Prediction of Transonic Buffet by Delayed Detached-Eddy Simulation. AIAA J. 2014, 52, 2300–2312. [Google Scholar] [CrossRef]
- Deck, S. Numerical Simulation of Transonic Buffet over a Supercritical Airfoil. AIAA J. 2005, 43, 1556–1566. [Google Scholar] [CrossRef]
- Chen, L.W.; Chang-Yue, X.U.; Xi-Yun, L.U. Numerical investigation of the compressible flow past an aerofoil. J. Fluid Mech. 2010, 643, 97–126. [Google Scholar] [CrossRef]
- Soda, A. Numerical Investigation of Unsteady Transonic Shock/Boundary-layer Interaction for Aeronautical Applications. Ph.D. Thesis, Fakultät für Mathematik, Informatik und Naturwissenschaften, Aachen, Germany, 2007. [Google Scholar]
- Medida, S.; Baeder, J. Numerical Prediction of Static and Dynamic Stall Phenomena Using the γ-Transition Model. American Helicopter Society 67th Annual Forum. Available online: https://www.researchgate.net/publication/288661255_Numerical_prediction_of_static_and_dynamic_stall_phenomena_using_the_g-Retht_transition_model (accessed on May 2011).
- Kitamura, K.; Shima, E. Towards shock-stable and accurate hypersonic heating computations: A new pressure flux for AUSM-family schemes. J. Comput. Phys. 2013, 245, 62–83. [Google Scholar] [CrossRef]
- Economon, T.D.; Francisco, P.; Sean, R.C.; Trent, W.L.; Juan, J.A. SU2: An Open-Source Suite for Multiphysics Simulation and Design. AIAA J. 2015, 54, 828–846. [Google Scholar] [CrossRef]
- McDevitt, J.B.; Okuno, A.F. Static and Dynamic Pressure Measurements on a NACA0012 Airfoil in the Ames High Reynolds Number Facility. NASA TP-2485; June 1985. Available online: https://www.mendeley.com/catalogue/static-dynamic-naca-0012-airfoil-ames-high-reynolds-number-facility-naca-0012-reynolds-number-facili/ (accessed on June 1985).
- Ribeiro, A.F.; Konig, B.; Singh, D.; Fares, E.; Zhang, R.; Chen, H. Buffet Simulations with a Lattice-Boltzmann based Transonic Solver. In Proceedings of the 55th AIAA Aerospace Sciences Meeting, American Institute of Aeronautics and Astronautics, Grapevine, TX, USA, 9–13 January 2017. [Google Scholar] [CrossRef]
- Raveht, D.E. Numerical Study of an Oscillating Airfoil in Transonic Buffeting Flows. AIAA J. 2009, 47, 505–515. [Google Scholar] [CrossRef]
- Iovnovich, M.; Raveh, D.E. Reynolds-Averaged Navier-Stokes Study of the Shock-Buffet Instability Mechanism. AIAA J. 2012, 50, 880–890. [Google Scholar] [CrossRef]
- Lee, B.H.K. Oscillatory shock motion caused by transonic shock boundary-layer interaction. AIAA J. 1990, 28, 942–944. [Google Scholar] [CrossRef]

























| 5.0° | 5.5° | 6.0° | |
|---|---|---|---|
| 41% x/c | 1.96 × 10−5 | 1.16 × 10−5 | 7.86 × 10−6 |
| 46% x/c | 1.88 × 10−5 | 1.36 × 10−3 | 8.70 × 10−3 |
| 51% x/c | 1.58 × 10−5 | 5.49 × 10−3 | 1.63 × 10−2 |
| 5.0° | 5.5° | 6.0° | |
|---|---|---|---|
| Steady blowing | 0.73 | 0.75 | 0.71 |
| Periodic blowing | 0.71 | 0.70 | 0.65 |
© 2019 by the authors. Licensee MDPI, Basel, Switzerland. This article is an open access article distributed under the terms and conditions of the Creative Commons Attribution (CC BY) license (http://creativecommons.org/licenses/by/4.0/).
Share and Cite
Dang, H.; Zhao, J.; Yang, Z.; Dang, H. Postponing the Onset and Alleviating the Load of Transonic Buffet by Using Steady and Periodic Tangential Slot Blowing. Appl. Sci. 2019, 9, 4132. https://doi.org/10.3390/app9194132
Dang H, Zhao J, Yang Z, Dang H. Postponing the Onset and Alleviating the Load of Transonic Buffet by Using Steady and Periodic Tangential Slot Blowing. Applied Sciences. 2019; 9(19):4132. https://doi.org/10.3390/app9194132
Chicago/Turabian StyleDang, Huixue, Junhai Zhao, Zhichun Yang, and Huibo Dang. 2019. "Postponing the Onset and Alleviating the Load of Transonic Buffet by Using Steady and Periodic Tangential Slot Blowing" Applied Sciences 9, no. 19: 4132. https://doi.org/10.3390/app9194132
APA StyleDang, H., Zhao, J., Yang, Z., & Dang, H. (2019). Postponing the Onset and Alleviating the Load of Transonic Buffet by Using Steady and Periodic Tangential Slot Blowing. Applied Sciences, 9(19), 4132. https://doi.org/10.3390/app9194132

