Development of an Efficient Numerical Method for Wind Turbine Flow, Sound Generation, and Propagation under Multi-Wake Conditions
Abstract
1. Introduction
2. Numerical Methods
2.1. RANS/AD Method
2.2. BPM Model for Noise Source or Generation
2.3. Noise Propagation Method
3. Results and Discussions
3.1. Validation of Long-Range Sound Propagations without Ambient Flow
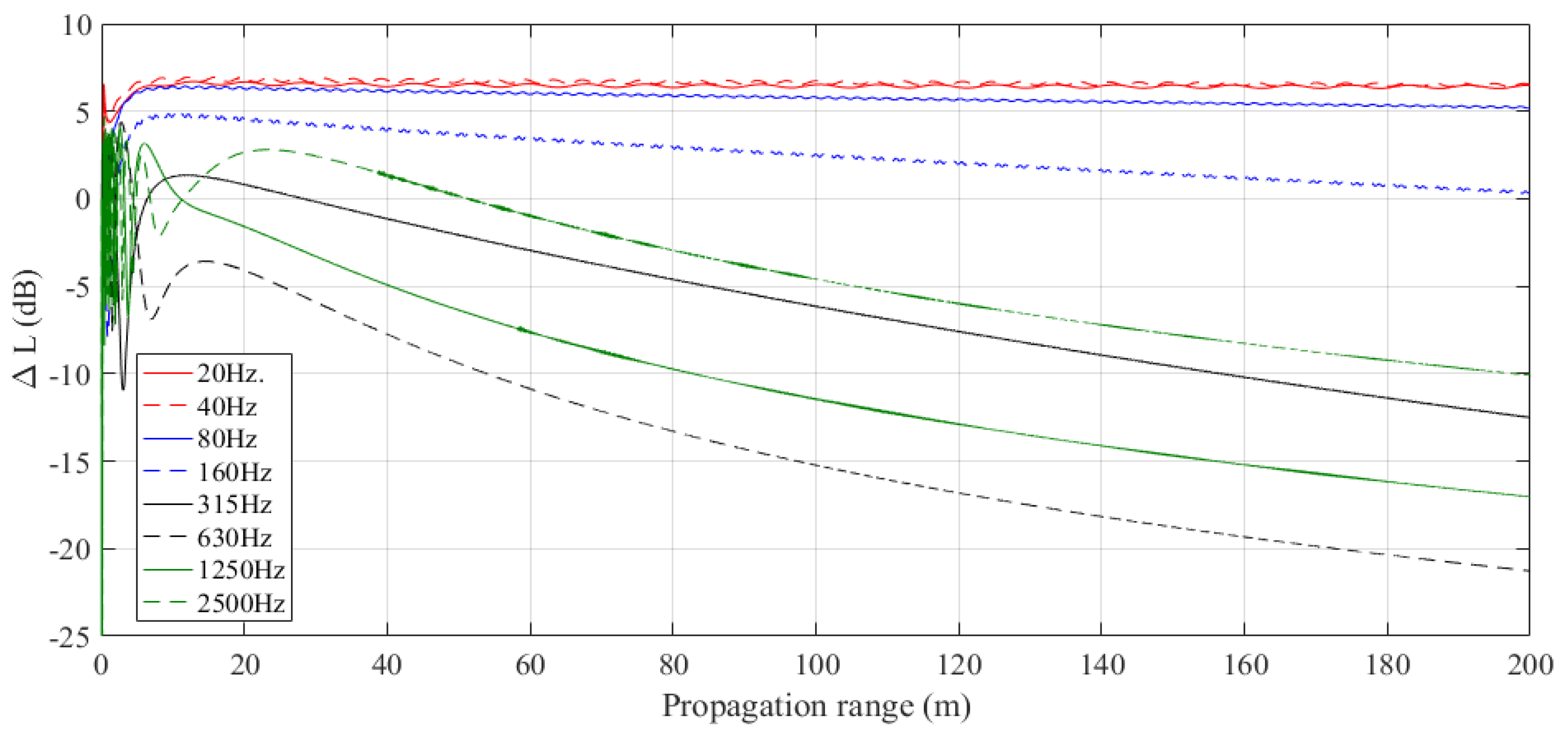
3.2. Validation of Long-Range Sound Propagations with a Positive Temperature Gradient
3.3. Validation of Long-Range Sound Propagations with Upward Refraction under Wind Condition
3.4. Coupled Flow and Noise Simulations for a Wind Turbine Array
3.4.1. Wake Modeling of a Wind Turbine Cluster
3.4.2. Modeling of the Wind Turbine ANSource
3.4.3. Sound Profiles Inside wind Turbine Wakes
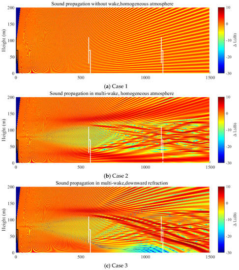
3.4.4. Wind Turbine ANPropagation across Multi-Wake
4. Conclusions
Author Contributions
Funding
Acknowledgments
Conflicts of Interest
References
- Glauert, H. Airplane Propellers. Aerodynamic Theory; Springer: Berlin/Heidelberg, Germany, 1935; pp. 169–360. [Google Scholar]
- Sun, Z.Y.; Chen, J.; Shen, W.Z.; Zhu, W.J. Improved blade element momentum theory for wind turbine aerodynamic computations. Renew. Energy 2016, 96, 824–831. [Google Scholar] [CrossRef]
- Sørensen, J.N.; Shen, W.Z. Numerical Modeling of Wind Turbine Wakes. J. Fluids Eng. 2002, 124, 393. [Google Scholar] [CrossRef]
- Sørensen, J.N.; Shen, W.Z.; Munduate, X. Analysis of wake states by a full-field actuator disc model. Wind Energy 1998, 1, 73–88. [Google Scholar] [CrossRef]
- Lighthill, M.J. On Sound Generated Aerodynamically. I. General Theory. Proc. R. Soc. Lond. 1952, 211, 564–587. [Google Scholar] [CrossRef]
- Curle, N. The Influence of Solid Boundaries upon Aerodynamic Sound. Proc. R. Soc. Lond. 1955, 231, 505–514. [Google Scholar] [CrossRef]
- Williams, J.E.; Hall, L.H. Aerodynamic sound generation by turbulent flow in the vicinity of a scattering half plane. J. Fluid Mech. 2006, 40, 657–670. [Google Scholar] [CrossRef]
- Hardin, J.C.; Pope, D.S. An acoustic/viscous splitting technique for computational aeroacoustics. Theor. Comput. Fluid Dyn. 1994, 6, 323–340. [Google Scholar] [CrossRef]
- Zhu, W.J.; Shen, W.Z.; Sørensen, J.N. High-order numerical simulations of flow-induced noise. Int. J. Numer. Methods Fluids 2011, 66, 17–37. [Google Scholar] [CrossRef]
- Zhu, W.J.; Shen, W.Z.; Barlas, E.; Bertagnolio, F.; Sørensen, J.N. Wind turbine noise generation and propagation modeling at DTU Wind Energy: A review. Renew. Sustain. Energy Rev. 2018, 88, 133–150. [Google Scholar] [CrossRef]
- Salomons, E.M. Computational Atmospheric Acoustics; Springer Science & Business Media: Dordrecht, The Netherlands, 2001; ISBN 978-1-4020-0390-5. [Google Scholar]
- Ostashev, V.E.; Wilson, D.K. Acoustics in Moving Inhomogeneous Media. J. Acoust. Soc. Am. 1999, 105, 2067. [Google Scholar] [CrossRef]
- Blancbenon, P.; Dallois, L.; Juvé, D. Long Range Sound Propagation in a Turbulent Atmosphere Within the Parabolic Approximation. Acta Acust. United Acust. 2001, 87, 659–669. [Google Scholar] [CrossRef]
- Brooks, T.F.; Pope, D.S.; Marcolini, M.A. Airfoil Self-Noise and Prediction; National Aeronautics and Space Administration: Washington, DC, USA, 1989.
- Zhu, W.J.; Heilskov, N.; Shen, W.Z.; Sørensen, J.N. Modeling of Aerodynamically Generated Noise From Wind Turbines. J. Sol. Energy Eng. 2005, 127, 517–528. [Google Scholar] [CrossRef]
- Lau, A.S.H.; Kim, J.W.; Hurault, J.; Vronsky, T. A study on the prediction of aerofoil trailing-edge noise for wind-turbine applications. Wind Energy 2017, 20, 233–252. [Google Scholar] [CrossRef]
- Lee, S.; Lee, D.; Honhoff, S. Prediction of far-field wind turbine noise propagation with parabolic equation. J. Acoust. Soc. Am. 2016, 140, 767–778. [Google Scholar] [CrossRef] [PubMed]
- Heimann, D.; Käsler, Y.; Gross, G. The wake of a wind turbine and its influence on sound propagation. Meteorol. Z. 2011, 20, 449–460. [Google Scholar] [CrossRef]
- Barlas, E.; Zhu, W.J.; Shen, W.Z.; Kelly, M.; Andersen, S.J. Effects of wind turbine wake on atmospheric sound propagation. Appl. Acoust. 2017, 122, 51–61. [Google Scholar] [CrossRef]
- Barlas, E.; Zhu, W.J.; Shen, W.Z.; Dag, K.O.; Moriarty, P. Consistent modelling of wind turbine noise propagation from source to receiver. J. Acoust. Soc. Am. 2017, 142, 3297. [Google Scholar] [CrossRef]
- Delany, M.E.; Bazley, E.N. Acoustical properties of fibrous absorbent materials. J. Acoust. Soc. Am. 2005, 48, 105–116. [Google Scholar] [CrossRef]
- Jónsson, G.B.; Jacobsen, F. A Comparison of Two Engineering Models for Outdoor Sound Propagation: Harmonoise and Nord2000. Acta Acust. United Acust. 2008, 94, 282–289. [Google Scholar] [CrossRef]
- Plovsing, B.; Kragh, J. Nord2000-Comprehensive Outdoor Sound Propagation Model. Part 2: Propagation in an Atmosphere with Refraction; Delta Acoustics & Vibration Report; DELTA: Copenhagen, Denmark, 2006. [Google Scholar]
- Mikkelsen, R. Actuator Disc Methods Applied to Wind Turbines. Ph.D. Thesis, Technical University of Denmark, Copenhagen, Denmark, 2003. [Google Scholar]
- Michelsen, J.A. Basis3D-A Platform for Development of Multiblock PDE Solvers; Technical Report; University of Denmark: Copenhagen, Denmark, 1992. [Google Scholar]
- Sørensen, N. General Purpose Flow Solver Applied over Hills; Technical Report; Risø National Laboratory: Roskilde, Denmark, 1995. [Google Scholar]
- Tian, L.L.; Zhu, W.J.; Shen, W.Z.; Zhao, N.; Shen, Z.W. Development and validation of a new two-dimensional wake model for wind turbine wakes. J. Wind Eng. Ind. Aerodyn. 2015, 137, 90–99. [Google Scholar] [CrossRef]
- Wu, Y.T.; Porté-Agel, F. Modeling turbine wakes and power losses within a wind farm using LES: An application to the Horns Rev offshore wind farm. Renew. Energy 2015, 75, 945–955. [Google Scholar] [CrossRef]
- Sarmast, S.; Segalini, A.; Mikkelsen, R.F.; Ivanell, S. Comparison of the near-wake between actuator-line simulations and a simplified vortex model of a horizontal-axis wind turbine. Wind Energy 2016, 19, 471–481. [Google Scholar] [CrossRef]
- Troldborg, N.; Sørensen, J.N.; Mikkelsen, R. Numerical simulations of wake characteristics of a wind turbine in uniform inflow. Wind Energy 2010, 13, 86–99. [Google Scholar] [CrossRef]
- Troldborg, N.; Zahle, F.; Réthoré, P.E.; Sørensen, N.N. Comparison of wind turbine wake properties in non-sheared inflow predicted by different computational fluid dynamics rotor models. Wind Energy 2015, 18, 1239–1250. [Google Scholar] [CrossRef]
- Tian, L.L.; Zhu, W.J.; Shen, W.Z.; Sørensen, J.N.; Zhao, N. Investigation of modified AD/RANS models for wind turbine wake predictions in large wind farm. J. Phys. 2014. [Google Scholar] [CrossRef]
- Tian, L.L.; Zhu, W.J.; Shen, W.Z.; Song, Y.L.; Zhao, N. Prediction of multi-wake problems using an improved Jensen wake model. Renew. Energy 2017, 102, 457–469. [Google Scholar] [CrossRef]
- Zhu, W.J.; Shen, W.Z.; Sørensen, J.N.; Yang, H. Verification of a novel innovative blade root design for wind turbines using a hybrid numerical method. Energy 2017, 141, 1661–1670. [Google Scholar] [CrossRef]
- Wilson, D.K.; Pettit, C.L.; Ostashev, V.E. Sound propagation in the atmospheric boundary layer. Acoust. Today 2015, 11, 44–53. [Google Scholar] [CrossRef]























© 2018 by the authors. Licensee MDPI, Basel, Switzerland. This article is an open access article distributed under the terms and conditions of the Creative Commons Attribution (CC BY) license (http://creativecommons.org/licenses/by/4.0/).
Share and Cite
Sun, Z.; Zhu, W.J.; Shen, W.Z.; Barlas, E.; Sørensen, J.N.; Cao, J.; Yang, H. Development of an Efficient Numerical Method for Wind Turbine Flow, Sound Generation, and Propagation under Multi-Wake Conditions. Appl. Sci. 2019, 9, 100. https://doi.org/10.3390/app9010100
Sun Z, Zhu WJ, Shen WZ, Barlas E, Sørensen JN, Cao J, Yang H. Development of an Efficient Numerical Method for Wind Turbine Flow, Sound Generation, and Propagation under Multi-Wake Conditions. Applied Sciences. 2019; 9(1):100. https://doi.org/10.3390/app9010100
Chicago/Turabian StyleSun, Zhenye, Wei Jun Zhu, Wen Zhong Shen, Emre Barlas, Jens Nørkær Sørensen, Jiufa Cao, and Hua Yang. 2019. "Development of an Efficient Numerical Method for Wind Turbine Flow, Sound Generation, and Propagation under Multi-Wake Conditions" Applied Sciences 9, no. 1: 100. https://doi.org/10.3390/app9010100
APA StyleSun, Z., Zhu, W. J., Shen, W. Z., Barlas, E., Sørensen, J. N., Cao, J., & Yang, H. (2019). Development of an Efficient Numerical Method for Wind Turbine Flow, Sound Generation, and Propagation under Multi-Wake Conditions. Applied Sciences, 9(1), 100. https://doi.org/10.3390/app9010100

