Dark Solitons in Acoustic Transmission Line Metamaterials
Abstract
1. Introduction
2. Electro-Acoustic Analogue Modeling
2.1. Setup and Model
2.2. Continuum Limit
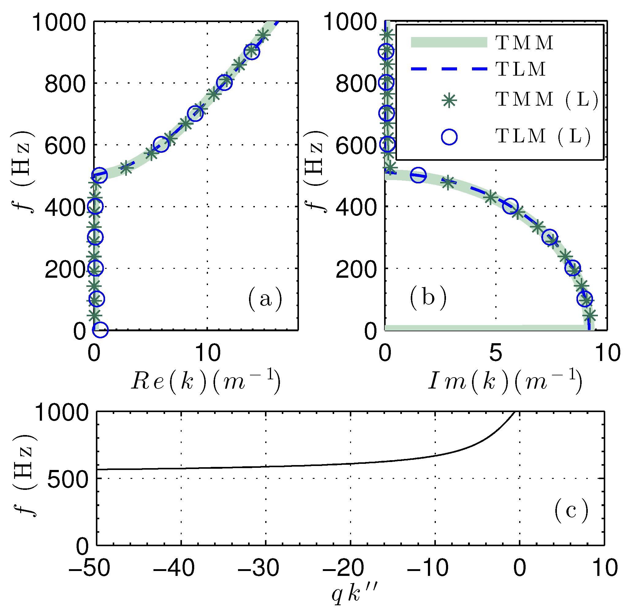
2.3. Linear Limit
3. Dark Solitons
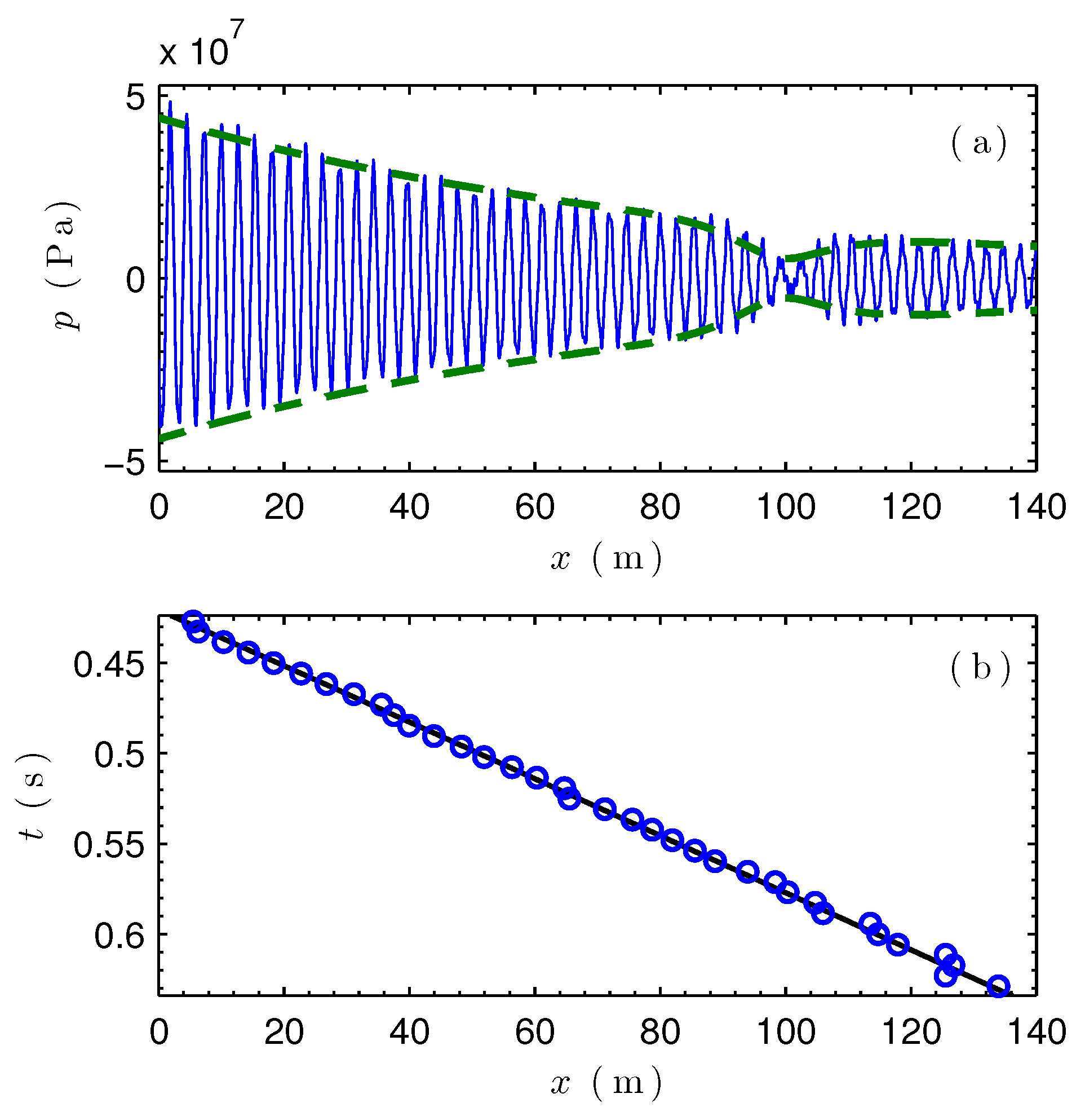
3.1. Black Solitons
3.2. Black Solitons under Dissipation
3.2.1. Dissipation Length ≪ Nonlinearity Length and Dispersion Length
3.2.2. Dissipation Length ≥ Nonlinearity Length and Dispersion Length
3.3. Gray Solitons
3.4. Gray Solitons under Dissipation
4. Conclusions
Author Contributions
Funding
Acknowledgments
Conflicts of Interest
Appendix A. Length Correction of the Side Holes
Appendix B. Electro-Acoustic Analogue Modeling
Appendix C. Hierarchy of Equations in the Multiple Scale Perturbation Method
References
- Kivshar, Y.S.; Luther-Davies, B. Dark optical solitons: Physics and applications. Phys. Rep. 1998, 298, 81–197. [Google Scholar] [CrossRef]
 - Frantzeskakis, D.J. Dark solitons in atomic Bose–Einstein condensates: From theory to experiments. J. Phys. A Math. Theor. 2010, 43, 213001. [Google Scholar] [CrossRef]
 - Denardo, B.; Galvin, B.; Greenfield, A.; Larraza, A.; Putterman, S.; Wright, W. Observations of localized structures in nonlinear lattices: Domain walls and kinks. Phys. Rev. Lett. 1992, 68, 1730. [Google Scholar] [CrossRef] [PubMed]
 - Chen, M.; Tsankov, M.A.; Nash, J.M.; Patton, C.E. Microwave magnetic-envelope dark solitons in yttrium iron garnet thin films. Phys. Rev. Lett. 1993, 70, 1707. [Google Scholar] [CrossRef] [PubMed]
 - Heidemann, R.; Zhdanov, S.; Sütterlin, R.; Thomas, H.M.; Morfill, G.E. Dissipative dark soliton in a complex plasma. Phys. Rev. Lett. 2009, 102, 135002. [Google Scholar] [CrossRef] [PubMed]
 - Chabchoub, A.; Kimmoun, O.; Branger, H.; Hoffmann, N.; Proment, D.; Onorato, M.; Akhmediev, N. Experimental observation of dark solitons on the surface of water. Phys. Rev. Lett. 2013, 110, 124101. [Google Scholar] [CrossRef] [PubMed]
 - Sánchez-Morcillo, V.J.; Pérez-Arjona, I.; Romero-García, V.; Tournat, V.; Gusev, V.E. Second-harmonic generation for dispersive elastic waves in a discrete granular chain. Phys. Rev. E 2013, 88, 043203. [Google Scholar] [CrossRef] [PubMed]
 - Jiménez, N.; Mehrem, A.; Picó, R.; García-Raffi, L.M.; Sánchez-Morcillo, V.J. Nonlinear propagation and control of acoustic waves in phononic superlattices. CR PHYS 2016, 17, 543–554. [Google Scholar] [CrossRef]
 - Zhang, J.; Romero-García, V.; Theocharis, G.; Richoux, O.; Achilleos, V.; Frantzeskakis, D.J. Second-Harmonic Generation in Membrane-Type Nonlinear Acoustic Metamaterials. Crystals 2016, 6, 86. [Google Scholar] [CrossRef]
 - Hamilton, M.; Blackstock, D.T. Nonlinear Acoustics; Academic Press: San Diego, CA, USA, 1998. [Google Scholar]
 - Averkiou, M.A.; Lee, Y.S.; Hamilton, M.F. Self demodulation of amplitude and frequency modulated pulses in a thermoviscous fluid. J. Acoust. Soc. Am. 1993, 94, 2876–2883. [Google Scholar] [CrossRef]
 - Achilleos, V.; Richoux, O.; Theocharis, G.; Frantzeskakis, D.J. Acoustic solitons in waveguides with Helmholtz resonators: Transmission line approach. Phys. Rev. E 2015, 91, 023204. [Google Scholar] [CrossRef] [PubMed]
 - Sugimoto, N.; Masuda, M.; Ohno, J.; Motoi, D. Experimental demonstration of generation and propagation of acoustic solitary waves in an air-filled tube. Phys. Rev. Lett. 1999, 83, 4053. [Google Scholar] [CrossRef]
 - Zhang, J.; Romero-García, V.; Theocharis, G.; Richoux, O.; Achilleos, V.; Frantzeskakis, D.J. Bright and Gap Solitons in Membrane-Type Acoustic Metamaterials. Phys. Rev. E 2017, 96, 022214. [Google Scholar] [CrossRef] [PubMed]
 - Deng, B.; Raney, J.R.; Tournat, V.; Bertoldi, K. Elastic Vector Solitons in Soft Architected Materials. Phys. Rev. Lett. 2017, 118, 204102. [Google Scholar] [CrossRef] [PubMed]
 - Singhal, T.; Kim, E.; Kim, T.; Yang, J. Weak bond detection in composites using highly nonlinear solitary waves. Smart Mater. Struct. 2017, 26, 055011. [Google Scholar] [CrossRef]
 - Liu, Z.; Zhang, X.; Mao, Y.; Zhu, Y.Y.; Yang, Z.; Chan, C.T.; Sheng, P. Locally resonant sonic materials. Science 2000, 289, 1734–1736. [Google Scholar] [CrossRef] [PubMed]
 - Fang, N.; Xi, D.; Xu, J.; Ambati, M.; Srituravanich, W.; Sun, C.; Zhang, X. Ultrasonic metamaterials with negative modulus. Nat. Mater. 2006, 5, 452. [Google Scholar] [CrossRef] [PubMed]
 - Sugimoto, N.; Horioka, T. Dispersion characteristics of sound waves in a tunnel with an array of Helmholtz resonators. J. Acoust. Soc. Am. 1995, 97, 1446–1459. [Google Scholar] [CrossRef]
 - Bradly, C.E. Time harmonic acoustic Bloch wave propagation in periodic waveguides. Part I. Theory. J. Acoust. Soc. Am. 1994, 96, 1844–1853. [Google Scholar] [CrossRef]
 - Ma, G.; Yang, M.; Xiao, S.; Yang, Z.; Sheng, P. Acoustic metasurface with hybrid resonances. Nat. Mater. 2014, 13, 873–878. [Google Scholar] [CrossRef] [PubMed]
 - Romero-García, V.; Theocharis, G.; Richoux, O.; Merkel, A.; Tournat, V.; Pagneux, V. Perfect and broadband acoustic absorption by critically coupled sub-wavelength resonators. Sci. Rep. 2016, 6, 19519. [Google Scholar] [CrossRef] [PubMed]
 - Solymar, L.; Shamonina, E. Waves in Metamaterials; Oxford University Press: New York, NY, USA, 2009. [Google Scholar]
 - Henríquez, V.C.; García-Chocano, V.M.; Sánchez-Dehesa, J. Viscothermal Losses in Double-Negative Acoustic Metamaterials. Phys. Rev. Appl. 2017, 8, 014029. [Google Scholar] [CrossRef]
 - Zwikker, C.; Kosten, C.W. Sound Absorbing Materials; Elsevier: Amsterdam, The Netherland, 1949. [Google Scholar]
 - Theocharis, G.; Richoux, O.; García, V.R.; Merkel, A.; Tournat, V. Limits of slow sound propagation and transparency in lossy, locally resonant periodic structures. New J. Phys. 2014, 16, 093017. [Google Scholar] [CrossRef]
 - Bradley, C.E. Time harmonic acoustic Bloch wave propagation in periodic waveguides. Part II. Experiment. J. Acoust. Soc. Am. 1994, 96, 1854–1862. [Google Scholar] [CrossRef]
 - Bongard, F.; Lissek, H.; Mosig, J.R. Acoustic transmission line metamaterial with negative/zero/positive refractive index. Phys. Rev. B 2010, 82, 094306. [Google Scholar] [CrossRef]
 - Park, C.M.; Park, J.J.; Lee, S.H.; Seo, Y.M.; Kim, C.K.; Lee, S.H. Amplification of acoustic evanescent waves using metamaterial slabs. Phys. Rev. Lett. 2011, 107, 194301. [Google Scholar] [CrossRef] [PubMed]
 - Lee, K.J.B.; Jung, M.K.; Lee, S.H. Highly tunable acoustic metamaterials based on a resonant tubular array. Phys. Rev. B 2012, 86, 184302. [Google Scholar] [CrossRef]
 - Fleury, R.; Alú, A. Extraordinary sound transmission through density-near-zero ultranarrow channels. Phys. Rev. Lett. 2013, 111, 055501. [Google Scholar] [CrossRef] [PubMed]
 - Rossing, T.D.; Fletcher, N.H. Principles of Vibration and Sound; Springer: New York, NY, USA, 1995. [Google Scholar]
 - Ablowitz, M.J.; Nixon, S.D.; Horikis, T.P.; Frantzeskakis, D.J. Perturbations of dark solitons. Proc. R. Soc. A 2011, 467, 2597. [Google Scholar] [CrossRef]
 - Atig, M.; Dalmont, J.P.; Gilbert, J. Termination impedance of open-ended cylindrical tubes at high sound pressure level. CR MECANIQUE 2004, 332, 299–304. [Google Scholar] [CrossRef]
 - Buick, J.M.; Atig, M.; Skulina, D.J.; Campbell, D.M.; Dalmont, J.P.; Gilbert, J. Investigation of non- linear acoustic losses at the open end of a tube. J. Acoust. Soc. Am. 2011, 129, 1261–1272. [Google Scholar] [CrossRef] [PubMed]
 - Kalozoumis, P.A.; Richoux, O.; Diakonos, F.K.; Theocharis, G.; Schmelcher, P. Invariant currents in lossy acoustic waveguides with complete local symmetry. Phys. Rev. B 2015, 92, 014303. [Google Scholar] [CrossRef]
 - Dubos, V.; Kergomard, J.; Keefe, D.; Dalmont, J.-P.; Khettabi, A.; Nederveen, K. Theory of sound propagation in a duct with a branched tube using modal decomposition. Acta Acust. United Acust. 1999, 85, 153–169. [Google Scholar]
 - Dalmont, J.-P.; Nederveen, C.J.; Joly, N. Radiation impedance of tubes with different flanges: Numerical and experimental investigations. J. Sound Vib. 2001, 244, 505–534. [Google Scholar] [CrossRef]
 - Remoissenet, M. Waves Called Solitons; Springer: Berlin, Germany, 1999. [Google Scholar]
 - Ablowitz, M.J. Nonlinear Dispersive Waves, Asymptotic Analysis and Solitons; Cambridge University Press: Cambridge, UK, 2011. [Google Scholar]
 







© 2018 by the authors. Licensee MDPI, Basel, Switzerland. This article is an open access article distributed under the terms and conditions of the Creative Commons Attribution (CC BY) license (http://creativecommons.org/licenses/by/4.0/).
Share and Cite
Zhang, J.; Romero-García, V.; Theocharis, G.; Richoux, O.; Achilleos, V.; Frantzeskakis, D.J. Dark Solitons in Acoustic Transmission Line Metamaterials. Appl. Sci. 2018, 8, 1186. https://doi.org/10.3390/app8071186
Zhang J, Romero-García V, Theocharis G, Richoux O, Achilleos V, Frantzeskakis DJ. Dark Solitons in Acoustic Transmission Line Metamaterials. Applied Sciences. 2018; 8(7):1186. https://doi.org/10.3390/app8071186
Chicago/Turabian StyleZhang, Jiangyi, Vicente Romero-García, Georgios Theocharis, Olivier Richoux, Vassos Achilleos, and Dimitrios J. Frantzeskakis. 2018. "Dark Solitons in Acoustic Transmission Line Metamaterials" Applied Sciences 8, no. 7: 1186. https://doi.org/10.3390/app8071186
APA StyleZhang, J., Romero-García, V., Theocharis, G., Richoux, O., Achilleos, V., & Frantzeskakis, D. J. (2018). Dark Solitons in Acoustic Transmission Line Metamaterials. Applied Sciences, 8(7), 1186. https://doi.org/10.3390/app8071186
        