Acoustic Improvement of Stator–Rotor Interaction with Nonuniform Trailing Edge Blowing
Abstract
:1. Introduction
2. Geometry and Structure of the Compressor Facilities
3. Acoustic Propagation Analysis
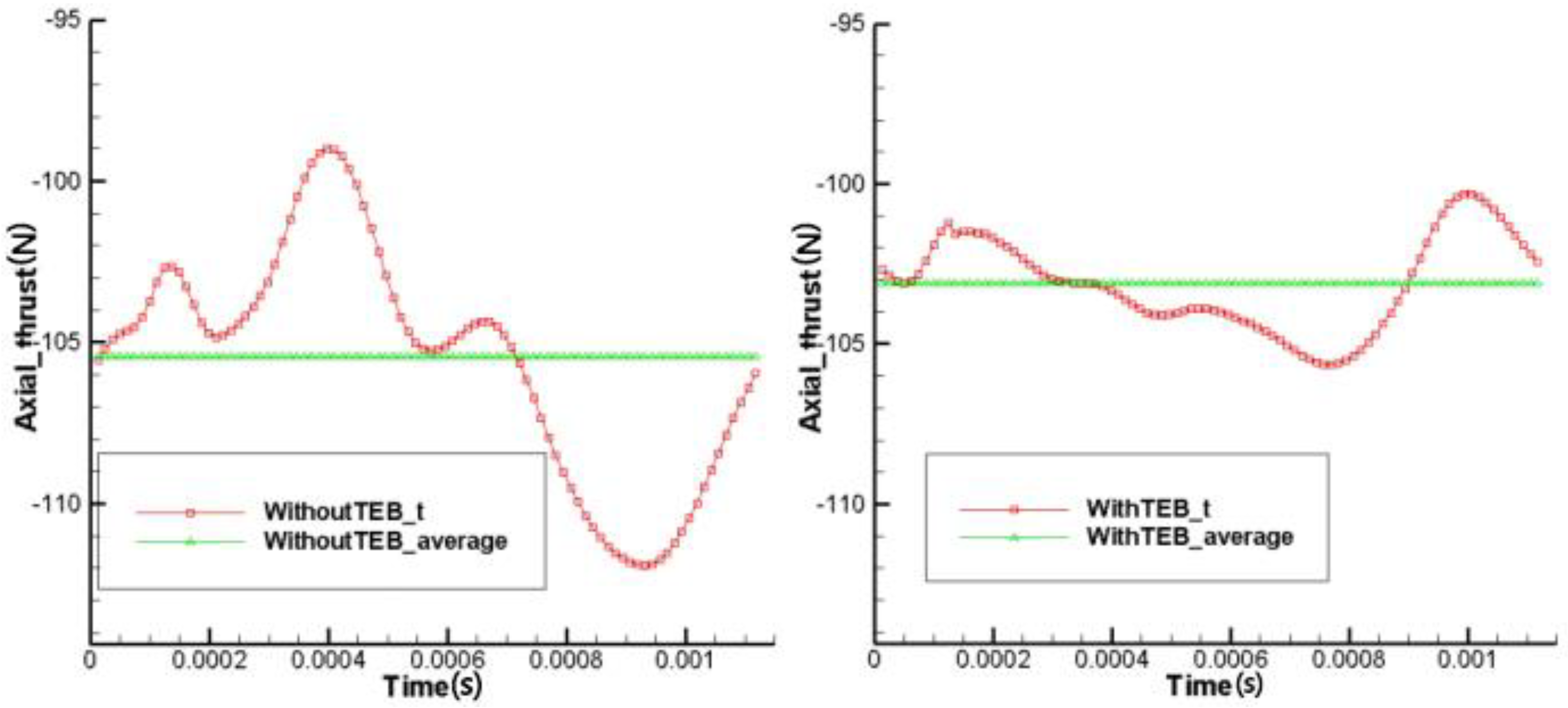
4. Simulation Results
5. Experimental Results
5.1. Flow Field Results
5.2. Acoustic Results
5.2.1. Noise Transmission in the Forward Direction
5.2.2. Noise Transmission in the Backward Direction
5.2.3. OASPL Analysis
6. Summary and Conclusions
Author Contributions
Funding
Acknowledgments
Conflicts of Interest
References
- Wilson, J.; Schatzman, D.; Arad, E. Suction and Pulsed-Blowing Flow Control Applied to an Axisymmetric Body. AIAA J. 2013, 51, 2432–2446. [Google Scholar] [CrossRef]
- Volino, R.J. Control of Tip Leakage in a High-Pressure Turbine Cascade Using TipBlowing. J. Turbomach. 2017, 139, 061008. [Google Scholar] [CrossRef]
- Khojasteh, A.R.; Wang, S.F.; Peng, D. Structure analysis of adiabatic film cooling effectiveness in the near field of a single inclined jet: Measurement using fast-response pressure-sensitive paint. Int. J. Heat Mass Transf. 2017, 110, 629–642. [Google Scholar] [CrossRef]
- Waitz, I.A.; Brookfield, J.M.; Sell, J.; Hayden, B.J. Preliminary Assessment of Wake Management Strategies for Reduction of Turbomachinery Fan Noise. J. Propuls. Power 1996, 12, 958–966. [Google Scholar] [CrossRef]
- Sell, J. Cascade Testing to Assess the Effectiveness of Mass Addition/Removal Wake Management Strategies for Reduction of Rotor-Stator Interaction Noise. Ph.D. Thesis, Massachusetts Institute of Technology (MIT), Cambridge, MA, USA, 1996. [Google Scholar]
- Leitch, T.A.; Saunders, C.A.; Ng, W.F. Reduction of Unsteady Stator Rotor Interaction Using Trailing Edge Blowing. J. Sound Vib. 2000, V235, 235–245. [Google Scholar] [CrossRef]
- Brookfield, J. Turbofan Rotor/Stator Interaction Noise Reduction through Trailing Edge Blowing. Ph.D. Thesis, Massachusetts Institute of Technology (MIT), Cambridge, MA, USA, 1998. [Google Scholar]
- Brookfield, J.; Waitz, I.A. Trailing-edge blowing for reduction of turbomachinery fan noise. J. Propuls. Power 2000, 16, 57–64. [Google Scholar] [CrossRef]
- Thomas, A.L.; Saunders, C.A.; Ng, W.F. Reduction of unsteady stator/rotor interaction using trailing edge blowing. J. Sound Vib. 2000, 235, 235–245. [Google Scholar]
- Yavuz, M.M.; Rockwell, D. Control of flow structure on delta wing with steady trailing-edge blowing. AIAA J. 2006, 3, 493–501. [Google Scholar] [CrossRef]
- Matjaz, E.; Brance, S.; Marko, H.; Matevz, D. Numerical and experimental investigation of axial fan with trailing edge self-induced blowing. Forsch. Ingenieurwes 2009, 73, 129–138. [Google Scholar]
- Giovanna, B.; Alessandro, A.; Claudio, M.; Luca, C. Experimental investigation of the effects of blowing conditions and Mach number on the unsteady behavior of coolant ejection through a trailing edge cutback. Int. J. Heat Fluid Flow 2012, 37, 37–50. [Google Scholar]
- Saunders, C.A. Noise Reduction in an Axisymmetric Supersonic Inlet Using Trailing Edge Blowing. Ph.D. Thesis, Virginia Polytechnic and State University, Blacksburg, VA, USA, 1998. [Google Scholar]
- Rao, N.M. Reduction of Unsteady Stator–Rotor Interaction by Trailing Edge Blowing Using MEMS Based Microvalves. Ph.D. Thesis, Virginia Polytechnic and State University, Blacksburg, VA, USA, 1998. [Google Scholar]
- Feng, J.W. Active Control for Reduction of Unsteady Stator-Rotor Interaction in a Turbofan Simulator. Ph.D. Thesis, Virginia Polytechnic and State University, Blacksburg, VA, USA, 2000. [Google Scholar]
- Bailie, S.T. Effect of Inlet Guide Vane Flow Control on Forced Response of a Transonic Fan. Ph.D. Thesis, Virginia Polytechnic and State University, Blacksburg, VA, USA, 2003. [Google Scholar]
- Craig, M.E. Trailing Edge Blowing of Model Fan Blades for Wake Management. Ph.D. Thesis, Virginia Polytechnic and State University, Blacksburg, VA, USA, 2005. [Google Scholar]
- Tweedie, S. Experimental Investigation of Flow Control Techniques to Reduce Hydroacoustic Rotor-Stator Interaction Noise. Ph.D. Thesis, Virginia Polytechnic and State University, Blacksburg, VA, USA, 2006. [Google Scholar]
- Halasz, C.W. Advanced Trailing Edge Blowing Concepts for Fan Noise Control Experimental Validation. Ph.D. Thesis, Virginia Polytechnic and State University, Blacksburg, VA, USA, 2005. [Google Scholar]
- Goldstein, M.V. Aeroacoustics; McGraw-Hill Book: New York, NY, USA, 1976. [Google Scholar]
- Sun, X.; Zhou, S. Aeroacoustics; National Defense Industry Press: Beijing, China, 1994. [Google Scholar]









| BPF Order Frequency | 1st BPF (894.54 Hz) | 2nd BPF (1789.08 Hz) | 3rd BPF (2683.62 Hz) | 4th BPF (3578.16 Hz) | 5th BPF (4472.7 Hz) |
|---|---|---|---|---|---|
| Without NTEB (N) | 4.59 | 0.95 | 1.54 | 0.95 | 0.37 |
| With NTEB (N) | 1.66 | 0.69 | 0.88 | 0.44 | 0.23 |
| Reduction Ratio | 63.83% | 27.37% | 42.86% | 53.68% | 37.83% |
| 2 m3/h | 3 m3/h | 4 m3/h | 5 m3/h | 6 m3/h | ||
|---|---|---|---|---|---|---|
| F-OASPL | 1st BPF | 0.35 | 0.78 | 1.51 | 2.10 | 2.45 |
| 2nd BPF | 0.66 | 1.28 | 2.49 | 4.46 | 4.60 | |
| B-OASPL | 1st BPF | −1.02 | −0.73 | 2.83 | 3.65 | 0.65 |
| 2nd BPF | 0.92 | 1.42 | 3.00 | 5.05 | 9.01 |
| ch1 | ch2 | ch3 | ch4 | ch5 | ch6 | ch7 | ch8 | OASPL | ||
|---|---|---|---|---|---|---|---|---|---|---|
| F-OASPL | 2 m3/h | 0.28 | 0.15 | 0.16 | −0.10 | 0.43 | 0.45 | 0.04 | 0.15 | 0.21 |
| 3 m3/h | 0.43 | 0.42 | 0.29 | −0.39 | 0.55 | 0.46 | 0.13 | 0.14 | 0.27 | |
| 4 m3/h | 0.80 | 1.51 | 1.08 | 0.57 | 1.44 | 1.41 | 0.58 | 0.51 | 0.98 | |
| 5 m3/h | 1.16 | 2.39 | 1.89 | 1.04 | 2.18 | 2.35 | 1.03 | 0.89 | 1.59 | |
| 6 m3/h | 1.06 | 3.27 | 2.36 | 0.07 | 2.82 | 2.53 | 0.68 | 1.05 | 1.68 | |
| B-OASPL | 2 m3/h | −0.25 | −0.06 | −0.40 | 0.22 | 0.28 | 0.30 | −0.36 | 0.25 | −0.08 |
| 3 m3/h | 0.57 | 0.23 | −0.11 | −0.14 | 0.51 | 0.21 | −0.44 | 0.29 | 0.03 | |
| 4 m3/h | 1.11 | 0.83 | 0.47 | 0.34 | 1.41 | 0.92 | 0.08 | 0.72 | 0.60 | |
| 5 m3/h | 0.89 | 1.17 | 0.35 | 0.47 | 1.86 | 1.29 | 0.52 | 0.70 | 0.78 | |
| 6 m3/h | 1.13 | 1.13 | 0.55 | 0.42 | 3.02 | 1.41 | 0.11 | 0.21 | 0.76 |
© 2018 by the authors. Licensee MDPI, Basel, Switzerland. This article is an open access article distributed under the terms and conditions of the Creative Commons Attribution (CC BY) license (http://creativecommons.org/licenses/by/4.0/).
Share and Cite
Wang, W.; J. Thomas, P. Acoustic Improvement of Stator–Rotor Interaction with Nonuniform Trailing Edge Blowing. Appl. Sci. 2018, 8, 994. https://doi.org/10.3390/app8060994
Wang W, J. Thomas P. Acoustic Improvement of Stator–Rotor Interaction with Nonuniform Trailing Edge Blowing. Applied Sciences. 2018; 8(6):994. https://doi.org/10.3390/app8060994
Chicago/Turabian StyleWang, Wenjie, and Peter J. Thomas. 2018. "Acoustic Improvement of Stator–Rotor Interaction with Nonuniform Trailing Edge Blowing" Applied Sciences 8, no. 6: 994. https://doi.org/10.3390/app8060994
APA StyleWang, W., & J. Thomas, P. (2018). Acoustic Improvement of Stator–Rotor Interaction with Nonuniform Trailing Edge Blowing. Applied Sciences, 8(6), 994. https://doi.org/10.3390/app8060994

