Mathematical Modelling of the Effects of Plasma Treatment on the Diffusivity of Biofilm
Abstract
1. Introduction
2. Materials and Methods
2.1. Development of a Mathematical Model of CHX Diffusion in a Biofilm
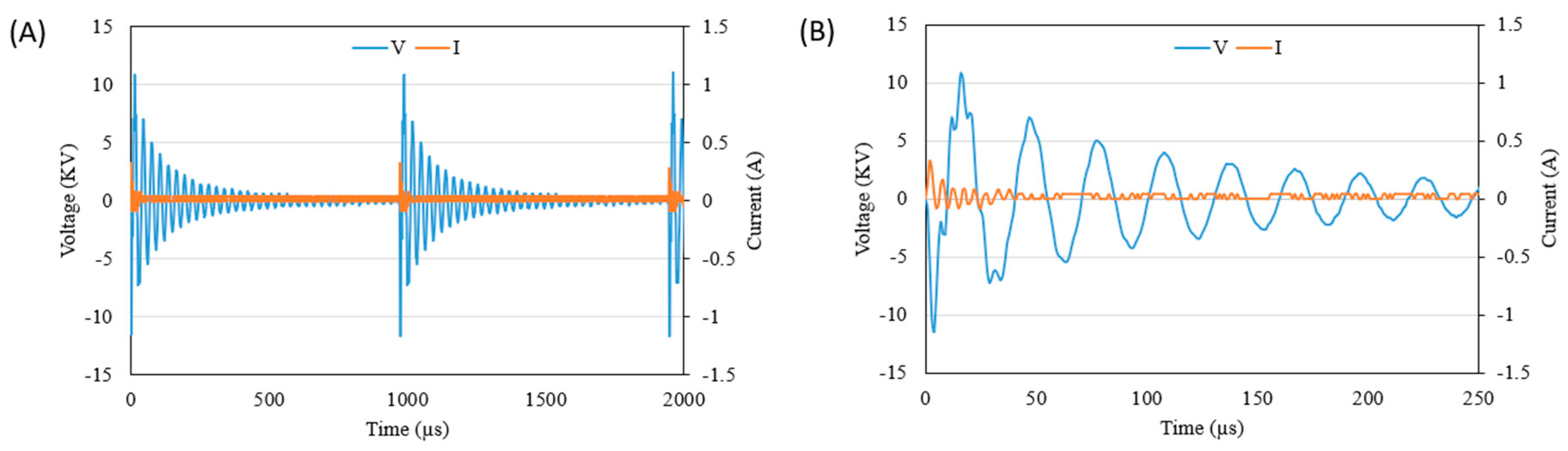
2.2. Jet Plasma Generation and Electrical and Optical Characterization
2.3. Biofilm Sterilization by Combinatorial Treatment of Plasma and CHX
2.4. Verification of the Mathematical Model
3. Conclusions
Author Contributions
Funding
Conflicts of Interest
References
- Kuhn, D.; Chandra, J.; Mukherjee, P.; Ghannoum, M. Comparison of biofilms formed by Candida albicans and Candida parapsilosis on bioprosthetic surfaces. Infect. Immun. 2002, 70, 878–888. [Google Scholar] [CrossRef] [PubMed]
- Donlan, R.M. Role of biofilms in antimicrobial resistance. ASAIO J. 2000, 46, S47–S52. [Google Scholar] [CrossRef] [PubMed]
- Flemming, H.-C.; Wingender, J. The biofilm matrix. Nat. Rev. Microbiol. 2010, 8, 623–633. [Google Scholar] [CrossRef] [PubMed]
- Chiba, A.; Sugimoto, S.; Sato, F.; Hori, S.; Mizunoe, Y. A refined technique for extraction of extracellular matrices from bacterial biofilms and its applicability. Microb. Biotechnol. 2015, 8, 392–403. [Google Scholar] [CrossRef] [PubMed]
- Gupta, T.T.; Karki, S.B.; Matson, J.S.; Gehling, D.J.; Ayan, H. Sterilization of Biofilm on a Titanium Surface Using a Combination of Nonthermal Plasma and Chlorhexidine Digluconate. BioMed Res. Int. 2017, 2017. [Google Scholar] [CrossRef] [PubMed]
- Robert, E.; Vandamme, M.; Brullé, L.; Lerondel, S.; Le Pape, A.; Sarron, V.; Riès, D.; Darny, T.; Dozias, S.; Collet, G. Perspectives of endoscopic plasma applications. Clin. Plasma Med. 2013, 1, 8–16. [Google Scholar] [CrossRef]
- Winter, J.; Nishime, T.M.; Glitsch, S.; Lühder, H.; Weltmann, K.D. On the development of a deployable cold plasma endoscope. Contrib. Plasma Phys. 2018, 58, 404–414. [Google Scholar] [CrossRef]
- Robert, E.; Barbosa, E.; Dozias, S.; Vandamme, M.; Cachoncinlle, C.; Viladrosa, R.; Pouvesle, J.M. Experimental study of a compact nanosecond plasma gun. Plasma Process. Polym. 2009, 6, 795–802. [Google Scholar] [CrossRef]
- Fricke, K.; Koban, I.; Tresp, H.; Jablonowski, L.; Schröder, K.; Kramer, A.; Weltmann, K.-D.; von Woedtke, T.; Kocher, T. Atmospheric pressure plasma: A high-performance tool for the efficient removal of biofilms. PLoS ONE 2012, 7, e42539. [Google Scholar] [CrossRef] [PubMed]
- Bourdon, A.; Darny, T.; Pechereau, F.; Pouvesle, J.-M.; Viegas, P.; Iséni, S.; Robert, E. Numerical and experimental study of the dynamics of a μs helium plasma gun discharge with various amounts of N2 admixture. Plasma Sources Sci. Technol. 2016, 25, 035002. [Google Scholar] [CrossRef]
- Robert, E.; Darny, T.; Dozias, S.; Iseni, S.; Pouvesle, J.-M. New insights on the propagation of pulsed atmospheric plasma streams: From single jet to multi jet arrays. Phys. Plasmas 2015, 22, 122007. [Google Scholar] [CrossRef]
- Sobota, A.; Guaitella, O.; Garcia-Caurel, E. Experimentally obtained values of electric field of an atmospheric pressure plasma jet impinging on a dielectric surface. J. Phys. D Appl. Phys. 2013, 46, 372001. [Google Scholar] [CrossRef]
- Ayan, H.; Fridman, G.; Gutsol, A.F.; Vasilets, V.N.; Fridman, A.; Friedman, G. Nanosecond-pulsed uniform dielectric-barrier discharge. IEEE Trans. Plasma Sci. 2008, 36, 504–508. [Google Scholar] [CrossRef]
- Vaňková, E.; Válková, M.; Kašparová, P.; Masák, J.; Scholtz, V.; Khun, J.; Julák, J. Prevention of biofilm re-development on Ti-6Al-4V alloy by cometary discharge with a metallic grid. Contrib. Plasma Phys. 2018. [Google Scholar] [CrossRef]
- Karki, S.B.; Gupta, T.T.; Yildirim-Ayan, E.; Eisenmann, K.M.; Ayan, H. Investigation of non-thermal plasma effects on lung cancer cells within 3D collagen matrices. J. Phys. D Appl. Phys. 2017, 50, 315401. [Google Scholar] [CrossRef]
- Karki, S.B.; Yildirim-Ayan, E.; Eisenmann, K.M.; Ayan, H. Miniature dielectric barrier discharge nonthermal plasma induces apoptosis in lung cancer cells and inhibits cell migration. BioMed Res. Int. 2017, 2017. [Google Scholar] [CrossRef] [PubMed]
- Isbary, G.; Stolz, W.; Shimizu, T.; Monetti, R.; Bunk, W.; Schmidt, H.-U.; Morfill, G.; Klämpfl, T.; Steffes, B.; Thomas, H. Cold atmospheric argon plasma treatment may accelerate wound healing in chronic wounds: Results of an open retrospective randomized controlled study in vivo. Clin. Plasma Med. 2013, 1, 25–30. [Google Scholar] [CrossRef]
- Laroussi, M. Low temperature plasma-based sterilization: Overview and state-of-the-art. Plasma Process. Polym. 2005, 2, 391–400. [Google Scholar] [CrossRef]
- Fridman, G.; Peddinghaus, M.; Balasubramanian, M.; Ayan, H.; Fridman, A.; Gutsol, A.; Brooks, A. Blood coagulation and living tissue sterilization by floating-electrode dielectric barrier discharge in air. Plasma Chem. Plasma Process. 2006, 26, 425–442. [Google Scholar] [CrossRef]
- Ehlbeck, J.; Schnabel, U.; Polak, M.; Winter, J.; Von Woedtke, T.; Brandenburg, R.; Von dem Hagen, T.; Weltmann, K. Low temperature atmospheric pressure plasma sources for microbial decontamination. J. Phys. D Appl. Phys. 2010, 44, 013002. [Google Scholar] [CrossRef]
- Scholtz, V.; Julák, J.; Kříha, V. The Microbicidal Effect of Low-Temperature Plasma Generated by Corona Discharge: Comparison of Various Microorganisms on an Agar Surface or in Aqueous Suspension. Plasma Process. Polym. 2010, 7, 237–243. [Google Scholar] [CrossRef]
- Ehlbeck, J.; Brandenburg, R.; von Woedtke, T.; Krohmann, U.; Stieber, M.; Weltmann, K.-D. PLASMOSE-antimicrobial effects of modular atmospheric plasma sources. GMS Krankenh. Interdiszip. 2008, 3, 2–12. [Google Scholar]
- Sato, T.; Doi, A.; Urayama, T.; Nakatani, T.; Miyahara, T. Inactivation of Escherichia coli by a coaxial microwave plasma flow. IEEE Trans. Ind. Appl. 2007, 43, 1159–1163. [Google Scholar] [CrossRef]
- Belgacem, Z.B.; Carré, G.; Charpentier, E.; Le-Bras, F.; Maho, T.; Robert, E.; Pouvesle, J.-M.; Polidor, F.; Gangloff, S.C.; Boudifa, M. Innovative non-thermal plasma disinfection process inside sealed bags: Assessment of bactericidal and sporicidal effectiveness in regard to current sterilization norms. PLoS ONE 2017, 12, e0180183. [Google Scholar] [CrossRef] [PubMed]
- Zelaya, A.; Vandervoort, K.; Brelles-Mariño, G. Battling bacterial biofilms with gas discharge plasma. In Plasma for Bio-Decontamination, Medicine and Food Security; Springer: Berlin, Germany, 2012; pp. 135–148. [Google Scholar]
- Jiang, C.; Schaudinn, C.; Jaramillo, D.E.; Gundersen, M.A.; Costerton, J.W. A sub-microsecond pulsed plasma jet for endodontic biofilm disinfection. In Plasma for Bio-Decontamination, Medicine and Food Security; Springer: Berlin, Germany, 2012; pp. 179–190. [Google Scholar]
- Machala, Z.; Tarabová, B.; Pelach, M.; Šipoldová, Z.; Hensel, K.; Janda, M.; Šikurová, L. Bio-decontamination of water and surfaces by DC discharges in atmospheric air. In Plasma for Bio-Decontamination, Medicine and Food Security; Springer: Berlin, Germany, 2012; pp. 31–44. [Google Scholar]
- Sousa, J.S.; Girard, P.-M.; Sage, E.; Ravanat, J.-L.; Puech, V. DNA oxidation by reactive oxygen species produced by atmospheric pressure microplasmas. In Plasma for Bio-Decontamination, Medicine and Food Security; Springer: Berlin, Germany, 2012; pp. 107–119. [Google Scholar]
- Soušková, H.; Scholtz, V.; Julák, J.; Savická, D. The fungal spores survival under the low-temperature plasma. In Plasma for Bio-Decontamination, Medicine and Food Security; Springer: Berlin, Germany, 2012; pp. 57–66. [Google Scholar]
- Stewart, P.S. Theoretical aspects of antibiotic diffusion into microbial biofilms. Antimicrob. Agents Chemother. 1996, 40, 2517–2522. [Google Scholar] [PubMed]
- Suci, P.; Mittelman, M.; Yu, F.; Geesey, G. Investigation of ciprofloxacin penetration into Pseudomonas aeruginosa biofilms. Antimicrob. Agents Chemother. 1994, 38, 2125–2133. [Google Scholar] [CrossRef] [PubMed]
- Nichols, W.W.; Evans, M.J.; Slack, M.P.; Walmsley, H.L. The penetration of antibiotics into aggregates of mucoid and non-mucoid Pseudomonas aeruginosa. Microbiology 1989, 135, 1291–1303. [Google Scholar] [CrossRef] [PubMed]
- Fournier, R.L. Basic Transport Phenomena in Biomedical Engineering, 4th ed.; CRC Press: New York, NY, USA, 2017. [Google Scholar]
- Balagopal, S.; Arjunkumar, R. Chlorhexidine: The gold standard antiplaque agent. J. Pharm. Sci. Res. 2013, 5, 270. [Google Scholar]
- Rasimick, B.J.; Wan, J.; Musikant, B.L.; Deutsch, A.S. Stability of doxycycline and chlorhexidine absorbed on root canal dentin. J. Endod. 2010, 36, 489–492. [Google Scholar] [CrossRef] [PubMed]
- Gupta, T.T.; Matson, J.S.; Ayan, H. Antimicrobial Effectiveness of Regular Dielectric-Barrier Discharge (DBD) and Jet DBD on the Viability of Pseudomonas aeruginosa. IEEE Trans. Radiat. Plasma Med Sci. 2018, 2, 68–76. [Google Scholar] [CrossRef]
- Matthes, R.; Koban, I.; Bender, C.; Masur, K.; Kindel, E.; Weltmann, K.D.; Kocher, T.; Kramer, A.; Hübner, N.O. Antimicrobial efficacy of an atmospheric pressure plasma jet against biofilms of Pseudomonas aeruginosa and Staphylococcus epidermidis. Plasma Process. Polym. 2013, 10, 161–166. [Google Scholar] [CrossRef]





| Plasma Treatment Time (s) | CHX Treatment Time (s) | |
|---|---|---|
| 15 | 5 | −0.10867783 |
| 15 | −1.29736253 | |
| 30 | 5 | −0.37619369 |
| 15 | −1.12858295 | |
| 60 | 5 | −0.01996643 |
© 2018 by the authors. Licensee MDPI, Basel, Switzerland. This article is an open access article distributed under the terms and conditions of the Creative Commons Attribution (CC BY) license (http://creativecommons.org/licenses/by/4.0/).
Share and Cite
Gupta, T.T.; Karki, S.B.; Fournier, R.; Ayan, H. Mathematical Modelling of the Effects of Plasma Treatment on the Diffusivity of Biofilm. Appl. Sci. 2018, 8, 1729. https://doi.org/10.3390/app8101729
Gupta TT, Karki SB, Fournier R, Ayan H. Mathematical Modelling of the Effects of Plasma Treatment on the Diffusivity of Biofilm. Applied Sciences. 2018; 8(10):1729. https://doi.org/10.3390/app8101729
Chicago/Turabian StyleGupta, Tripti Thapa, Surya B. Karki, Ronald Fournier, and Halim Ayan. 2018. "Mathematical Modelling of the Effects of Plasma Treatment on the Diffusivity of Biofilm" Applied Sciences 8, no. 10: 1729. https://doi.org/10.3390/app8101729
APA StyleGupta, T. T., Karki, S. B., Fournier, R., & Ayan, H. (2018). Mathematical Modelling of the Effects of Plasma Treatment on the Diffusivity of Biofilm. Applied Sciences, 8(10), 1729. https://doi.org/10.3390/app8101729

