Research on the Robustness of Interdependent Networks under Localized Attack
Abstract
:1. Introduction
2. Models
2.1. Cascading Failures of Interdependent Networks
2.2. Failure Probability Degradation Model of a Localized Attack
3. Results and Analysis
3.1. Artificial Network
3.1.1. The Existence of Dependency Links Makes Interdependent WS-WS and BA-BA Systems More Vulnerable, but Makes No Difference on Interdependent NN-NN Networks Coupled Based on Strict Spatial Position
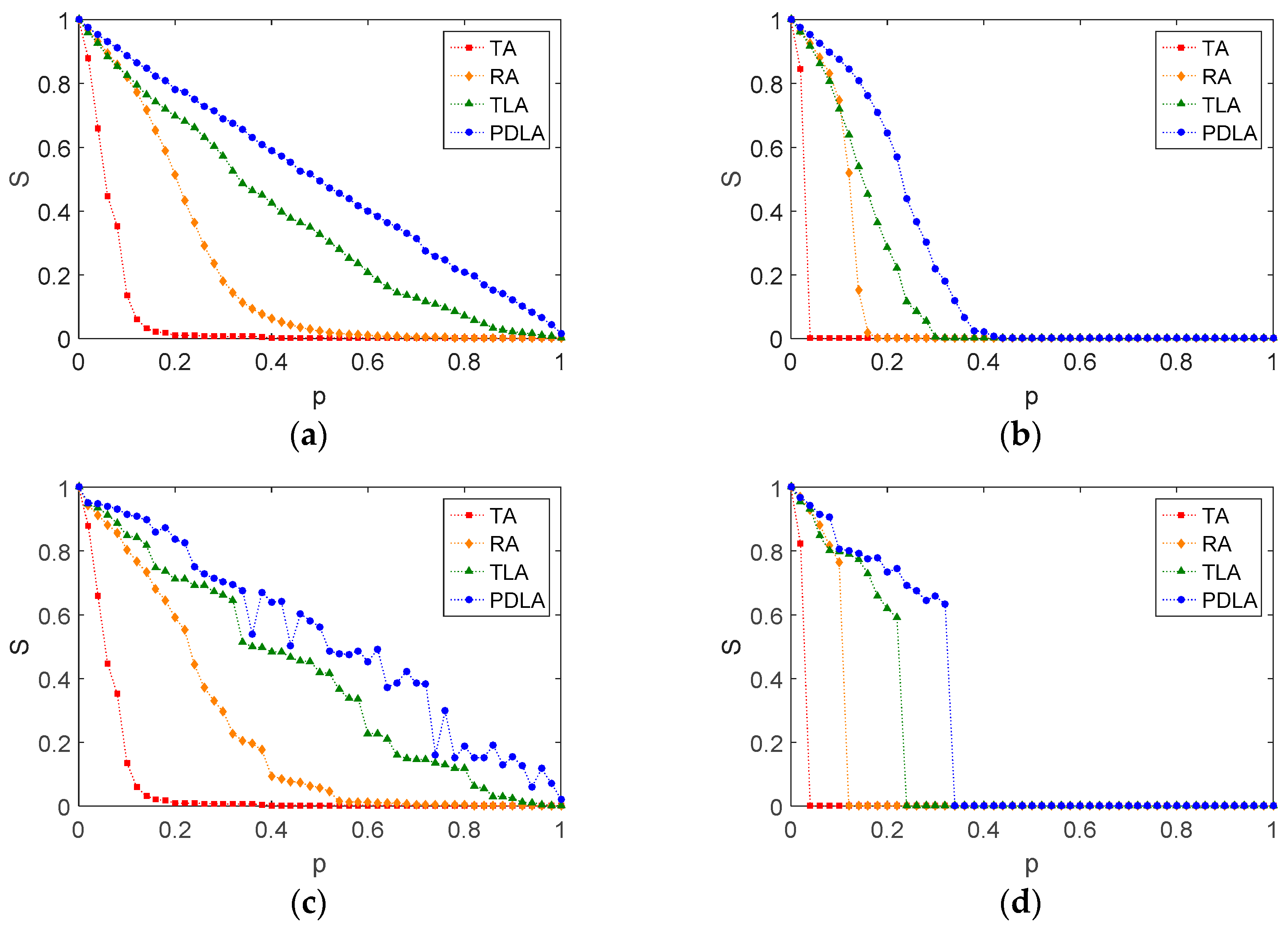
3.1.2. The Robustness of Network under PDLA Is Better Than That under TA, RA, or TLA
3.1.3. Degree Distribution Is an Important Factor Affecting Network Robustness
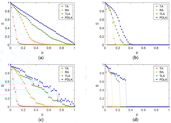
3.2. Infrastructure Network
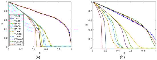
3.3. Effect of Coupling Preference and Coupling Strength
4. Conclusions
Acknowledgments
Author Contributions
Conflicts of Interest
References
- Rinaldi, S.M.; Peerenboom, J.P.; Kelly, K. Identifying, understanding, and analyzing critical infrastructure interdependencies. IEEE Control Syst. 2001, 21, 11–25. [Google Scholar] [CrossRef]
- Kim, Y.; Kang, W.H.; Song, J. Assessment of seismic risk and importance measures of interdependent networks using a non simulation-based method. J. Earthq. Eng. 2012, 16, 777–794. [Google Scholar] [CrossRef]
- Dueñas-Osorio, L.; Craig, J.I.; Goodno, B.J. Seismic response of critical interdependent networks. Earthq. Eng. Struct. Dyn. 2007, 36, 285–306. [Google Scholar] [CrossRef]
- Buldyrev, S.V.; Parshani, R.; Paul, G.; Stanley, H.E.; Havlin, S. Catastrophic cascade of failures in interdependent networks. Nature 2010, 464, 1025–1028. [Google Scholar] [CrossRef] [PubMed]
- Martín-Hernández, J.; Wang, H.; Van Mieghem, P.; D’Agostino, G. Algebraic connectivity of interdependent networks. Phys. A 2014, 404, 92–105. [Google Scholar] [CrossRef]
- Bashan, A.; Berezin, Y.; Buldyrev, S.V.; Havlin, S. The extreme vulnerability of interdependent spatially embedded networks. Nat. Phys. 2013, 9, 667–672. [Google Scholar] [CrossRef]
- Li, W.; Bashan, A.; Buldyrev, S.V.; Stanley, H.E.; Havlin, S. Cascading failures in interdependent lattice networks: The critical role of the length of dependency links. Phys. Rev. Lett. 2012, 108, 228702. [Google Scholar] [CrossRef] [PubMed]
- Buldyrev, S.V.; Shere, N.W.; Cwilich, G.A. Interdependent networks with identical degrees of mutually dependent nodes. Phys. Rev. E 2011, 83, 016112. [Google Scholar] [CrossRef] [PubMed]
- Wang, S.; Hong, L.; Ouyang, M.; Zhang, J.; Chen, X. Vulnerability analysis of interdependent infrastructure systems under edge attack strategies. Saf. Sci. 2013, 51, 328–337. [Google Scholar] [CrossRef]
- Li, R.Q.; Sun, S.W.; Ma, Y.L.; Wang, L.; Xia, C.Y. Effect of clustering on attack vulnerability of interdependent scale-free networks. Chaos Solitons Fractals 2015, 80, 109–116. [Google Scholar] [CrossRef]
- Huang, X.; Shao, S.; Wang, H.; Buldyrev, S.V.; Eugene Stanley, H.; Havlin, S. The robustness of interdependent clustered networks. EPL 2013, 101, 18002. [Google Scholar] [CrossRef]
- Shao, S.; Huang, X.; Stanley, H.E.; Havlin, S. Robustness of a partially interdependent network formed of clustered networks. Phys. Rev. E 2014, 89, 032812. [Google Scholar] [CrossRef] [PubMed]
- Zhou, D.; Stanley, H.E.; D’Agostino, G.; Scala, A. Assortativity decreases the robustness of interdependent networks. Phys. Rev. E 2012, 86, 066103. [Google Scholar] [CrossRef] [PubMed]
- Valdez, L.D.; Macri, P.A.; Stanley, H.E.; Braunstein, L.A. Triple point in correlated interdependent networks. Phys. Rev. E 2013, 88, 050803. [Google Scholar] [CrossRef] [PubMed]
- Wang, J.; Jiang, C.; Qian, J. Robustness of interdependent networks with different link patterns against cascading failures. Phys. A 2014, 393, 535–541. [Google Scholar] [CrossRef]
- Chen, Z.; Du, W.-B.; Cao, X.-B.; Zhou, X.-L. Cascading failure of interdependent networks with different coupling preference under targeted attack. Chaos Solitons Fractals 2015, 80, 7–12. [Google Scholar] [CrossRef]
- Tan, F.; Xia, Y.; Wei, Z. Robust-yet-fragile nature of interdependent networks. Phys. Rev. E 2015, 91, 052809. [Google Scholar] [CrossRef] [PubMed]
- Jun, T.; Piera, M.A.; Ruiz, S. A causal model to explore the acas induced collisions. J. Aerosp. Eng. 2014, 228, 1735–1748. [Google Scholar] [CrossRef]
- Du, R.; Dong, G.; Tian, L.; Liu, R. Targeted attack on networks coupled by connectivity and dependency links. Phys. A 2016, 450, 687–699. [Google Scholar] [CrossRef]
- Berezin, Y.; Bashan, A.; Danziger, M.M.; Li, D.; Havlin, S. Localized attacks on spatially embedded networks with dependencies. Sci. Rep. 2015, 5, 8934. [Google Scholar] [CrossRef] [PubMed]
- Shao, S.; Huang, X.; Stanley, H.E.; Havlin, S. Percolation of localized attack on complex networks. New J. Phys. 2015, 17, 023049. [Google Scholar] [CrossRef]
- Wu, B.; Tang, A.; Wu, J. Modeling cascading failures in interdependent infrastructures under terrorist attacks. Reliab. Eng. Syst. Saf. 2016, 147, 1–8. [Google Scholar] [CrossRef]
- Dong, G.; Hao, H.; Du, R.; Shao, S.; Stanley, H.E.; Shlomo, H. Localized attack on clustering networks. arXiv 2016. [Google Scholar]
- Yuan, X.; Dai, Y.; Stanley, H.E.; Havlin, S. K-core percolation on complex networks: Comparing random, localized, and targeted attacks. Phys. Rev. E 2016, 93, 062302. [Google Scholar] [CrossRef] [PubMed]
- Wang, S.; Hong, L.; Chen, X. Vulnerability analysis of interdependent infrastructure systems: A methodological framework. Phys. A 2012, 391, 3323–3335. [Google Scholar] [CrossRef]
- Parshani, R.; Rozenblat, C.; Ietri, D.; Ducruet, C.; Havlin, S. Inter-similarity between coupled networks. EPL 2010, 92, 68002. [Google Scholar] [CrossRef]
- Parshani, R.; Buldyrev, S.V.; Havlin, S. Interdependent networks: Reducing the coupling strength leads to a change from a first to second order percolation transition. Phys. Rev. Lett. 2010, 105, 048701. [Google Scholar] [CrossRef] [PubMed]
- Zhou, D.; Gao, J.; Stanley, H.E.; Havlin, S. Percolation of partially interdependent scale-free networks. Phys. Rev. E 2013, 87, 052812. [Google Scholar] [CrossRef] [PubMed]
- Dong, G.; Gao, J.; Tian, L.; Du, R.; He, Y. Percolation of partially interdependent networks under targeted attack. Phys. Rev. E 2012, 85, 016112. [Google Scholar] [CrossRef] [PubMed]
- Liu, R.R.; Li, M.; Jia, C.X. Cascading failures in coupled networks: The critical role of node-coupling strength across networks. Sci. Rep. 2016, 6, 35352. [Google Scholar] [CrossRef] [PubMed]
- Fu, G.; Dawson, R.; Khoury, M.; Bullock, S. Interdependent networks vulnerability analysis and strategies to limit cascading failure. Eur. Phys. J. B 2014, 87, 148. [Google Scholar] [CrossRef]
- Liu, X.; Stanley, H.E.; Gao, J. Breakdown of interdependent directed networks. Proc. Natl. Acad. Sci. USA 2016, 113, 1138–1143. [Google Scholar] [CrossRef] [PubMed]
- Qiu, Y. Optimal weighting scheme and the role of coupling strength against load failures in degree-based weighted interdependent networks. Phys. A 2013, 392, 1920–1924. [Google Scholar] [CrossRef]
- Stippinger, M.; Kertész, J. Enhancing resilience of interdependent networks by healing. Phys. A 2014, 416, 481–487. [Google Scholar] [CrossRef]
- Di Muro, M.A.; La Rocca, C.E.; Stanley, H.E.; Havlin, S.; Braunstein, L.A. Recovery of interdependent networks. Sci. Rep. 2016, 6, 22834. [Google Scholar] [CrossRef] [PubMed]
- Hong, S.; Lv, C.; Zhao, T.; Wang, B.; Wang, J.; Zhu, J. Cascading failure analysis and restoration strategy in an interdependent network. J. Phys. A 2016, 49, 195101. [Google Scholar] [CrossRef]
- Wang, H.; Li, Q.; D’Agostino, G.; Havlin, S.; Stanley, H.E.; Van Mieghem, P. Effect of the interconnected network structure on the epidemic threshold. Phys. Rev. E 2013, 88, 022801. [Google Scholar] [CrossRef] [PubMed]
- Son, S.-W.; Bizhani, G.; Christensen, C.; Grassberger, P.; Paczuski, M. Percolation theory on interdependent networks based on epidemic spreading. EPL 2012, 97, 16006. [Google Scholar] [CrossRef]
- Zhu, Q.; Zhu, Z.; Wang, Y.; Yu, H. Fuzzy-information-based robustness of interconnected networks against attacks and failures. Phys. A 2016, 458, 194–203. [Google Scholar] [CrossRef]
- Gao, J.; Buldyrev, S.V.; Havlin, S.; Stanley, H.E. Robustness of a tree-like network of interdependent networks. arXiv 2011. [Google Scholar]
- Gao, J.; Buldyrev, S.V.; Havlin, S.; Stanley, H.E. Robustness of a network of networks. Phys. Rev. Lett. 2011, 107, 193903. [Google Scholar] [CrossRef] [PubMed]
- Gao, J.; Buldyrev, S.V.; Havlin, S.; Stanley, H.E. Robustness of a network formed by n interdependent networks with a one-to-one correspondence of dependent nodes. Phys. Rev. E 2012, 85, 066134. [Google Scholar] [CrossRef] [PubMed]
- Gaogao, D.; Ruijin, D.; Lixin, T.; Runran, L. Robustness of network of networks with interdependent and interconnected links. Phys. A 2013, 424, 11–18. [Google Scholar]
- Dong, G.; Gao, J.; Du, R.; Tian, L.; Stanley, H.E.; Havlin, S. Robustness of network of networks under targeted attack. Phys. Rev. E 2013, 87, 052804. [Google Scholar] [CrossRef] [PubMed]
- Dong, G.; Tian, L.; Zhou, D.; Du, R.; Xiao, J.; Stanley, H.E. Robustness of n interdependent networks with partial support-dependence relationship. EPL 2013, 102, 68004. [Google Scholar] [CrossRef]
- Wang, G.Q.; Zhou, X.Y.; Zhang, P.Z.; Igel, H. Characteristics of amplitude and duration for near fault strong ground motion from the 1999 chi-chi, taiwan earthquake. Soil Dyn. Earthq. Eng. 2002, 22, 73–96. [Google Scholar] [CrossRef]
- Watts, D.J.; Strogatz, S.H. Collective dynamics of small-world networks. Nature 1998, 393, 440–442. [Google Scholar] [CrossRef] [PubMed]
- Nguyen, D.T.; Shen, Y.; Thai, M.T. Detecting critical nodes in interdependent power networks for vulnerability assessment. IEEE Trans. Smart Grid 2013, 4, 151–159. [Google Scholar] [CrossRef]
- Wang, X.F.; Chen, G. Complex networks small-world scale-free and beyond. IEEE Circuits Syst. Mag. 2010, 3, 6–20. [Google Scholar] [CrossRef]








| Step | Subnetwork A | Subnetwork B | ||
|---|---|---|---|---|
| Remaining Fraction | Giant Component | Remaining Fraction | Giant Component | |
| 1 | ||||
| 2 | …… | …… | ||
| … | …… | …… | …… | …… |
| n | ||||
| Attack Strategy | TA | RA | TLA | PDLA |
|---|---|---|---|---|
| WS-WS | 0.5 | 0.55 | 0.75 | - |
| BA-BA | 0.2 | 0.75 | 0.45 | - |
| NN-NN | 0.65 | 0.65 | 1 | - 1 |
| Attack Strategy | TA | RA | TLA | PDLA |
|---|---|---|---|---|
| power grid | 0.2 | ≈0.6 | ≈1 | 1 |
| power-BA | 0.04 | 0.18 | 0.3 | 0.42 |
| Attack Strategy | TA | RA | TLA | PDLA |
|---|---|---|---|---|
| WS-WS | RC < AC < DC | DC ≈ RC < AC | RC < DC ≈ AC | RC ≈ DC ≈ AC |
| BA-BA | AC < RC < DC | DC < RC < AC | AC < RC < DC | RC ≈ DC ≈ AC |
© 2017 by the authors. Licensee MDPI, Basel, Switzerland. This article is an open access article distributed under the terms and conditions of the Creative Commons Attribution (CC BY) license (http://creativecommons.org/licenses/by/4.0/).
Share and Cite
Wang, J.; Lao, S.; Ruan, Y.; Bai, L.; Hou, L. Research on the Robustness of Interdependent Networks under Localized Attack. Appl. Sci. 2017, 7, 597. https://doi.org/10.3390/app7060597
Wang J, Lao S, Ruan Y, Bai L, Hou L. Research on the Robustness of Interdependent Networks under Localized Attack. Applied Sciences. 2017; 7(6):597. https://doi.org/10.3390/app7060597
Chicago/Turabian StyleWang, Junde, Songyang Lao, Yirun Ruan, Liang Bai, and Lvlin Hou. 2017. "Research on the Robustness of Interdependent Networks under Localized Attack" Applied Sciences 7, no. 6: 597. https://doi.org/10.3390/app7060597
APA StyleWang, J., Lao, S., Ruan, Y., Bai, L., & Hou, L. (2017). Research on the Robustness of Interdependent Networks under Localized Attack. Applied Sciences, 7(6), 597. https://doi.org/10.3390/app7060597
