Zwitterionic Polymer P(AM-DMC-AMPS) as a Low-Molecular-Weight Encapsulator in Deepwater Drilling Fluid
Abstract
:Featured Application
Abstract
1. Introduction
2. Materials and Methods
2.1. Materials
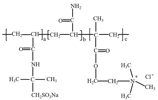
2.2. Preparation of SDCap
2.3. Characterization and Performance Evaluation
2.3.1 Characterization of the Product
2.3.2. Shale Inhibition Performance
2.3.3. Rheological Property
2.3.4. Filtration Tests
2.4. Inhibition Mechanism Analysis
2.4.1. Analysis of the Particle Size
2.4.2. Analysis of Zeta Potential
2.4.3. Adsorption of SDCap on Bentonite
3. Results and Discussions
3.1. Characterization of SDCap
3.2. Rheological Properties of Water-Based Drilling Fluids with SDCap under Deepwater Drilling Temperature
3.3. Shale Inhibition Properties of Water-Based Drilling Fluid with SDCap
3.3.1. Inhibition on Shale Hydration Dispersion
3.3.2. Shale Swelling Tests
3.3.3. Shale Inhibition Mechanism of SDCap with Low-Molecular-Weight
3.4. Filtration Properties of Water-Based Drilling Fluid with SDCap
4. Conclusions
Acknowledgments
Author Contributions
Conflicts of Interest
Abbreviations
| AM | acrylamide |
| AMPS | 2-acrylamido-2-methylpropane sulfonic acid |
| DMC | methacrylatoethyl trimethyl ammonium chloride |
| PHPA | partially hydrolyzed polyacrylamide |
| FA-367 | Commercial zwitterionic encapsulator |
| WBDF | water-based drilling fluid |
| API | American Petroleum Institute |
| FT-IR | Fourier transformation infrared |
| NMR | nuclear magnetic resonance |
| SEM | Scanning electron microscopy |
| AV | apparent viscosity, mPa·s |
| PV | plastic viscosity, mPa·s |
| YP | yield point, Pa |
| θ600 | 600 r·min−1 reading in the viscometer |
| θ300 | 300 r·min−1 reading in the viscometer |
| HTHP | high temperature and high pressure |
References
- Zhuang, G.; Zhang, Z.; Fu, M.; Ye, X.; Liao, L. Comparative study on the use of cationic–nonionic-organo-montmorillonite in oil-based drilling fluids. Appl. Clay Sci. 2015, 116, 257–262. [Google Scholar] [CrossRef]
- Liu, K.; Ostadhassan, M.; Bubach, B. Applications of nano-indentation methods to estimate nanoscale mechanical properties of shale reservoir rocks. J. Nat. Gas Sci. Eng. 2016, 35, 1310–1319. [Google Scholar] [CrossRef]
- Van Oort, E. On the physical and chemical stability of shales. J. Pet. Sci. Eng. 2003, 38, 213–235. [Google Scholar] [CrossRef]
- Chen, G.; Chenevert, M.E.; Sharma, M.M.; Yu, M. A study of wellbore stability in shales including poroelastic, chemical, and thermal effects. J. Pet. Sci. Eng. 2003, 38, 167–176. [Google Scholar] [CrossRef]
- Zhong, H.; Qiu, Z.; Huang, W.; Cao, J. Shale inhibitive properties of polyether diamine in water-based drilling fluid. J. Pet. Sci. Eng. 2011, 78, 510–515. [Google Scholar] [CrossRef]
- Herzhaft, B.; Peysson, Y.; Isambourg, P.; Delepoulle, A.; Abdoulaye, T. Rheological Properties of Drilling Muds in Deep Offshore Conditions. In Proceedings of the 2001 SPE/IADC Drilling Conference, Amsterdam, The Netherlands, 27 February–1 March 2001; Society of Petroleum Engineers: Richardson, TX, USA, 2001. [Google Scholar]
- Knox, D.; Bulgachev, R.; Cameron, I. Defining Fragile—The Challenge of Engineering Drilling Fluids for Narrow Ecd Windows. In Proceedings of the 2015 SPE/IADC Drilling Conference and Exhibition, London, UK, 17–19 March 2015; Society of Petroleum Engineers: Richardson, TX, USA, 2015. [Google Scholar]
- Wang, S.; Yuan, C.; Zhang, C.; Chen, L.; Liu, J. Rheological properties with temperature response characteristics and a mechanism of solid-free polymer drilling fluid at low temperatures. Appl. Sci. 2017, 7, 18. [Google Scholar] [CrossRef]
- Rojas, J.C.; Daugherty, W.T.; Irby, R.D.; Bern, P.A.; Romo, L.A.; Dye, W.M.; Greene, B.; Trotter, R.N. New Constant-Rheology Synthetic-Based Fluid Reduces Downhole Losses in Deepwater Environments. In Proceedings of the 2007 SPE Annual Technical Conference and Exhibition, Anaheim, CA, USA, 11–14 November 2007; Society of Petroleum Engineers: Richardson, TX, USA, 2007. [Google Scholar]
- Ramirez, M.; Moura, E.; Aragao, A.; Taira, H. HPWBM as a Technical Alternative to Drill Challenging Wells Project: Lessons Learned in Deepwater Brazil. In Proceedings of the Latin American & Caribbean Petroleum Engineering Conference, Buenos Aires, Argentina, 15–18 April 2007; Society of Petroleum Engineers: Richardson, TX, USA, 2007. [Google Scholar]
- Dokhani, V.; Ma, Y.; Yu, M. Determination of equivalent circulating density of drilling fluids in deepwater drilling. J. Nat. Gas Sci. Eng. 2016, 34, 1096–1105. [Google Scholar] [CrossRef]
- Marin, J.U.; Shah, F.; Serrano, M.A.; Jaramillo, A.; Arevalo, W.; Priandi, G.B. First Deepwater Well Successfully Drilled in Colombia with a High-Performance Water-Based Fluid. In Proceedings of the 2009 Latin American and Caribbean Petroleum Engineering Conference, Caragena, Colombia, 31 May–3 June 2009; Society of Petroleum Engineers: Richardson, TX, USA, 2009. [Google Scholar]
- Zhong, H.; Qiu, Z.; Huang, W.; Huang, D.; Li, H. Successful application of unique polyamine high performance water-based drilling fluid in bohai bay shale formations. In Proceedings of the 2013 International Petroleum Technology Conference (IPTC 2013), Beijing, China, 26–28 March 2013. [Google Scholar]
- Zhong, H.; Qiu, Z.; Zhang, D.; Tang, Z.; Huang, W.; Wang, W. Inhibiting shale hydration and dispersion with amine-terminated polyamidoamine dendrimers. J. Nat. Gas Sci. Eng. 2016, 28, 52–60. [Google Scholar] [CrossRef]
- Kadaster, A.; Guild, G.; Hanni, G.; Schmidt, D. Field applications of phpa muds. SPE Drill. Eng. 1992, 7, 191–199. [Google Scholar] [CrossRef]
- Jain, R.; Mahto, V. Evaluation of polyacrylamide/clay composite as a potential drilling fluid additive in inhibitive water based drilling fluid system. J. Pet. Sci. Eng. 2015, 133, 612–621. [Google Scholar] [CrossRef]
- Lu, Y.H.; Chen, M.; Jin, Y.; An, S.; Xie, S.X.; Pan, D.X.; Yuan, J.B. The development and application of an environmentally friendly encapsulator eba-20. Pet. Sci. Technol. 2012, 30, 2227–2235. [Google Scholar] [CrossRef]
- Kang, P.S.; Lim, J.S.; Huh, C. Artificial neural network model to estimate the viscosity of polymer solutions for enhanced oil recovery. Appl. Sci. 2016, 6, 188. [Google Scholar] [CrossRef]
- Jain, R.; Mahto, V.; Mahto, T.K. Study of the effect of xanthan gum based graft copolymer on water based drilling fluid. J. Macromol. Sci. Part A 2014, 51, 976–982. [Google Scholar] [CrossRef]
- Sun, Q.; Zhang, N.; Li, Z.; Wang, Y. Nanoparticle-stabilized foam for mobility control in enhanced oil recovery. Energy Technol. 2016, 4, 1084–1096. [Google Scholar] [CrossRef]
- Luo, J.; Li, Z.; Li, H. Research and application of hem poly-amine drilling fluids used in deep water operation. Drill. Fluid Complet. Fluid 2014, 31, 20–23. [Google Scholar]
- Jiang, G.; Xie, S.; Chen, M.; Xu, F.; Wang, F.; Liu, C. Research and application on an environmentally friendly coating agent coater-10 with temperature resistance and salt tolerance. Oil Drill. Prod. Technol. 2011, 33, 14–18. [Google Scholar]
- Li, H.; Luo, J.; Li, Z.; TGeng, T.; Jing, P.; Huang, X. Research and evacuation of a low molecular encapsulator pf-cap for deep-water. Petrochem. Ind. Appl. 2013, 32, 91–93. [Google Scholar]
- Zou, C.; Liang, M.; Chen, X.; Yan, X. Β-cyclodextrin modified cationic acrylamide polymers for flocculating waste drilling fluids. J. Appl. Polym. Sci. 2014, 131, 93–98. [Google Scholar] [CrossRef]
- Zhang, Y.; Miao, Z.; Zou, J. A new cation-modified al-polyacrylamide flocculant for solid–liquid separation in waste drilling fluid. J. Appl. Polym. Sci. 2015, 132, 41641. [Google Scholar] [CrossRef]
- Michel, C.R.; Martínez, A.H.; Huerta-Villalpando, F.; Morán-Lázaro, J.P. Carbon dioxide gas sensing behavior of nanostructured gdcoo 3 prepared by a solution-polymerization method. J. Alloys Compd. 2009, 484, 605–611. [Google Scholar] [CrossRef]
- Xie, B.; Liu, X.; Wang, H.; Zheng, L. Synthesis and application of sodium 2-acrylamido-2-methylpropane sulphonate/n-vinylcaprolactam/divinyl benzene as a high-performance viscosifier in water-based drilling fluid. J. Appl. Polym. Sci. 2016, 133. [Google Scholar] [CrossRef]
- Ding, W.; Zhou, J.; Zeng, Y.; Wang, Y.-N.; Shi, B. Preparation of oxidized sodium alginate with different molecular weights and its application for crosslinking collagen fiber. Carbohydr. Polym. 2017, 157, 1650–1656. [Google Scholar] [CrossRef] [PubMed]
- Mao, H.; Qiu, Z.; Shen, Z.; Huang, W. Hydrophobic associated polymer based silica nanoparticles composite with core–shell structure as a filtrate reducer for drilling fluid at utra-high temperature. J. Pet. Sci. Eng. 2015, 129, 1–14. [Google Scholar] [CrossRef]
- Zhang, S.; Sheng, J.J.; Qiu, Z. Maintaining shale stability using polyether amine while preventing polyether amine intercalation. Appl. Clay Sci. 2016, 132, 635–640. [Google Scholar] [CrossRef]
- Baruah, A.; Chauhan, G.; Ojha, K.; Pathak, A. Phase behavior and thermodynamic and rheological properties of single-(sds) and mixed-surfactant (sds+ capb)-based fluids with 3-methylbutan-1-ol as the cosurfactant and pine oil as the organic phase. Ind. Eng. Chem. Res. 2014, 53, 19765–19774. [Google Scholar] [CrossRef]
- Li, M.-C.; Wu, Q.; Song, K.; De Hoop, C.F.; Lee, S.; Qing, Y.; Wu, Y. Cellulose nanocrystals and polyanionic cellulose as additives in bentonite water-based drilling fluids: Rheological modeling and filtration mechanisms. Ind. Eng. Chem. Res. 2015, 55, 133–143. [Google Scholar] [CrossRef]
- Fang, R.; Tian, W.; Chen, X. Synthesis of injectable alginate hydrogels with muscle-derived stem cells for potential myocardial infarction repair. Appl. Sci. 2017, 7, 252. [Google Scholar] [CrossRef]
- Liu, K.; Ostadhassan, M. Microstructural and geomechanical analysis of bakken shale at nanoscale. J. Pet. Sci. Eng. 2017, 153, 133–144. [Google Scholar] [CrossRef]
- Wang, Y.; Ge, J.; Zhang, W.; Zhang, G.; Lin, Y.; Song, K. Surface property and enhanced oil recovery study of foam aqueous dispersions comprised of surfactants—Organic acids—Nanoparticles. RSC Adv. 2016, 6, 113478–113486. [Google Scholar] [CrossRef]
- Li, F.; Feng, Y.; Guo, Y.; Hu, X. Study on adsorption property of hydrophbically modified polyacrylamides on clay. Chem. Eng. Oil Gas 2002, 31, 263–265. [Google Scholar]
- Wang, B.; Zhang, X.; Ji, W.; Ruan, Q.; Kuang, L. Adsorption and desorption characteristics of polyacrylamide on black soil. Chem. Eng. 2009, 37, 9–12. [Google Scholar]
- Huang, M.; Kang, Y.; Long, X.; Wang, X.; Hu, Y.; Li, D.; Zhang, M. Effects of a nano-silica additive on the rock erosion characteristics of a sc-co2 jet under various operating conditions. Appl. Sci. 2017, 7, 153. [Google Scholar] [CrossRef]
- Zhao, X.; Qiu, Z.; Huang, W.; Xu, J.; Sheng, J. Multifunctional properties of polyglycol in deepwater drilling fluids. Chem. Technol. Fuels Oils 2014, 50, 233–239. [Google Scholar] [CrossRef]












| Component | Function | Mass Fraction/% | ||||
|---|---|---|---|---|---|---|
| WBDF-1 | WBDF-2 | WBDF-3 | WBDF-4 | WBDF-5 | ||
| bentonite | filtrate reducer and viscosifier | 4.0 | 4.0 | 4.0 | 4.0 | 2.0 |
| PHPA | encapsulator | 0.25 | ||||
| FA-367 | encapsulator | 0.3 | ||||
| SDCap | encapsulator | 0.45 | 0.375 | 0.35 | ||
| XC | viscosifier | 0.1 | 0.1 | 0.15 | ||
| PAC-LV | filtrate reducer | 0.5 | 0.6 | 0.5 | 0.6 | |
| CMC-LV | filtrate reducer | 0.5 | ||||
| starch | filtrate reducer | 1.0 | 1.0 | |||
| SMP | filtrate reducer | 4.0 | 4.0 | 4.5 | ||
| polyamine | shale inhibitor | 2.0 | ||||
| Polyglycol | shale inhibitor | 3.0 | 3.0 | |||
| KCl | shale inhibitor | 3.0 | 4.0 | 3.0 | 4.0 | 4.0 |
| NaCl | hydrate inhibitor | 10.0 | 10.0 | 10.0 | 10.0 | 20.0 |
© 2017 by the authors. Licensee MDPI, Basel, Switzerland. This article is an open access article distributed under the terms and conditions of the Creative Commons Attribution (CC BY) license (http://creativecommons.org/licenses/by/4.0/).
Share and Cite
Zhao, X.; Qiu, Z.; Zhang, Y.; Zhong, H.; Huang, W.; Tang, Z. Zwitterionic Polymer P(AM-DMC-AMPS) as a Low-Molecular-Weight Encapsulator in Deepwater Drilling Fluid. Appl. Sci. 2017, 7, 594. https://doi.org/10.3390/app7060594
Zhao X, Qiu Z, Zhang Y, Zhong H, Huang W, Tang Z. Zwitterionic Polymer P(AM-DMC-AMPS) as a Low-Molecular-Weight Encapsulator in Deepwater Drilling Fluid. Applied Sciences. 2017; 7(6):594. https://doi.org/10.3390/app7060594
Chicago/Turabian StyleZhao, Xin, Zhengsong Qiu, Yongjun Zhang, Hanyi Zhong, Weian Huang, and Zhichuan Tang. 2017. "Zwitterionic Polymer P(AM-DMC-AMPS) as a Low-Molecular-Weight Encapsulator in Deepwater Drilling Fluid" Applied Sciences 7, no. 6: 594. https://doi.org/10.3390/app7060594
APA StyleZhao, X., Qiu, Z., Zhang, Y., Zhong, H., Huang, W., & Tang, Z. (2017). Zwitterionic Polymer P(AM-DMC-AMPS) as a Low-Molecular-Weight Encapsulator in Deepwater Drilling Fluid. Applied Sciences, 7(6), 594. https://doi.org/10.3390/app7060594
