Next Article in Journal
Teaching Artificial Intelligence and Machine Learning in Secondary Education: A Robotics-Based Approach
Next Article in Special Issue
Influence of Chinstrap Stiffness on Cerebrospinal Fluid Dynamics and Brain Stress in Helmet Impacts
Previous Article in Journal
LSTM-DQN-APF Path Planning Algorithm Empowered by Twins in Complex Scenarios
Previous Article in Special Issue
Digital Twin Based on CFD Modelling for Analysis of Two-Phase Flows During Pipeline Filling–Emptying Procedures
 
 
Font Type:
Arial Georgia Verdana
Font Size:
Aa Aa Aa
Line Spacing:
Column Width:
Background:
Article

An Analysis of the Factors Influencing Dual Separation Zones on a Plate

Hypersonic Technology Laboratory, National University of Defense and Technology, Changsha 410073, China
*
Author to whom correspondence should be addressed.
Appl. Sci. 2025, 15(8), 4569; https://doi.org/10.3390/app15084569
Submission received: 14 March 2025 / Revised: 3 April 2025 / Accepted: 15 April 2025 / Published: 21 April 2025
(This article belongs to the Special Issue Advances in Fluid Mechanics Analysis)

Abstract

The shock wave/boundary layer interaction phenomenon in hypersonic inlets, affected by background waves, may induce the formation of multiple separation zones. Existing theories prove insufficient in explaining the underlying flow mechanisms behind complex phenomena arising from multi-separation zone interactions, which necessitates further investigation. To clarify the governing factors in multi-separation zone interactions, this study developed a simplified dual-separation-zone model derived from inlet flow field characteristics. A series of numerical simulations were conducted under an incoming flow at Mach 3 to systematically analyze the effects of internal contraction ratio, the influencing locations of expansion waves, and incident shock wave intensity on the mergence and re-separation of dual separation zones. The results demonstrate that both the expansion wave impingement position and incident shock intensity significantly influence specific transition points in dual-separation-zone flow states, though they do not fundamentally alter the evolutionary patterns governing the merging/re-separating processes. Furthermore, increasing incident shock intensity leads to the expansion of separation zone scales and prolongation of the dual-separation-zone merging distance.

1. Introduction

Shock waves constitute a prevalent aerodynamic configuration existing in hypersonic inlets, performing an essential role in decelerating and pressurizing the incoming flow to meet the requirements of the combustion chamber [1]. However, the shock wave itself and the flow separation induced by the shock wave/boundary layer interaction (SWBLI) can lead to issues such as flow distortion, energy loss, and excessive local aerodynamic loads and heat loads [2,3], which all should be avoided during flight for safety and efficiency.
Regarding the shock wave/boundary layer interaction phenomenon itself, a rich collection of theoretical models and empirical formulas has been established. Chapman pointed out that the separated flow induced by shock wave impingement on the boundary layer belongs to free interaction, where the initial separation pressure rise is solely influenced by incoming flow conditions and remains independent of downstream factors [4]. Wang Chengpeng et al. applied the minimum entropy production principle to counter-symmetric separation zones. Considering both the upstream and downstream conditions of the separation zone, they calculated the separation shock angle and successfully established prediction criteria for the transition of the main flow shock waves from regular reflection to Mach reflection [5]. Beside flow field structures, the scale of separation zones also requires attention. Current mainstream approaches primarily rely on semi-empirical formulas for prediction [6,7,8], with a general consensus that separation zone dimensions are related to factors including the incoming flow Mach number, incident shock intensity, and boundary layer thickness.
In practical flow fields, the SWBLI is not found to be independent but coupled with flow field structures such as background wave systems [9,10]. Under complex background influences, the separation zone exhibits peculiar phenomena that cannot be fully explained by existing theories of single shock wave/boundary layer interactions (S-SWBLIs). These include sudden increases in the size of merged separation zones [11] and hysteresis during the mergence and re-separation of dual separation zones [12,13,14]. The large-scale merged separation zone induces a substantial degradation in both the total pressure recovery coefficient of the inlet and the flow field uniformity, and even leads to an unstart in severe circumstances. Therefore, it is necessary to reveal the underlying mechanisms governing the interaction between dual separation zones to prevent unexpected phenomena. In response, scholars have conducted research on shock wave/boundary layer interaction flow fields containing dual separation zones (DSZs), establishing predictive formulas for dual-separation-zone scales [15,16] and critical separation criteria for dual separation zones [17]. However, current research on DSZs still fails to completely explain the special phenomena mentioned above, and lacks detailed descriptions of the whole interaction. Also, influencing factors in the mergence and re-separation of DSZs require further analysis.

2. Model of Dual Separation Zones

The shock wave/boundary layer interaction phenomenon in the internal flow field of hypersonic inlets involves numerous coupled factors and complex mechanisms. As shown at location P2 in Figure 1a, the cowl shock wave and its subsequent shock wave on the compression side of the triple-wave-system inlet cause dual a shock wave incident, which provides the basis for the generation of multiple separation zones. An interaction between dual separation zones in the inlet may occur under the influence of upstream and downstream disturbance factors, or in off-design situations. To facilitate investigation, this study extracts a dual-separation-zone model from the inlet flow field and designates it as the incident shock wave–backpressure model (IS-B) based on the formation of the separation zones. Figure 1b illustrates the composition of this model. The shock generator, SG, is a simple substitute for the compression side of inlets, generating incident shock wave α to form the first separation zone (Separation Zone I, SZI). The second separation zone (Separation Zone II, SZII) is located on the windward side of the ramp W, simulating the backpressure in the combustion chamber since the disturbance in a supersonic flow field can only propagate through the subsonic region. By adjusting the position of the SG to modify the distance between the dual separation zones, it enables the simulation of the mergence and re-separation of the dual separation zones.

3. Simulation Method and Numerical Validation

The research method employed in this study is numerical simulation. A detailed introduction to the simulation method used in this paper is provided below.

3.1. Simulation Method

This study employed a two-dimensional steady-state calculation approach, utilizing the SST k-ω model to close the viscous governing equations. The merging and re-separating process of dual separation zones was simulated through the overset grid method. The height of the first layer is 0.001 mm, the vertical growth rate is set to 1.15, and the y+ values along the wall are within 0.1. The calculation domain is 800 mm long and 100 mm high with about 180,000 grid cells in total. Other grid details are illustrated in Figure 2. Since the incoming flow is supersonic, the momentum is sufficiently large to ignore the influence of gravity. Within a single cycle of merging and re-separating processes, only the foreground grid (highlighted in red in Figure 2b) undergoes translational adjustment to modulate the distance between dual separation zones, while keeping all other flow field characteristics invariant.
To obtain the flow field parameters at different stages of mergence and re-separation, the translation of the shock generator is divided into N movement steps with equal length. After each single movement step, the current steady-state flow field is saved. The leading tip T of the SG is referred to as the shock-generating point. The initial position of the shock-generating point at the initial moment is denoted as T 0 . Based on the distance between the current shock-generating point T n and T 0 , the current flow field can be defined as the nth step flow field. The formula for calculating the shock travel distance d S is as follows:
d S = X n X 0 = n   *   d , 1 n N
X n represents the x-coordinate of T in the flow field at the nth step, while a larger d S indicates that the shock generator is positioned closer to the ramp.
The front and top of the computational domain are set as pressure far-field boundaries. The shock generator and flat plate are configured as no-slip adiabatic solid walls. A pressure outlet with back pressure set to 0 is specified. Detailed flow parameters can be found in Table 1.

3.2. Numerical Validation

To validate the reliability of the numerical method, validation experiments were conducted using a dual-separation-zone model in a free jet wind tunnel at Mach 4. The validation model is illustrated in Figure 3. Since the SWBLI exhibits pronounced three-dimensional characteristics and pronounced unsteady behaviors, it is necessary to conduct wind tunnel experiments to verify the reliability of the two-dimensional steady-state computational results. The interaction between dual separation zones is facilitated by the movement of the bottom plate derived by a step motor. The plate is 414 mm long and 95 mm wide, and the height of SG is 46 mm, with an angle of 14 deg.
The two curves in Figure 4 compare the numerically calculated wall pressure distributions with experimentally obtained wall pressure data, respectively, under two scenarios: when dual separation zones are far apart and when they are critically close to merging.
The calculated pressure peaks in SZI under different movement distances are slightly higher than the experimental data, while the results corresponding to SZII are in good agreement with the experiments. The overall variation trend of the simulated wall pressure remains consistent with the experimental results. It is concluded that the two-dimensional steady numerical method adopted in this study can meet the requirements for investigating the evolution process of a dual-separation-zone flow field.
The research object in this investigation displays a significant difference compared to studies conducted by other scholars. Essentially, the dual-separation-zone model in our study differs from previous research. The existing studies on dual separation zones are basically set in dual-shock-wave models, whose mergence/re-separation process between dual separation zones exhibits a rapidly dynamic evolution. It requires sensors with high sampling rates to resolve the high-frequency information of transient flow field during the state transition. Therefore, the aforementioned studies mostly focused on the steady parameters in one single state (e.g., the length of the merged separation zone [15,16]) and the critical decoupling criterion between the merged and decoupled state [17]. There is a lack of a detailed depiction of flow field evolution from a decoupled state to a merged state. However, the transition between different states in our study is a rather smooth process compared to other research. It is adequate to use the steady simulation method to reveal the regularity of state transitions for our model, as the comparison between the numerical results and experimental data demonstrates.

4. Result and Discussion

4.1. Effect of Internal Contraction Ratio

The internal contraction ratio (ICR), an essential parameter in the design of air-breathing vehicles, determines the compression level of flow within the inlet, directly influencing the starting performance and total pressure recovery coefficient of the inlet. The present model features a quasi-internal compression inlet structure formed between the lower sidewall of the shock generator and the flat plate. As the distance between the dual separation zones decreases, the size of the separation zones gradually increases, which reduces the outlet area of the flow channel. This may lead to a coupling effect between the first separation zone and the inlet starting performance, which is contrary to the original intention of simplifying the research object in this model. Therefore, it is necessary to conduct an analysis on the range of internal contraction ratios in the so-called inlet.
By adjusting the height of the shock generator to increase the internal contraction ratio, while keeping the shock strength and the inviscid incident point position of the shock wave (highlighted by the red dashed line and red circle, respectively) unchanged during the adjustment process, we ensured that flow field parameters other than ICR remain unaffected. Figure 5 illustrates the variation in dual separation zones during the gradually increasing process of ICR. In the diagram, the black solid line depicts the sonic line, outlining the contours of the dual separation zones under different ICRs. Comparing Figure 5a–c, it is revealed that the separation regions exhibit no significant changes. The sonic lines in the connecting section of the dual separation zones gradually become smoother, indicating a slight expansion of the subsonic region between the dual separation zones. Further increasing the internal contraction ratio to 2.26 induces remarkable changes in the flow field. The first separation zone rapidly expands, forming an open-type unstart flow field beneath the shock generator.
To quantify the changes in flow field parameters during the increase in ICR, the x component wall shear stress curves of the plate are extracted, as shown in Figure 6. According to the definition, the sign change in shear stress values indicates flow reversal, meaning each zero point on the stress curve corresponds to a boundary location of a separation zone. On the red dashed line, four zero points are marked by dark red circles to facilitate understanding. The four zero points represent, from left to right, the separation point and reattachment point of the first separation zone, as well as the separation point and reattachment point of the second separation zone, denoted as S 1 , R 1 and S 2 , R 2 , respectively. Based on these points, the length L i of the separation zones can be calculated.
L i = X R i X S i , i = 1 , 2
It can be observed that when the internal contraction ratio is less than 1.59, both the position and dimensions of the first separation zone remain unchanged, while the length of the second separation zone slightly decreases with increasing ICR. This is attributed to the reduced propagation loss of expansion waves at higher ICR values, where the enhanced influence of expansion waves leads to a reduction in the size of the second separation zone. Given that wall parameters show minimal variation before “unstart”, it is concluded that for the model in this study, the internal contraction ratio has a negligible impact on flow field characteristics when the ICR is below 1.59.

4.2. Effect of Expansion Waves

It is well known that pressure rise is a crucial factor determining the scale of separation zones, further influencing the state of dual-separation-zone flow fields. As observed in Figure 1, the expansion wave ξ 0 at the trailing edge of the shock generator impinges between the dual separation zones, which may directly influence their interaction. To investigate the effects of the expansion wave itself and its impingement position on the merging and re-separating process of dual separation zones, three shock generators with different lengths were selected for numerical analysis. The length of the shock generator is denoted as l . Based on the data from Section 4.1, the shock generator lengths l 1 to l 3 were set as 90 mm, 95 mm, and 105 mm, respectively. The ICR of each model was set to be larger than 111 to prevent the evolutionary laws of the dual-separation-zone flow field from being coupled with the inlet’s starting characteristics due to the increase in shock wave generator length.
Figure 7 presents the Mach number contours of the dual-separation-zone flow field with the same shock-generating point under varying incident positions of expansion waves. As ξ 0 progressively moves away from the first separation zone, the subsonic region of dual separation zones continues to expand. In the figure, d s z denotes the distance between the dual separation zones, which is calculated by subtracting the x-coordinate of the reattachment point R 1 of the first separation zone from the separation point S 2 of the second separation zone.
When maintaining a fixed incident shock wave position, the first separation zone gradually expands and the distance between zones continuously decreases as the expansion waves move downstream. By comparing Figure 7a,c, significant differences in flow field morphology can be observed. For the case of l 1 , the dual separation zones in the flow field are distinctly separated. In contrast, for the configuration of l 3 , the dual separation zones have completely merged. This clearly demonstrates that the position of the expansion waves exerts a substantial influence on the merging process of the dual separation zones.

4.2.1. Variation in Parameters

The merging process of the dual separation zones in this study exhibits a relatively smooth transition. During the merging process, the flow field undergoes a gradual transformation from separated states to merged states, representing a transitional evolution rather than the abrupt state transition observed in other investigations on the dual-separation-zone merging process [18]. Since there are no visually discernible differences between the critical merging state and fully merged state of dual separation zones, wall surface flow field parameters are utilized to assist in the determination of the flow field state.
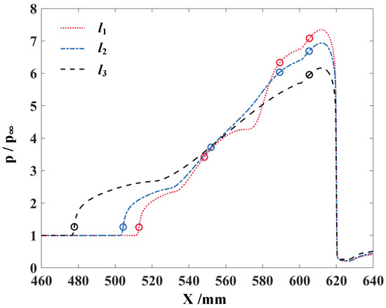
Figure 8 shows the wall pressure curves corresponding to flow fields of the SG with different lengths under the same shock-generating point. The hollow rings on the curves along the flow direction denote the separation and reattachment points of the first and second separation zones, respectively. When the length of G increases from l 1 to l 2 , the amplitude of the pressure rise in the first separation zone intensifies. To match the downstream pressure increase, the separation point S 1 of SZI shifts upstream, while the reattachment point R 1 moves slightly downstream, resulting in an elongation of the length of the first separation zone ( L S 1 ). For the second separation zone, the length of the separation zone L S 2 shows a slight increase with a growth rate significantly smaller than that of L S 1 . Its growth mainly depends on the forward movement of the separation point S 2 , while the reattachment point remains almost unchanged compared to the flow field corresponding to l 1 . The rearward movement of the expansion waves leads to an increase in the size of the dual separation zones, thereby reducing the distance between them. When the length of the shock generator is further extended to l 3 , the dimensions of the dual separation zones expand significantly. In this model, the dual separation zones are completely merged, leaving only a pair of hollow rings on the pressure curve, which correspond to the separation and reattachment points of the merged separation region, respectively.
To investigate the influence of the expansion wave position on the entire mergence and re-separation process, the variation in length of the first separation zone L S 1 and increment in the shock travel distance d S are extracted under different shock generator lengths. The x-coordinate of the shock wave generation point corresponding to the actual critical fusion flow field decreases with the increase in shock generator length; that is, the farther the expansion wave is from the first separation zone, the more likely the dual separation zones are to merge. During the merging process, the length of the first separation zone continuously increases, and the amplitude of variation becomes increasingly steep with the elongation of the shock generator. The length of the separation zone before merging also increases accordingly. Due to the different absolute positions of the mergence point of the dual separation zones under different lengths of shock generators, for the convenience of comparation, the relative distance between the dual separation zones d s - r is defined to reflect the moving steps required for the DSZ to complete the mergence:
d s - r , n = X T , n X T , c
In the above equation, X T , c denotes the x-coordinate of the shock-generating point in the critical merging state of the dual separation zones, which is called the critical generating point, while X T , n is the x-coordinate of the shock-generating point in the current flow field. Thus, the mergence points of the dual separation zones of different models uniformly correspond to d s - r = 0 mm.
The change in the length of the separation zones indicates that the dual-separation-zone flow field enters a merging/re-separating process. Taking the l 1 model as an example, during the merging process, as d s - r increases, the spacing between the dual separation zones gradually decreases. The corresponding curve of L S 1 begins to rise, signifying that the flow field enters the merging stage. When the relative distance between the dual separation zones increases to zero, the two separation zones are completely merged, and the merging segment of the L S 1 curve terminates at this point. After the complete mergence, the upstream movement of the shock generator away from the wedge causes the flow field to enter the re-separating process. Comparing the merging and re-separating processes, it is observed that along the positive direction of the x-coordinate, the terminal coordinate of the curve corresponding to the blue hollow triangles exceeds that of the blue solid squares. Specifically, under the l 1 condition, the d s - r corresponding to the initial point of the re-separation process is greater than the terminating point of the mergence. This indicates that the re-separation point of the merged separation zone emerges earlier than the mergence point of the dual separation zones, suggesting a stronger tendency for the merged separation zone to undergo re-separation. Furthermore, the length of the newly formed first separation zone after re-separation is greater than that of the original first separation zone, with its value being essentially consistent with the L S 1 observed in the other two models. A distinct hysteresis in scale variation between dual separation zones exists during the mergence and re-separation.
With the increase in l, the hysteresis phenomenon gradually diminishes. In the model of l 2 , the merging termination point of the dual separation zones coincides with the re-separating initiation point. In Figure 9, although the mid-section of the re-separating curve slightly deviates from the merging process, the final re-separated flow field ultimately maintains dimensions in separation zones that are identical to the fully separated flow field. When the length of SG increases to l 3 , the merging and re-separating curves nearly overlap, and the hysteresis loop almost disappears.
Analyzing the Mach number contour of the flow field, it is clear that when the shock generator length is 90 mm, the influence region of the trailing expansion waves is located between the dual separation zones and closer to the reattachment point of the first separation zone. This configuration reduces the pressure rise in the first separation zone while diminishing its scale. During the merging process, the boundary layer between the two zones has a longer recovery distance, thereby demonstrating enhanced resistance to adverse pressure gradients [19]. Meanwhile, the favorable pressure gradient induced by the expansion waves directly impedes the forward propagation of backpressure from the second separation zone, delaying the merging termination point of the dual separation zones. For the merged flow field, the merged separation zone is a bimodal distribution. The first peak corresponds to the top of SZI, whose morphology is maintained by the incident shock wave. The second peak is located at the apex of the windward wedge, corresponding to SZII, whose existence depends on the presence of the wedge. The subsonic region between the two peaks develops during the merging process, gradually expanding through the interaction between the dual separation zones. However, this intermediate region lacks favorable support presented at the bimodal peaks to strongly sustain its existence during the re-separating process. The influence region of the expansion wave remains positioned between the two peaks within the subsonic zone when re-separation starts. Here, the expansion waves act on the weak middle section of the merged separation zone, actively promoting re-separation. Consequently, as the expansion waves move away from the middle area, the hysteresis phenomenon in the mergence and re-separation of the dual separation zones gradually diminishes.

4.2.2. Variation in Evolution

Further analysis was conducted on the variations in flow field parameters during the merging and re-separating process of dual separation zones. Taking the horizontal coordinate of the separation point in the first separation zone, X S 1 , as an example, its velocity curve manifests a smooth–fluctuating–smooth variation trend. The rapid change phase corresponds to the merging (re-separating) process, and the variations in parameters return to stability after the transition of the flow field state is completed. The variation in X S 1 between adjacent moving steps is defined as the nth-step position increment X S 1 , n . This parameter is influenced by both changes in boundary conditions and the merging process. To focus on the impact of mergence, the inherent influence of boundary conditions must be eliminated from the single-step position increment X S 1 . Since the first separation zone before mergence moves smoothly downstream as d S increases, with its velocity consistent with the moving speed of the shock generator, the shock travel distance within one single step is considered as the inherent influence of d S growth on X S 1 . This relationship is defined by the following formula:
V S 1 , n = ( X S 1 , n + 1 X S 1 , n d ) / d = X S 1 , n / d 1
where 1 n N − 1, and d is a fixed value of 0.1 mm. N stands for the total calculated moving steps. V S 1 is referred to as the change velocity of the first separation point, and V S 1 , n denotes the ratio of the first separation point position change induced by the mergence (re-separation) to the position change caused by variations in the boundary condition during the nth moving step. V S 1 , n reflects the variation rate of the flow field throughout the entire process of mergence and re-separation.
As shown in Figure 10, the abscissa symbolizes the shock travel distance during the merging and re-separating process of each model rather than the actual position of the shock generator. In other words, the x-coordinates in different subplots with the same value corresponds to different SG positions in the actual flow field. The black polyline in the figure along the positive direction of the horizontal axis corresponds to the entire process of the flow field transitioning from the fully separated state to the fully merged state. As the shock generator translates downstream, the flow field crosses the merging initiation point M s to enter the merging stage. With the further movement of the SG, the polyline passes the merging termination point M e , marking the end of the merging stage, and dual separation zones become fully merged. The red polyline corresponds to the entire process of re-separation. To facilitate a comparison with the variation during the mergence, the re-separation curve displayed in the figure represents the negative value of the actual change rate during the re-separation process. For re-separation, the movement direction of the shock generator is opposite to the merging process. The incident shock wave gradually moves away from the wedge. The flow field transitions from the fully merged state through the re-separating initiation point R s into the re-separating stage, and concludes the re-separating stage at the re-separating termination point R e , returning the flow field to the fully separated state. Here, a full cycle of the dual separation zone merging and re-separating process is completed.
For shock generators with different lengths, the shock travel distance experienced during the flow field state transition remains approximately 4.1 mm, which is defined as the merged characteristic length L m . Since the variation pattern of the re-separation is similar to that of the mergence and can be regarded as the reverse process of mergence, our analysis will focus only on the variation trend during the merging process. As shown in Figure 10, the merging process of dual separation zones can be divided into two stages. During the first stage, the intensity of variations in the flow field continuously increases. When reaching its maximum value, the process meets the transitional point M t of mergence. Crossing this point, a further reduction in the distance between dual separation zones leads to a gradual attenuation in V S 1 until the complete merging process ends. When the length of the shock generator increases to l 2 , the merging termination point M e coincides with the re-separating initiation point R s , though some discrepancies still exist during the stage transitioning process. In Figure 7b, compared to the re-separating curve, the first separation point in the merging process exhibits larger velocity fluctuation magnitudes. A gap measuring 0.3 mm occurs between the flow field transition points M t and R t . When l increases to l 3 , the variation curves of the mergence and re-separation completely coincide with each other, and the hysteresis phenomenon is entirely eliminated.
Observing the specific value of V S 1 , it is revealed that across different models, the variation rates of the DSZ remain consistent in both fully merged and fully separated states, specifically 0 and −3, respectively. This indicates that in the fully separated state, the evolution of the dual-separation-zone flow field is merely influenced by the translation of the shock generator. Conversely, in the fully merged state, the merged separation zone expands or shrinks steadily as the shock generator approaches or moves away. The merged characteristic lengths corresponding to different models remain essentially unvaried. Nevertheless, increasing the length of SG would amplify the variations in the flow field throughout the transitioning stages. Therefore, the scale of the merged separation zone associated with l 3 represents the largest one in our study. Nevertheless, since the scales of separated zones remain identical under complete separation conditions, the flow field corresponding to l 3 requires faster speeds to return the initial state.

4.3. Effect of Incident Shock Intensity

In addition to the trailing expansion waves, the intensity of the incident shock wave α is also a critical factor influencing the merging and re-separating process of dual separation zones. Given the non-negligible discrepancies in shock angles induced by models from different angles, the shock-generating position is no longer suitable as a measurement standard for the distance between dual separation zones. Furthermore, as the sizes of separation zones induced by shock waves of varying intensities also differ significantly, the relative distance between the dual separation zones d s - r is retained to mitigate the influence caused by the scale change in the first separation zone and evaluate the relative distance between dual separation zones.
When d s - r = −7 mm, the wall pressure curves under different shock intensities depict distinct stage characteristics. As the angle of the shock generator increases, the dual separation zones tend to approach the merged state. By shifting the shock generator 5 mm downstream, it was observed that the flow field states of the 13° and 15° cases remained unchanged from those shown in Figure 11a, with both residing in the segment from M t to M e . In contrast, the 11° case transitioned from the initially merging state ( M s - M t ) to the nearly merged one ( M t - M e ). Additionally, for identical increments of d S , weaker incident shock intensities demonstrate larger pressure ratio growth during the mergence. The reattachment point of the first separation zone is marked in Figure 11 with circles, and the coordinate of the corresponding point is cited aside the circle. As illustrated in Figure 8, the pressure increases for the 11–15° models are 25.16%, 12.27%, and 7.16%, respectively.
Overall, for the same relative distance, a larger shock angle results in a smaller separation interval distance and a shorter pressure drop segment after the pressure plateau of the SZI. This indicates that under the 11° configuration, the flow field parameters exhibit the fastest variation rate for the same growth in shock travel distance, with merging occurring more rapidly. Additionally, stronger shock wave intensity leads to an earlier onset of mergence, while requiring a longer merging distance. Furthermore, the peak of the wall pressure decreases with the expansion of the separation zones. The overall pressure curves in the figure rises with enhanced incident shock intensity. However, regarding the peak wall pressure specifically, stronger incident shocks result in lower peak values. The reason why this phenomenon occurs is that when the length of the shock generator and the incoming flow Mach number remain constant, a stronger incident shock corresponds to more intense trailing-edge expansion waves. These expansion waves exert a greater influence on the second separation zone, consequently leading to reduced wall pressure peaks.
Figure 9 shows the variation curves of the pressure integral under different shock wave intensities and shock travel distances. Compared with the average integral value P a v g , the variation in the wall pressure integral values under different d S is less than 1%, which can be considered constant. The wall pressure integral value can be regarded as the normal resultant force acting on the flat plate. For the merging and re-separating process of dual separation zones induced by fixed-intensity incident shock waves, the normal resultant force on the flat plate remains unchanged regardless of flow field state variations; hence, P i remains constant. Meanwhile, a comparison of wall pressure values under different shock intensities reveals that higher shock intensities correspond to greater pressure integral values. As shown in Figure 10, the integrated wall pressure (i.e., the normal force acting on the flat plate) exhibits linear growth with increasing shock generator angle.
Interestingly, it is noted that the decrease in the peak value of the wall pressure is often accompanied by a forward shift of the pressure rise point, suggesting a certain correlation between their variation patterns. By calculating the integral value of the wall pressure curve along the wall surface P i , which is illustrated in the subplot of Figure 12, it is found that for incident shock waves of the same intensity, the wall pressure integral remains largely unchanged during the merging/separation process. Furthermore, by comparing wall pressure values under different shock wave intensities, it is observed that higher shock intensities lead to greater pressure integral values. As shown in Figure 13, the integral of wall pressure demonstrates a linear increasing growth trend with the angles of the shock generator.

5. Conclusions

This paper conducts a series of computational studies on the dual-separation-zone model, analyzing the effects of influence factors, including the internal contraction ratio, trailing expansion waves and incident shock intensity, on the merging and re-separating processes of dual separation zones. There are three main conclusions.
  • Expansion waves do not alter the variation pattern of merging and re-separating processes, only modifying the specific locations of flow field state transition points;
  • Stronger incident shock waves induce earlier interaction between dual separation zones, while requiring longer shock travel distances to complete the merging process;
  • For a given incident shock wave strength, the characteristic distance required for mergence and re-separation remains constant.
Beyond the parameters discussed in this paper, other factors influencing the merging and re-separating processes include the inflow Mach number, boundary layer thickness and so on, which warrant further in-depth investigation in subsequent research.

Author Contributions

Conceptualization, X.F. and B.X.; methodology, J.Z.; validation, J.Z.; formal analysis, J.Z.; investigation, J.Z.; writing—original draft preparation, J.Z.; writing—review and editing, X.F. and B.X. All authors have read and agreed to the published version of the manuscript.

Funding

This work is supported by the National Natural Science Foundation of China (No. 12372298).

Data Availability Statement

The data that support the findings of this study are available from the corresponding author upon reasonable request.

Conflicts of Interest

The authors declare no conflicts of interest.

Abbreviations

The following abbreviations are used in this manuscript:
DSZDual separation zone
SGShock generator
SZISeparation Zone I
SZIISeparation Zone II
ICRInternal contraction ratio

References

  1. Clemens, N.T.; Narayanaswamy, V. Low-frequency unsteadiness of shock wave/turbulent boundary layer interactions. Annu. Rev. Fluid Mech. 2014, 46, 469–492. [Google Scholar] [CrossRef]
  2. Segal, C. The Scramjet Engine: Processes and Characteristics; Cambridge University Press: Cambridge, UK, 2009. [Google Scholar]
  3. Cang, J.T.; Li, N.; Xu, K.J.; Bao, W.; Yu, D. Recent research progress on unstart mechanism, detection and control of hypersonic inlet. Prog. Aerosp. Sci. 2017, 89, 1–22. [Google Scholar]
  4. Chapman, D.R.; Kuehn, D.M.; Larson, H.K. Investigation of Separated Flows in Supersonic and Subsonic Streams with Emphasis on the Effect of Transition; NACA Report 1356; 1958. Available online: https://ntrs.nasa.gov/citations/19930092343 (accessed on 11 April 2025).
  5. Wang, C.P.; Xue, L.S.; Cheng, K.M. Application of the minimum entropy production principle to shock reflection induced by separation. J. Fluid Mech. 2018, 857, 784–805. [Google Scholar] [CrossRef]
  6. Souverein, L.J.; Bakker, P.G.; Dupont, P. A scaling analysis for turbulent shock-wave/boundary-layer interactions. J. Fluid Mech. 2013, 714, 505–535. [Google Scholar] [CrossRef]
  7. Zhao, Y.Y.; Zhao, Y.L.; Zhao, Y.X. A Study on the Separation Length of Shock Wave/Turbulent Boundary Layer Interaction. Int. J. Aerosp. Eng. 2019, 1–10. [Google Scholar] [CrossRef]
  8. Jaunet, V.; Debieve, J.F.; Dupont, P. Length Scales and Time Scales of a Heated Shock Wave/Boundary Layer Interaction. AIAA J. 2014, 52, 2524–2532. [Google Scholar] [CrossRef]
  9. Wang, Z.; Huang, R.; Li, Y.; Zheng, J.; Guo, J.; Chang, J. Experimental and numerical simulation of shock train characteristics in an isolator with incident shocks. Aerosp. Sci. Technol. 2023, 138, 108309. [Google Scholar] [CrossRef]
  10. Li, X.; Yu, D.R.; Bao, W. Instability of shock train behavior with incident shocks. J. Fluid Mech. 2021, 907, A40. [Google Scholar] [CrossRef]
  11. Lv, M.L. The Study of Separation Mixing in Unstarted Hypersonic Inlet. Master’s Thesis, National University of Defense Technology, Changsha, China, 2017. (In Chinese). [Google Scholar]
  12. Yu, H.; Tan, H.J.; Li, X.; Li, F.B.; Zhang, Y.; Wang, Z.Y. Analysis of shock train leading shock structure under oscillatory backpressure. Phys. Fluids 2023, 35, 061706. [Google Scholar]
  13. Hou, W.; Chang, J.; Wang, Y.; Kong, C.; Bao, W. Experimental study on the forced oscillation of shock train in an isolator with background waves. Aerosp. Sci. Technol. 2025, 106, 106129. [Google Scholar] [CrossRef]
  14. He, L.H.; Chen, H.; Yue, L.J.; Zhang, Q.F.; Wu, W.N. Interaction of a shock train with inherent isentropic waves in a curved isolator. Phys. Fluids 2022, 34, 066106. [Google Scholar] [CrossRef]
  15. Li, X.; Zhang, Y.; Tan, H.; Sun, S.; Jin, Y.; Zhou, J. Separation length scaling for dual-incident shock wave–turbulent boundary layer interactions with different shock wave distances. J. Fluid Mech. 2023, 960, A9. [Google Scholar] [CrossRef]
  16. Li, X.; Zhang, Y.; Tan, H.; Jin, Y.; Li, C. Comparative study on single-incident and dual-incident shock wave/turbulent boundary layer interactions with identical total deflection angle. J. Fluid Mech. 2022, 940, A7. [Google Scholar] [CrossRef]
  17. Yang, S.Z.; Xie, W.Z.; Sun, H.Y. Critical decoupling criterion for dual-incident shock wave/turbulent boundary layer interaction. Phys. Fluids 2024, 36, 015124. [Google Scholar] [CrossRef]
  18. Zhu, Z.Y.; Zhao, Y.L.; Zhao, Y.Y. Influence of expansion corner on the interaction of dual separation zones. AIP Adv. 2022, 12, 125207. [Google Scholar] [CrossRef]
  19. Tao, Y. The Study of the Boundary Layer/Boundary Interactions in Hypersonic Inlet. Ph.D. Dissertation, National University of Defense Technology, Changsha, China, 2018. (In Chinese). [Google Scholar]
Figure 1. Configuration of the investigation subject: (a) profile of a typical hypersonic inlet flow field; (b) schematic of the dual-separation-zone flow field.
Figure 1. Configuration of the investigation subject: (a) profile of a typical hypersonic inlet flow field; (b) schematic of the dual-separation-zone flow field.
Applsci 15 04569 g001
Figure 2. Sketches: (a) computational domain with boundary conditions; (b) numerical grid distribution and details in boundaries.
Figure 2. Sketches: (a) computational domain with boundary conditions; (b) numerical grid distribution and details in boundaries.
Applsci 15 04569 g002
Figure 3. Validation model of dual separation zones in the wind tunnel.
Figure 3. Validation model of dual separation zones in the wind tunnel.
Applsci 15 04569 g003
Figure 4. Comparison between calculation pressure curves and experimental data.
Figure 4. Comparison between calculation pressure curves and experimental data.
Applsci 15 04569 g004
Figure 5. Mach contour under different ICRs.
Figure 5. Mach contour under different ICRs.
Applsci 15 04569 g005
Figure 6. X component wall shear curves under different ICRs.
Figure 6. X component wall shear curves under different ICRs.
Applsci 15 04569 g006
Figure 7. Mach number contour of different lengths of G under the same T. For the case: (a) l1; (b) l2; (c) l3.
Figure 7. Mach number contour of different lengths of G under the same T. For the case: (a) l1; (b) l2; (c) l3.
Applsci 15 04569 g007
Figure 8. Wall pressure curves of different lengths of G under the same T.
Figure 8. Wall pressure curves of different lengths of G under the same T.
Applsci 15 04569 g008
Figure 9. Lengths of separation zone I in different lengths of G under the same T.
Figure 9. Lengths of separation zone I in different lengths of G under the same T.
Applsci 15 04569 g009
Figure 10. Velocity of in case with different l. For the case (a) l = l1; (b) l = l2; (c) l = l3.
Figure 10. Velocity of in case with different l. For the case (a) l = l1; (b) l = l2; (c) l = l3.
Applsci 15 04569 g010
Figure 11. Wall pressure of different intensities of incident shock under the same d s - r . Wall pressure of different intensities of incident shock under the same d s - r . (a) d s - r = −7 mm; (b) d s - r = −2 mm.
Figure 11. Wall pressure of different intensities of incident shock under the same d s - r . Wall pressure of different intensities of incident shock under the same d s - r . (a) d s - r = −7 mm; (b) d s - r = −2 mm.
Applsci 15 04569 g011
Figure 12. Integral change curves of wall pressure with different incident shock wave intensities.
Figure 12. Integral change curves of wall pressure with different incident shock wave intensities.
Applsci 15 04569 g012
Figure 13. Value change in pressure integral under different incident shock wave intensities.
Figure 13. Value change in pressure integral under different incident shock wave intensities.
Applsci 15 04569 g013
Table 1. Flow condition for simulations.
Table 1. Flow condition for simulations.
Incoming Flow
Mach Number
M 0 , c
Total Pressure
(kPa)
P t , c
Unit Reynolds Number
(/m)
R e x
Boundary Layer Thickness (mm)
δ x
3101.3257.53 × 1077.38
Disclaimer/Publisher’s Note: The statements, opinions and data contained in all publications are solely those of the individual author(s) and contributor(s) and not of MDPI and/or the editor(s). MDPI and/or the editor(s) disclaim responsibility for any injury to people or property resulting from any ideas, methods, instructions or products referred to in the content.

Share and Cite

MDPI and ACS Style

Zou, J.; Fan, X.; Xiong, B. An Analysis of the Factors Influencing Dual Separation Zones on a Plate. Appl. Sci. 2025, 15, 4569. https://doi.org/10.3390/app15084569

AMA Style

Zou J, Fan X, Xiong B. An Analysis of the Factors Influencing Dual Separation Zones on a Plate. Applied Sciences. 2025; 15(8):4569. https://doi.org/10.3390/app15084569

Chicago/Turabian Style

Zou, Jiarui, Xiaoqiang Fan, and Bing Xiong. 2025. "An Analysis of the Factors Influencing Dual Separation Zones on a Plate" Applied Sciences 15, no. 8: 4569. https://doi.org/10.3390/app15084569

APA Style

Zou, J., Fan, X., & Xiong, B. (2025). An Analysis of the Factors Influencing Dual Separation Zones on a Plate. Applied Sciences, 15(8), 4569. https://doi.org/10.3390/app15084569

Note that from the first issue of 2016, this journal uses article numbers instead of page numbers. See further details here.

Article Metrics

Back to TopTop