Next Article in Journal
Investigation on Micro-Vibration Test and Image Stabilization of a High-Precision Space Optical Payload
Next Article in Special Issue
Numerical Analysis of Fatigue Life of Wind Turbine Blades Reinforced with Graphene Platelets
Previous Article in Journal
Shuffle Model of Differential Privacy: Numerical Composition for Federated Learning
Previous Article in Special Issue
Challenges and Constraints in the Application of Rule-Based Hull Girder Load Adjustments: Insights with Future Directions
 
 
Font Type:
Arial Georgia Verdana
Font Size:
Aa Aa Aa
Line Spacing:
Column Width:
Background:
Article

Crack Propagation in Axial-Flow Fan Blades Under Complex Loading Conditions: A FRANC3D and ABAQUS Co-Simulation Approach

1
DIFIA Laboratory, University of Quebec in Abitibi-Témiscamingue (UQAT), Rouyn-Noranda, QC J9X 5E4, Canada
2
Laboratoire de Génie Mécanique [Monastir] (LGM/ENIM), Ecole Nationale d’Ingénieurs de Monastir, Université de Monastir, Avenue Ibn El Jazzar, Monastir 5019, Tunisia
*
Author to whom correspondence should be addressed.
Appl. Sci. 2025, 15(3), 1597; https://doi.org/10.3390/app15031597
Submission received: 9 January 2025 / Revised: 28 January 2025 / Accepted: 1 February 2025 / Published: 5 February 2025

Abstract

Since fan blades are exposed to fatigue, and in some cases harsh loading conditions, they may exhibit fracture failures due to crack propagation, resulting in significant losses. Previous studies of crack propagation in blades are mainly confined to either simplified blade geometry or loads, resulting in a significant discrepancy between the simulated crack propagation and the real blade propagation behavior, while it is lacking for challenging shapes and loads. A co-simulation approach of FRANC3D and ABAQUS was developed to study the crack propagation of an axial-flow fan blade subjected to centrifugal, aerodynamic, and combined loads. The projected approach is validated with results obtained from analytical calculations and experiments. Meanwhile, making use of benchmarks, the Stress Intensity Factor (SIF) and the prediction of mixed-mode crack growth path are validated. Considering various loads, the crack propagation path response for the fan blade is computed for different growth steps. The results pinpoint that the crack propagation length of the crack tip center is maximum under centrifugal loading. However, the aerodynamic load led to a maximum propagation length of the crack tip endpoints. In addition, the combined force of centrifugal and aerodynamic loads limits the crack from growing.

1. Introduction

In underground mining, it is imperative to safeguard the safety and health of miners’ operators from the threats of polluted air and toxic gases [1]. Particular attention must therefore be paid to ventilation to control the underground mining temperatures. However, regarding the challenging loading conditions and the operational surroundings, fan blades are prone to developing cracks and are susceptible to potential fracture failure, resulting in a significant decline in performance [2]. Hence, exploring crack propagation under diverse loading conditions is of great engineering importance in terms of theoretical guidance and practical application to guarantee the proper operation of mining ventilation.
With the aim of determining the fatigue crack propagation behavior at the rotary machine’s blades containing initial damage, tests and analyses have been conducted on certain models and full-size components with seeded faults under various types of loads. Nevertheless, conducting fatigue crack growth (FCG) prediction for axial-fan blades is complicated owing to the challenging cross-sectional shape and the harsh loading conditions associated with centrifugal and aerodynamic loads.
According to previous investigations, two alternative approaches are at hand for predicting FCG. Experiments and engineering fracture models were extensively used to perform FCG prediction for axial-fan blades. These approaches are based on simplification of the geometry and loads. Many studies have been conducted recently on the experimental investigation of crack growth in practical engineering structures under various loads [3,4,5]. With the use of servo-hydraulic fatigue testing devices, Wang et al. [6] conducted fatigue tensile tests on aluminum alloy plate specimens with an initial crack. Considering the finite element method, the crack propagation path and the fatigue life were predicted. Making use of a compact tension (CT) specimen, Liu et al. [7] performed crack propagation and evaluated the crack growth life under tensile loading. Wang et al. [3] used a CT specimen to obtain fracture parameters through tensile testing. The aim of their study was to examine crack propagation within a steel marine structure subjected to multiple loading amplitudes. Rosumek et al. [8] evaluated the process of fracture initiation and propagation on the surface of S355 steel specimens under cyclic bending loads. Chen et al. [9] carried out an experimental investigation of fracture initiation and propagation in a simplified compressor blade subjected to bending resonance.
On account of its economic and efficiency advantages, numerical fracture analysis is an effective approach for predicting FCG and lifetime [10,11]. It accurately calculates the stress intensity factor (SIF), taking into account the actual crack, specific loads, and boundary conditions, constantly updating the structural configuration and re-meshing as the crack grows [12,13]. In recent years, a growing number of researchers have employed the fracture mechanics tool FRANC3D combined with different finite element packages such as ANSYS and ABAQUS for crack growth analysis [14,15]. With the intention of determining the fracture geometry. Paik et al. [16] investigated the crack propagation law of nickel aluminide turbine blades subjected to tensile stress. Qu and Li [17] explored the compressor impeller’s crack propagation law at various rotation speeds while taking the centrifugal load into consideration. They also established the direction of the cracks according to the maximum principal stress criterion. Amato et al. [18] predicted the crack growth direction under non-proportional mixed-mode loadings. The results of FRANC3D showed a good agreement compared to CRACKTRACER3D and experimental results. Liu et al. [19] proposed an optimization method for a 3D shrouded fan blade. The crack propagation process was simulated, and the stress intensity factors were calculated using the method of ANSYS and FRANC3D joint simulations. Hassen et al. [20] used the method of ABAQUS and FRANC3D to perform the numerical simulation of crack growth and fatigue life of an axial fan blade. The location of the crack was identified to be at the blade–root conjunction. Stress intensity factors for three modes were presented, and the fatigue life was evaluated using the Forman de Koning model. Wang et al. [21] conducted a numerical simulation of the fatigue crack propagation of an airfoil blade operating under aerodynamic and centrifugal loading. The prediction correlated well with the experimental data and the literature. It was revealed that the crack propagates towards the trailing edge (TE) and leading edge (LE) under both aerodynamic and centrifugal loading. Despite the vast number of simulation and investigation methods for crack propagation that have been presented, there is still a lack of reliable and efficient simulation approaches for crack propagation, especially for the case of axial fan-blade crack propagation subjected to real loads.
Taking account of the literature analysis provided, a few studies have been performed regarding the prediction of cracks propagating in blades subjected to centrifugal and aerodynamic loads, rarely for the case of axial underground mine fans. To compensate for the deficiencies of existing studies, this research contributes to the field by innovatively studying the crack propagation of an axial underground mine-fan blade under a centrifugal load, aerodynamic load, and a combination of both loads, showcasing original approaches and addressing neglected or simplified aspects of previous research.
In this paper, the primary research contents and strategy implemented are as follows: fundamental theories and methods for crack propagation are introduced in Section 2, particularly the theory governing the stress intensity factor. Considering these principles, the proposed method is applied to the center double slant crack with a hole specimen and PMMA specimen and validated through analytical and experimental comparison in Section 3. The crack growth path of the axial underground mine fan blade is accurately predicted in Section 4. Section 5 provides a summary of the study’s main findings and comments.

2. Theory and Method for Fatigue Crack Propagation

2.1. Calculation of Stress Intensity Factor Using the M-Integral Method

The stress intensity factors (SIFs) for mix mode crack growth are computed in this paper using the interaction integral equation. The M-integral can be expressed as follows [22]:
M ( 1,2 ) = D S i j ( 1 ) u i ( 2 ) x 1 + S i j ( 2 ) u i ( 1 ) x 1 W 1,2   δ 1 j q x j   d D
where D is the region surrounding the crack point that is enclosed by an inner and outer contour, and Sij is the boundary of the integration path stress. The function q takes values of 0 when the node falls outside the integral contour and 1 when the node falls inside the integral contour, x1 and ui are the vectors of coordinate and displacement, and W (1,2) is the mutual strain energy, defined as follows [22]:
W 1,2 = 1 2 S i j ( 1 ) ε i j ( 2 ) + S i j ( 2 ) ε i j ( 1 )
The equation relating stress intensity factor and the M-integral method implemented in FRANC3D for calculating the stress intensity factor distribution is described as follows [22]:
M 1,2 = 1 ϑ 2 E K I ( 1 ) K I ( 2 ) + 1 ϑ 2 E K I I ( 1 ) K I I ( 2 ) + 1 ϑ 2 E K I I I ( 1 ) K I I I ( 2 )
where E is Young’s modulus, ϑ is Poisson’s ratio, and the stress intensity factors for each fatigue step can be computed by decoupling mode I, mode II, and mode III.
K I ( 1 ) = E 1 ϑ 2 M ( 1 , s 1 ) ;   K I I ( 1 ) = E 1 ϑ 2 M ( 1 , s 2 ) ; K I I I ( 1 ) = E 1 ϑ 2 M ( 1 , s 3 )
where s1, s2, and s3 are the stress intensity factor components for mode I, mode II, and mode III, respectively.

2.2. Calculation of Crack Propagation

Both the maximum circumferential stress and the maximum energy release rate criteria serve as the fundamental basis for the crack propagation evaluation. In this study, the maximum circumferential stress criterion is adopted to determine the crack propagation direction. The expressions for the stress components at the crack tip are as follows [2]:
σ r = 1 2 2 π r K I ( 3 c o s φ ) c o s φ 2 + K I I ( 3 c o s φ 1 ) s i n φ 2 σ φ = 1 2 2 π r c o s φ 2 K I 1 + c o s φ 3 K I I s i n φ τ r φ = 1 2 2 π r c o s φ 2 K I s i n φ + K I I 3 c o s φ 1
where σr, σφ, τ represent the radial, circumferential, and tangential stress, respectively, and φ represents the crack inclination angle, whose expression is as follows [23]:
φ = 2 a r c t a n 1 4 K I K I I ± 1 4 K I K I I 2 + 8
The stress–strain in linearly elastic materials satisfies Hooke’s law:
ε r = 1 E σ r ϑ σ φ ; ε φ = 1 E σ φ ϑ σ r ; γ r φ = 2 1 + ϑ E τ r φ
where εr, εφ, and γ represent the radial, circumferential, and tangential strains, respectively. Meanwhile, the crack propagation direction fulfills these conditions [2]:
ε φ φ = 0 ; 2 ε φ φ 2 0 K I s i n φ 2 2 ϑ 3 ( 1 ϑ ) c o s 2 φ 2 + K I I c o s φ 2 9 1 ϑ s i n 2 φ 2 ( 3 + ϑ ) = 0
In this study, Paris Law is used to evaluate the crack propagation rate, and expressed as follows:
d a d N = C K m
Here, a is the crack propagation length, and N is the number of fatigue load cycles. C and m are the material coefficients. ΔK = KmaxKmin is the stress intensity factor range.

3. Validation of the Proposed Approach

In this section, the co-simulation FRANC3D/ABAQUS approach is compared to the analytical and experiment results. At first, the center double slant crack with a hole specimen is chosen to test the accuracy of the co-simulation FRANC3D, ABAQUS approach. The SIFs of the different initial crack lengths were compared with analytical results. Next, the crack propagation path of the two types of a modified three-point bending (the polymethyl methacrylate (PMMA)) beam specimen was investigated. The outcomes of the two types of PMMA specimens, with and without holes, were compared with the experimental and ABAQUS results.

3.1. Verification of Mixed-Mode SIFs

Predicting fatigue life and simulating the propagation of structural cracks relies on the precise computation of SIFs. An overwhelming number of cracks in practical engineering structures are mixed modes. In this phase, as illustrated in Figure 1, the center double slant crack with a hole specimen is chosen to validate the calculation process of the three-dimensional crack stress intensity factor using a coupling FRANC3D and Abaqus under a mixed-mode fracture.
The finite element model (FEM) of this specimen without crack with length 2l, width 2w, thickness T, and diameter of the circular hole d is first established using ABAQUS 2025 software. A uniform tensile stress σ is applied at both ends of the specimen. This specimen’s length, width, height, and hole diameter are taken as 80 mm, 40 mm, 1 mm, and 10 mm, respectively, and the tensile stress is 1 MPa. The stainless-steel material properties are as follows: Young’s modulus E = 210 GPa, Poisson’s ratio υ = 0.3. In this finite element model, three layers of mesh are arranged along the thickness direction using the C3D8 element with a size of 1 mm. It is important to note that the mesh sensitivity study indicates that this method can yield reliable results when the element size is approximately 1 mm and at least three layers of mesh are split along the thickness direction. After establishing the finite element model, FRANC3D is used to implant the crack according to an initial crack length of 2a and an initial crack slant angle of φ. The different initial crack lengths are determined by referring to [24], considering two situations where the first crack slant angles are 30 and 45 degrees. The crack tip’s region mesh has been refined to reduce the computation error. The template radius of the crack tip is r = 0.6 mm. Figure 1 shows an illustration of the FEM.
The center double slant fracture with a hole specimen and analytical expressions of SIFs used in this work are provided as follows [25]:
K I = σ σ π a F I a w                                                                     K I I = σ σ π a F I I a w
In where the structural form factors for mode I and mode II cracks are, respectively, FI(a/w) and FII(a/w). The precise values of FI and FII for various initial fracture lengths and slant angles are provided in [24,25].
For both angles, the SIFs for various beginning crack lengths are computed in turn. Figure 2 displays the computation results with comparisons to the theoretical answers. The outcomes demonstrate the accuracy of FRANC3D by showing a strong agreement between the numerical and analytical solutions. Furthermore, it can be ensured that the estimated fatigue crack development life is rather conservative because the computational results of SIFs are slightly higher than the analytical solutions. The given instance demonstrates that the suggested approach can accurately calculate the mixed-mode crack’s SIFs.

3.2. Verification of Crack Growth Path Prediction

Two configurations of the PMMA beam specimen (PMMA with and PMMA without holes) were chosen to validate the ABQUS-FRANC3D co-simulation approach for predicting the crack growth path. The specimen dimensions were as follows: width = 203.2 mm, length = 508 mm, and thickness = 12.7 mm.
The PMMA beam specimens exhibited diverse configurations, showcasing variations in both the lengths and positions of initial crack offsets, as illustrated in Figure 3a and Figure 4a. To provide a clearer description, a numerical identification system in Table 1 assigned specific numbers to the PMMA beam samples with distinct configurations. The parameters “d” and “a0” represent the distance between the initial offset crack and the middle of the beam and the length of the initial crack, respectively. It is essential to underline that this section focuses on the crack growth path, allowing for continuous crack propagation without imposing specific load magnitude requirements. The stainless-steel material properties governing the specimens are characterized by a Poisson’s ratio υ = 0.3 and Young’s modulus E = 205 GPa.
Figure 3a shows the finite element model. The element size is set to 2 mm, and a total of seven mesh layers are established along the thickness direction. For the FEM of the PMMA specimen with holes shown in Figure 4a, the mesh on the section enveloping the holes is refined to reduce the calculation time and improve accuracy.
Comparisons between the propagation paths of the experiment obtained in ref. [24] and the proposed approach for the PMMA beam specimens without holes are shown in Figure 5. The propagation path derived from the combined simulation of the FRANC3D and ABAQUS and the propagation path of the observed experimental data matches well. This provides confirmation of FRANC3D’s accuracy in simulating crack propagation. However, the ABAQUS results show convergency problems, and in many alternatives, the calculation cannot be finished.
Figure 4b–d display the crack growth trajectories of the PMMA beam specimens with holes (specimens D, E, and F), while Figure 6 displays the obtained results in comparison with the experimental results and ABAQUS self-results. For specimens with holes, the crack growth ends at the edge of the hole. After this length of growth, the computation is no longer possible. As seen in Figure 6, the locations of the crack growth terminations for specimens D, E, and F change notably between the two approaches.
Taking the example of the D specimen, crack growth obtained via the Abaqus results propagates until meeting the second hole. However, the crack growth established using the proposed approach and the experimental method path correlated well with reaching the upper hole. Furthermore, overall, the crack paths predicted using the proposed method accord well with the experimental findings for various configurations. Notably, the propagation angle of the fracture affected by the hole position and the location of the crack ending is coherent with the experimental results. A consistent deviation in comparing the Abaqus results with the test results may lead to inaccurate results when assessing fatigue life. Overall, making use of the PMMA specimens, it has been successfully demonstrated that the approach presented in this study retains a high degree of reliability for crack growth path prediction.

4. Axial Fan Blade Crack Propagation Simulation

During operation, the blade experiences the effects of aerodynamic and centrifugal forces. These forces significantly affect the performance and stability of the blade. Due to stress concentration, surface fatigue fractures readily develop at the root area of the blade. The crack’s propagation zone will exhibit an exponential type of propagation, in line with the fundamental theory of fatigue failure, resulting in blade breaks due to the rapid propagation of the microfracture.
Through the co-simulation method (ABAQUS and FRANC3D), this section investigates the surface crack propagation path under aerodynamic, centrifugal, and a combination of both loads, with an emphasis on the crack propagation growth rate for the axial fan blade for different growth steps. The fan blade used in this study is made of AL2024t861 aluminum, where the main mechanical properties are as follows: Young’s modulus E = 71 GPa, Poisson’s ratio υ = 0.33, density ρ = 2768 Kg/m3. The C3D10 10-node quadratic tetrahedral element was selected in this work, primarily for its compatibility with mesh refinement techniques and its high accuracy in representing the stress gradient at the crack tip.
The crack propagation flow chart using FRANC3D code is illustrated in Figure 7. Four steps are required for the analysis. During the first step, the initial FEA model built in ABAQUS was imported in FRANC3D in order to create a sub-model for the investigation of crack growth. An initial semi-elliptical crack front shape was assumed, with a surface length c = 5 mm and a ratio a/c of 0.5. A template radius r0 = 0.1 mm was inserted into the sub-model at the conjunction between the blade and the blade roots. The sub-model was then meshed and reinserted into the original FEA model, preserving the boundary nodes and the remaining original FEA mesh. The crack growth parameters are specified in step 3. For crack propagation, the cyclic load is applied, and the parameters of the Paris growth rate model are as follows: C = 8 × 10−12, m = 3, KC = 1750 MPa m m , and ΔK = 10 MPa m m .
The crack fronts are defined by multiple quantities of points Nn to evaluate the correlation among the nodes of different 3D crack fronts. Using p as the independent variable, several polynomial functions can be generated based on this to fit the data on the crack front. These polynomials can be represented as follows:
P n ( p ) = K n p , S n p , e n ( p )
where n is the number of crack propagation steps, Kn is the cartesian coordinates of the mesh nodes corresponding to the nth crack front, and Sn, en are the SIF and local coordinate systems corresponding to Kn.
With trial tests and to avoid complicated propagation of the crack tip, a fifth-order polynomial (Equation (11)) is fitted to the crack tip nodes, allowing for fitting adjustment during crack growth. The M-integral approach is used to compute SIFs. When calculating the SIFs, the maximum circumferential stress (MTS) is used. At each crack growth increment, SIFs and crack inclination angles were generated to update the new crack front. Therefore, the cracked sub-model is re-meshed and re-inserted into the remaining FEA model. Consequently, the crack propagation path can be computed.

4.1. Impact of Centrifugal Load

In this sub-section, the impact of centrifugal load on the propagation of cracks during blade operation is studied. Centrifugal force is one of the most critical loads affecting rotating axial fan blades. It depends mainly on the distance between each element, the rotating axis of the fan rotor, and the rotor speed. Centrifugal force (Fc) can be evaluated according to the following expression [26]:
F c = m f r f ω 2
In which mf, and rf are the mass and the distance between the axis of rotation and the center of gravity, respectively, and ω is the rotational speed of the axial fan. The centrifugal load was modeled using the FE model by defining an operational rotating speed of 1800 rpm (Figure 8a). The stress distribution of the blade under a centrifugal load is displayed in Figure 9a. The maximum stress concentration is located on the pressure side of the blade at the left corner of the conjunction of the blade and blade root. Once the static analysis is conducted, considering the four steps outlined in Figure 7, a Nstep = 18 total number of crack growth steps were performed.

4.2. Impact of Aerodynamic Load

Axial fan blades are constantly susceptible to mechanical fatigue and vibrational forces. Recent studies by Li et al. [27] investigated fluid-induced transport dynamics and vibration patterns in multiphase vortex systems, particularly during critical transition states. According to the research, phase transitions and vortex shedding greatly increase vibrations, which compromises the structural integrity of systems. In this context, vibration is mostly caused by aerodynamic forces, which are the result of airflow passing across the blades. To investigate these forces operating on the blades, a computational fluid dynamic (CFD) approach is used in this study. The results of the CFD simulation were applied as a non-uniform pressure boundary condition in the static FEM analysis of the blade in Figure 8b. Therefore, the centrifugal load acting on the whole blade is replaced with the aerodynamic load applied on the pressure side of the blade while maintaining the original crack shape and position.
The stress distribution of the blade under a centrifugal load is shown in Figure 9b. The maximum stress concentration is located on the pressure side of the blade at the right corner of the conjunction of the blade and blade root. Once the static analysis was conducted, a Nstep = 18 total number of crack growth steps were performed.

4.3. Impact of Combined Centrifugal and Aerodynamic Load

In the mining operational environment, centrifugal loads combined with aerodynamic loads are applied to axial fan blades, working toward high power and the safety and health of miners from the threats of polluted air and toxic gases during operation. The centrifugal force and the pressure acting on the fan blade grew as a result of the increase in the fan’s diameter and the blade’s length, resulting in harmful fatigue cracks. In this part, while maintaining the same crack shape and geometry, the FEM of the axial fan blade is established by applying both loads at once. The maximum stress concentration is located on the pressure side of the blade at the right corner of the conjunction of the blade and blade root where the crack is inserted; the same as the case where only an aerodynamic load is applied. Once the static analysis is conducted, a Nstep = 18 total number of crack growth steps were performed.
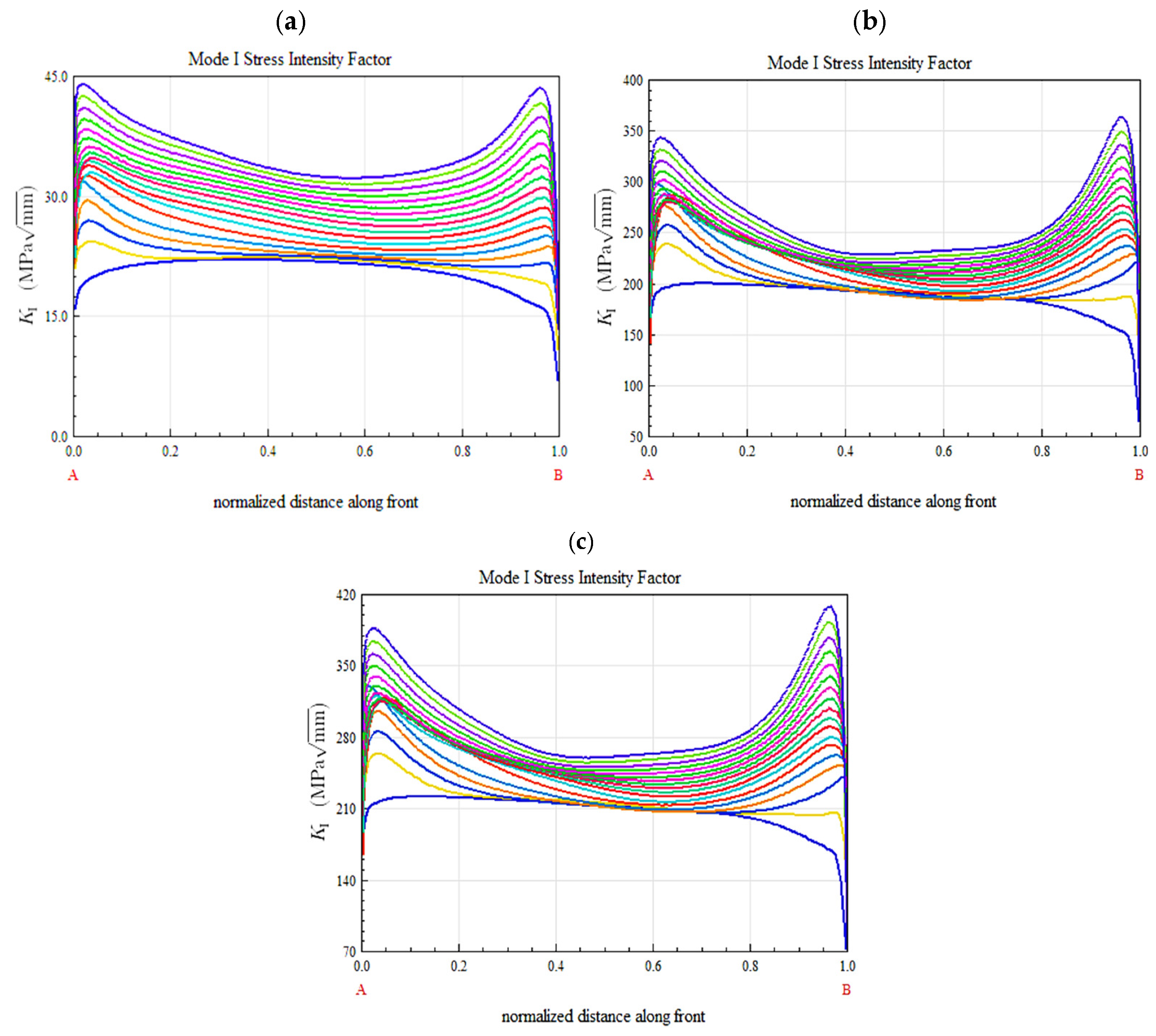
Figure 10a, Figure 10b, and Figure 10c present the crack propagation path for centrifugal, aerodynamic, and combined centrifugal and aerodynamic loads, respectively. The crack propagation step’s fracture tips of different loads are projected on the plan of the initial crack and are presented as isolines (right figures). The propagation rate of the fracture tips at the two ends (L1 = LA + LB) is significantly higher than the propagation center of the tip (L2), much like the crack propagation under a centrifugal load in Figure 10a, an aerodynamic load in Figure 10b, or a combined load in Figure 10c. Figure 11a illustrates the SIF for mode I along the normalized fracture front for centrifugal load. As can be noticed, the mode I SIF confirms the deviation of the crack propagation path to the left side. This shows that the stress intensity factor is greater on the crack’s left side than on the crack’s right side.
However, for the case of a single aerodynamic load and the case of both centrifugal and aerodynamic loads, the crack tip propagation path moves first in the direction of point A and then rectifies the path to the center. Figure 11b, c illustrates the SIF for mode I along the normalized fracture front for the aerodynamic load and combined load. As can be noticed, the mode I SIF confirms that the crack propagation path is higher on the crack’s left side for the first steps and then twisted to the right side to compensate for the deviation. This shows that the stress intensity factor is slightly greater or even equal on the crack’s left and right sides.
The number of steps (Nstep) is divided into three equal steps, Nstep/3, 2* Nstep/3, and Nstep, respectively. For each step, the values of L1 and L2 are presented in Figure 12 and Figure 13. Through the steady increase in both crack propagation lengths L1 and L2, the fracture propagation rate increases. By contrasting Figure 12 and Figure 13, it can be observed that the highest crack growth lengths subjected to the three types of loads occur at the Nstep, where the values of L1 under a centrifugal load, aerodynamic load, and combined load are 27.05 mm, 38.79 mm, and 37.89 mm, respectively, compared with 8.66 mm, 7.83 mm, and 7.86 mm for the case of L2, which are 3.12, 4.95, and 4.82 times less than L1 with the same configurations.
Figure 14. displays the complete crack growth length under various loads. It can be noticed that the crack growth length of the crack tip center (L2) is highly impacted by the centrifugal loading. However, the crack growth length of the two endpoints, A and B, of the crack tip (L1) is less affected by the centrifugal load compared to the aerodynamic load and combined load. The total lengths of L2 under the three types of loads are 17.84 mm, 16.42 mm, and 16.49 mm, which are 2.94, 4.49, and 4.39 times less than L1. Consequently, the aerodynamic load has the greatest effect on L1, and the centrifugal load has the greatest effect on L2. Meanwhile, in the case of the combined load, the crack propagation of L1 is decreased when the centrifugal load is applied, and the crack propagation L2 becomes smaller when an aerodynamic load is applied. The primary cause is that the crack tends to close under the combined force of centrifugal and aerodynamic loads, which limits the crack from growing.

5. Conclusions

In the present study, the crack propagation of the axial-flow mine ventilation fan blade subjected to operational loads is analyzed based on the co-simulation of FRANC3D and ABAQUS. Using experimental and analytical results, the co-simulation approach is validated. The center double slant crack specimen with a hole specimen is used to prove the accuracy of the method for mixed-mode stress intensity factor calculation. The polymethyl methacrylate (PMMA) beam specimen is used to demonstrate the method’s precision for crack growth path prediction.
The results confirmed that the proposed co-simulation approach is a promising method for crack growth path prediction. Based on the overall validation, the axial fan blade crack propagation path under aerodynamic, centrifugal, and combined loads was examined for different crack steps. The results clearly demonstrated that the crack growth length of the crack tip center (L2 = 17.84 mm) was maximum under centrifugal loading. However, the crack growth length of the two endpoints of the crack tip was maximum under the aerodynamic load (L1 = 73.75 mm). Moreover, compared to the crack center, the crack endpoint’s growth rate was substantially higher. Under the three types of loads, the crack center growth rate was 2.94, 4.49, and 4.39 times less than the crack endpoint growth rate. The results pinpoint that the combined centrifugal and aerodynamic loads tended to close the crack, which prevented and limited the crack from growing.
This study can provide a resource for assessing blade crack propagation paths under real conditions. However, the boundary conditions defined in this study did not consider extreme conditions such as stall conditions and fan instabilities, which may affect the blade crack growth. In further work, the presented approach will confront extreme conditions to better meet industrial requirements.

Author Contributions

M.B.H.: methodology, investigation, formal analysis, validation, writing—original draft, writing—review and editing. S.B.-E.: validation, investigation, writing—review and editing. H.M.: funding acquisition, resources, supervision, writing—review and editing, validation. All authors have read and agreed to the published version of the manuscript.

Funding

This work is funded by the Natural Sciences and Engineering Research Council of Canada (NSERC), grant number [2020-560991].

Data Availability Statement

Data is unavailable due to privacy restrictions.

Acknowledgments

This work was supported by Hyperflo, 100 Jacques-bibeau, Rouyn-Noranda, QC, J9Y 0A3.

Conflicts of Interest

The authors declare that they have no known competing financial interests or personal relationships that could have appeared to influence the work reported in this paper.

Nomenclature

EYoung’s modulus
υPoisson’s ratio
ρDensity
KI, KII, KIIIStress intensity factors of mode I, mode II, and mode III
s1, s2, s3Stress intensity factor components of mode I, mode II, and mode III
M (1,2)M-integral
γTangential strain
εrRadial strain
εφCircumferential strain
DRegion surrounding the point
SijStress tensor at the crack
εijStrain tensor at the crack
uiDisplacement vector
σrRadial stress
σφCircumferential stress
τTangential stress
φCrack inclination angle
W (1,2)Strain energy
NstepNumber of crack propagation steps
da/dNCrack propagation rate
C, mMaterial coefficient
KCFracture toughness
ΔKStress intensity factor range
FI(a/w)Structural form factors for mode I
FII(a/w)Structural form factors for mode II
CCrack surface length
r0Template radius
FcCentrifugal force
mfMass
rfDistance between the center of gravity and the axis of rotation
ωRotational speed of the axial-fan

References

  1. Fakhari, S.M.; Mrad, H. Optimization of an Axial-Flow Mine Ventilation Fan Based on Effects of Design Parameters. Results Eng. 2024, 21, 101662. [Google Scholar] [CrossRef]
  2. Xiong, Q.; Guan, H.; Ma, H.; Wu, Z.; Zeng, J.; Wang, W.; Wang, H. Crack Propagation and Induced Vibration Characteristics of Cracked Cantilever Plates under Resonance State: Experiment and Simulation. Mech. Syst. Signal Process. 2023, 201, 110674. [Google Scholar] [CrossRef]
  3. Wang, C.; Wang, S.; Xie, L.; Liu, Y.; Deng, J.; He, W. Fatigue Crack Growth Behavior of Marine Steel under Variable Amplitude Loading-Combining DIC Technique and SEM Observation. Int. J. Fatigue 2023, 170, 107508. [Google Scholar] [CrossRef]
  4. Giannella, V.; Amato, D.; Perrella, M. Stability of Cruciform Specimens for Fracture Tests under Compression. Eng. Fract. Mech. 2022, 261, 108247. [Google Scholar] [CrossRef]
  5. Ruchirabha, T.; Nagasawa, S. Effect of Anvil Profile on Cutting Characteristics of Polystyrene Bar Subjected to Wedge Indentation. J. Adv. Mech. Des. Syst. Manuf. 2020, 14, 20–00244. [Google Scholar] [CrossRef]
  6. Wang, J.; Zhang, X.-Q.; Wei, W.; Tong, J.-Y.; Chen, B.; Fang, G.-W.; Yin, Y.-D. Investigation of Fatigue Growth Behavior of an Inclined Crack in Aluminum Alloy Plate. J. Fail. Anal. Preven. 2018, 18, 1159–1167. [Google Scholar] [CrossRef]
  7. Liu, H.; Yang, X.; Li, S.; Shi, D. A Numerical Approach to Simulate 3D Crack Propagation in Turbine Blades. Int. J. Mech. Sci. 2020, 171, 105408. [Google Scholar] [CrossRef]
  8. Rozumek, D.; Lewandowski, J.; Lesiuk, G.; Correia, J.A. The Influence of Heat Treatment on the Behavior of Fatigue Crack Growth in Welded Joints Made of S355 under Bending Loading. Int. J. Fatigue 2020, 131, 105328. [Google Scholar] [CrossRef]
  9. Xu, J.; Qiao, B.; Liu, M.; Yang, Z.; Chen, X. Crack Propagation Monitoring of Rotor Blades Using Synchroextracting Transform. J. Sound Vib. 2021, 509, 116253. [Google Scholar] [CrossRef]
  10. Glodek, G.; Talemi, R. An Applied Approach for Estimating Fretting Fatigue Lifetime of Dovetail Joints Using Coupon Scale Test Data. Theor. Appl. Fract. Mech. 2022, 121, 103455. [Google Scholar] [CrossRef]
  11. Mangardich, D.; Abrari, F.; Fawaz, Z. A Fracture Mechanics Based Approach for the Fretting Fatigue of Aircraft Engine Fan Dovetail Attachments. Int. J. Fatigue 2019, 129, 105213. [Google Scholar] [CrossRef]
  12. Hou, J.; Wescott, R.; Attia, M. Prediction of Fatigue Crack Propagation Lives of Turbine Discs with Forging-Induced Initial Cracks. Eng. Fract. Mech. 2014, 131, 406–418. [Google Scholar] [CrossRef]
  13. Bhachu, K.S.; Narasimhachary, S.B.; Shinde, S.R.; Gravett, P.W. Application of 3D Fracture Mechanics for Improved Crack Growth Predictions of Gas Turbine Components; American Society of Mechanical Engineers Digital Collection: New York, NY, USA, 2017. [Google Scholar]
  14. Amato, D.; Mayrhofer, L.; Robl, C.; Dhondt, G.; Citarella, R. Prediction of the Crack Growth Propagation Direction in Non-Proportional Mixed-Mode Missions. Int. J. Fatigue 2023, 166, 107233. [Google Scholar] [CrossRef]
  15. Mangardich, D.; Abrari, F.; Fawaz, Z. Modeling Crack Growth of an Aircraft Engine High Pressure Compressor Blade under Combined HCF and LCF Loading. Eng. Fract. Mech. 2019, 214, 474–486. [Google Scholar] [CrossRef]
  16. Paik, S.; Dutta, B.K.; Naveen Kumar, N.; Tewari, R. Deformation and Fracture Initiation of Ni3Al Intermetallic Single Crystal Turbine Blade. Eng. Fract. Mech. 2022, 275, 108812. [Google Scholar] [CrossRef]
  17. Qu, A.; Li, F. Residual Life Prediction of Compressor Impeller with Microcrack Damage. Mech. Based Des. Struct. Mach. 2024, 56, 3300–3315. [Google Scholar] [CrossRef]
  18. Amato, D.; Yarullin, R.; Shlyannikov, V.; Citarella, R. Numerical and Experimental Investigation of Mixed-Mode Crack Growth in Aluminum Alloys. Fatigue Fract. Eng. Mater. Struct. 2022, 45, 2854–2872. [Google Scholar] [CrossRef]
  19. Liu, Y.-X.; Cong, P.-H.; Wu, Y.-W.; Li, J.-L.; Wang, X.-P. Failure Analysis and Design Optimization of Shrouded Fan Blade. Eng. Fail. Anal. 2021, 122, 105208. [Google Scholar] [CrossRef]
  20. Hassen, M.B.; Fakhari, S.M.; Mrad, H. Assessment of Crack Growth and Fatigue Life of an Axial Fan Blade Based on a Co-Simulation Approach. Adv. Mater. Sci. 2023, 23, 61–79. [Google Scholar] [CrossRef]
  21. Wang, W.; Ni, K.; Ma, H.; Xiong, Q.; Wu, Z.; Wang, H.; Fan, C. Fatigue Crack Propagation Simulation of Airfoil Section Blade under Aerodynamic and Centrifugal Loads. Eng. Fract. Mech. 2023, 293, 109702. [Google Scholar] [CrossRef]
  22. Karimi, M.; Rouzegar, J. A CA-XFEM for Mixed-Mode Variable-Amplitude Fatigue Crack Growth. Theor. Appl. Fract. Mech. 2021, 114, 102979. [Google Scholar] [CrossRef]
  23. Wang, H.; Tanaka, S.; Oterkus, S.; Oterkus, E. Study on Two-Dimensional Mixed-Mode Fatigue Crack Growth Employing Ordinary State-Based Peridynamics. Theor. Appl. Fract. Mech. 2023, 124, 103761. [Google Scholar] [CrossRef]
  24. Chen, Z.; Bao, H.; Dai, Y.; Liu, Y. Numerical Prediction Based on XFEM for Mixed-Mode Crack Growth Path and Fatigue Life under Cyclic Overload. Int. J. Fatigue 2022, 162, 106943. [Google Scholar] [CrossRef]
  25. Tada, H.; Paris, P.C.; Irwin, G.R. The Stress Analysis of Cracks Handbook, 3rd ed.; ASME Press: New York, NY, USA, 2000. [Google Scholar]
  26. Poursaeidi, E.; Babaei, A.; Mohammadi Arhani, M.R.; Arablu, M. Effects of Natural Frequencies on the Failure of R1 Compressor Blades. Eng. Fail. Anal. 2012, 25, 304–315. [Google Scholar] [CrossRef]
  27. Li, L.; Tan, Y.; Xu, W.; Ni, Y.; Yang, J.; Tan, D. Fluid-Induced Transport Dynamics and Vibration Patterns of Multiphase Vortex in the Critical Transition States. Int. J. Mech. Sci. 2023, 252, 108376. [Google Scholar] [CrossRef]
Figure 1. Finite element model illustration of the specimen: (a) without crack, (b) with center double slant crack.
Figure 1. Finite element model illustration of the specimen: (a) without crack, (b) with center double slant crack.
Applsci 15 01597 g001
Figure 2. Comparison of the theoretical and numerical results of stress intensity factors: KI and KII with different initial crack lengths: (a) for φ = 30°, and (b) for φ = 45°.
Figure 2. Comparison of the theoretical and numerical results of stress intensity factors: KI and KII with different initial crack lengths: (a) for φ = 30°, and (b) for φ = 45°.
Applsci 15 01597 g002
Figure 3. The polymethyl methacrylate (PMMA) beam specimens: (a) the finite element model without holes, (b) the crack growth path for specimen A, (c) the crack growth path for specimen B, (d) the crack growth path for specimen C.
Figure 3. The polymethyl methacrylate (PMMA) beam specimens: (a) the finite element model without holes, (b) the crack growth path for specimen A, (c) the crack growth path for specimen B, (d) the crack growth path for specimen C.
Applsci 15 01597 g003
Figure 4. The PMMA specimen: (a) the finite element model with holes, (b) the crack growth path for specimen D, (c) the crack growth path for specimen E, (d) the crack growth path for specimen F.
Figure 4. The PMMA specimen: (a) the finite element model with holes, (b) the crack growth path for specimen D, (c) the crack growth path for specimen E, (d) the crack growth path for specimen F.
Applsci 15 01597 g004
Figure 5. Comparison of the crack propagation paths obtained using the proposed method with the experimental [24] and Abaqus self-method for the first three PMMA beam specimens (A, B, C).
Figure 5. Comparison of the crack propagation paths obtained using the proposed method with the experimental [24] and Abaqus self-method for the first three PMMA beam specimens (A, B, C).
Applsci 15 01597 g005
Figure 6. Comparison of the crack propagation paths obtained using the proposed method with the experimental [24] and the Abaqus self-method for the last three PMMA beam specimens (D, E, F).
Figure 6. Comparison of the crack propagation paths obtained using the proposed method with the experimental [24] and the Abaqus self-method for the last three PMMA beam specimens (D, E, F).
Applsci 15 01597 g006
Figure 7. Crack propagation flow chart using FRANC3D code.
Figure 7. Crack propagation flow chart using FRANC3D code.
Applsci 15 01597 g007
Figure 8. Boundary conditions acting on the blade: (a) centrifugal load, (b) aerodynamic load, (c) combined centrifugal and aerodynamic loads.
Figure 8. Boundary conditions acting on the blade: (a) centrifugal load, (b) aerodynamic load, (c) combined centrifugal and aerodynamic loads.
Applsci 15 01597 g008
Figure 9. Equivalent (von Mises) stress distribution along the blade: (a) centrifugal load, (b) aerodynamic load, (c) combined centrifugal and aerodynamic loads.
Figure 9. Equivalent (von Mises) stress distribution along the blade: (a) centrifugal load, (b) aerodynamic load, (c) combined centrifugal and aerodynamic loads.
Applsci 15 01597 g009
Figure 10. Crack propagation path under: (a) centrifugal load, (b) aerodynamic load, (c) combined centrifugal and aerodynamic loads.
Figure 10. Crack propagation path under: (a) centrifugal load, (b) aerodynamic load, (c) combined centrifugal and aerodynamic loads.
Applsci 15 01597 g010
Figure 11. Stress intensity factor KI for: (a) centrifugal load, (b) aerodynamic load, (c) combined centrifugal and aerodynamic loads.
Figure 11. Stress intensity factor KI for: (a) centrifugal load, (b) aerodynamic load, (c) combined centrifugal and aerodynamic loads.
Applsci 15 01597 g011
Figure 12. The crack propagation lengths of both ends of the crack tip for the three equal subdivisions of the step number.
Figure 12. The crack propagation lengths of both ends of the crack tip for the three equal subdivisions of the step number.
Applsci 15 01597 g012
Figure 13. The crack propagation lengths of the center of the crack tip for the three equal subdivisions of the step number.
Figure 13. The crack propagation lengths of the center of the crack tip for the three equal subdivisions of the step number.
Applsci 15 01597 g013
Figure 14. Comparison of the total crack length for the different loads.
Figure 14. Comparison of the total crack length for the different loads.
Applsci 15 01597 g014
Table 1. Configurations and identification of different PMMA beam samples used in this study.
Table 1. Configurations and identification of different PMMA beam samples used in this study.
Without HolesWith Holes
Specimen No.ABCDEF
d (mm)152.4152.4127152.4152.4127
a0 (mm)63.525.438.163.525.438.1
Disclaimer/Publisher’s Note: The statements, opinions and data contained in all publications are solely those of the individual author(s) and contributor(s) and not of MDPI and/or the editor(s). MDPI and/or the editor(s) disclaim responsibility for any injury to people or property resulting from any ideas, methods, instructions or products referred to in the content.

Share and Cite

MDPI and ACS Style

Ben Hassen, M.; Ben-Elechi, S.; Mrad, H. Crack Propagation in Axial-Flow Fan Blades Under Complex Loading Conditions: A FRANC3D and ABAQUS Co-Simulation Approach. Appl. Sci. 2025, 15, 1597. https://doi.org/10.3390/app15031597

AMA Style

Ben Hassen M, Ben-Elechi S, Mrad H. Crack Propagation in Axial-Flow Fan Blades Under Complex Loading Conditions: A FRANC3D and ABAQUS Co-Simulation Approach. Applied Sciences. 2025; 15(3):1597. https://doi.org/10.3390/app15031597

Chicago/Turabian Style

Ben Hassen, Mariem, Slim Ben-Elechi, and Hatem Mrad. 2025. "Crack Propagation in Axial-Flow Fan Blades Under Complex Loading Conditions: A FRANC3D and ABAQUS Co-Simulation Approach" Applied Sciences 15, no. 3: 1597. https://doi.org/10.3390/app15031597

APA Style

Ben Hassen, M., Ben-Elechi, S., & Mrad, H. (2025). Crack Propagation in Axial-Flow Fan Blades Under Complex Loading Conditions: A FRANC3D and ABAQUS Co-Simulation Approach. Applied Sciences, 15(3), 1597. https://doi.org/10.3390/app15031597

Note that from the first issue of 2016, this journal uses article numbers instead of page numbers. See further details here.

Article Metrics

Back to TopTop