Abstract
The propagation of a beam in atmospheric turbulence causes phase fluctuations due to random variations in the atmospheric refractive index, leading to wavefront distortions. This paper analyzes the mechanisms of wavefront phase changes caused by atmospheric turbulence under different weather conditions and transmission distances. Local wavefront distortions are analyzed using Gaussian curvature, and wavefront distortions are assessed using peak-to-valley values, root mean square values, and the mean square error of the wavefront distortions. Additionally, the effects of different wavelengths and temperatures on wavefront distortions are studied. The experimental results show that the positive and negative Gaussian curvature peak values decrease in the order of snowy day (0.530, −0.850) μm−1, heavy rain (0.345, −0.447) μm−1, dust storm (0.412, −0.057) μm−1, light rain (0.297, −2.75 × 10−3) μm−1, sunny (0.154, −0.3 × 10−3) μm−1, and cloudy (0.107, −0.1 × 10−3) μm−1, with local distortions also decreasing in this order. The peak-to-valley values, root mean square values, and mean square error of the wavefront distortions decrease in the order of heavy rain (129.41 μm, 31.82 μm, 55.18 μm2), dust storm (74.1 μm, 18.84 μm, 51.40 μm2), snowy day (72.09 μm, 17.50 μm, 49.49 μm2), light rain (70.03 μm, 17.11 μm, 37.69 μm2), sunny (57.23 μm, 16.50 μm, 21.84 μm2), and cloudy (52.8 μm, 16.12 μm, 14.40 μm2). Shorter wavelengths exhibit greater phase fluctuations than longer wavelengths, and the degree of distortion increases with temperature. This study lays a theoretical foundation and provides experimental evidence for optical transmission in atmospheric turbulence.
1. Introduction
Optical wireless communication systems have become a critical direction for the future of communication systems due to their advantages of high bandwidth, no spectrum limitation, and high security. However, since optical wireless communication systems need to transmit information through the atmosphere, atmospheric turbulence significantly affects the propagation of light waves, particularly the disturbance of wavefront phase, which is one of the key factors limiting performance [1]. Silbaugh [2] proposed a method to measure wavefront phase disturbances and characterize atmospheric turbulence by directly using wavefront slope measurements from a Hartmann wavefront sensor. This method does not assume data homogeneity and isotropy, avoiding complex wavefront phase reconstruction. Conan [3] proposed a method based on polar coordinates and logarithmic spectrum sampling to directly measure the slope of the Shack–Hartmann wavefront sensor (SH-WFS). This method considers the spatiotemporal statistical characteristics of the slopes, effectively generating optical turbulence slopes that conform to theoretical statistical properties. Yang Shangjun [4] proposed a new adaptive optics closed-loop control algorithm that combines the Zernike modes of a fast steering mirror (FSM) and a deformable mirror (DM) to improve the accuracy and range of wavefront correction. The relationship between the degree of wavefront distortion and atmospheric turbulence intensity, as well as the proportion of wavefront tilt components and turbulence intensity, was analyzed. Wu Jiali [5] used deep-learning techniques to estimate the missing information at the bad spots detected by the wavefront sensor in adaptive optics systems, thereby reducing the reconstruction error of distorted wavefronts. Ke Xizheng [6] proposed a model for the wavefront phase relationship of dual-wavelength Gaussian beams under weak turbulence conditions and suggested methods for compensating and correcting wavefront distortion differences. Han Meimiao [7] proposed a wavefront distortion correction method based on Zernike polynomial coefficients, which can effectively improve the accuracy of adaptive optics correction. This method has been validated through numerical simulations and experiments under strong turbulence conditions, significantly improving the correction accuracy of signal and beacon wavefronts. CHY A [8] proposed and experimentally verified a bi-directional WDM-FSO transmission system integrated into a PON network for wireless traffic and achieved a 1000 m free-space transmission length based on a practical power budget for each FSO signal. C. Bradley [9] developed a low-cost FSOC device with high bandwidth and stable data transmission. The FSOC device was also experimentally verified to be able to maintain a stable connection with high bandwidth over a distance of 1.4 km, which provides new possibilities for the development of future communication technologies.
This study aims to investigate the specific impact of atmospheric turbulence on the wavefront phase under different weather conditions and transmission distances through theoretical analysis and experimental measurements, revealing its variations under different environmental conditions. Three experimental links were established, and the Shack–Hartmann wavefront sensor was used to precisely measure the wavefront phase affected by atmospheric turbulence. Wavefront distortions were analyzed and compared using peak-to-valley values, root mean square (RMS) values, and the mean square error (MSE) of wavefront distortions. Local distortions were visually observed using Gaussian curvature images and their positive and negative curvature peaks. Finally, the study explored wavefront distortions under different wavelengths and temperatures, aligning with theoretical predictions.
2. Theoretical Analysis
The propagation of a beam through atmospheric turbulence involves complex physical processes, including optical phenomena such as intensity attenuation, intensity scintillation, and beam wander. The received optical field intensity can be expressed as [10].
where is the propagation path vector of light and is the received optical field intensity, which can be expressed as a combination of the amplitude and phase of the field intensity.
As a light beam propagates through atmospheric turbulence, its optical field is affected by the turbulence, leading to changes in both the phase and amplitude of the optical field. These changes are random and vary with time and space. To study the phase changes, a wavefront sensor can be placed at the receiving end to observe the wavefront phase distribution and variations on the receiving plane after the light beam has passed through atmospheric turbulence. The receiving end uses a centrally obscured Maksutov antenna, resulting in the wavefront sensor detecting an annular spot, as shown in Figure 1. Therefore, this paper employs annular Zernike polynomials to decompose the wavefront phase. Annular Zernike polynomials are a type of polynomial used to describe wavefront aberrations in optical systems. They are an extension of traditional Zernike polynomials, which are suitable for optical systems with annular apertures, such as telescopes with central obstructions. These polynomials are orthogonal within the annular region and can effectively represent wavefront aberrations for annular apertures. The wavefront sensor used in this study detects a spot array of 32 × 32, with the central dark spot array being 8 × 8. The ratio of the inner to outer diameter is 0.25, and the obscuration ratio is 0.25.
Figure 1.
Received spot.
According to the working principle of the Shack–Hartmann wavefront sensor, the spot array formed on the CCD target surface can be regarded as the focal point of each microlens, and the coordinates of each spot at this time will be (xc0, yc0). In this paper, the calibration accuracy of the Shack–Hartmann wavefront sensor is very important and will directly affect the measurement accuracy of the beam quality.
The actual laser beam will introduce more or less wavefront aberrations after passing through a series of optical systems and the atmosphere during the ejection process. This phase distortion of the beam is incident on the Shack–Hartmann wavefront sensor and the formation of spot arrays on the CCD target surface. The center-of-mass position of these spot arrays will deviate from the center-of-mass position of the spot arrays in the ideal plane wavefront. The offset of the spot center-of-mass coordinates (xc, yc), with respect to the calibrated origin (xc0, yc0), is calculated.
Then, the average slopes Gx and Gy of the wavefront phase of the incident beam in the x and y directions within the sub-aperture are
In Equations (4) and (5), f denotes the focal length of the microlens array, S is the subaperture area, and Δx and Δy are the offsets from the center reference point in the x and y directions, respectively. Based on the above equation, the slope of the wavefront is calculated, and then, the phase of the wavefront is calculated by reconstruction.
The wavefront phase can be expanded using annular Zernike polynomials as:
In the Equation (6), represents the th-order annular Zernike polynomial, represents the radius of the circle, is the obscuration ratio of the annular Zernike polynomial, defined as the ratio of the radius of the central obscured region to the radius of the unit circle, represents the coefficient of the th-order annular Zernike polynomial, and is the highest order of the selected annular Zernike polynomials.
Therefore, in this paper, annular Zernike polynomials are used for description, as shown in Equation (7) [11].
Here, represents the annular radial polynomial, is the normalized radial coordinate, denotes the imaginary unit, is the order of the annular Zernike polynomial, and represents the angular frequency. In Equation (3), is defined as [12].
Here, and are non-negative integers that satisfy , with being an even number.
The annular Zernike polynomial defined by Equation (6) is used to characterize the wavefront phase. Excluding the first term, which represents the translation coefficient, the annular Zernike coefficients can be expressed as:
The covariance matrix of is expressed as:
In Equation (10), is an matrix, represents the covariance of the and order of the annular Zernike polynomial coefficients. The covariance expression for any two of the annular Zernike polynomials and is:
Here, and are the radial and azimuthal orders of , and are the radial and azimuthal orders of . is the Gamma function, is the Kronecker delta, represents the aperture of the optical antenna, represents the atmospheric coherence length, and is known as the frequency characteristic factor, whose expression is given by [1].
In Equation (11), represents the intensity of atmospheric turbulence. For adaptive optical systems, it can indicate the degree of atmospheric disturbance. For optical systems with an aperture of less than one meter, indicates weak turbulence, indicates moderate turbulence, and indicates strong turbulence [13].
According to Kolmogorov theory, assuming that atmospheric turbulence is statistically homogeneous, isotropic, and temporally ergodic, the phase structure function can be expressed as the time average of the phase difference between two points on the receiving plane [14]. The phase structure function can be expressed as:
Here, represents the distance between and , denotes the average, and is the phase at a distance from the reference point.
In the Kolmogorov turbulence model, the form of the phase structure function is given by [14].
Here, represents the distance between two points on the wavefront, and is the Fried parameter, also known as the atmospheric coherence length, indicating the scale over which the wavefront phase is correlated.
Here, is the wave number, is the transmission distance, and is the atmospheric refractive index structure constant.
From Figure 2, it can be seen that, under the same turbulence intensity, as the distance between two points increases, continues to increase. When the distance between two points is fixed, decreases with the increase of and . When the fluctuation between two points is large, that is, the larger the , the smaller the , and the greater the degree of distortion.
Figure 2.
Relationship between and and at different distances.
3. Experimental Measurements
The system schematic of this experiment is shown in Figure 3. The transmitter uses a solid-state laser with a wavelength of 532 nm, an output power of 200 mW, and a beam diameter of 5 mm as the light source. The laser emits the light source, which enters the atmospheric channel through the transmitting antenna (both the transmitting and receiving optical antennas are Maksutov optical telescopes with an aperture of 105 mm). At the receiving end, the signal beam is received by the receiving antenna and passes through a collimating lens into a 4F beam-reducing and -collimating system composed of L1 (focal length: 135 nm) and L2 (focal length: 75 nm). Two polarizers are added in the middle of the beam-reducing and -collimating system to attenuate optical power and filter out the strong light reflected by objects. A wavefront sensor is placed behind the L2 lens for wavefront detection, and the measured information is output to a computer to observe the wavefront phase of the beam.
Figure 3.
Experimental schematic diagram.
The wavefront sensor used In this experiment Is the HASO4-FIRST Shack–Hartmann wavefront sensor manufactured by Imagine Optic (Orsay, France). It has an aperture size of 3.6 mm² × 4.6 mm², with 32 × 32 apertures. The sensor operates at wavelengths from 400 nm–1100 nm and a maximum acquisition frequency of 100 Hz. In order to accurately track turbulence, the sampling frequency of the sensor needs to satisfy the Nyquist sampling theorem, i.e., the sampling frequency must be at least twice the dominant frequency of the turbulence. For most atmospheric turbulent environments, the frame rate of modern Shack–Hartmann wavefront sensors is sufficient to track turbulence-induced changes in the environment and effectively measure wavefront aberrations induced by atmospheric turbulence [15].
The principle of operation of the Shack–Hartmann wavefront sensor is shown in the Figure 4. The Shack–Hartmann wavefront sensor consists of a beam reduction system, a microlens array, and a CCD, and the incident pupil is separated into many sub-apertures by the microlens array. Each microlens focuses the parallel light incident on it onto the detection range of the CCD to form a spot array. If the incident wavefront is an ideal planar wavefront, the spot formed by each microlens will fall accurately at its focal point. If there is an aberration in the incident wavefront, the spot formed by each microlens will be off its focal point in its focal plane. The subaperture spot offset of the measured wavefront relative to the reference wavefront reflects the slope of the wavefront of the incident wavefront within the subaperture. By measuring the offset of each sub-aperture spot, the phase of the incident wavefront over the full aperture range can be recovered by a dedicated algorithm. From the working principle of the Shack–Hartmann wavefront sensor, it can be seen that the wavefront detection accuracy of the Shack–Hartmann wavefront sensor mainly depends on the center-of-mass detection accuracy of each sub-aperture in the spot array. And the magnitude of the wavefront aberration is related to the degree of deviation. In Figure 4, Δx and Δy are the offsets from the center reference point in the x and y directions respectively.
Figure 4.
Operating schematic of Shack–Hartmann wavefront sensor.
The procedure for measuring wavefront aberrations is as follows:
- (1)
- First, ensure that the Shack–Hartmann wavefront sensor is calibrated. Place the wavefront sensor at the receiving end of the beam propagation and adjust the optical path so that the incident beam passes precisely through the microlens array;
- (2)
- Second, the beam passes through atmospheric turbulence and is incident on the microlens array. Turbulence-induced wavefront aberrations shift the spot on the detector. Plots of the spot distribution at different points in time are collected to record the dynamics;
- (3)
- Center-of-mass probing was again performed on the distribution of light spots recorded by the detector. The center position of each spot is calculated by means of the center-of-mass formula. Comparing the spot position with the reference position yields the local slope of the wavefront at each sub-aperture;
- (4)
- Finally, based on the wavefront slope, the complete wavefront phase is reconstructed using a specific wavefront reconstruction algorithm. The wavefront phase is visualized using computer software.
From January 2024 to July 2024, three experimental laser transmission measurement links of different distances were established in Xi’an, Shaanxi Province, and multiple measurement experiments were conducted. The three links are as follows.
For link 1, the transmitter is located on the 11th floor of Teaching Building 6 at the Jinhua Campus of Xi’an University of Technology, and the receiver is located on the 8th floor of Science Building No. 2 on the same campus. The link length is 0.42 km. The terrain along the link is mainly trees and buildings, with no obstructions in between. Link 1 (0.42 km) is mainly used to study the effects of near-ground turbulence and to simulate short-range scenarios such as urban communication. It is more reproducible, as the turbulence is mainly near-ground turbulence with fewer influencing factors.
For link 2, the transmitter is located on the rooftop of the Xinya Garden Community in Beilin District, Xi’an, and the receiver is located on the eighth floor of Science Building No. 2 at the Jinhua Campus of Xi’an University of Technology. The link length is 2 km. The terrain along the link is mainly streets and buildings, with no obstructions in between. Link 2 (2 km) represents more typical medium-distance transmission conditions for suburban or field medium-distance laser communication scenarios. The reproducibility is moderate, and the increase in propagation distance introduces more random turbulence effects. But, it is still mainly affected by the near-surface turbulence layer, and the experimental stability is high.
For link 3, the transmitter is located in Bailuyuan, Xi’an, and the receiver is located on the 12th floor of Teaching Building 6 at the Jinhua Campus of Xi’an University of Technology. The link length is 10.2 km. The terrain along the link is mainly trees, streets, and buildings, with no obstructions in between. Link 3 (10.2 km) is suitable for military long-range communications or high-altitude platform optical system scenarios. Repeatability is lower, due to the significant cumulative effect of long-distance propagation superimposed on the influence of high-altitude turbulence layers, as well as higher requirements for weather conditions and sensor accuracy.
Table 1, Table 2 and Table 3 provide the weather conditions for the experiments conducted on the three links. T1–T23 represent the 23 measurement samples.
Table 1.
Weather conditions for experiments on link 1 (0.42 km), T1~T11.
Table 2.
Weather conditions for experiments on link 2 (2 km), T12~T19.
Table 3.
Weather conditions for experiments on link 3 (10.2 km), T20~T23.
4. Experimental Study
4.1. Wavefront Phase Distribution
In optical systems, wavefront phase changes are directly related to the vibrational state of light waves, reflecting the deformation or displacement of the wavefront. Wavefront phase changes caused by atmospheric turbulence can lead to light-intensity scintillation, resulting in decreased signal quality, system performance degradation, and increased bit error rates. Using the annular Zernike polynomial, wavefront reconstruction can be performed on the measured data, allowing for the description and correction of these phase changes. The reconstructed wavefront phases and slopes of the three links are shown in Figure 5, Figure 6 and Figure 7. In all figures, the X and Y axes represent the lateral and longitudinal positions on the wavefront sensor reception plane, in units of pixels. The Z axis in the left figures represents the phase in units of μm. The right figures show the wavefront slopes, i.e., phase gradients, with red arrows indicating the direction and magnitude of the slopes.

Figure 5.
Wavefront phase (left) and slope (right) in link 1 under different weather conditions.

Figure 6.
Wavefront phase (left) and slope (right) in link 2 under different weather conditions.
Figure 7.
Wavefront phase (left) and slope (right) in link 3 under different weather conditions.
As shown in Figure 5, Figure 6 and Figure 7, in link 1, the wavefront phase diagrams under different weather conditions exhibit a convex parabolic shape in all weather conditions, except for Figure 5a, where the snowy condition shows a concave shape. This is primarily due to the scattering and absorption effects of snowflakes, leading to significant wavefront phase distortion and concave features. In Figure 5a under heavy rain and Figure 5f under snowy conditions, the edge regions of the wavefront phase diagrams show irregular undulations with irregular curvature, indicating more complex distortion. In contrast, the wavefront phase curvature under sunny (Figure 5a) and cloudy (Figure 5b) conditions is relatively smooth with no abrupt changes, with defocus aberration being the primary distortion type. The slope vector diagrams reveal that the vectors generally radiate outward from the center, with variations in density and direction. Under sunny (Figure 5a) and cloudy (Figure 5b) conditions, the slope vectors show no significant disturbances or irregularities, indicating fewer high-order aberrations. Under light rain (Figure 5c), heavy rain (Figure 5d), dust storm (Figure 5e), and snowy (Figure 5f) conditions, the slope vectors exhibit significant disturbances, indicating a large number of high-order aberrations and complex distortions. Overall, the wavefront distortion is minimal under sunny (Figure 5a) and cloudy (Figure 5b) conditions, with defocus aberration being the primary type. The curvature is smooth, and the slope vectors are regular, indicating minimal high-order aberrations, which have the least impact on optical wireless communication. The wavefront distortion is significant under light rain (Figure 5c), heavy rain (Figure 5d), dust storm (Figure 5e), and snowy (Figure 5f) conditions, with irregular curvature. The slope vectors show obvious disturbances and irregularities. Particularly under heavy rain (Figure 5d) and snowy (Figure 5f) conditions, the high-order aberrations increase significantly.
In link 2, as shown in Figure 6, the wavefront phase and slope diagrams are similar to those in link 1, with the wavefront phase diagrams under different weather conditions showing a convex parabolic shape. The slope vectors generally radiate outward from the center. In contrast, in link 3, shown in Figure 7a,b, the wavefront phase diagrams exhibit a concave parabolic shape. The reasons for this phenomenon are as follows. As the transmission distance increases, the effect of atmospheric turbulence on the wavefront becomes more significant. Phase distortions caused by turbulence accumulate with an increasing propagation distance, leading to more complex and severe phase variations. For a transmission distance of 10.2 km, the wavefront may experience stronger atmospheric turbulence, resulting in more pronounced concave distortions. Additionally, as the transmission distance increases, the beam gradually diffuses, reducing the coherence of the beam and degrading the quality of the wavefront. This diffusion effect can cause the wavefront phase diagram to exhibit concave or other complex forms of distortion. Changes in terrain can also cause variations in local airflows, particularly in long-distance transmission, where the wavefront may be affected by the turbulence formed by different terrains. In summary, the concave shape is mainly due to the cumulative effects of atmospheric turbulence, beam diffusion, and terrain conditions. At a transmission distance of 10.2 km, these factors become more pronounced, leading to the appearance of concave distortions in the wavefront.
4.2. Wavefront Phase Evaluation Metrics
Since wavefront isophase surfaces can most intuitively reflect the performance of adaptive optical system corrections on plane waves, this paper uses peak-to-valley (PV) and root mean square (RMS) values of the wavefront as evaluation metrics for the wavefront phase collected by the Shack–Hartmann wavefront sensor.
The peak-to-valley (PV) value of the wavefront represents the numerical difference between the highest and lowest points of the measured beam’s wavefront phase. That is, the difference between the maximum value (highest point) and the minimum value (lowest point) of the wavefront phase elements. Its definition is as follows.
Here, and represent the maximum and minimum values of the elements in the wavefront phase , respectively.
The root mean square (RMS) value of the wavefront represents the collection of deviations of each point on the wavefront isophase surface relative to the average value, describing the fluctuation degree of the phase values at each point within the optical receiving aperture. Its definition is as follows.
Here, is the average value of . is the number of valid elements in the wavefront phase.
The PV value of the wavefront only indicates the maximum defect level of the wavefront, without considering the proportion of this defect in the whole wavefront. Therefore, evaluating wavefront quality based solely on the PV value is not rigorous enough. In contrast, the RMS value of the wavefront emphasizes the overall information of the wavefront, reflecting the deviation of all points from their ideal positions. Thus, combining both metrics provides a more accurate representation of the wavefront condition. Figure 8 and Figure 9 present the PV and RMS values of the wavefront for three links, measured with 1000 sampling points.
Figure 8.
PV values of wavefront for samples from 3 links.
Figure 9.
RMS values of wavefront for samples from 3 links.
Based on Figure 8 and Figure 9 and Table 4 and Table 5, it is observed that different weather conditions affect the wavefront to varying degrees. In link 1, the mean values of the peak-to-valley (PV) and root mean square (RMS) wavefront values are lower under sunny and cloudy conditions. Among 4000 sampling points under sunny and cloudy conditions, the PV values fluctuate between 45 μm and 65 μm, accounting for 97.5%, while the RMS values fluctuate between 14 μm and 17.5 μm, accounting for 89.74%, indicating minimal distortion. In light rain, both the PV and RMS values increase, with the PV values fluctuating between 60 μm and 80 μm and accounting for 97.9%, and the RMS values fluctuating between 15 μm and 18 μm, accounting for 98% and indicating increased distortion due to light rain. The PV and RMS values under dust storm and snowy conditions are moderate. In a dust storm, the PV values fluctuate between 60 μm and 85 μm, accounting for 99.5% while the RMS values fluctuate between 18 μm and 20 μm, accounting for 97.9%. In snowy conditions, the PV values fluctuate between 60 μm and 85 μm, accounting for 99.5%, and the RMS values fluctuate between 16 μm and 20 μm, accounting for 99.3%. In heavy rain, the PV and RMS values increase significantly. The PV values fluctuate between 80 μm and 160 μm, accounting for 87.7%, and the RMS values fluctuate between 19 μm and 40 μm, accounting for 96.4%. These are the highest mean values, indicating severe wavefront distortion and the most significant wavefront aberrations. The level of distortion decreases in the order of heavy rain, dust storm, snowy conditions, light rain, sunny, and cloudy conditions. As the distance increases, the PV and RMS values of the wavefront under different weather conditions also increase, indicating that the distortion becomes more severe with distance.
Table 4.
Statistical distribution of PV values of the wavefront for measured samples.
Table 5.
Statistical distribution of RMS values of the wavefront for measured samples.
This pattern is also observed in links 2 and 3. From Figure 8a and Figure 9a, it is observed that, under heavy rain conditions, the measured samples T7 and T8 show abrupt changes in the PV and RMS values at around 420 and 800 sampling points. The PV values increase from 90 μm and 100 μm to 110 μm and 150 μm, respectively, and the RMS values increase from 23 μm and 25 μm to 27 μm and 40 μm. The causes of this phenomenon are as follows. Raindrops can cause significant turbulence in the air, disrupting the uniformity of the light wavefront and leading to higher values. In heavy rain, this effect is more pronounced due to the larger density and size of the raindrops. Dense raindrops can cause multiple absorption and scattering events, inducing and amplifying the phase shift of the light signal, leading to higher values and more distorted wavefronts. The intensity of heavy rain frequently fluctuates, causing rapid changes in the refractive index along the optical path, resulting in abrupt changes in the wavefront. In summary, atmospheric turbulence, scattering, absorption, and dynamic changes in the intensity of heavy rain collectively affect the light wavefront, leading to significant abrupt changes in its values. These factors interact and complexly interfere with signal transmission in optical wireless communication systems, exacerbating wavefront distortion.
4.3. Gaussian Curvature
The Gaussian curvature map shows the local curvature variations of the wavefront phase at each point, which can indirectly reflect the degree of wavefront distortion. In differential geometry, a positive curvature indicates that the surface at that point is spherical, a negative curvature indicates that the surface is saddle-shaped, and a zero curvature indicates that the surface is cylindrical or planar at that point [16]. Regions with greater distortion typically correspond to areas with higher absolute values of Gaussian curvature. The magnitude of the Gaussian curvature can be used to assess the degree of wavefront distortion. The calculation of Gaussian curvature generally relies on the second partial derivatives of the surface. The measured phase data is converted into a matrix form for ease of calculation. Let the wavefront phase matrix be denoted by . Then, the Gaussian curvature can be calculated using the following Equation (19).
Here, , and represent the second and first partial derivatives of the wavefront phase matrix , respectively, where and are the indices of the valid elements in the matrix rows and columns. The Gaussian curvature distribution map is drawn by calculating the measured data using Equation (18), and the wavefront distortion under different weather conditions is analyzed.
Figure 10, Figure 11 and Figure 12 show the Gaussian curvature maps for three links under different weather conditions, where (a–f) represent the Gaussian curvature maps for different weather conditions. The X and Y axes in the Figure 10, Figure 11 and Figure 12 represent the horizontal and vertical positions on the wavefront sensor’s receiving plane, with the units in pixels. The color in the right-side color scale indicates the magnitude of the Gaussian curvature at the corresponding position, with curvature units in μm−1. The brighter the color (yellow), the larger the curvature value. The darker the color (black), the smaller the curvature value, with negative values. Bright spots in the figure indicate areas with higher Gaussian curvature values, representing regions with significant wavefront deformation and the most severe local distortion.
Figure 10.
Gaussian curvature of measured samples in link 1.
Figure 11.
Gaussian curvature of measured samples in link 2.
Figure 12.
Gaussian curvature of measured samples in link 3.
4.3.1. Analysis of Wavefront Gaussian Curvature in Link 1
It is evident that, in Figure 10d (heavy rain) and Figure 10f (snowy conditions), the regions with the most significant local distortions are mainly concentrated at the edges, whereas in other weather conditions, they are concentrated in the central region. From Figure 10a, the Gaussian curvature map under sunny conditions shows a relatively uniform distribution, with slight fluctuations in the central region, but overall, there is little change. The wavefront distortion is relatively minor, indicating that atmospheric turbulence has a minimal impact on the wavefront under sunny conditions. In Figure 10b, the Gaussian curvature distribution under cloudy conditions shows little change compared to Figure 10a (sunny), remaining relatively uniform. This indicates that wavefront distortion is also minimal under cloudy conditions, similar to sunny conditions, with a minimal impact from atmospheric turbulence. In Figure 10c (light rain), the distribution is similar to that in Figure 10a,b (sunny and cloudy), but with increased curvature in the central region, as indicated by brighter central spots. This suggests that wavefront distortion increases under light rain compared to sunny and cloudy conditions. In Figure 10d (heavy rain), the Gaussian curvature map shows significantly increased fluctuations in the central region, indicating stronger wavefront distortion. The edge regions also show marked fluctuations, with distinct negative curvature areas. Heavy rain causes strong turbulence and scattering effects, significantly impacting wavefront quality. In Figure 10e (dust storm), the Gaussian curvature map exhibits significant local fluctuations, particularly in the central part of the image. Wavefront distortion is more pronounced under dusty conditions, likely due to the atmospheric dust particles causing more noticeable wavefront aberrations. In Figure 10f (snowy conditions), the Gaussian curvature map shows strong fluctuations, particularly more pronounced at the image edges, with regions of both positive and negative curvature peaks. The wavefront distortion is significant. The Gaussian curvature map reveals an uneven distribution, with changes in snowflakes causing numerous disturbances in the optical path, affecting wavefront smoothness.
Overall, by observing the bright spots in Figure 10a–f, it is found that, in all weather conditions, the areas with the most significant local distortion are located in the center or at the edges. In Figure 10b (cloudy), the central bright spot is the darkest, with the lowest curvature value, indicating minimal distortion. As weather conditions worsen (sunny, light rain, heavy rain, snowy, and dust storm), the central peak value increases, expands, and becomes more irregular, indicating increased wavefront distortion. Although Figure 10c (light rain) represents a precipitation condition, the Gaussian curvature distribution remains relatively uniform, with no significant wavefront distortion, indicating that light rain has a minimal impact on the wavefront. The Gaussian curvature distributions in Figure 10d (heavy rain), Figure 10e (dust storm), and Figure 10f (snowy) show significant fluctuations, especially in the central and edge regions, with markedly increased wavefront distortion. Heavy rain, dust storms, and snowy conditions have a substantial impact on the wavefront distortion.
4.3.2. Analysis of Wavefront Gaussian Curvature in Link 2
From Figure 11a, the Gaussian curvature map under sunny conditions shows high curvature regions at the edges, indicating significant wavefront distortion in these areas. The overall distribution is relatively uniform, but there are some minor fluctuations at the edges. In Figure 11b, the central curvature peak under cloudy conditions is reduced compared to Figure 11a (sunny), with the peak brightness dimmer and at a lower level, indicating limited atmospheric turbulence effects. The edge regions are relatively smoother, showing fewer fluctuations. In Figure 11c, the Gaussian curvature map under light rain conditions shows significant fluctuations in the central region, indicating increased wavefront distortion. There are slight fluctuations at the edges, and overall, the wavefront distortion is more pronounced than under sunny and cloudy conditions. In Figure 11d, the Gaussian curvature map under heavy rain conditions shows strong fluctuations, particularly in the central region and at the edges, with significantly increased wavefront distortion. Overall, compared to Figure 11a (sunny) and Figure 11b (cloudy), the wavefront distortion is more pronounced under light rain (Figure 11c) and heavy rain (Figure 11d), highlighting the significant impact of weather conditions on wavefront quality.
4.3.3. Analysis of Wavefront Gaussian Curvature in Link 3
From Figure 12a, the Gaussian curvature map under sunny conditions shows more pronounced fluctuations in the central and right regions, with curvature values higher than those in Figure 12b (cloudy). The wavefront distortion is more severe and complex, affecting a broader area. In Figure 12b, the Gaussian curvature map under cloudy conditions shows fluctuations in the central region, indicating noticeable distortion. Overall, at a transmission distance of 10.2 km, the wavefront distortion is significant under both sunny and cloudy conditions. However, the curvature values are higher under sunny conditions, with more complex wavefront distortion and a broader affected area.
4.4. Gaussian Curvature Positive and Negative Peak Values
The positive and negative peak values represent the local or global maximum positive and negative values of Gaussian curvature at that point or region, indicating significant changes in the wavefront in that area but in opposite directions. Both represent local changes in the wavefront surface. A positive peak value indicates that the wavefront surface at that point or region exhibits a strong convex characteristic, meaning the wavefront is bending outward at that point. The positive peak value indicates an enhancement in the convex characteristic and a positive change in the phase. A negative peak value indicates that the surface at that point or region exhibits a strong concave characteristic, meaning that the wavefront bends inward in one principal direction and outward in the other [16]. The negative peak value indicates an enhancement of the concave characteristic and a negative change in phase. After calculating the Gaussian curvature for each point using Equation (18), the maximum value (positive peak) and minimum value (negative peak) of Gaussian curvature are found by traversing all of the points. Figure 13, Figure 14 and Figure 15 show the positive and negative curvature peak values over 100 s under different weather conditions for the three links.
Figure 13.
Positive and negative Gaussian curvature peak values of measured samples in link 1.
Figure 14.
Positive and negative Gaussian curvature peak values of measured samples in link 2.
Figure 15.
Positive and negative Gaussian curvature peak values of measured samples in link 3.
Based on Figure 13, Figure 14 and Figure 15 and Table 6, Table 7 and Table 8, the positive peak values in link 1 decrease in the following order: snowy, dust storm, heavy rain, light rain, sunny, and cloudy. The negative peak values decrease in the order of cloudy, sunny, light rain, dust storm, heavy rain, and snowy. The local distortion is most severe under snowy conditions, with the highest mean and standard deviation for both positive and negative peak values, followed by heavy rain. The local distortion is minimal under cloudy conditions, with the lowest mean and standard deviation and the smallest changes in local distortion. The positive peak values fluctuate significantly under snowy and dusty conditions, indicating notable changes in local distortion. The positive peak values under snowy conditions are generally high, with a mean of 0.530 μm⁻1, indicating greater local wavefront distortion under snowy conditions. In contrast, the positive peak values are lowest and less variable under sunny and cloudy conditions, indicating minimal local distortion. Similarly, the negative peak values under snowy conditions are significantly lower than those in other weather conditions, at −0.850 μm⁻1, further indicating the substantial impact of snow on local wavefront distortion. Overall, the wavefront distortion is greatest under snowy and heavy rain conditions, with significant fluctuations in both the negative and positive peak values. The wavefront distortion is minimal under sunny and cloudy conditions, with smaller fluctuations in both the negative and positive peak values. The wavefront distortion under light rain and dusty conditions is intermediate between sunny and heavy rain conditions. The degree of local wavefront distortion decreases in the order of snowy, heavy rain, dust storm, light rain, sunny, and cloudy.
Table 6.
Statistical distribution of positive and negative Gaussian curvature of samples for link 1.
Table 7.
Statistical distribution of positive and negative Gaussian curvature of samples for link 2.
Table 8.
Statistical distribution of positive and negative Gaussian curvature of samples for link 3.
In link 2, the positive peak values decrease in the order of light rain, heavy rain, sunny, and cloudy. The negative peak values decrease in the order of cloudy, sunny, light rain, and heavy rain. Under heavy rain conditions, the fluctuations are strong, with standard deviations of 0.106 μm⁻1 for the positive peak values and 0.21 μm⁻1 for the negative peak values, significantly higher than in other weather conditions and indicating the greatest local distortion. The positive peak values under light rain are higher than those under heavy rain, indicating a greater positive local wavefront distortion in light rain. Overall, the wavefront distortion is greatest under heavy rain conditions, with the largest fluctuations in both the negative and positive peak values. The positive peak values fluctuate more under light rain, but the negative peak values fluctuate less. The wavefront distortion is minimal under sunny and cloudy conditions. The degree of local wavefront distortion decreases in the order of heavy rain, light rain, sunny, and cloudy.
In link 3, the positive peak values decrease in the order of sunny and cloudy, while the negative peak values decrease in the order of cloudy and sunny. The positive peak values fluctuate more under cloudy conditions, and the negative peak values fluctuate more under sunny conditions, indicating significant changes in local distortion. The degree of local wavefront distortion decreases in the order of sunny and cloudy.
4.5. Mean Square Error of Wavefront Distortion
Wavefront distortion can be decomposed using annular Zernike polynomials, where the annular Zernike coefficients represent the contribution of each annular Zernike polynomial to the wavefront distortion. The mean square error (MSE) of wavefront distortion is directly related to these annular Zernike coefficients [17]. Specifically, the MSE of wavefront distortion is proportional to the sum of the squares of the annular Zernike polynomial coefficients with the proportionality constant . The proof is as follows.
The MSE of wavefront distortion is defined as the average of the square integral of the wavefront distortion over the entire annular region. It is specifically expressed as:
Here, is the area of the annular region. The area of the annular region can be expressed as:
Here, is the obscuration ratio of the annular Zernike polynomial. Substituting Equations (6) and (20) into Equation (19):
Here, represents the coefficient of the th-order annular Zernike polynomial, represents the th-order annular Zernike polynomial, and is the highest order of the selected annular Zernike polynomials. Since annular Zernike polynomials are orthogonal and normalized over the annular region, they satisfy:
Here, is the Kronecker delta function, which is one when and zero when . Therefore, by expanding and simplifying Equation (19), we obtain:
Since is one only when and zero otherwise, the above expression can be simplified to:
The proof process from Equation (19) to Equation (24) demonstrates the relationship between the mean square error (MSE) of wavefront distortion and the annular Zernike coefficients, indicating that the MSE of wavefront distortion is proportional to the sum of the squares of the annular Zernike polynomial coefficients, with the proportionality constant . When studying wavefront distortion, the magnitude of the MSE can reflect the extent of atmospheric turbulence’s impact on wavefront quality. A larger MSE indicates more severe wavefront distortion. Figure 16 shows the results of the MSE of wavefront distortion for the first 30 orders, calculated over a 300 s measurement period using Equation (24).
Figure 16.
MSE of wavefront distortion in measured samples.
Based on Figure 16 and Table 9, Table 10 and Table 11, in link 1, the MSE of the wavefront distortion fluctuates relatively little under sunny and cloudy conditions, indicating more stable wavefront quality. In contrast, the MSE fluctuates more under light rain, heavy rain, dust storm, and snowy conditions, with the mean values for dust storm and snowy conditions being close, but the standard deviation is higher under dust storm conditions, indicating greater variability than under snowy conditions. Particularly under heavy rain, the MSE of wavefront distortion reaches a maximum of 101.67 μm2, a minimum of 43.17 μm2, and a standard deviation of 13.13 μm2, which are significantly higher than under other weather conditions, indicating that severe weather has a substantial impact on wavefront quality. The magnitude of the MSE of wavefront distortion decreases in the following order: heavy rain, dust storm, snowy, light rain, sunny, and cloudy conditions.
Table 9.
Statistical distribution of MSE of wavefront distortion in measured samples for link 1.
Table 10.
Statistical distribution of MSE of wavefront distortion in measured samples for link 2.
Table 11.
Statistical distribution of MSE of wavefront distortion in measured samples for link 3.
In link 2, the MSE of the wavefront distortion remains relatively stable and low under sunny conditions compared to other conditions, with less wavefront distortion. The MSE under sunny conditions is slightly higher than under cloudy conditions, indicating more wavefront distortion on sunny days. Compared to sunny and cloudy conditions, the MSE of the wavefront distortion increases significantly under light rain, leading to more severe wavefront distortion. The MSE is highest under heavy rain, indicating the most severe wavefront distortion. The magnitude of the MSE of wavefront distortion decreases in the following order: heavy rain, light rain, sunny, and cloudy conditions.
In link 3, the MSE of wavefront distortion is consistently higher under sunny conditions than under cloudy conditions, with greater variability, indicating more wavefront distortion on sunny days. Under cloudy conditions, the MSE of the wavefront distortion shows some fluctuations, but it generally remains at a lower level compared to sunny conditions. This suggests that cloudy conditions cause less wavefront distortion, maintaining better optical quality. The magnitude of the MSE of the wavefront distortion decreases in the following order: sunny and cloudy conditions.
4.6. Analysis of the Effects of Wavelength and Temperature on Wavefront Distortion
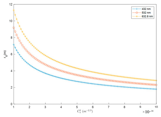
The Fried parameter is an important parameter used to describe the impact of atmospheric turbulence on optical wavefronts, also known as the atmospheric coherence length. It is typically denoted by , representing the scale of the relatively uniform region through which a light beam propagates in the atmosphere. Specifically, the larger the Fried parameter, the smaller the wavefront distortion. Conversely, the smaller the Fried parameter, the greater the wavefront distortion. According to Equation (15), the relationship between and under different wavelength conditions is derived.
From Figure 17, it is evident that the curve for longer wavelengths is significantly higher than that for shorter wavelengths. Under the same conditions, the greater the wavelength, the larger the and the smaller the wavefront distortion. The impact of atmospheric turbulence on light wave propagation depends on the wavelength. Shorter wavelength beams are more affected by turbulence, leading to a more significant phase distortion.
Figure 17.
Relationship between and under different wavelength conditions.
To study the variation in wavefront distortion under different wavelengths, wavefront measurements were conducted on link 1 at 21:00 on 2 July 2024 under clear sky conditions, with an external temperature of 28 °C and using lasers with wavelengths of 632.8 nm, 532 nm, and 432 nm.
The experimental results show that, under the same turbulence conditions, the overall magnitude of wavefront distortion decreases as the wavelength increases, but the complexity and local variations of the distortion patterns do not exhibit a consistent reduction. Under the 632.8 nm condition, compared to the 532 nm and 432 nm conditions, the peak-to-valley value, root mean square value, and mean square error of the wavefront distortion vary within a small range. This indicates that the temporal stability of wavefront distortion at longer wavelengths is better, suggesting that atmospheric turbulence interferes less with long waves than with short waves. This means that phase fluctuations are greater at shorter wavelengths than at longer wavelengths, which is consistent with the previous conclusion and is significant for long-term observation or communication.
Additionally, temperature also affects the wavefront. Generally, an increase in temperature leads to a decrease in air density and refractive index, which alters the refractive path of light waves, thereby affecting the shape of the wavefront. As shown in Figure 18, under the same wavelength conditions, all metrics increase as the temperature rises, with rapid changes in the wavefront and corresponding increases in the wavefront distortion. The degree of distortion increases with rising temperatures at the same wavelength.
Figure 18.
Wavefront analysis at different wavelengths.
4.7. Discussion of Results
Differences in the phase of the wavefront measured under different environmental conditions are mainly attributed to differences in the properties of different interfering materials in the atmosphere. On rainy days, for example, water droplets in the air lead to higher RMS values and more irregular phase fluctuations through enhanced scattering and refraction effects. This phenomenon is consistent with the Mie scattering theory that larger particulate matter causes more severe wavefront aberrations. In contrast, in dusty and snowy weather, particulate matter causes increased irregularities in the light field, mainly through scattering and partial absorption. In contrast, under clear-sky conditions, thermal turbulence due to temperature gradients is the main source of wavefront aberrations, with a large number of small-scale turbulent eddies causing random phase ups and downs. In addition, the statistical analyses show that the RMS values are positively correlated with humidity, particle density, and wind speed, which further indicates the complex effect of environmental conditions on wavefront aberrations. Through these analyses, we reveal the physical nature of wavefront aberrations and their environmental relevance, providing insight into the propagation properties of light waves in atmospheric turbulence.
Differences in wavefront aberration assessment metrics reveal the complex effects of turbulent conditions on optical wavefronts. For example, peaks and valleys (PV) reflect extreme differences in the phase of the wavefront, which are significantly higher in rainy, dusty, and snowy weather due to localized scattering and refraction by water droplets or particulate matter. Meanwhile, stable conditions such as cloudy skies have a lower PV and a more homogeneous wavefront. The root mean square (RMS) value is more concerned with the overall quality of the wavefront. On rainy days, the large number of water droplets in the air leads to an increase in the overall aberration of the wavefront and a significant increase in the RMS value. Under cloudy conditions, the RMS value is lower, and the overall deviation of the wavefront is smaller. Gaussian curvature provides an analysis of the degree of local curvature of the wavefront, showing the effect of turbulence strength on the local aberrations of the wavefront. For example, the local curvature fluctuates significantly in severe weather, such as sandy and dusty conditions, whereas under conditions such as sunny or cloudy days, the curvature distribution of the wavefront is smoother.
5. Conclusions
This study established three measurement links and analyzed the peak-to-valley values, root mean square values, Gaussian curvature, positive and negative Gaussian curvature peak values, and mean square error of wavefront distortion under the influence of actual atmospheric turbulence. The following conclusions were drawn.
- (1)
- The peak-to-valley value and root mean square value of the wavefront increase with the transmission distance. The peak-to-valley value, root mean square value, and mean square error of the wavefront distortion decrease in the order of heavy rain, dust storm, snowy, light rain, sunny, and cloudy conditions;
- (2)
- Using Gaussian curvature to describe the wavefront, it was found that the local wavefront distortion decreases in the order of snowy, heavy rain, dust storm, light rain, sunny, and cloudy conditions across the three links. In all weather conditions, more significant distortions typically occur in the central and edge regions, with the most intense changes in these areas;
- (3)
- Under the same turbulence conditions, the overall magnitude of wavefront distortion decreases as the wavelength increases, with the phase fluctuations being greater at shorter wavelengths than at longer wavelengths.
Author Contributions
Conceptualization, X.K. and X.H.; Data curation, X.K. and X.H.; Formal analysis, X.K.; Funding acquisition, X.K. and J.L.; Investigation, X.K.; Methodology, X.K. and X.H.; Project administration, X.H.; Resources, X.H.; Software, X.H.; Supervision, X.K.; Validation, X.K., X.H., J.L. and R.W.; Writing—original draft, X.H.; Writing—review and editing, X.K., X.H., J.L. and R.W. All authors have read and agreed to the published version of the manuscript.
Funding
The National Natural Science Foundation of China [No.61377080]; the Special Research Program of Shaanxi Provincial Department of Education [22JK0530]; the Xi’an Science and Technology Plan Project [No.23KGDW0018-2023]; the Natural Science Basic Research Program of Shaanxi [Program No.2024JC-YBMS-557, 2024JC-YBMS-562]; Shaanxi Fundamental Science Research Project for Mathematics and Physics [Grant No.23JSQ024]; the Key Industrial Innovation Projects in Shaanxi Province [No.2017ZDCXL-GY-06-01]; the Xi’an Science and Technology Plan [22GXFW0115]; and the Scientific Research Team of Xi’an University [D202309].
Institutional Review Board Statement
Not applicable.
Informed Consent Statement
Not applicable.
Data Availability Statement
The data presented in this study are available on request from the corresponding author due to limitations of our patent work.
Conflicts of Interest
The authors declare no conflicts of interest.
References
- Ke, X.Z.; Deng, L.J. Optical Wireless Communication; Science Press: Beijing, China, 2016. [Google Scholar]
- Silbaugh, E.E.; Roggemann, M.C.; Welsh, B.M. Characterization of atmospheric turbulence phase statistics using wave-front slope measurements. J. Opt. Soc. Am. A 1996, 13, 2453–2460. [Google Scholar] [CrossRef]
- Conan, R. Random generation of the turbulence slopes of a Shack–Hartmann wavefront sensor. Opt. Lett. 2014, 39, 1390–1393. [Google Scholar] [CrossRef] [PubMed]
- Yang, S.J.; Ke, X.Z. Experimental study on adaptive optical wavefront correction with dual mirrors in free space optical communication. Optik 2021, 242, 167146. [Google Scholar] [CrossRef]
- Wu, J.; Ke, X.; Kang, W.; Liang, J.; Ke, C. Study on the difference of wavefront distortion on beams caused by wavelength differences in weak turbulence region. Photonics 2023, 10, 725. [Google Scholar] [CrossRef]
- Wu, J.L.; Liang, J.Y.; Fei, S.; Zhong, X. Technique for Recovering Wavefront Phase Bad Points by Deep Learning. Chin. J. Electron. 2023, 32, 303–312. [Google Scholar] [CrossRef]
- Han, M.M.; Ke, X.Z.; Liang, J. Study on the Difference in Wavefront Distortion on Beams Caused by Wavelength Differences in the Strong Turbulence Region. Appl. Sci. 2024, 14, 4692. [Google Scholar] [CrossRef]
- Yeh, C.H.; Guo, B.S.; Chang, Y.J.; Chow, C.W.; Gu, C. Bidirectional free space optical communication (FSO) in WDM access network with 1000-m supportable free space link. Opt. Commun. 2019, 435, 394–398. [Google Scholar] [CrossRef]
- Bradley, C.; Ruff, E. 1.4 km Free Space Optical Communication Bit Error Rate Measurements over a 48h period at 10Gbit/s. In Proceedings of the Applications of Lasers for Sensing and Free Space Communications, Prague, Czech, 23–27 October 2022; Optica Publishing Group: Washington, DC, USA, 2022; p. LsTh1C-4. [Google Scholar]
- Zhu, X.; Kahn, J.M. Free-space optical communication through atmospheric turbulence channels. IEEE Trans. Commun. 2002, 50, 1293–1300. [Google Scholar]
- Noll, R.J. Zernike polynomials and atmospheric turbulence. JosA 1976, 66, 207–211. [Google Scholar] [CrossRef]
- Jiang, W.H.; Yan, P.Y.; Li, M.Q.; Dai, Z.C. Adaptive optics real-time atmospheric turbulence compensation experiment. J. Opt. 1990, 6, 558–564. [Google Scholar]
- Liu, C.; Chen, S.; Li, X.; Xian, H. Performance evaluation of adaptive optics for atmospheric coherent laser communications. Opt. Express 2014, 22, 15554–15563. [Google Scholar] [CrossRef] [PubMed]
- Li, M.; Zhang, P.; Han, J. Methods of atmospheric coherence length measurement. Appl. Sci. 2022, 12, 2980. [Google Scholar] [CrossRef]
- Rao, C.H.; Jiang, W.H.; Ling, N. Measurement of atmospheric turbulence parameters by applying Hartmann-Shack wavefront sensor. J. Opt. 2000, 09, 1201–1207. [Google Scholar]
- Richard, J.L. Detection of zones of abnormal strains in structures using Gaussian curvature analysis. AAPG Bull. 1994, 78, 1811–1819. [Google Scholar]
- Aghajani, A.; Kashani, F.D.; Yousefi, M. Laboratory study of aberration calculation in underwater turbulence using Shack-Hartmann wavefront sensor and Zernike polynomials. Opt. Express 2024, 32, 15978–15992. [Google Scholar] [CrossRef]
Disclaimer/Publisher’s Note: The statements, opinions and data contained in all publications are solely those of the individual author(s) and contributor(s) and not of MDPI and/or the editor(s). MDPI and/or the editor(s) disclaim responsibility for any injury to people or property resulting from any ideas, methods, instructions or products referred to in the content. |
© 2025 by the authors. Licensee MDPI, Basel, Switzerland. This article is an open access article distributed under the terms and conditions of the Creative Commons Attribution (CC BY) license (https://creativecommons.org/licenses/by/4.0/).