Next Article in Journal
Experimental Study of Compression Behavior on Monolayer FFF Samples
Previous Article in Journal
VidBlock: A Web3.0-Enabled Decentralized Blockchain Architecture for Live Video Streaming
 
 
Font Type:
Arial Georgia Verdana
Font Size:
Aa Aa Aa
Line Spacing:
Column Width:
Background:
Article

Reliability Analysis of Vehicle Braking System Based on Hyperellipsoidal Dynamic Bayesian Network

School of Urban Railway Transportation, Shanghai University of Engineering Science, No. 333, Long-Teng Road, Shanghai 201620, China
*
Authors to whom correspondence should be addressed.
Appl. Sci. 2025, 15(3), 1290; https://doi.org/10.3390/app15031290
Submission received: 13 December 2024 / Revised: 13 January 2025 / Accepted: 22 January 2025 / Published: 26 January 2025
(This article belongs to the Section Transportation and Future Mobility)

Abstract

Brake systems are subjected to various factors such as wear and fatigue over a long period of time. They bring a great challenge to the reliability analysis of the braking system. In this paper, the hyperellipsoid model is used and the hyperellipsoid dynamic Bayesian network model is constructed. The model synthesizes the strengths of the dynamic Bayesian network with the precise constraint capability of the superellipsoid model, offering a novel methodology for the reliability analysis of the braking system. In order to verify the validity of the super ellipsoidal dynamic Bayesian network model, this paper applies it to the reliability analysis of the braking system and compares it with the traditional interval Bayesian network. The results show that the hyperellipsoidal dynamic Bayesian network model enhances the range accuracy of the probability intervals by 54.06%. This solves the conservatism problem of interval Bayesian networks. This suggests that the method improves the accuracy of brake system reliability analysis.

1. Introduction

The braking system directly affected the safety and efficiency of the vehicle operational. It is imperative not to underestimate the potential risks associated with brake system failure, as it may result in emergency braking failure, operational delays, and even safety accidents. These incidents could have grave consequences for the lives and properties of passengers and the general public. Therefore, it is of paramount importance to conduct a comprehensive and in-depth reliability analysis of the braking system of rail vehicles.
Traditional reliability analysis methods, such as fault tree analysis (FTA), have demonstrated certain advantages in evaluating the reliability of general complex systems. However, the limitations of FTA are increasingly evident when applied to highly complex systems with diverse failure modes, such as vehicle braking systems. In particular, based on the two-state assumption, it is challenging to comprehensively capture the intricate and variable fault states in the braking system and their dynamic effects on one another. Furthermore, the limitations of FTA in addressing dynamic systems have limited its extensive application in braking system reliability assessment. To address these challenges, researchers have actively sought to develop enhanced methodologies, such as the T-S fuzzy fault tree analysis approach. This method employs fuzzy theory to provide a fuzzy description of the failure rate and probability of failure and introduces a polymorphic representation through the use of T-S gates, thereby offering a novel perspective for the reliability analysis of complex systems [1]. However, the T-S fuzzy fault tree still encounters significant challenges in terms of computational complexity and the ability to conduct dynamic analysis when dealing with complex systems [2].
In order to significantly improve the precision and processing efficiency of reliability analysis, particularly when confronted with high-dimensional and nonlinear data, this paper proposes the hyperellipsoid model. As an efficient data fusion and dimensionality reduction technique, the hyperellipsoid model can accurately capture the intrinsic structure of the data, construct a multi-dimensional hyperellipsoid space, and map the original complex high-dimensional data into this space. The shape, size, direction, and other geometric characteristics of the superellipsoid effectively characterize the essential features of the data. In the reliability analysis of the braking system of rail vehicles, the multidimensional fault data of the braking system is processed in depth to accurately extract the key fault characteristics and significantly reduce the data dimensionality, thereby enhancing the efficiency of the analysis while improving the accuracy of the data analysis [3].
At present, the T-S fault tree model is the prevailing approach in the field of reliability analysis. Although the T-S fault tree model has been demonstrated to be effective in a multitude of application scenarios, there are still some limitations, such as insufficient ability to capture the dynamic characteristics of complex systems, limitations in uncertainty and ambiguity handling, and the potential for computational complexity and loss of accuracy when dealing with high-dimensional data. To address these issues, this paper proposes a hyperellipsoidal dynamic Bayesian modeling approach to assess system reliability accurately. The vehicle braking system is used as an illustrative example to demonstrate how the limitations of the traditional FTA method, specifically the three-state assumption and multistate representation, can be overcome. Additionally, the proposed approach addresses the assessment challenges associated with the high complexity and dynamic characteristics of the braking system. The method integrates three key elements: the data dimensionality reduction and uncertainty description capability of the hyperellipsoid model, the polymorphic representation advantage of the T-S polymorphic fault tree, and the dynamic inference function of the dynamic Bayesian network (DBN). First, the fundamental framework for system reliability assessment is established through the use of a Bayesian network. Subsequently, the geometric properties of the hyperellipsoid are employed to more accurately represent the uncertainty factors present in the braking system, thereby enhancing the precision of the reliability assessment. Ultimately, the robust dynamic analysis capability of the DBN facilitates a comprehensive understanding of the dynamic reliability of the braking system. This method provides a foundation for the optimal design of the braking system and the development of an evidence-based maintenance strategy.

2. Basic Theory of Reliability Analysis

2.1. Dynamic Bayesian Networks

In evaluating the dependability of dynamic or intricate systems, Bayesian Networks (BN), as static models, may exhibit certain constraints [4]. In contrast, a Dynamic Bayesian Network (DBN) is better able to capture the dynamic behavior of a system with greater accuracy. When forecasting future reliability, DBN nodes must be configured due to the temporal characteristics involved. A DBN is an extension of BN that is capable of representing dynamic systems by interrelating variables between neighboring time steps [5]. In particular, a DBN comprises multiple instances of the same variable, each denoting a distinct temporal state of the variable. As a robust tool for representing dynamic systems, the DBN has been extensively employed in the domain of reliability prediction. In the construction of a first-order dynamic Bayesian network, the Markov assumption and the chi-squaredness assumption are typically adhered to. This entails that the state at the current moment is solely related to the state at the previous moment, and that the probability of state transfer at any given moment remains constant. This form of DBN is frequently designated as 2TBN (2 Time-slice Temporal Bayesian Network) [6]. Consequently, a DBN model is defined as a pair (B1, B−), where B1 represents a time-slice of the BN model with a priori probabilities defined, and B− represents a 2TBN, defined through a table of state transfer probabilities, as illustrated in Equation (1) [7].
The three-parameter Weibull function is a continuous probability distribution with a probability density function:
P ( X t X t 1 ) = i = 1 N P ( X t i P a ( X t i ) )
where X t i refers to the ith node at the moment t(i = 1, 2, …, N), the ith node and Pa( X t i ) refer to the parent node of X t i . By expanding 2TBN to T time slices, the joint distribution probability is obtained as the following:
P ( X 1 T ) = t = 1 T i = 1 N P ( X t i P a ( X t i ) )
where T is the number of time slices and P(X1−T)) is the joint distribution probability from time slice 1 to T.
This paper examines the application of dynamic Bayesian networks to the reliability analysis of multi-state systems, with a particular emphasis on the definition of root node fault states and their evolutionary properties over operational time [8]. Specifically, the theoretical framework of the T-S multistate fault tree is integrated to categorize the fault states of the root node into three levels: normal operating state (N), minor fault state (M), and severe fault state (S). This categorization provides a clear description of the diversity and complexity of fault modes and establishes a robust foundation for subsequent fault prediction and management [9].
In developing the DBN model to simulate the dynamic alterations in equipment status throughout the course of vehicle operation, this paper makes the following pivotal assumptions, which are based on an analysis of the existing literature [7,8,9]:
(1)
Random transitions of basic event states: It is assumed that the basic events in the system (i.e., the root nodes of the DBN) have the potential to transition randomly to a severe failure state during the operation cycle. This assumption reflects the objective law of natural degradation of equipment performance over time in the actual operating environment, emphasizing the randomness and unpredictability of fault escalation.
(2)
Instant observability: The current degradation state of the equipment can be observed with precision and expediency through a series of system parameters, with the associated time cost deemed to be insignificant. This assumption guarantees the punctuality and efficacy of condition monitoring and offers the opportunity to implement timely maintenance procedures.
(3)
Constancy and exponential distribution of state transfer rate: It is assumed that the state transfer rate remains constant and that the transfer between states follows the law of exponential distribution. This mathematical simplification not only facilitates the establishment and solution of the model but also aligns with the typical characteristics of numerous actual physical processes, wherein the failure rate fluctuates over time.
(4)
Regular maintenance of the full recovery: Following the implementation of regular maintenance procedures, it is assumed that the state of all equipment can be restored to its original, intact state. This assumption reflects the significant impact of maintenance activities on system reliability, and simplifies the assessment of the maintenance effect, facilitating the incorporation of the impact of maintenance strategies in the model.
By establishing these assumptions, this paper not only offers theoretical justification for the application of DBN in the reliability analysis of multi-state systems but also establishes a robust logical foundation for the construction and empirical analysis of subsequent models.

2.2. Hyperellipsoid Model

As a significant subcategory of convex set models within the domain of nonprobabilistic reliability, hyperellipsoid models possess the distinctive advantage of being constructable in a time-efficient manner, contingent upon the availability of a clearly delineated set of uncertain event boundaries [10]. In comparison to other complex models, the hyperellipsoid model is distinguished by its simplicity of structure and moderate demand for uncertain information. Of particular significance is the model’s capacity to capture and reflect the correlation characteristics among variables, which is a crucial aspect in mitigating the potential for over-conservative results that fuzzy Bayesian networks may produce when performing system analysis or evaluation [3].
The fundamental premise of the hyperellipsoid model is the utilization of distance as a metric for deviation. In particular, it quantifies uncertainty by mapping random vectors to a normalized space and calculating the distance from the origin of these vectors to the surface of the failed structure in unit sphere coordinates. The specific formulation of the hyperellipsoid model is as follows:
P h x 1 a 1 P m x 1 a 1 P r x 1 a 1 , , P h x n a n P m x n a n P r x n a n · P h x 1 a 1 P m x 1 a 1 P r x 1 a 1 , , P h x n a n P m x n a n P r x n a n T 1
where P h x i a i is the failure interval, P m x i a i = P L x i a i +   P U x i a i 2 is the nominal value of P h x i a i , and P r x i a i = P L x i a i P U x i a i 2 is the deviation of P h x i a i .
In comparison to the fuzzy Bayesian network model, the hyper-ellipsoid model lacks certain extreme regions that are unlikely to occur in reality. The probability of occurrence is inversely proportional to the number of root nodes. The two-dimensional hyper-ellipsoid model is contrasted with the interval model in Figure 1 [11].
The vector is introduced with the objective of ensuring that the failure probability of the root node falls within the hyperellipsoid domain of Equation (3), which is expressed as follows:
z = D 1 P
z = ( Z 1 , Z 2 , , Z n ) T
D = d i a g ( P r x 1 a 1 , P r x 2 a 2 , , P r x n a n )
P = ( P h x 1 a 1 , P h x 2 a 2 , , P h x n a n )
z z 0 T ( z z 0 ) 1
z 0 = P m x 1 a 1 P r x 1 a 1 , P m x 2 a 2 P r x 2 a 2 , , P m x n a n P r x n a n
From Equation (8), the root node failure interval is randomly valued inside the hyperellipsoid space of z = z z 0 . If r , θ 1 , θ 2 , , θ n 1 , r 0,1 ,   θ i [ 0,2 π ] are the coordinates of the unit hyperellipsoid. The Equation is formulated as a new hyperellipsoid model:
z z 0 = r cos θ 1 r sin θ 1 cos θ 2 r sin θ 1 sin θ 2 sin θ n 2 cos θ n 1 r sin θ 1 sin θ 2 sin θ n 2 sin θ n 1
From Equations (3)–(10), the failure probability of xi is expressed as the following:
P h x 1 a 1 = P r x 1 a 1 r cos θ 1 + P m x 1 a 1 P h x 2 a 2 = P r x 2 a 2 r sin θ 1 cos θ 2 + P m x 2 a 2 P h x n 1 a n 1 = P r x n 1 a n 1 r sin θ 1 sin θ 2 sin θ n 2 cos θ n 1 + P m x n 1 a n 1 P h x n a n = P r x n a n r sin θ 1 sin θ 2 sin θ n 2 sin θ n 1 + P m x n a n

2.3. Fuzzy Theory

In engineering practice, the presence of numerous uncertainties presents a significant challenge to the safety and reliability of systems. The traditional Bayesian network employs conditional probability tables to express the likelihood of event occurrence in a binary manner. However, this simplified treatment often proves inadequate for fully reflecting the true state of complex systems. To address this limitation, this paper introduces the T-S polymorphic fault tree method, which achieves a more detailed and practical representation of system behavior by employing flexible T-S gate rules to construct conditional probability tables in Bayesian networks. Nevertheless, in practical engineering applications, the precise values of the T-S gate rules (i.e., conditional probability tables) are frequently challenging to ascertain directly from observational data, particularly in the absence of sufficient historical data support [12].
In response to this challenge, this paper puts forth a solution informed by the expertise of professionals in the field. In instances where direct numericalization of the T-S gate rules is not a viable option, a group decision-making approach is employed to gather the knowledge and judgment of multiple experts, with the aim of deriving these rules. In order to transform the subjective evaluations of the experts into quantifiable probability values, this paper introduces the concept of fuzzy set theory. This method permits the utilization of fuzzy affiliation functions to transform experts’ fuzzy evaluations into concrete probability estimates, thereby providing a reliable foundation for the construction of T-S gate rules.
(1)
Determine the fuzzy linguistic evaluation level and the corresponding fuzzy probability.
In order to obtain the T-S gate rule for each non-bottom event, a 7-level expert language variable is employed as a means of relating the expert’s judgment to the fuzzy number. The probability of occurrence and the degree of affiliation are based on the different evaluation languages [13]. The natural language levels are as follows: “Very High”, “High”, “Fairly High”, “Medium”, “Fairly Low”, “Low”, and “Very Low”. The corresponding fuzzy number form is shown in Table 1.
(2)
The fuzzy probabilities assigned by each expert are then combined.
The evaluations given by the experts are used to obtain the corresponding fuzzy numbers in each form, and then the evaluations are combined to obtain a unified fuzzy number. This process often uses the arithmetic average method and weighted average method, taking into account the experts’ familiarity with the field, engineering application capabilities, and other aspects that may have many differences, which lead to different degrees of fit of their respective evaluation information to the problem, give each expert different evaluation weights, and come to the evaluation results comprehensively.
There are two principal methods for determining the weights: subjective and objective. This paper employs the objective method for synthesizing the evaluation of each expert. The weight of each expert is calculated by determining the degree of similarity between the evaluation fuzzy number of each expert and the evaluation fuzzy number resulting from the averaging process. A higher degree of similarity indicates a higher quality of the expert evaluation, which is reflected in a higher corresponding weight. Conversely, a lower weight is assigned to the expert. The method is weighed by the differences in evaluation among experts, effectively avoiding the potential issue of an expert’s own weight being disproportionately large, which could lead to significant discrepancies in the evaluation results and introduce uncertainty into the overall assessment. The specific calculation process is as follows:
If n experts evaluate the probability parameter P l y b j in the T-S gate rule l for a non-bottom event, and synthesize the expert evaluation information, the trapezoidal fuzzy number F k , l , y b j = ( F k , l , y b j 1 , F k , l , y b j 2 , F k , l , y b j 3 , F k , l , y b j 4 , ) of the evaluation information is, where k = 1, 2, …, n.
First the arithmetic mean F a = ( F a 1 , F a 2 , F a 3 , F a 4 , ) of the n trapezoidal fuzzy numbers is calculated, see Equation (12) below:
F a 1 = 1 n k = 1 n F k , l , y b j 1 , F a 2 = 1 n k = 1 n F k , l , y b j 2 , F a 3 = 1 n k = 1 n F k , l , y b j 3 , F a 4 = 1 n k = 1 n F k , l , y b j 4
Then, use Equation (13) to calculate the distance d ( F k , l , y b j , F a ) between the expert evaluation information F k , l , y b j and the average evaluation information F a :
d ( F k , l , y b j , F a ) = 1 4 ( F k , l , y b j 1 F a 1 + F k , l , y b j 2 F a 2 + F k , l , y b j 3 F a 3 + F k , l , y b j 4 F a 4 )
The similarity s ( F k , l , y b j , F a ) between the expert evaluation information F k , l , y b j and the average evaluation information F a is calculated by Equation (14):
s ( F k , l , y b j , F a ) = 1 d ( F k , l , y b j , F a ) k = 1 n d ( F k , l , y b j , F a )
The evaluation weight value of each expert can be calculated by dividing the evaluation similarity of each expert by the sum of the similarities of all experts. This can be achieved by using the following Equation (15):
w ( F k , l , y b j , F a ) = s ( F k , l , y b j , F a ) k = 1 n s ( F k , l , y b j , F a )
The synthesized expert evaluation information, based on the evaluation weights assigned by each expert, is obtained from the following Equation (16).
W l , y b j = k = 1 n w k , l , y b j F k , l , y b j = k = 1 n s ( F k , l , y b j , F a ) k = 1 n s ( F k , l , y b j , F a )
In this context, W k , l , y b j represents the calculated evaluation weights of each expert.
(3)
Defuzzification
In accordance with the meticulous derivation of the fuzzy extension principle, the output of the aforementioned comprehensive expert evaluation process continues to manifest as a fuzzy probability, encapsulated within the form of a fuzzy number. Such fuzzy probabilities cannot be directly applied as probabilistic parameters in subsequent precise calculations or decision-making processes due to their inherent uncertainty. Accordingly, in order to effectively transform this ambiguity into an operationally precise value, the technical means of defuzzification is required, i.e., the conversion of fuzzy numbers into clear and unambiguous values. Among the many defuzzification methods, the area-mean method, the weighted area method, the maximum affiliation method, and the gravity method, each with its own characteristics, are widely used in different fields of fuzzy evaluation processing [14].
This paper presents a detailed analysis of the most commonly used and relatively robust area-mean method for defuzzification of fuzzy numbers. For the specific form of trapezoidal fuzzy number W = ( a W , b W , c W , d W ) , the defuzzification formula of going-down defuzzification is employed to achieve the removal of ambiguity.
P l ( y W b j ) = a W + b W + c W + d W 4
The precise value yielded following defuzzification represents the probability parameter P l ( y W b j ) of the T-S gate rule l for a given state of the non-bottom event. Furthermore, in order to transform the T-S gate rule into a conditional probability table, it is necessary to normalize the probability value of each state. This is to ensure that the conditional probability of a node being in a variety of different states is summed up to 1. The processed result can be obtained from Equation (18):
P l ( y b j ) = P l ( y W b j ) b j = 1 η j P l ( y W b j )

3. Reliability Analysis Model of Braking System

In this paper, using the failure data of a subway company for the past 4 years, the bottom event probability interval is calculated by expert assessment and hyperellipsoid modeling. Subsequently, the braking system T-S polymorphic fault tree is transformed into a dynamic Bayesian model, and the probability matrices of state transfer with and without maintenance are introduced to obtain the braking system failure rate. The specific process is as follows (Figure 2):

3.1. Vehicle Braking Systems

According to the standards for the functional division of equipment in a city subway vehicle, the braking system is mainly composed of a wind source system, a brake control system, and a basic braking system. Since the subway vehicle braking system contains a large number of subcomponents, if all the components are analyzed in depth, it will cause a great deal of workload, in addition, there are many non-critical components in the system and components with very low failure rates, which have almost no impact on the reliability of the whole traction system, so this paper selects the key components to be analyzed through the statistics of the brake system failure data and the principle of work. Through the statistics of a city subway rail vehicle traction system failure report data in 2019–2022, the statistics obtain the key component failure distribution, shown in Figure 3. The statistical process excludes the gate tile and other such loss components. Failures that occur in the vehicle on the operating line often have a more serious failure impact, often resulting in a serious impact on subway operations such as the consequences of failures like dropping the line, changing the meter, clearing the passengers and rescue, and the need to analyze the components that occur this type of failure focus.

3.2. Multistate T-S Fault Tree for Braking System Critical Components

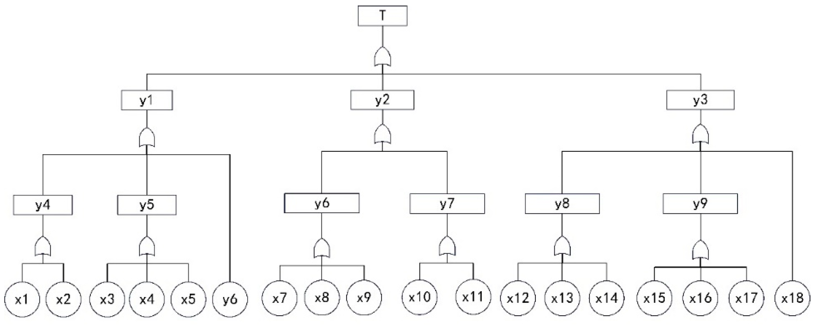
Combined with the braking system structure principle and actual fault types, this paper constructs a braking system T-S multistate fault tree, as shown in Figure 4. The specific meaning of each node is shown in Table 2.
The braking system T-S polymorphic fault tree comprises a total of 10 T-S gates, corresponding to 10 upper-level events. T represents the top event, while y1~y9 represent the intermediate events. The basic events, x1~x19, are also included. The event names and corresponding numbers are presented in Table 2 for reference.

3.3. Dynamic Bayesian Network Modeling of the Braking System

By matching and mapping the specific number of brake system faults with each node in the Bayesian network, a Bayesian network model of the brake system is constructed, as illustrated in Figure 5.
The vehicle experts are invited to participate in the output event of the T-S gate rules for fuzzy evaluation where they will collect and organize the evaluation information through the application of fuzzy theory. This will facilitate the defuzzification and normalization process, which will ultimately yield the final probability value [15].
In order to illustrate the aforementioned methodology, consider the non-root node y 2 in the dynamic Bayesian network of the braking system. First select the Bayesian model (shown in Figure 4), then proceed to select the corresponding intermediate events y 6 and y 7 , and finally, its corresponding T-S gates. This will be performed in accordance with the classification of the failure state of each event into three states, as well as the theory related to the T-S gate rule can be obtained from Table 3. The number of input events and the number of states are used to calculate the T-S gate rule using the Formulas (12) to (18), resulting in nine rules. Each rule corresponds to three kinds of event state probabilities with output events.
After the expert evaluation, each trapezoidal fuzzy number W l , y b j corresponding to the expert evaluation information through the objective weighting method, the resulting trapezoidal composite fuzzy number, defuzzification, and normalization into the final probability value P l ( y 1 b j ) . Repeat the above steps to refine the rules of T-S gate 2 of event y 1 one by one to obtain the complete T-S gate rules as shown in Table 4.

3.4. Hyper-Ellipsoidal Dynamic Bayesian Network Modeling of the Braking System

There are two different repair strategies for equipment that has failed. First, if the equipment is in a severe failure state (S), the equipment is repaired through replacement, and usually the repaired equipment will return directly to its normal operating condition (N). This maintenance model has been widely adopted and is hereafter referred to as “with maintenance”. In addition, this paper presents a contrasting maintenance scenario called “no maintenance”. In the no-maintenance condition, once the equipment enters a fault state, no repair operation is performed on it, whether it is a minor fault (M) or a Severe fault (S). This means that the faulty condition of the equipment may persist and even worsen and escalate in the subsequent time period. By setting up this scenario, the goal is to deeply analyze and compare the reliability performance of equipment components with and without repair strategies [7].
In DBN, node state evolution follows Markov and chi-squaredness assumptions, which provide the basis for time dimension extension. These assumptions imply that state transitions depend only on the current state with constant transfer probability, enabling the construction of directed connections between time segments and the extension from t to (t + Δt). Figure 6 illustrates the multi-state transition graph for the root node, labeled with the key parameters. α 1 ,     α 2 ,     α 3 are the failure rates, which quantify the probability of the system to deviate from the current state, and μ 1 ,   μ 2 are the maintenance rates, which reflect the effectiveness of the system maintenance, i.e., the probability of recovering a state.
Based on the assumption that the node failure states follow the exponential distribution of the failure rate, the transfer relationship between the non-maintenance state and the maintenance state in the vehicle operation process can be deduced, and the transfer relationship table shown in Table 5 and Table 6 is constructed accordingly. This table elaborates the probability formula for the transfer of each state of the node at time t to each state at time (t + Δt), and its intrinsic logical relationship is clear and explicit [16].
Dynamic Bayesian network can be assigned to the root node in the adjacent time slice of the state transfer probability matrix, based on the failure data of a subway company with nearly 4 years of operation, using the confidence index modified expert survey method combined with fuzzy numbers for processing and analysis, which can be obtained at the bottom of the event failure efficiency possibility interval as Table 7.
In this paper, the bottom event failure probability of a subway company’s failure data for the past 4 years is used as the input source of simulation data, and the hyperellipsoid bottom event failure probability is output by the hyperellipsoid simulation process. The data are then fed into the dynamic Bayesian network of the brake system to obtain the top event failure probability. The results include the simulation results under the hyperellipsoid model as shown in Table 8.

4. Model Validation

4.1. Braking System Reliability Analysis

In exploring the fault interval properties of multistate Bayesian network models of braking systems, this paper introduces the concepts of upper and lower bounds to precisely define the boundaries of the range of possible values of the variable or event in question. Specifically, the upper bound is defined as the highest probability that a variable or event can reach under a given condition, while the lower bound correspondingly denotes the lowest probability that it can touch. The upper and lower bounds of the lower events, with and without consideration of the hyperellipsoid constraint, are incorporated into the model to quantitatively analyze the range of uncertainty in the evolution of the availability of the braking system over time, thus providing a rigorous and quantitative basis for a comprehensive assessment of system reliability and safety.
The upper and lower bounds of the bottom events with and without hyperellipsoid constraints are introduced into the multistate Bayesian network model of the braking system, and the failure intervals of these bottom events are computed under the hyperellipsoid dynamic Bayesian network and the fuzzy dynamic Bayesian network, respectively. The failure intervals of brake system availability shifted over time are obtained as shown below (Figure 7):
From the results, it can be clearly seen that the interval length under the hyperellipsoid model (Figure 7a,b) is narrower than that under the interval model (Figure 7c,d), which proves that the hyperellipsoid model can avoid the situation where each bottom event takes the limit value at the same time, i.e., this algorithm of the hyperellipsoid model is able to solve the problem of relatively conservative calculation, and at the same time, it verifies the validity of the simulation process.
In order to quantify the advantage of the hyperellipsoid model over the interval model in terms of accuracy, a comparative analysis of the failure interval lengths of the two models during 500 days of operation was conducted [17], and, by calculating the average of the ratio between the failure interval lengths of the hyperellipsoid model and the interval lengths of the interval model, the results showed that the average length of the brake system availability interval under the hyperellipsoid model was reduced by about 54.06%. This significant reduction ratio not only verifies the effectiveness of the hyperellipsoid model in improving the assessment accuracy, but also further confirms the rationality and practicality of the simulation method proposed in this study.

4.2. Sensitivity Analysis

The state transfer inputs of DBN are primarily calculated based on the equipment failure rate and maintenance rate. A sensitivity analysis can be conducted by maintaining the failure rate of other equipment constants and adjusting the failure rate of individual equipment to 120% and 80% of the original failure rate [7]. This method can be used to calculate the system’s availability after a change in the failure rate of that equipment. The results of this analysis are presented in Figure 8 and Figure 9. The sensitivity of each piece of equipment is analyzed using numerical changes.
A comparative analysis of maintained and unmaintained systems was conducted, revealing that when the failure rate of a given piece of equipment varied from to 120% or 80%, the change in availability of the maintained system was less than the change in availability of the unmaintained system. Consequently, for the maintenance-free system, the change in the failure rate of a single piece of equipment has a greater impact on its reliability.

4.3. Importance of Key Components of the Braking System

The probabilistic importance can quantify the direct effect of the bottom event on the probability of the top event, which is helpful to identify the key influencing factors of brake failure; the critical importance reveals the position of the bottom event in the fault tree structure and its contribution to the system failure, which is helpful to find the vulnerable links of the system. The combination of the two models can more comprehensively analyze the failure mechanism of the braking system and provide strong support for the scientific development of maintenance strategies and technical transformation. By setting the state of each bottom event as M and S in turn, the probabilistic importance and critical importance of the number of failures of each bottom event can be obtained, as shown in Table 9.
Table 9 and Table 10 show the bottom events of high importance in the system, which constitute the weak points of the system. The obtained conclusions are highly consistent with the actual system performance, which further verifies the accuracy and effectiveness of the analysis method. The failure of the speed sensor will directly lead to the inability of the braking system to accurately obtain the train’s running speed information, which may lead to the serious consequences of premature braking or brake failure. In addition, the failure of the air compressor will affect the air pressure supply of the braking system, leading to a decrease in braking performance and affecting the safe operation of the train. Meanwhile, the failure of gateway valves and smart valves can also adversely affect the overall performance of the braking system, such as causing abnormal transmission of brake signals or failure of the brake actuator to function properly. In summary, identification of these key risk factors provides an important basis for subsequent system optimization and failure prevention.

5. Conclusions

In this study, a framework for evaluating the dynamic reliability of a braking system is proposed by integrating super ellipsoid modeling, dynamic Bayesian network, and fuzzy theory. The following important conclusions can be drawn from the comprehensive analysis of brake system reliability:
(1) This study proposes a dynamic reliability assessment method for brake systems that combines hyperellipsoid modeling, dynamic Bayesian networks, and fuzzy theory. The core of this method is the innovative integration of hyperellipsoid modeling and dynamic Bayesian network, which is applied to the reliability analysis of the braking system. The method provides the following significant advantages:
Restriction of the value range of the root node: By introducing the super ellipsoid model, the value range of the root node in the dynamic Bayesian network is effectively constrained, which solves the conservatism problem that may arise from the traditional fuzzy Bayesian network in data processing.
Improvement of evaluation accuracy: The method not only expands the technical way of brake system reliability assessment, but also significantly improves the accuracy and practicality of the assessment results. Through accurate data processing and reasoning, it can more realistically reflect the actual operation status of the brake system.
(2) In order to verify the correctness and practicality of the proposed method, the multi-failure state of the braking system of an urban subway system during 500 days of operation without and with maintenance was analyzed by using the hyperellipsoidal dynamic Bayesian network as an example. Through comparison, it is found that the failure intervals generated by the hyperellipsoidal dynamic Bayesian network are smaller and closer to the actual failure situation. The accuracy of the hyperellipsoidal dynamic Bayesian network in interval estimation is improved by about 54.06% compared to the fuzzy dynamic Bayesian network.
In addition, by calculating the importance of the bottom event, the key components x8 (speed sensor), x3 (air compressor), x13 (gateway valve), x12 (smart valve), and x10 (unit brake) that affect the braking system were accurately identified, which also matched the components with high failure rates in the actual project. These high-risk events provide a scientific basis for subsequent overhaul work and help improve the overall reliability and safety of the braking system.
(3) The method proposed in this study is not only applicable to the reliability assessment of the braking system but can also be extended to the reliability analysis and maintenance strategy optimization of other complex systems. In particular, the method can be applied to the following engineering problems:
Reliability evaluation of complex systems: For complex systems with multiple failure states and multiple influencing factors, the method can provide more accurate and reliable assessment results, which can help in system design and optimization.
Optimization of maintenance strategies: By accurately identifying high-risk events and failure intervals, the method can provide a scientific basis for developing system maintenance strategies. For example, with limited maintenance resources, monitoring, and maintenance of high-risk events can be prioritized to improve overall system reliability and safety.
Failure diagnosis and prediction: By combining real-time monitoring data and historical failure data, the method can realize early warning and prediction of system failure, which helps to take measures in advance to avoid failure.
In summary, the research in this paper not only enriches the theoretical system of reliability analysis of rail vehicle braking system, improves the accuracy and efficiency of reliability analysis, but also provides new ideas and methods for reliability analysis of other complex systems.

Author Contributions

Conceptualization, Y.T., J.W.; data curation, J.W.; formal analysis, Y.T.; investigation, Y.T.; methodology, Y.T.; project administration, J.W., S.Z.; resources, J.W.; software, Y.T.; supervision, J.W. and S.Z.; validation, Y.T., J.W.; visualization, Y.T.; writing—review and editing, J.W. and S.Z. All authors have read and agreed to the published version of the manuscript.

Funding

Supported by National Natural Science Foundation of China (Grant No. 51975347).

Institutional Review Board Statement

Not applicable.

Informed Consent Statement

Not applicable.

Data Availability Statement

The data presented in this study are available on request from the corresponding author. The data are not publicly available due to data are internal information of the cooperation organization.

Acknowledgments

Special thanks to Xiao Huijie and Zhou Feng for providing professional evaluations and data support. I would also like to express my special thanks to Chen Yafeng for providing me with methodological assistance.

Conflicts of Interest

The authors declare no conflicts of interest.

References

  1. Miao, F.; Wang, C.; Mao, J.; Yao, Y.; Hu, T. Reliability analysis of electro-mechanical braking system of streetcar based on fuzzy fault tree. Urban Rail Transp. Res. 2024, 27, 203–207+214. [Google Scholar] [CrossRef]
  2. Ma, Z. Research on Reliability-Based Ship Whole Life Cycle Cost Optimization. Ph.D. Thesis, Harbin Engineering University, Harbin, China, 2015. [Google Scholar]
  3. Qi, J.; Zhou, Y.; Li, S.; Wang, K. Reliability study of braking system based on super ellipsoidal Bayesian network. J. Chongqing Jiaotong Univ. 2021, 40, 124–129. [Google Scholar]
  4. Yang, X. Failure Analysis of Network Control System Based on Bayesian Network. Master’s Thesis, Dalian Jiaotong University, Dalian, China, 2020. [Google Scholar]
  5. Qian, H.; Zhang, R.; Zhang, Y. Dynamic risk assessment of natural environment based on dynamic Bayesian network for key nodes of the arctic northwest passage. Ocean Eng. 2020, 203, 107205. [Google Scholar] [CrossRef]
  6. Han, Z.; Zhang, D. Reliability assessment of ship electric propulsion system based on dynamic Bayesian network. Ship Eng. 2021, 43, 118–124. [Google Scholar]
  7. Wang, C.; Liu, Y.; Hou, W.; Wang, G.; Zheng, Y. Reliability and availability modeling of Subsea Xmas tree system using Dynamic Bayesian network with different maintenance methods. J. Loss Prev. Process Ind. 2020, 64, 104066. [Google Scholar] [CrossRef]
  8. Shiguihara, P.; Lopes, A.; Mauricio, D. Dynamic Bayesian Network Modeling, Learning, and Inference: A Survey. IEEE Access 2021, 9, 117639–117648. [Google Scholar] [CrossRef]
  9. Gao, C.; Guo, Y.; Zhong, M.; Liang, X.; Wang, H.; Yi, H. Reliability analysis based on dynamic bayesian networks: A case study of an unmanned surface vessel. Ocean Eng. 2021, 240, 109970. [Google Scholar] [CrossRef]
  10. Qiao, X.; Zhao, Y.; Fang, X.; Peng, L. Structural nonprobabilistic reliability index based on generalized superellipsoid model. Appl. Math. Mech. 2024, 45, 458–469. [Google Scholar]
  11. Mi, H.; Wang, L.; Shao, P. Reliability analysis of injection and extraction wells based on super ellipsoidal T-S fault tree. Saf. Environ. Eng. 2024, 1–9. [Google Scholar] [CrossRef]
  12. Zhou, Q. Research on the Reliability Analysis and Decision—Making of Maintenance Mode of Subway Bogie System. Master’s Thesis, Beijing Jiaotong University, Beijing, China, 2019. [Google Scholar]
  13. Gui, M.; Sui, Y.; Ding, R.; Xing, S.; Yu, T.; Xu, J.; Yang, B.; Meng, F. An approach for the dynamic reliability assessment of the digital power control system for nuclear reactor. Front. Energy Res. 2022, 10, 877933. [Google Scholar] [CrossRef]
  14. Shi, X.; Gu, H.; Yao, B. Fault diagnosis of mine drainage system based on fuzzy Bayesian network. Ind. Min. Autom. 2022, 48, 77–83. [Google Scholar]
  15. Chen, P. Engineering completion reliability analysis based on multistate fuzzy Bayesian network. Eng. Constr. 2021, 53, 65–69. [Google Scholar]
  16. Cai, B.; Liu, Y.; Zhang, Y.; Fan, Q.; Yu, S. Dynamic bayesian networks based performance evaluation of subsea blowout preventers in presence of imperfect repair. Expert. Syst. Appl. 2013, 40, 7544–7554. [Google Scholar] [CrossRef]
  17. Li, L.; Duan, J. T-S causal graph analysis based on convex model. J. Tangshan Norm. Coll. 2020, 42, 9–12. [Google Scholar]
Figure 1. Comparison of the 2D superellipsoid model with the interval model.
Figure 1. Comparison of the 2D superellipsoid model with the interval model.
Applsci 15 01290 g001
Figure 2. Flow chart of brake system reliability calculation.
Figure 2. Flow chart of brake system reliability calculation.
Applsci 15 01290 g002
Figure 3. Critical Component Failure Statistics.
Figure 3. Critical Component Failure Statistics.
Applsci 15 01290 g003
Figure 4. Braking system T-S polymorphic fault tree.
Figure 4. Braking system T-S polymorphic fault tree.
Applsci 15 01290 g004
Figure 5. Braking system Bayesian network model.
Figure 5. Braking system Bayesian network model.
Applsci 15 01290 g005
Figure 6. Root node polymorphic transfer graph. N: Normal operating state. M: Minor fault state. S: Severe fault state.
Figure 6. Root node polymorphic transfer graph. N: Normal operating state. M: Minor fault state. S: Severe fault state.
Applsci 15 01290 g006
Figure 7. (a) No maintenance superellipsoid model; (b) With maintenance superellipsoid model; (c) No maintenance interval model; (d) With maintenance interval model.
Figure 7. (a) No maintenance superellipsoid model; (b) With maintenance superellipsoid model; (c) No maintenance interval model; (d) With maintenance interval model.
Applsci 15 01290 g007
Figure 8. Braking system equipment sensitivity analysis (no maintenance).
Figure 8. Braking system equipment sensitivity analysis (no maintenance).
Applsci 15 01290 g008
Figure 9. Sensitivity analysis of brake system equipment (with maintenance).
Figure 9. Sensitivity analysis of brake system equipment (with maintenance).
Applsci 15 01290 g009
Table 1. Fuzzy number form.
Table 1. Fuzzy number form.
Serial NumberLanguage of EvaluationFuzzy Number Form
1Very Low f 1 = ( 0 , 0 , 0.1 , 0.2 )
2Low f 2 = ( 0.1 , 0.2 , 0.2 , 0.3 )
3Fairly Low f 3 = ( 0.2 , 0.3 , 0.4 , 0.5 )
4Medium f 4 = ( 0.4 , 0.5 , 0.5 , 0.6 )
5Fairly High f 5 = ( 0.5 , 0.6 , 0.7 , 0.8 )
6High f 6 = ( 0.7 , 0.8 , 0.8 , 0.9 )
7Very High f 7 = ( 0.8 , 0.9 , 1 , 1 )
Table 2. Braking system events by fault tree.
Table 2. Braking system events by fault tree.
Event NumberEvent NameEvent NumberEvent Name
TBrake system failurex5Air compressor control unit failure
y1Wind source system failurex6Dryer failure
y2Air brake system failurex7Pressure sensor failure
y3Pipes and valves damagex8Speed sensor failure
y4Air cylinder failurex9Pressure switch damaged
y5Air compressor unit failurex10Unit brake failure
y6Air brake control system failurex11Parking unit brake failure
y7Air brake actuation system failurex12Smart valve failure
y8Air brake valve component failurex13Gateway valve failure
y9Other valve component failuresx14EPAC valve failure
x1Main cylinder leakx15Anti-skid valve failure
x2Brake cylinder leakx16Solenoid valve failure
x3Air compressor failurex17Safety valve failure
x4Air compressor motor failurex18Pipeline leak
Table 3. Forms of T-S gate rules for two component states.
Table 3. Forms of T-S gate rules for two component states.
Rule l y 6 y 7 y 2
y 2 b j = 1 = N y 2 b j = 2 = M y 2 b j = 3 = S
1NN P l = 1 ( y 2 b j ) P l = 1 ( y 2 b j ) P l = 1 ( y 2 b j )
2NM P l = 2 ( y 2 b j ) P l = 2 ( y 2 b j ) P l = 2 ( y 2 b j )
3NS P l = 3 ( y 2 b j ) P l = 3 ( y 2 b j ) P l = 3 ( y 2 b j )
4MN P l = 4 ( y 2 b j ) P l = 4 ( y 2 b j ) P l = 4 ( y 2 b j )
5MM P l = 5 ( y 2 b j ) P l = 5 ( y 2 b j ) P l = 5 ( y 2 b j )
6MS P l = 6 ( y 2 b j ) P l = 6 ( y 2 b j ) P l = 6 ( y 2 b j )
7SN P l = 7 ( y 2 b j ) P l = 7 ( y 2 b j ) P l = 7 ( y 2 b j )
8SM P l = 8 ( y 2 b j ) P l = 8 ( y 2 b j ) P l = 8 ( y 2 b j )
9SS P l = 9 ( y 2 b j ) P l = 9 ( y 2 b j ) P l = 9 ( y 2 b j )
Table 4. Forms of T-S gate rules for two component states (Result).
Table 4. Forms of T-S gate rules for two component states (Result).
Rule l y 6 y 7 y 2
y 2 b j = 1 = N y 2 b j = 2 = M y 2 b j = 3 = S
1NN100
2NM0.6030.3130.084
3NS0.2640.2370.499
4MN0.6160.2720.112
5MM0.2520.5920.156
6MS0.1830.240.577
7SN0.2250.3340.441
8SM0.2110.2770.512
9SS0.0860.1280.786
Table 5. State transfer probability matrix without maintenance.
Table 5. State transfer probability matrix without maintenance.
t + ΔtNMS
N e ( α 1 + α 2 ) Δ t 00
M α 1 α 1 + α 2 ( 1 - e - ( α 1 + α 2 ) Δ t ) e α 3 Δ t 0
S α 2 α 1 + α 2 ( 1 - e - ( α 1 + α 2 ) Δ t ) 1 e α 3 Δ t 1
Table 6. State transfer probability matrix with maintenance.
Table 6. State transfer probability matrix with maintenance.
t + ΔtNMS
N e ( α 1 + α 2 ) Δ t 0 1 e μ 1 Δ t
M α 1 α 1 + α 2 ( 1 - e - ( α 1 + α 2 ) Δ t ) e α 3 Δ t 0
S α 2 α 1 + α 2 ( 1 - e - ( α 1 + α 2 ) Δ t ) 1 e α 3 Δ t 1
Table 7. Bottom event failure probability intervals.
Table 7. Bottom event failure probability intervals.
Event NumberEvent NameEvent NumberEvent Name
x1[7.621 × 10−6, 9.393 × 10−6]x10[1.599 × 10−5, 1.998 × 10−5]
x2[1.204 × 10−6, 1.596 × 10−6]x11[1.912 × 10−5, 2.238 × 10−5]
x3[9.191 × 10−6, 1.169 × 10−5]x12[8.648 × 10−7, 1.670 × 10−6]
x4[2.188 × 10−6, 2.637 × 10−6]x13[1.932 × 10−6, 2.421 × 10−6]
x5[4.721 × 10−6, 5.586 × 10−6]x14[1.643 × 10−6, 2.165 × 10−6]
x6[4.633 × 10−6, 5.916 × 10−6]x15[5.296 × 10−6, 6.384 × 10−6]
x7[8.436 × 10−6, 1.092 × 10−5]x16[1.078 × 10−5, 1.378 × 10−5]
x8[1.000 × 10−5, 1.306 × 10−5]x17[1.011 × 10−5, 1.311 × 10−5]
x9[1.432 × 10−5, 1.740 × 10−5]x18[1.198 × 10−6, 1.712 × 10−6]
Table 8. Failure probability intervals for the bottom event of the superellipsoid model.
Table 8. Failure probability intervals for the bottom event of the superellipsoid model.
Event NumberEvent NameEvent NumberEvent Name
x1[7.815 × 10−6, 8.859 × 10−6]x10[1.652 × 10−5, 1.875 × 10−5]
x2[1.345 × 10−6, 1.484 × 10−6]x11[1.945 × 10−5, 2.202 × 10−5]
x3[9.702 × 10−6, 1.099 × 10−5]x12[1.160 × 10−6, 1.299 × 10−6]
x4[2.273 × 10−6, 2.556 × 10−6]x13[2.105 × 10−6, 2.362 × 10−6]
x5[4.836 × 10−6, 5.462 × 10−6]x14[1.849 × 10−6, 2.071 × 10−6]
x6[4.828 × 10−6, 5.470 × 10−6]x15[5.525 × 10−6, 6.235 × 10−6]
x7[8.833 × 10−6, 1.003 × 10−5]x16[1.122 × 10−5, 1.274 × 10−5]
x8[1.082 × 10−5, 1.224 × 10−5]x17[1.063 × 10−5, 1.206 × 10−5]
x9[1.446 × 10−5, 1.642 × 10−5]x18[1.421 × 10−6, 1.586 × 10−6]
Table 9. Bottom event significance.
Table 9. Bottom event significance.
Event NumberComponent NameHyperellipsoidInterval
Probabilistic ImportanceCritical ImportanceProbabilistic ImportanceCritical Importance
x1Main cylinder0.012550.010410.012560.01041
x2Brake cylinder0.001610.001660.001620.00167
x3Air compressor0.088910.067680.088910.06768
x4Air compressor motor0.060920.024120.060930.02413
x5Air compressor control unit0.016410.017190.016420.01720
x6Dryer0.056530.008270.056540.00827
x7Pressure sensor0.016760.021850.016760.02185
x8Speed sensor0.092950.079600.092950.07961
x9Pressure switch0.014220.017320.014230.01733
x10Unit brake0.074490.010820.074490.01082
x11Parking unit brake 0.012240.017100.012240.01711
x12Smart valve0.076040.073870.076040.07388
x13Gateway valve0.078050.070980.078050.07099
x14EPAC valve0.043560.013280.043560.01328
x15Anti-skid valve0.038680.012620.038690.01262
x16Solenoid valve0.068690.007470.068690.00747
x17Safety valve0.025560.013850.025560.01386
x18Pipeline0.036760.003260.036760.00326
Table 10. Importance ranking of critical components for brake system failure.
Table 10. Importance ranking of critical components for brake system failure.
Event NumberBottom Event Probability Importance
(in Descending Order)
Event NumberBottom Event Critical Importance
(in Descending Order)
x8Speed sensorx8Speed sensor
x3Air compressorx12Smart valve
x13Gateway valvex13Gateway valve
x12Smart valvex3Air compressor
x10Unit brakex4Air compressor motor
x16Solenoid valvex7Pressure sensor
x4Air compressor motorx9Pressure switch
x6Dryerx5Air compressor control unit
x14EPAC valvex11Parking unit brake
x15Anti-skid valvex17Safety valve
x18Pipelinex14EPAC valve
x17Safety valvex15Anti-skid valve
x7Pressure sensorx10Unit brake
x5Air compressor control unitx1Main cylinder
x9Pressure switchx6Dryer
x1Main cylinderx16Solenoid valve
x11Parking unit brakex18Pipeline
x2Brake cylinderx2Brake cylinder
Disclaimer/Publisher’s Note: The statements, opinions and data contained in all publications are solely those of the individual author(s) and contributor(s) and not of MDPI and/or the editor(s). MDPI and/or the editor(s) disclaim responsibility for any injury to people or property resulting from any ideas, methods, instructions or products referred to in the content.

Share and Cite

MDPI and ACS Style

Tian, Y.; Wen, J.; Zheng, S. Reliability Analysis of Vehicle Braking System Based on Hyperellipsoidal Dynamic Bayesian Network. Appl. Sci. 2025, 15, 1290. https://doi.org/10.3390/app15031290

AMA Style

Tian Y, Wen J, Zheng S. Reliability Analysis of Vehicle Braking System Based on Hyperellipsoidal Dynamic Bayesian Network. Applied Sciences. 2025; 15(3):1290. https://doi.org/10.3390/app15031290

Chicago/Turabian Style

Tian, Yingjie, Jing Wen, and Shubin Zheng. 2025. "Reliability Analysis of Vehicle Braking System Based on Hyperellipsoidal Dynamic Bayesian Network" Applied Sciences 15, no. 3: 1290. https://doi.org/10.3390/app15031290

APA Style

Tian, Y., Wen, J., & Zheng, S. (2025). Reliability Analysis of Vehicle Braking System Based on Hyperellipsoidal Dynamic Bayesian Network. Applied Sciences, 15(3), 1290. https://doi.org/10.3390/app15031290

Note that from the first issue of 2016, this journal uses article numbers instead of page numbers. See further details here.

Article Metrics

Back to TopTop