Next Article in Journal
Frequency-Modulated Antipodal Chaos Shift Keying Chaotic Communication on Field Program Gate Array: Prototype Design and Performance Insights
Next Article in Special Issue
Quantifying Fire Risk Index in Chemical Industry Using Statistical Modeling Procedure
Previous Article in Journal
Application of Artificial Intelligence as an Aid for the Correction of the Objective Structured Clinical Examination (OSCE)
Previous Article in Special Issue
Experimental Study on the Factors Affecting Pedestrian Exit Selection on the Basis of the Mixed Reality Evacuation LVC Simulation System
 
 
Font Type:
Arial Georgia Verdana
Font Size:
Aa Aa Aa
Line Spacing:
Column Width:
Background:
Article

Theoretical and Numerical Simulation Research on Fire of Large-Span Spatial Structures

1
College of Architecture and Civil Engineering, Beijing University of Technology, Beijing 100124, China
2
The Key Laboratory of Urban Security and Disaster Engineering, Ministry of Education, Beijing University of Technology, Beijing 100124, China
*
Authors to whom correspondence should be addressed.
Appl. Sci. 2025, 15(3), 1154; https://doi.org/10.3390/app15031154
Submission received: 10 December 2024 / Revised: 17 January 2025 / Accepted: 21 January 2025 / Published: 23 January 2025
(This article belongs to the Special Issue Advanced Methodology and Analysis in Fire Protection Science)

Abstract

There are obvious differences in shape and space between the large-span spatial structure and the traditional steel structure, and there will be openings at the top of the spatial structure. However, there are few studies on the fire of the spherical dome large space building with openings at the top, which makes the classical plume model inapplicable. The axial temperature of the plume centerline predicted by the traditional plume model is quite different from the real results. Therefore, this paper investigates the temperature dynamics within large-span spatial structures during large-scale fire scenarios, utilizing a combination of theoretical analysis and finite element numerical simulations. It meticulously assesses how different natural ventilation inlet areas affect both the smoke exhaust capacity and the temperature field distribution within these structures. The research expands on the traditional plume model by introducing an enhanced formula for calculating the plume center velocity, specifically designed for large-span structures with top openings. Additionally, using an improved two-region model, the paper derives a logarithmic model that describes the temperature variation as a function of vertical height within the structure. This theoretical model is then compared with numerical simulation results. The study finds that increasing the natural ventilation inlet area significantly enhances the efficiency of smoke exhaust and reduces temperatures within the fire smoke layer of large-span spatial structures. The derived temperature logarithmic curve model shows high precision in predicting the spatial temperature distribution after the fire reaches a quasi-steady state, with an average relative error of 6% between predicted and simulated temperatures, confirming its accuracy. The conclusion is of great significance to the study of fire smoke movement in large-span spatial structures. The obtained logarithmic curve model of temperature under fire provides an important basis for the fire protection design of spherical dome spatial structures under natural smoke exhaust.

1. Introduction

Presently, numerous buildings featuring spherical reticulated shell, cable dome, and suspended dome structures can be found both domestically and internationally, with their applications predominantly in public facilities like gymnasiums and exhibition halls (Figure 1) [1]. These structures not only offer architectural innovation but also cater to the functional requirements of large-scale public spaces.
Due to the expansive construction areas, increasing power requirements, substantial personnel movement, and variable on-site conditions of large-space buildings, fire incidents are prevalent, often leading to significant loss of life and property, as depicted in Figure 2. Consequently, the study of fire protection performance in such structures is a perennial research priority [2]. Moreover, contemporary spherical dome structures, including gymnasiums, predominantly employ natural ventilation for smoke exhaust, incorporating metal or mixed-material roofs, as well as localized open-roofing systems. These practices underscore the importance of fire prevention analysis and the design of natural smoke exhaust systems in spherical dome space structures [3].
The fire phenomenon, despite its inherent complexity, adheres to natural laws and can be encapsulated within empirical formulas, experimental data, or control equations that describe the combustion process [4]. Pioneering work by Morton et al. [5] in 1956 introduced the virtual point source concept, positing that the plume originates from such a point. Subsequent researchers, including Thomas [6], McCaffrey [7,8], Zukoski [9,10], and Heskestad [11,12], expanded upon this foundation, advancing the understanding of smoke behavior in building fires. Tanaka and Yamana [13] built upon Zukoski’s entrainment formula to conduct theoretical analyses of smoke control in large spaces, deriving simplified formulas for calculating smoke layer heights under various ventilation scenarios, including natural filling, side wall exhaust, and mechanical smoke extraction, complemented by full-scale experimental validation. The NFPA 92B [14] standard elucidates the physical model underpinning fire smoke movement in large spaces, detailing smoke exhaust calculations and control requirements, and provides the mass entrainment formula for the plume model, further enhancing the comprehension of smoke management in such settings.
The ISO834 curve [15] is a standard formula used to measure the fire resistance of a structure. It is suitable for small rooms and is suitable for scientific research and engineering design. For the large space building structure, the building height and internal area are large, and the fire development is quite different from that of the general small indoor structure. The ventilation conditions of large space buildings are not the same as those of small rooms, and the location of fire source is also discrete, so when there is no suitable heating curve to describe the fire development, the regional model and the field model are the two commonly used fire simulation models. Therefore, the fire heating curve is obtained, which is of great significance for the fire protection structure design of large-span space buildings.
The prediction methodologies and models for fire temperature fields have seen extensive development, with each approach predicated on the foundational assumption of a regional model—that the smoke layer’s temperature and component concentration are uniformly distributed, thereby yielding the average temperature of the flue gas layer. In the realm of fire zone model studies, Worthington [16] employed this model to calculate a 2 MW fire source, discussing the temperature field distribution and validating the model’s accuracy in qualitatively describing fire scenarios. Building upon experimental research, Holbom P.G et al. [17] introduced a smoke plume model adept at characterizing the progression of indoor fire smoke layers, laying the groundwork for subsequent finite element analyses. Advancing computer technology has rendered the numerical simulation of large space fires increasingly sophisticated, with scholars proposing diverse models including empirical, regional, and field models. Notably, the field model, while the most complex and computationally demanding, offers simulations closest to real fire temperature fields. Current computational tools leveraging the field model include FDS, FLUENT, and PHOENICS [18,19,20,21]. Klote J.H [22] resolved the unsteady N-S equations, thereby enhancing the applicability of field simulation methods to large space temperature field simulations, leading to the development of the FDS fire simulation software. Tilley N [23] compared experimental and numerical simulation results from two-scale model fire tests, demonstrating the efficacy of FDS in simulating fire scenarios. Numerous scholars have since utilized field simulation to model fire temperature fields [24,25,26,27]. For instance, Yan et al. [28] utilized PYROSIM to simulate a fire scenario at the Yangtze River International Conference Center, extracting essential fire parameters and determining optimal evacuation times. Zhang et al. [29] conducted numerical simulations of fires in air-supported coal sheds, focusing on smoke layer temperature and concentration. Sun et al. [30] applied the ISO834 standard heating curve and empirical formulas for large space building fires to calculate the time-temperature field model at each node of a cable dome. Yi et al. [31] examined the fire temperature field distribution characteristics of inflatable membrane structures using FDS, with a focus on the membrane surface temperature field distribution from a single fire source at varying positions. Sun et al. [32] confirmed the feasibility of simulating temperature field distribution using thermal-fluid-solid coupling dynamic boundary conditions, refining traditional temperature field analysis methods, and establishing a fire temperature field model for rectangular air-supported membrane structures. Ye et al. [33,34] introduced a machine learning (ML) framework that integrates computational fluid dynamics (CFD) and finite element method (FEM) to predict structural fire responses based on numerical data. Shen et al. [35] found that the hot smoke near the smoke outlet of the spatial structure under fire was affected by the convection of outdoor cold air, and the temperature of the membrane surface was 5 °C~10 °C lower than that of the other positions. Yang et al. [36] conducted a fire test on a full-size gas-branched membrane structure in a large space, and found that the maximum temperature near the membrane can reach 250 °C, which is below the burnout temperature of the membrane. Fabricio et al. [37] created a finite element analysis (FEA) model for the RC structures and solved using Abaqus software. The structure was heated according to the real and standardized fire curves. The real fire temperatures were up to 70% lower than those predicted by the standard.
Despite the field model’s robust theoretical foundation, its complexity and the extensive knowledge required for its application make it challenging for engineering and technical staff to embrace. Consequently, to facilitate the analysis of the complete response of large space building structures to fire and to provide a heating process that adheres to accuracy requirements, a user-friendly mathematical model for air heating in structural design has been proposed. Li and Du et al. [38] employed the fire dynamics software FDS to simulate 120 fire scenarios, regressing a practical empirical formula for air temperature rise in large space building fires, with time, height, and horizontal distance as variables. Xue and Liang [39,40,41] utilized FDS to simulate fire scenes and established a Logistic model function for the air temperature rise curve in large space building fires. Zhang and Zhu [42,43] derived a novel large space fire heating model from full-scale tests and FDS simulations, uniquely incorporating the cooling phase of fire in its later stages. These three models consider fire temperature as a function of vertical position (z), horizontal position (x), and time (t). Li’s model, despite its initial proposal and widespread application, was criticized for its complex parameters and neglect of ventilation effects. Xue’s model, while simpler and with a good fit, accounts for the smoke exhaust system’s role. Notably, only Zhang’s model predicts the late-stage fire attenuation.
The widespread application of large-span spherical dome steel structures contrasts with the scarcity of research on their fire behavior, particularly in the context of open-top smoke exhaust systems. Despite the occurrence of fires and the consequent demand for advanced fire protection design, there is a significant disparity between the structural application and the development of fire safety measures. Variations in the area of air supply ports significantly impact the natural smoke exhaust volume and the fire temperature field within these spaces. Current temperature calculation models, which are empirically derived from numerous examples, lack detailed parameter values for specific fire scenarios, making it challenging to accurately apply them to different models, such as those with distinct smoke exhaust configurations. The accuracy of these models is largely contingent upon the highest temperature value T max directly above the fire source. While the two-zone model predictor is extensively used and suitable for a variety of fire scenarios, it and other current large space, two-region prediction models fail to account for temperature distribution, assuming uniformity. In large space buildings with top openings, this assumption no longer holds, as temperature distribution becomes non-uniform. The existing calculation models provide only average temperatures and do not capture the temperature gradients at different heights throughout the fire event.
The impact of varying natural air supply areas on the fire temperature field and smoke flow within a spherical dome space building is examined in this study, utilizing a 60 m-span structure with natural smoke exhaust as the model. The two-region model concept is applied to analyze smoke flow and heat transfer in the space during a fire, and to investigate the spatial temperature field distribution characteristics of the spherical dome structure under such conditions. The spatial temperature field distribution is simplified through this analysis to develop a method for calculating the maximum temperature attainable within the spherical dome space structure during a fire. A logarithmic curve model is derived that describes the maximum temperature as a function of vertical height post-fire. This approach, characterized by its low computational complexity, provides accurate predictions of maximum temperatures attainable in various fire scenarios. This research provides a comprehensive analysis that integrates theoretical insights with empirical data, culminating in a model that is both scientifically robust and practically applicable. By focusing on the natural ventilation’s impact on temperature distribution and smoke dispersion, the study offers valuable insights that can guide future design and safety protocols for large-span structures. The logarithmic curve model, with its high predictive accuracy, stands as a testament to the study’s rigorous methodology and its potential to inform real-world applications in the field of fire safety and structural engineering.

2. Numerical Simulation Model Verification and Fire Source Condition Setting

2.1. Numerical Analysis Method Validation

2.1.1. Fire Test and Finite Element Model

Guo et al. [44,45] investigated the fire resistance of aluminum alloy single-layer reticulated shells through scale model fire tests, which were designed to encompass varying fire source powers, positions, and ventilation conditions. The test model, depicted in Figure 3a, consisted of an aluminum alloy spherical reticulated shell with a span of 8 m and a height of 0.5 m, covered with fireproof and ceramic fiber fabric, and a lower supporting structure. This structure was anchored by fixed hinges and included a load-bearing steel framework and masonry infill walls. The heat release rates for the fire tests were 143.11 kW and 357.77 kW, corresponding to fire areas of approximately 0.25 m2 and 0.49 m2 for medium and high power fires, respectively
Conducted under near windless conditions, the fire test suite encompassed two oil pan combustion characteristic assessments and eight structural non-destructive fire evaluations. To ascertain the air temperature within the model, as illustrated in Figure 3b,c, fifteen 3 mm-diameter thermocouples were strategically positioned along the axes ① and ④, with each sensor placed 50 mm from the nearest component or wall surface. Tests 1 and 4 were chosen for numerical simulation comparison, with detailed parameters outlined in Table 1. The aluminum alloy shell before and after the fire test are shown in Figure 4a,b, and the phenomena observed during the stable combustion phase are depicted in Figure 4c,d.
Building upon the experimental data, FDS was utilized to model the air temperature field within the shell structure under fire conditions and to perform a subsequent field simulation analysis. The FDS model is briefly described as follows:
(1) Fluid dynamics model: Generally, there are two numerical simulation methods, namely direct numerical simulation (DNS) and large eddy simulation (LES). Due to the defects of DNS itself, large eddy simulation is generally used in FDS calculation.
(2) Combustion model: LES adopts a mixed fraction model, DNS adopts a finite reaction model.
(3) Thermal radiation model: FDS generally adopts the finite volume method (FVM). The physical meaning of the discrete equations obtained by this method is clear, and the conservation characteristics of the whole region can be guaranteed.
(4) Boundary conditions: all solid medium surfaces in FDS need to define corresponding material combustion characteristics and thermal boundary conditions, which can be directly called from the software database when modeling; for the wall heat exchange LES simulation, the empirical formula is generally used, and the DNS is directly solved by the theoretical method.
The numerical model depicted in Figure 5 aligns with the experimental setup in terms of fire source location and size. In order to take into account the computational efficiency and accuracy, the entire model space corresponding to the +3.200 m elevation plane is divided into two regions for meshing. The mesh size of the lower region is 0.2 m × 0.2 m × 0.2 m, and the mesh size of the upper region is 0.1 m × 0.1 m × 0.1 m. The total number of elements of the numerical model is 120,000.
The simulation assumes that the cooling effect of the roof and the wall was not considered in the windless environment; the turbulent large eddy numerical simulation (LES) method was used to solve the Navier–Stokes equation for fire simulation. The initial ambient temperatures of simulations 1 and 4 were set to 15 °C and 24 °C, and the initial atmospheric pressure was 1.01 × 105 Pa. Boundary conditions were set to open and connected to the atmosphere. The simulation time was 600 s. The simulations captured the thermal properties of various materials by fine-tuning the surface characteristics of each corresponding obstacle unit. Based on the real conditions and considering the change of thermal parameters with temperature, Fabricio et al. [46] conducted a finite element analysis of composite steel deck concrete slabs under fire. However, in this study, in order to simplify the model and restore the numerical simulation of Guo et al. [45], constant thermal parameters were used for fire simulation. A compilation of these materials’ thermal properties, including density (ρ), specific heat capacity (c), and thermal conductivity (λ), is presented in Table 2.

2.1.2. Finite Element Simulation Verification Results

In the analysis, the fire source power’s ramp-up time curve was adjusted to account for factors influencing combustion, including oil pan ignition and metal melting and dripping. The thermocouple positions within the numerical model mirrored those in the experiments, enabling us to derive the air temperature–time curves. Figure 6 and Figure 7 present a comparison of these curves between experimental data and numerical simulations for representative gas-phase thermocouples. The red curve is the simulated value and the black curve is the experimental value. It can be found that the simulated curve is consistent with the experimental curve, and the maximum temperature difference is not more than 10%. The reason may be the influence of wind in the real environment, which is not considered in the simulation. At the same time, because the temperature measuring points of the test and simulation adopt different acquisition time intervals, the simulated data show greater volatility. In general, the simulation curve is in good agreement with the experimental curve. Consequently, the established numerical model demonstrates its ability to accurately forecast the air temperature fields in Test 1 and Test 4, thereby validating the simulation’s validity and precision.

2.2. Finite Element Module Method

Section 2.1 confirms the precision and efficacy of the numerical simulation methodology for fire temperature fields. Given spatial limitations, this method is applied to analyze the fire temperature field of a large-span spherical dome structure with a 60 m span. The model depicted in Figure 8 features a spherical dome with a 60 m span, 9 m column height, and a rise-span ratio of 0.1. Utilizing natural smoke exhaust and ventilation, the model simulates a 20 MW fast fire at the center of the ground. In accordance with the European Code [47], the heat release rate is set at 500 kW/m2, covering an area of 40 m2, with a simulation duration of 2000 s. In PyroSim, the simulation assumed a windless environment. The turbulent large eddy numerical simulation (LES) method was used to solve the Navier–Stokes equation for fire simulation. The initial ambient temperature was set to 20 °C, and the initial atmospheric pressure was 1.01 × 105 Pa. Mesh boundary conditions were set to open. The model material was set as shown in Table 3. The calculated smoke exhaust volume for this model is 45.11 m3/h, equivalent to 16.2 × 104m3/h, which complies with the ’technical standard for smoke management systems in buildings’ [48] as shown in Table 4.
Referring to Table 4, the model’s calculated smoke exhaust volume is determined to be 21.1 × 104 m3/h, aligning with the requirements for natural smoke exhaust through the top opening window. The natural smoke outlet’s wind speed is derived as 1.4 times that of the side window, resulting in a speed of 1.41 m/s, which necessitates a minimum natural smoke outlet area of 41.6 m2. The model complies with these specifications, utilizing a 50 m2 smoke outlet. Additionally, the air supply is facilitated by a direct evacuation door leading outdoors, measuring 2 m by 2.5 m, as illustrated in Figure 8.

2.3. Fire Conditions of Structure

To investigate the effects of natural air inlet opening areas on the temperature field and smoke flow within a large spherical dome structure during a fire, five distinct working conditions were established for numerical simulation, with CASE0 serving as a control without an air inlet. The scenarios incorporating natural air inlets featured total areas of 20 m2, 30 m2, 40 m2, and 50 m2 [49], symmetrically arranged as depicted in Figure 9, where A denotes the number of air inlets. These inlets were designed to augment the ambient air, with detailed settings provided in Table 5.
The temperature measurement setup involves the systematic placement of slices along the X, Y, and Z axes, with corresponding measuring points uniformly distributed throughout the spatial domain. The THCP01-THCP05 measurement points are arranged near the roof and are separated by 5 m in the horizontal direction, as shown in Figure 10.

2.4. Mesh Division of Finite Element Model

The size of the internal spatial grid division should meet the following requirements [40]: Generally, the dimensionless expression D*/x is used to describe the rationality of the calculation results, where x is the grid division size and D* is the characteristic diameter of the fire source. The calculation method of D* is shown in Equation (1).
Fire source characteristic diameter:
D = ( Q ρ 0 C 0 T 0 g ) 0.4 = 3.22 m
In the formula, D* is the characteristic diameter of the fire source (m); Q represents the heat release rate (kW), 20,000 kW; T0 is the environmental thermodynamic temperature (K), 286 K; the gas density (kg/m3) at ρ0 ambient temperature is usually 1.2 kg/m3; the specific heat capacity of air at constant pressure C0 is generally 1.004 kJ/(kg·K); g is the acceleration of gravity (m/s2); and the ratio of D* to grid elements should be between 4–16, so the grid size should be between 0.20–0.80. Considering the running time of the computer and the storage capacity of the computer, the grid size should be 0.7 m × 0.7 m × 0.7 m. The mesh division of the spherical dome structure model is shown in Figure 11.

3. Temperature Field Analysis of Structure Under Different Fire Conditions

In PyroSim, the growth form of fire source power is set to Q = αt2, where the value of α determines the burning rate of fire source. According to the actual situation, it is set to fast fire, at this time α = 0.04678. Therefore, when the fire source power reaches 20 MW, the fire development time is 652 s. Figure 12 illustrates the variation of the heat release rate (HRR) over time. The establishment of a smoke exhaust system is crucial for maintaining a normal and reasonable fire source power during the numerical computation of temperature field models, thereby ensuring the precision and reliability of finite element calculation outcomes. This method of smoke exhaust is instrumental in upholding the fire source power at a level that is both typical and rational within the numerical simulations of spherical dome large space structures.

3.1. The Spatial Temperature Field Distribution of the Structure

Through the temperature field distribution map of CASE0 (Figure 13), it is found that the flue gas of CASE0 has gradually spread to the whole space at 500 s, and the flue gas has accumulated in the space since then. At 1200 s, the temperature in the space reaches 200 °C. The temperature in the space of the four working conditions (Figure 14 and Figure 15) of the natural air supply outlet is obviously reduced, and the thickness of the flue gas layer is obviously reduced, which shows the effectiveness and importance of setting the natural air supply outlet.
Figure 14 shows that the temperature field is symmetrically distributed. The hot smoke plume moves rapidly upward along the center of the fire source. After reaching the top opening, it flows directly out to the outdoor. The smoke plume that does not flow to the outdoor diffuses along the membrane surface and spreads from top to bottom. The heat is continuously lost during the spread process. Therefore, the temperature is gradually reduced from top to bottom along the membrane ring.
In the early stage of fire development (500 s), as shown in Figure 14, under the four working conditions, the combustion rate is less than the smoke exhaust rate, the smoke can be discharged in time, and the high temperature area of the smoke in the space is small; in the later stage of fire development, after the heat release rate of the fire source reaches stability (1200 s), as shown in Figure 15, the combustion rate is higher than the smoke exhaust rate, and the smoke begins to accumulate and spread above the space. With the increase of the area of the air supply port, the mass flow rate at the opening gradually increases, the heat lost through the opening greatly increases, the height of the smoke layer gradually increases, the accumulation of hot smoke in the upper part of the space is less and less, and the heat-affected area at the end of the plume is obviously reduced, so the temperature of the smoke layer will gradually decrease.
The temperature–time changes of the five measuring points near the roof are shown in Figure 16. When the fire is in a strong period, the heat release rate of the fire source reaches a maximum value, and the indoor temperature also reaches a maximum value. In the early stage of the fire, the temperature rises rapidly. With the increase of time, the temperature gradient decreases and the heating rate slows down. Finally, when the heat exchange between indoor and outdoor reaches a dynamic balance, the temperature tends to a certain value, which is the maximum value that the temperature can reach. The heating curve is similar in form and is divided into two basic stages: the rapid heating stage in the early stage of the fire, and the stable stage after the indoor and outdoor heat reaches equilibrium.
The flame plume mainly fluctuates up and down near the fire source, so the temperature field distribution near the fire source is extremely unstable, the flue gas temperature curve fluctuates greatly, and the temperature gradient is large. The area far away from the fire source is less affected by the flame, and the temperature field distribution is more stable. In the early stage of the fire, the heating rate is different and the time to reach the equilibrium temperature is slightly different; secondly, under different working conditions, the biggest difference in the fire temperature rise curve is that the value of the equilibrium temperature is different.
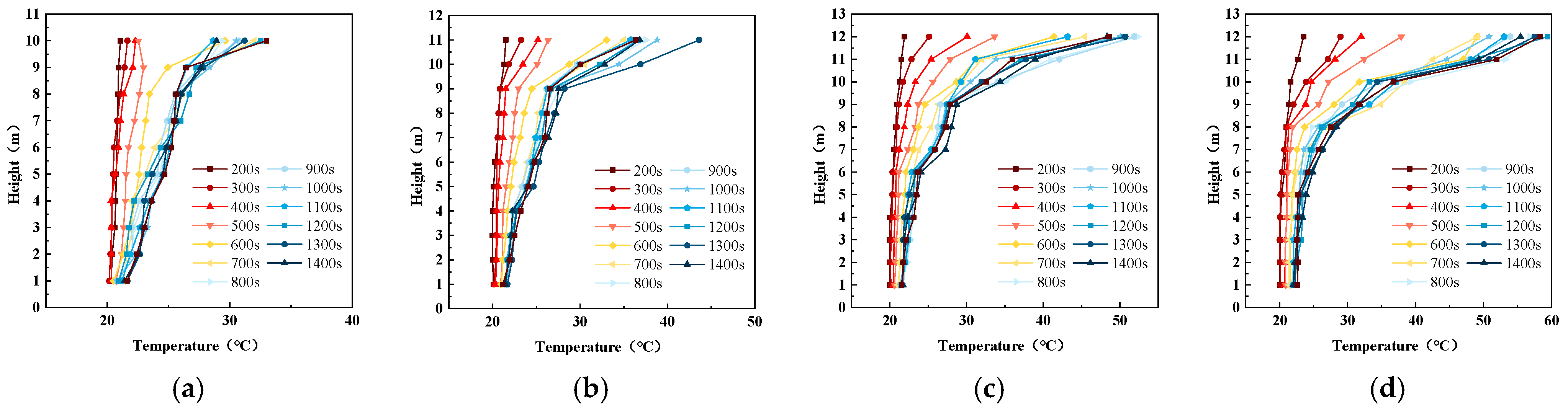
Figure 16 shows the change of 1–5 temperature measuring points near the roof with time in this fire simulation. From Figure 16a,b, it can be seen that for CASE1 and CASE2, after the plume reaches the smoke exhaust outlet directly above the fire source, it spreads rapidly along the longitudinal direction. However, because the rate of smoke generation is greater than the rate of smoke exhaust, the smoke will gradually move downward along the other side of the ring to the ring, and the heat will be lost locally. The temperature gradient is small, and the difference between the highest temperature and the lowest temperature near the roof is relatively small, which is 35 °C and 40 °C, respectively. The flue gas flow rate near the exhaust port is faster, and the speed of downward spread along the roof ring is gradually slowed down. Therefore, in the stable combustion stage, the temperature difference of measuring points 1, 2, 3, 4, and 5 is gradually increasing. From Figure 16c,d, it can be seen that when the area of the air supply outlet increases, the heat flowing out from the inside to the outside of the space increases greatly, and there can only be a thin layer of smoke in the upper part of the space. Therefore, for CASE3 and CASE4, the hot smoke is basically discharged at the exhaust outlet, so when moving downward along the roof ring, the heat loss is small, the smoke temperature along the roof is more uniform, and the temperature difference of measuring points 1, 2, 3, 4, and 5 is also relatively uniform.
The flow problems involved in the fire process are usually turbulent flow. Turbulence is an irregular flow state, in which various quantities exhibit random changes over time and space, but the statistical mean of these quantities varies regularly. The emergence of turbulence has a profound impact on the characteristics of the flow field, transport process, and combustion speed. Therefore, the temperature of the flue gas layer is not strictly unchanged over time, but will experience a certain range of oscillations near a certain value, just like the pulsation of turbulence. In engineering applications, the general focus is on the average effect, so the temperature in the following text, unless otherwise specified, is the average temperature after the fire source power reaches its maximum.
The flow problems involved in the fire process are usually turbulent flow. Turbulence is an irregular flow state. In turbulence, various quantities show random changes with time and space, but the statistical average of these quantities changes regularly. The emergence of turbulence has a profound impact on the characteristics of the flow field, transport process, and combustion speed. Therefore, the temperature of the flue gas layer is not strictly unchanging with time, but will do a certain range of jitter near a certain value, just as the pulsation of turbulence. In engineering applications, the average effect is generally concerned, so the temperature below is the average temperature after the maximum power of the fire source if there is no special explanation.

3.2. Axis Temperature and Velocity of Axisymmetric Flame Plume of the Structure

Through numerical simulation analysis, the axial temperature and velocity of the axially symmetric fire plume are obtained. As shown in Figure 17, due to the symmetrical distribution of the inlet, the fire plume still presents the characteristics of approximately axisymmetric distribution. Therefore, in the following related research and analysis, the fire plume is analyzed as an axisymmetric fire plume model.
Figure 18 shows the schematic diagram of the fire plume generated by the combustion of combustibles [50]. Due to the thermal feedback of the fire, the volatiles generated by the combustion are mixed with the ambient air to form a diffusion flame. A dotted line stretching upward on both sides of the flame represents the boundary of the plume, that is, the boundary of the entire plume composed of combustion products and entrained air.
In order to analyze and verify whether the traditional plume model is suitable for predicting the axial temperature and velocity of the plume under fire in large-span spatial structures, the current mainstream plume model is compared with the numerical simulation results, and the plume model is improved according to the calculation results. The common traditional calculation formulas of plume center temperature and velocity are as follows:
(1)
Zukoski model [9,10]:
In order to further determine the distribution of plume in fire, Zukoski carried out a large number of fire plume experiments on the basis of the ideal plume theory hypothesis. The ideal plume theory hypothesis is as follows:
1 It is assumed that all the energy enters the plume from the hot source and maintains energy conservation in the plume.
2 Assume that the density change is very small throughout the plume height, generally considered ρ͚ ~ ρ. Therefore, the ideal plume theory is mainly used to describe the weak plume.
3 It is assumed that the distribution of velocity, temperature, and force has the same form, which is independent of height z.
4 It is assumed that the air is entrained into the plume, and the velocity entering the plume is proportional to the velocity of the plume smoke.
During the experiment, the hot smoke layer was kept at a fixed height by controlling the mass flow rate in the smoke hood of the experimental instrument. Based on the above experimental data, the mass flow rate equation of the ideal plume was modified, as shown in Equation (2):
Δ T = 5.0 ( T 0 g c P 2 ρ 0 2 ) 1 / 3 Q ˙ c 2 / 3 z 5 / 3
In the formula, Δ T is the difference between the plume temperature and the ambient temperature, K; T0 is the initial temperature of the environment, K; g is the acceleration of gravity, g = 9.81   m / s 2 ; c P is the specific constant pressure heat capacity of ambient air, c P = 1.0   kJ / ( kg · K ) ; ρ 0 is the density of ambient air, ρ 0 = 1.2   kg / m 3 ; Q ˙ c is the convective heat flow, Q ˙ c = 0.7 Q ˙ , kW; z is the distance to the center of the fire source, m.
(2)
Heskestad model [11,12]:
In order to obtain a more realistic plume temperature distribution in the fire, Heskestad also relaxes its assumptions on the basis of the ideal plume to make it closer to the real fire. The assumptions are as follows:
1 The concept of ‘virtual source’ is introduced, and the relationship between the convective energy release rate port and the parameters of some plumes is considered.
2 The temperature and centerline velocity of the plume centerline are introduced, and the Gaussian distribution which is closer to the actual fire situation is adopted.
3 Considering the large density difference inside and outside the plume, his means that ρ͚ρ. Therefore, the Heskestad plume mainly describes the strong plume.
Through the experimental data, Heskestad obtained the calculation equation of the plume centerline temperature above the position of the virtual point source and the average flame height, as shown in Equations (3) and (4). According to the average flame height, Heskestad divided the fire plume into two calculation zones.
z 0 = 0.083 Q ˙ c 2 / 5 1.02 D
Δ T = 9.1 ( T 0 g c P 2 ρ 0 2 ) 1 / 3 Q ˙ c 2 / 3 ( z z 0 ) 5 / 3
In the formula, z 0 is the height of the virtual fire source, m; D is the diameter or equivalent diameter of the fire source, m.
(3)
McCaffrey model [7,8]:
Similar to Heskestad’s division of the plume into two computational regions, McCaffrey further divided the fire plume into three computational zones according to temperature: continuous flame zone, intermittent flame zone, and smoke plume area. And McCaffrey obtained the calculation equation of plume temperature in the corresponding plume region by means of experimental data and dimensionless method, as shown in Equations (5)–(7):
Continuous flame zone
z Q ˙ c 2 / 5 0.08 ,   Δ T = 28.54 T 0 g
Intermittent flame zone
0.08 < z Q ˙ c 2 / 5 0.2 ,   Δ T = 2.23 T 0 g ( z Q ˙ c 2 / 5 ) 1
Smoke plume area
z Q ˙ c 2 / 5 > 0.2 ,   Δ T = 0.747 T 0 g ( z Q ˙ c 2 / 5 ) 5 / 3
In the McCaffrey plume equations, the properties of the plume parameters were assumed to depend only on the energy release rate, that is, independent of the type of fuel block and combustion properties. In the actual fire, the fuel properties are different, and the radiation loss changes are also different. Therefore, the temperature in the flame of different fuel blocks is also different, but this influence factor has little effect on the continuous flame area.
(4)
Li’s formula [38]:
Li simulated 120 fire scenarios of cuboid space buildings without considering ventilation, and selected the space point temperature value that conforms to the simplified temperature model. Finally, the practical empirical formula of air temperature rise under large space building fire is regressed, such as Equation (8), which is suitable for the discrete form of elements in the finite element analysis of building structure and is easy to be used in structural fire resistance analysis.
T ( x , z , t ) T 0 = [ ( 20 Q + 80 ) ( 0.4 Q + 3 ) H + ( 52 Q + 598 ) × 100 / A ] × ( 1 0.8 e ( β t ) 0.2 e ( 0.1 β t ) ) × κ
In the formula, T ( x , z , t ) is the temperature value of a certain position at any time in the large space, °C; T 0 is the ambient temperature, °C; Q is the fire source power, mw; H is the height of large space building, m; A is the construction area, m2; for ultra-fast fire, fast fire, medium fire, and slow fire, the β values are 0.004, 0.003, 0.002, and 0.001, respectively. κ is the temperature attenuation coefficient.
(5)
Strong plume velocity formula [50]:
Continuous flame zone
z Q ˙ c 2 / 5 0.08 ,   u 0 Q ˙ c 1 / 5 = 6.8 ( z Q ˙ c 2 / 5 ) 1 / 2
Intermittent flame zone
0.08 < z Q ˙ c 2 / 5 0.2 ,   u 0 Q ˙ c 1 / 5 = 1.9
Smoke plume area
z Q ˙ c 2 / 5 > 0.2 ,   u 0 Q ˙ c 1 / 5 = 1.1 ( z Q ˙ c 2 / 5 ) 1 / 3
In the formula, u 0 is the average temperature on the centerline of the fire plume, m/s.
(6)
Weak plume velocity formula [50]:
u 0 = 0.588 Q ˙ c 1 / 3 z 1 / 3
The simulated plume center temperature is compared with the Zukoski model, Heskestad model, McCaffrey model, and Li’s formula, as shown in Figure 19. The temperature in the upper intermittent flame zone begins to decrease due to the weakening of the combustion reverse and the cooling of the entrained air. The total heat release rate Q of fire source in fire can be divided into convective heat flow Qc and radiative heat flow Qr. When porous fuels (such as wood) are fully burned, part of the total heat generated during the combustion process is absorbed by unburned fuels. Due to the effects of convection and radiation, the other part escapes from the fuel in the form of convection or radiation energy flow. The heat flux Qc is only equivalent to 60~70% of the total heat release rate. The convective heat flux Qc is taken away by the fire plume above the flame, while the remaining radiative heat flux Qr radiates to the surrounding environment.
The three models are based on the natural diffusion flame model [50]. The total heat release rate of the fire source is divided into convective heat flow and radiant heat flow, namely: Q = Qc + Qr. For the top opening of the building fire, the fire plume and the smoke plume flow directly out of the outdoor. The total heat release rate of the fire source is divided into convective heat flow and radiant heat flow and the heat flow taken away by the gas flowing out of the opening, namely, Q = Qc + Qr + Qe. From the simulation results (Table 6), most of the heat flows out at the top opening. The proportion of Qe is in the range of about 72–82%, and its convective heat flow is smaller than that of the three models. Therefore, the theoretical calculation results of the axial temperature rise of the centerline of the three classical plume models are quite different from the simulated calculation values, but with the increase, the theoretical calculation results are closer to the simulated calculation values. The axial temperature of the plume centerline calculated by the McCaffrey model is generally larger than the experimental data. The axial temperature of the plume centerline calculated by the Heskestad model is higher than the experimental data, but the theoretical calculation results and the experimental data can be maintained in a reasonable range. The maximum relative error between the theoretical calculation results and the experimental data is only 4.9%. It can also be found that the plume model for traditional structures is not suitable for the prediction and analysis of fire temperature field of large spatial structures.
Meanwhile, with the increase of the area of the air supply port, the temperature at the fire source gradually increases, but with the increase of the height from the combustion surface, the temperature of the plume centerline gradually tends to be consistent. The supplementary air volume of CASE1 and CASE2 is suitable, and it will not significantly strengthen the combustion at the fire source. The temperature increase is relatively slow, and the highest temperature reached after the combustion is stable is basically the same. The supplemental air volume of CASE3 and CASE4 is too large, and the supplemented air provides a large amount of oxygen for the combustion of the fire source and strengthens the combustion, so that the flame temperature increases rapidly, and the maximum temperature reached after the combustion is stable is also higher.
The change trend of temperature calculated by Li’s formula is completely different from the simulation results. This is because the model used by Li’s formula does not consider the opening of the ceiling, that is, does not consider the natural smoke exhaust, so its temperature value is much higher than the simulation value; because the ceiling of Li’s formula model38 does not have an opening, the fire plume will encounter the ceiling and the ceiling jet will occur. Therefore, after the fire source power is stable, the closer to the ceiling, the higher the temperature. When the central opening of the ceiling is opened, the fire plume flows directly out of the opening, and the ceiling jet will not occur. The temperature decreases with increasing height, so Li’s formula cannot accurately describe this situation.
Figure 20 shows the comparison of the plume center velocity obtained from the simulation results with the calculation formulas of weak plume and strong plume. It can be found that the change trend of velocity is consistent, that is, the plume center velocity in the flame zone increases with the increase of height, and the velocity in the intermittent flame zone reaches the maximum. The velocity of plume decreases with the increase of height. With the increase of the wind area, the velocity of the plume center gradually increases. The simulation value is between the weak plume and the strong plume, because for the 20 MW fire source, the plume intensity itself is large, so the center velocity of the plume is higher than the weak plume formula, but the opening allows most of the heat to flow out, which makes the plume intensity decrease, so the center velocity of the plume is lower than the strong plume formula.
From the analysis, the velocity on the centerline of the fire plume has a quadratic relationship with z1/3/Q−1/3. The fitting formula is Equations (13)–(16), and the fitting degree is high, as shown in Figure 21. In the following, the velocity will be used in the calculation of the mass flow rate at the opening.
u 0 = 0.244 Q c 2 / 3 z 2 / 3 + 5.949 Q c 1 / 3 z 1 / 3 26.779 ,   R ² = 0.9936
u 0 = 0.255 Q c 2 / 3 z 2 / 3 + 6.109 Q c 1 / 3 z 1 / 3 26.936 ,   R ² = 0.9838
u 0 = 0.217 Q c 2 / 3 z 2 / 3 + 5.286   Q c 1 / 3 z 1 / 3 22.008 ,   R ² = 0.9928
u 0 = 0.110 Q c 2 / 3 z 2 / 3 + 2.778 Q c 1 / 3 z 1 / 3 6.869 ,   R ² = 0.9909

3.3. The Temperature Distribution in the Horizontal and Vertical Directions of the Structure

When a fire occurs inside the building, the high temperature generated by combustion gradually spreads with the smoke flow, and the path of smoke plume spreading is shown in Figure 22. The plume of this model is an axisymmetric plume. The smoke first spreads upward along Path 1 (the central axis of the plume) and reaches the top opening to flow out of the room. After that, the remaining smoke that does not flow out flows along the circumferential roof path 2, reaching the end wall to gradually deposit downward until the generation and discharge of the smokes reach equilibrium.
Parameters such as flue gas temperature and gas concentration in the real fire environment are not uniform in time and space. The spatial inhomogeneity of flue gas temperature is reflected in both horizontal and vertical directions.
Figure 23 shows the temperature change in the horizontal direction under different working conditions. The temperature change trend in the horizontal direction in the space under different air inlet areas is consistent. Due to turbulent motion, the temperature change in the horizontal direction is not continuously increasing or decreasing; there will be some fluctuations, but the overall trend of temperature change is increasing or decreasing. In the air layer, the higher the temperature, the farther away from the center of the fire source, the lower the temperature. In the smoke layer, the farther away from the center of the fire source, the temperature shows an increasing trend. The reason is that the temperature rise of the air layer is mainly due to the direct radiation heating of the flame zone, so the closer to the fire source, the higher the temperature will be. The main reason for the increase of the temperature of the smoke layer is the convective heat transfer of the smoke plume. After the smoke plume reaches the top along Path 1, it flows out at the opening, and then flows down along Path 2, that is, along the curved ceiling. After reaching the wall end, and then along Path 3, the smoke settles down from the ceiling. Since the height of the ceiling gradually decreases from the center to the periphery, at the same height level, the farther away from the center, the smoke can reach the place relatively quickly when settling, and with the passage of time, the accumulation of smoke will be higher than closer to the center, so the farther away from the fire source, the temperature will increase slightly. When the distance from the fire source boundary is less than 3 m, the temperature of the air layer rises greatly due to the direct heating effect of the flame zone. In the upper flue gas layer, due to the weakening of the combustion reaction and the cooling of the entrained air, the temperature rise is relatively small, the flow boundary is close to the flame zone, and the temperature fluctuation is large.
Outside the influence range of the flame zone, the difference between the maximum temperature and the minimum temperature at the same height is about 8 °C. Compared with the temperature of the entire flue gas layer, the difference is small. Therefore, it can be approximately considered that the temperature is evenly distributed in the horizontal direction, so as to simplify the subsequent temperature distribution model.
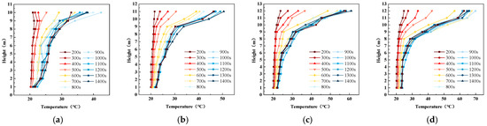
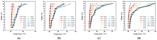
The temperature changes along the height at different positions (x = 0 is the model boundary) as shown in Figure 24, Figure 25, Figure 26 and Figure 27. It can be found that there is a clear boundary between the flue gas layer and the air layer. The temperature remains basically unchanged below the interface. After the height is greater than the interface, the temperature at different positions begins to change approximately linearly with height, and the rate of change is basically the same. With the increase of the area of the natural air supply outlet, the interface between the flue gas layer and the air layer rises, the temperature of the flue gas layer gradually decreases, and the maximum temperature that can be reached shows a decreasing trend.
The distribution of temperature in the vertical direction shows similar characteristics in time and space. In terms of time, there are two obvious stages in the temperature distribution. In the early stage, the temperature in the lower part of the space basically remains unchanged, while the temperature in the upper part increases obviously with the height, and there is an obvious demarcation point between the upper and lower parts: the temperature demarcation point continues to decline, and the temperature in the whole space increases with the increase of height. There is no longer a part of the temperature that maintains the initial temperature constant, and the height of the flue gas layer will eventually stabilize at a certain value and basically no longer change.

4. Modified Two-Zone Temperature Field Model

Through the analysis of Section 3, it can be found that the traditional plume model is no longer suitable for the fire analysis of the large-span spatial structure with top openings, and the temperature field distribution of the large-span spatial structure is different from the traditional two-zone model. Therefore, the traditional model is improved, and the improved two-zone model is compared with the air temperature after the fire to apply to the large-span spatial structure.

4.1. The Governing Equations of the Two-Zone Model

The two-zone model (Figure 28) is one of the most widely used fire zone models [50]. The model assumes that the building is naturally ventilated, regardless of the cooling effect of the roof and walls and the presence of personnel. It divides the space into two zones: the upper hot smoke layer and the lower cold air layer. The plume above the fire source entrains the lower cold air into the upper smoke layer, the smoke is discharged outdoors through the smoke exhaust port, and the outdoor air enters the indoor lower air through the air supply port. The material and energy exchange between the two zones is only carried out through the flue gas plume. The mass and energy conservation analysis of the two zones is carried out respectively, and the respective control equations are listed and solved. The interface position of the flue gas layer and the change of the flue gas temperature with time can be obtained.
According to the two-zone hypothesis, the following equations are written.
Quality equation:
d m s d t = m ˙ s
d m a d t = m ˙ a
Pressure equation:
  d P d t = γ 1 V ( q ˙ a + q ˙ s )
Internal energy equation for upper and lower layers:
d E s d t = 1 γ q ˙ s + V s d P d t
d E a d t = 1 γ q ˙ a + V a d P d t
Temperature equation for upper and lower layers:
d T s d t = 1 C p ρ s V s q ˙ s C p m ˙ s T s + V s d P d t ]
d T a d t = 1 C p ρ a V a q ˙ a C p m ˙ a T a + V a d P d t ]
Upper and lower layer density equations:
d ρ s d t = 1 C p ρ s V s q ˙ s C p m ˙ s T s V s γ 1 d P d t ]
d ρ a d t = 1 C p ρ a V s q ˙ a C p m ˙ a T a V a γ 1 d P d t ]
Volume equation for upper and lower layers:
d V s d t = 1 P γ γ 1 q ˙ s V s d P d t ]
d V a d t = 1 P γ γ 1 q ˙ a V a d P d t ]
Definition of smoke layer and air quality layer:
m s = ρ s V s
m a = ρ a V a
Ideal gas state equation:
P = R ρ s T s
P = R ρ a T a
Expression of internal energy of ideal gas:
E s = C v m s T s
E a = C v m a T a
Total volume of space:
V = V s + V a
In this way, in eleven differential equations, there are eleven variables to be solved ( m s , m a , E s , E a , V s , V a , T s , T 0 , ρ s , P ), given the initial conditions, boundary conditions, and the value or expression of each coefficient in the equation, in theory, the change of these eleven unknowns with time can be obtained. With seven additional equations, as long as the expression of four variables can be obtained from the eleven variables to be solved, the other seven variables can be deduced.

4.2. Correction of the Model

In a large space building fire with a top opening, the complex interaction between the fire source and the hot smoke layer makes the smoke temperature change with time complicated. In order to simplify the model, it is assumed that the temperature distribution of the space fire is uniform in the horizontal direction, and the spatial inhomogeneity of temperature is mainly reflected in the vertical direction.
According to the temperature distribution characteristics of the above fire, the temperature distribution hypothesis of the smoke layer is given. As shown in Figure 29, ignoring the thermal radiation of the fire source, the temperature of the lower air basically remains unchanged at the initial value, and the increase of the gas temperature at a certain height can only be caused by the arrival of the flue gas, while the temperature in the flue gas increases linearly with height [51,52,53,54].
Assuming that the thickness of the flue gas layer at a certain time is h, in the traditional two-zone model, the temperature of the flue gas layer and the air layer is uniform and the temperature value is discontinuous. In order to simplify the calculation, in the modified two-zone model, the temperature of the air layer is uniform and remains at the initial value. The gas temperature in the flue gas layer increases linearly with height, and the front of the flue gas layer—that is, the boundary point between the flue gas layer and the air layer—is 1 point. The gas temperature is equal to the lower air temperature.
According to the assumption of temperature distribution in the figure, after the temperature in the space reaches the maximum, the temperature at any height can be expressed as follows:
  z H h   ,   T z = T 0 z > H h   ,   T z = a z + b
According to the assumption of linear distribution, the determination of coefficients a and b only needs the temperature values of two points on the distribution line. The most common—the average temperature of the control body—can be chosen, that is, 2 points; the boundary point between the flue gas layer and the air layer is 1 point. The highest point temperature of the control volume, namely 3 points, can be determined by the values of 1 point and 2 points.
According to the physical hypothesis of the region model, because the temperature distribution in the flue gas layer satisfies a linear relationship, the temperature in each region is uniform, while the temperature change between adjacent regions is continuous, and the temperature at the height of h/2 is the average temperature of the flue gas layer T s .
T s = T m a x T 0 2
For a building fire with a top opening, Q ˙ c Q ˙ e is the convective heat carried by the plume, and Q ˙ e is the heat released from the opening, kW, due to the more heat released from the top opening.
According to the law of conservation of energy, the following equation can be obtained:
Q ˙ c Q ˙ e = m ˙ p c p Δ T
In the process of natural smoke extraction in indoor fires, if the smoke flow rate and the smoke generation rate (plume entrainment rate) are maintained at the same level, the indoor smoke layer will reach a ’quasi-steady state’. In the quasi-steady state, the interface of the indoor smoke layer will be maintained at a stable height. There is the following:
m ˙ p = m ˙ e
Q ˙ c Q ˙ e = m ˙ p c p Δ T = m ˙ e c p Δ T
In the equation, m ˙ p is the mass flow rate of plume entrainment, kg/s; and m ˙ e is the mass flow rate at the opening, kg/s.
When it reaches the quasi-steady state, Q ˙ e is a quantity that does not change with time, and the ratio of it to Q ˙ c is defined as the heat outflow coefficient χ .
Q ˙ e = χ Q ˙ c
Δ T = ( 1 χ ) Q ˙ c m ˙ e c p = χ 1 Q ˙ c m ˙ e c p
According to the ’Technical standard for smoke management systems in buildings [48], Q ˙ c = 0.7 Q ˙ , χ 1 = 0.5 .
The temperature of the flue gas layer T s is as follows (42), and the density of the flue gas layer ρ s is as follows (43):
T s = T 0 + Δ T = T 0 + χ 1 Q ˙ c m ˙ e c p
ρ s = ρ 0 T 0 T s = m ˙ e c p ρ 0 T 0 m ˙ e c p T 0 + χ 1 Q ˙ c
The gas flow in the roof opening of the spherical dome space structure is shown in Figure 30.
The mass flow rate of open flow m ˙ e can be expressed by the following formula:
m ˙ e = C d A v v ρ 0
In the formula, C d is the flow coefficient; A v is the opening area, m2; v is the average velocity at the opening, m/s; ρ 0 is the density of air, 1.2 kg/m3.
In the case of fire, due to the influence of turbulent flow, the flow coefficient C d is introduced to correct the resistance loss of the actual gas flowing through the opening, and the value range is 0.6~0.7 [51]. Because the change of the air supply outlet will affect the opening flow at the top, the value C d is not the same. The greater the velocity at the opening, the greater the flow coefficient. Different flow coefficient values should be adopted according to different conditions.
The velocity v adopts the velocity u0 of the plume center at a height of 15 m, but in fact, v in the formula is the average velocity of the plume at the opening. Because the velocity presents a cap-shaped distribution on the horizontal section of the plume, the velocity on the centerline is greater than the average velocity. In the formula, the density is 1.2 kg/m3, but the smoke density at the opening is actually less than the air density, so the reduction coefficient α needs to be introduced. According to the comparison with the simulation results, the reduction coefficient values are as follows (Table 7):
At the horizontal opening of the roof, the pressure difference inside and outside the space Δ P is as follows:
Δ P = h ( ρ 0 ρ s ) g
According to Bernoulli’s theorem, the mass flow rate of flue gas is the following:
m ˙ e = C d A v 2 Δ P ρ s = C d A v 2 h ( ρ 0 ρ s ) g ρ s
h = ( m ˙ e C d A v ) 2 / 2 ( ρ 0 ρ s ) g ρ s
Finally, through the simultaneous Equations (42), (43), (46), and (47), the average temperature of the flue gas layer T s and the thickness of the flue gas layer h can be obtained. The calculation results are shown in Table 8. The error between the calculated flue gas layer temperature and the simulated flue gas layer temperature is small.
Assuming that the air layer is the initial temperature, the curve of temperature changing with height can be solved, as shown in Figure 31, and the maximum temperature near the roof can be estimated, as shown in Table 9.
It can be seen from the calculated temperature change curve with height (Figure 26) that the temperature change rate in the flue gas layer is in good agreement with the calculated slope, so the temperature near the ceiling can be obtained more accurately. The calculated temperature near the ceiling is shown in the table. The calculated temperature at a higher height is in good agreement with the simulation results.
However, the calculated temperature of the air layer is quite different from the simulated value. It is because the air layer temperature is assumed to maintain the initial temperature of 20 °C, but in fact the air temperature also changes with height, and the boundary between the smoke layer and the air layer is not obvious. Therefore, it is not accurate to use this model to describe the relationship between the temperature of the large space and the height. The temperature model of the double zone should be modified. The temperature–height curve is highly fitted with the logarithmic curve [55]. The logarithmic curve model is used to modify the temperature distribution at the height. The modified temperature model is shown in Figure 32, and the formula is Equation (47). Because the maximum temperature of the flue gas layer calculated by the linear distribution relationship is in good agreement with the simulated value, it can be applied to the calculation of the logarithmic curve. Therefore, the unknown parameters α , β , and λ in the formula can be obtained by calculating the curve through three points—initial temperature ( 0 ,   T 0 ) , average temperature of the smoke layer ( ( H h ) ,   T s ) , and maximum temperature of the smoke layer ( H ,   T max ) .
H = l o g δ T ( z ) + β + λ = ln T + β α + λ
T ( z ) = e α H λ β
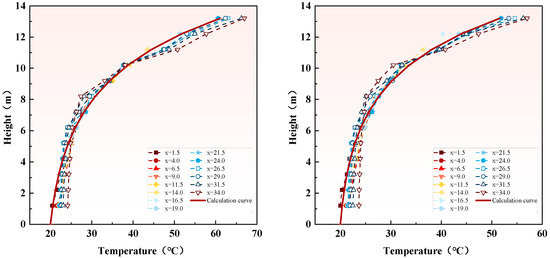
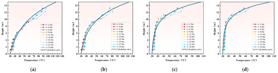
The calculation results are shown in Figure 33, and the calculation curve is in good agreement with the simulation curve. The comparison between the calculation results and the simulation results is shown in Table 10. The maximum difference between the calculation results and the simulation results is about 10 °C, and the error is between 0–14%. The average relative error between the predicted temperature and the simulation results is 6%, indicating high accuracy.
The fire temperature field analysis of large space structure is summarized, and the analysis process is shown in Figure 34. The logarithmic curve model proposed in this paper is suitable for the large-span spherical dome space structure, which is of significance for its fire protection structure design.
Utilizing the aforementioned methodology, temperature calculations and fire numerical simulations were conducted for an 80 m-span spherical dome structure with a height of 15 m, air supply outlet areas of 40 m2 and 50 m2, and a fire source power of 20 MW. The results, depicted in Figure 35, demonstrate a high degree of correlation between the calculated curves and the numerical simulation outcomes, thereby validating the applicability of our calculation method.

5. Conclusions

At present, the large-span spherical dome steel structure is widely used, but there are few studies on the fire of large space spherical dome buildings with smoke exhaust at the top. At the same time, all the large space two-region prediction models do not consider the distribution of temperature. Therefore, examining the effects of varying natural air inlet areas on the fire temperature field and smoke flow within a 60 m-span large-span spatial structure equipped with natural smoke exhaust, this study employs the two-zone model to analyze smoke flow and heat transfer during a fire in structures with top openings. The traditional plume model’s velocity formula is enhanced, and a method is proposed for theoretically determining the maximum temperature attainable in such structures during a fire by simplifying the spatial temperature field distribution. Consequently, a logarithmic curve model is derived innovatively, correlating the maximum post-fire temperature with vertical height, which accurately predicts the maximum temperature within the structure.
(1) In large-span spatial structures with top openings, the top opening and air supply outlet significantly influence the internal temperature field distribution, which can be segmented into areas within and outside the flame zone. The equilibrium temperature value primarily dictates the fire temperature rise curve’s maximum difference. An increase in the air supply outlet area boosts the smoke exhaust volume, effectively reducing the temperature and thickness of the smoke layer.
(2) During fire heat transfer in large-span spatial structures with top openings, the total heat release rate of the fire source is partitioned into convective and radiant heat flows, with a substantial portion being carried away by the gas exiting through the opening. The temperature within the flame zone diminishes with height, while the central velocity of the fire plume initially increases and then decreases with height. A fitting formula is proposed for the central velocity of the fire plume, adapted from the traditional plume model, which is well-suited for spherical dome space structures with top openings, demonstrating a satisfactory fit.
(3) The temperature field distribution beyond the flame zone exhibits uniformity in the horizontal direction and primarily vertical non-uniformity. Based on these characteristics, a regional model is established within the structure for the fire environment post-quasi-steady state. This model, preliminarily formulated using the average, maximum, and initial temperatures of the smoke layer, accurately delineates the temperature variation within the structure in relation to height during a fire.
Under real fire conditions, the ambient wind and the structure will have a great impact on the natural smoke exhaust flow and the air temperature field in the space, making the occurrence of fire random. However, this paper does not analyze the temperature field of building fire under the coupling of wind and fire, nor does it consider the impact of real structures and the issues of reinforcement after fire. Numerical simulation may be relatively idealistic and may not take into account precise boundary conditions. In the future, the influence of external wind on the fire temperature field of large-span spatial structures should be studied, and calculations should be conducted on real structures. Further, after conducting extensive numerical simulation analyses, experimental validation will be carried out to verify the accuracy of the computational model so as to provide a scientific basis for the fire protection design of large-span spatial structures or for the reinforcement issues after fire, as well as the assessment of the fire scale that such structures may encounter.

Author Contributions

Conceptualization, G.S. and J.W.; methodology, X.Z.; software, X.Z.; validation, G.S., S.X. (Shuo Xiao) and S.X. (Suduo Xue); formal analysis, S.X. (Shuo Xiao); investigation, S.X. (Shuo Xiao); resources, X.Z.; data curation, X.Z.; writing—original draft preparation, G.S.; writing—review and editing, J.W.; visualization, X.Z.; supervision, G.S. and S.X. (Suduo Xue); project administration, S.X. (Shuo Xiao); funding acquisition, G.S. All authors have read and agreed to the published version of the manuscript.

Funding

This research was funded by [National Natural Science Foundation of China] grant number [52278136].

Institutional Review Board Statement

Not applicable.

Informed Consent Statement

Not applicable.

Data Availability Statement

The raw data supporting the conclusions of this article will be made available by the authors on request.

Conflicts of Interest

The authors declare no conflict of interest.

References

  1. Xue, S.D. Application Developments and Prospects of Spatial Structures in China. Steel Constr. Chin. Engl. 2024, 39, 32–45. [Google Scholar] [CrossRef]
  2. Sun, G.J.; Xiao, S.; Wu, J.Z.; Xue, S.D. Study on mechanical properties of large-span spatial structures under large-space fire: Review and outlook. J. Build. Eng. 2024, 98, 111421. [Google Scholar] [CrossRef]
  3. Cheng, Z.; Li, L.L.; Qi, X.L. Research on the Influence of Ventilation Opening Shape on the Wind Pressure Ventilation Effect of Gymnasium. Build. Sci. 2020, 36, 106–111. [Google Scholar] [CrossRef]
  4. Ma, T.G.; Quintiere, J.G. Numerical simulation of axi-symmetric fire plumes: Accuracy and limitations. Fire Saf. J. 2003, 25, 467–492. [Google Scholar] [CrossRef]
  5. Morton, B.R.; Taylor, G.I.; Turner, J.S. Turbulent gravitational convection from maintained and instantaneous sources. Proceedings of the Royal Society of London. Ser. A Math. Phys. Sci. 1956, 234, 1–23. [Google Scholar]
  6. Thomas, P.H.; Webster, C.T.; Raftery, M.M. Some experiments on buoyant diffusion flames. Combust. Flame 1961, 5, 359–367. [Google Scholar] [CrossRef]
  7. McCaffrey, B.J.; Flames, P.B. Some Experimental Results; NBSIR; U.S. Department of Commerce: Washington, DC, USA, 1979. [Google Scholar]
  8. McCaffrey, B.J. Momentum implications for buoyant diffusion flames. Combust. Flame 1983, 52, 149–167. [Google Scholar] [CrossRef]
  9. Zukoski, E.E. Development of a stratified ceiling layer in the early stages of a closed-room fire. Fire Mater. 1978, 2, 54–62. [Google Scholar] [CrossRef]
  10. Zukoski, E.E.; Kubota, T.; Cetegen, B. Entrainment in fire plumes. Fire Saf. J. 1981, 3, 107–121. [Google Scholar] [CrossRef]
  11. Heskestad, G. Virtual origins of fire plumes. Fire Saf. J. 1983, 5, 109–114. [Google Scholar] [CrossRef]
  12. Heskestad, G. Engineering relations for fire plumes. Fire Saf. J. 1984, 7, 25–32. [Google Scholar] [CrossRef]
  13. Toshio, Y.A.; Takeyoshi, T. Smoke Control in Large Scale Spaces. Fire Sci. Technol. 1985, 5, 41–54. [Google Scholar]
  14. Brooks, W.N. Predicting the Position of the Smoke Layer Interface Height Using NFPA92B Calculation Methods and a CFD Fire Model. ASHRAE Trans. 1999, 105, 414–425. [Google Scholar]
  15. ISO 834; Fire-Resistance Tests—Elements of Building Construction—Part 1: General Requirements. International Organization for Standardization: Geneva, Switzerland, 1999.
  16. Pericleous, K.A.; Worthington, D.R.E.; Cox, G. The Field Modelling of Fire in an air-Supported Structure. Fire Saf. Sci. 1989, 2, 871–880. [Google Scholar] [CrossRef]
  17. Holborn, P.; Bishop, S.; Drysdale, D.; Beard, A. Experimental and Theoretical Models of Flashover. Fire Saf. J. 1993, 21, 257–266. [Google Scholar] [CrossRef]
  18. Johansson, N.; Svensson, S.; Van Hees, P. An evaluation of two methods to predict temperatures in multi-room compartment fires. Fire Saf. J. 2015, 77, 46–58. [Google Scholar]
  19. Duan, L.; Zhao, J.; Liu, S.; Zhang, D. A B-splines-based GBT formulation for modeling fire behavior of restrained steel beams. J. Constr. Steel Res. 2016, 116, 65–78. [Google Scholar] [CrossRef]
  20. Aguado, J.V.; Albero, V.; Espinos, A.; Hospitaler, A.; Romero, M.L. A 3D finite element model for predicting the fire behavior of hollow-core slabs. Eng. Struct. 2016, 108, 12–27. [Google Scholar] [CrossRef]
  21. Muller, A.; Demouge, F.; Jeguirim, M.; Fromy, P.; Vantelon, J.-P. The use of Petri nets and a two-zone model for fire scene reconstruction. Fire Saf. J. 2013, 55, 139–151. [Google Scholar] [CrossRef]
  22. Klote, J.H. Method of Predicting Smoke Movement in Atria with Application to Smoke Management; NISTIR 5516; National Institute of Standards and Technology: Gaithersburg, MD, USA, 1994. [Google Scholar]
  23. Tilley, N.; Rauwoens, P.; Fauconnier, D.; Merci, B. On the Extrapolation of CFD Results for Smoke and Heat Control in Reduced-Scale Set-Ups to Full Scale: Atrium Configuration. Fire Saf. J. 2013, 59, 160–165. [Google Scholar] [CrossRef]
  24. Bai, Y.; Shi, Y.J.; Wang, Y.Q. Numerical simulation analysis on temperature field for large-space structures under fire. China Saf. Sci. J. 2006, 1, 34–38+0+2. (In Chinese) [Google Scholar] [CrossRef]
  25. Yuan, T.Z.; Wang, J. Study on temperature field distribution of large space fire. In Proceedings of the 11th National Conference on Modern Structural Engineering, Tianjin, China, 13–15 July 2011; pp. 1438–1443. [Google Scholar]
  26. Bai, Y.; Yang, H.; Shi, Y.; Wang, Y. Temperature field distribution of large-space structures under various fire scenarios. J. Tsinghua Univ. Sci. Technol. 2011, 51, 1122–1127. [Google Scholar]
  27. Yu, Z.C.; Zhu, G.Q.; Zhang, G.W. Influence of building height on large space temperature field. Fire Sci. Technol. 2016, 35, 903–905, 916. [Google Scholar]
  28. Yan, Z.; Wang, Y.; Chao, L. Simulation study on fire and evacuation of super high-rise commercial building. Case Stud. Therm. Eng. 2023, 52, 103519. [Google Scholar] [CrossRef]
  29. Zhang, L.; Zhu, G.-Q.; Zhang, G.-W.; Han, R.-S. Performance-based Fire Design of Air-supported Membrane Coal Storage Shed. Procedia Eng. 2013, 52, 593–601. [Google Scholar] [CrossRef]
  30. Sun, G.J.; Tao, Y.; Xue, S. Analysis of Fire Response for Cable Dome Based on Different Time-Temperature Field Models. J. Tianjin Univ. Sci. Technol. 2016, 49, 88–96. [Google Scholar]
  31. Yi, S.L.; Zeng, B. Study on smoke motion characteristics of air-supported membrane structure under fire. Fire Sci. Technol. 2016, 4, 476–480. [Google Scholar]
  32. Sun, G.; Xiao, S.; Qu, X.; Xue, S.; Wu, J. Study on fire temperature fields of air-supported membrane structures considering thermal-fluid-solid coupling and boundary correction. Thin-Walled Struct. 2024, 200, 111893. [Google Scholar] [CrossRef]
  33. Ye, Z.; Hsu, S.C. Predicting real-time deformation of structure in fire using machine learning with CFD and FEM. Autom. Constr. 2022, 143, 104574. [Google Scholar] [CrossRef]
  34. Ye, Z.; Hsu, S.C.; Wei, H.H. Real-time prediction of structural fire responses: A finite element-based machine-learning approach. Autom. Constr. 2022, 136, 104165. [Google Scholar] [CrossRef]
  35. Shen, Y.K.; Wang, Z.P.; Peng, C.B. Temperature Field Distribution Characteristics of Half Cylinder Pneumatic Membrane Structure under Different Fire Scenarios. Struct. Eng. 2014, 30, 68–75. [Google Scholar]
  36. Yu, Y.; Sun, Y.; Cao, Z.G. Fire test study of full-scale air-supported membrane structure in large space. Thin-Walled Struct. 2023, 190, 111039. [Google Scholar] [CrossRef]
  37. Fabricio, L.B.; Eduardo, G.F.; Eduardo, C.P.; Felipe, R.C. A critical analysis of the influence of architecture on the temperature field of RC structures subjected to fire using CFD and FEA models. Appl. Therm. Eng. 2024, 247, 123086. [Google Scholar]
  38. Li, G.Q.; Du, Y. Utility temperature elevation empirical formula in large space fire. Fire Sci. Technol. 2005, 24, 283–287. [Google Scholar]
  39. Liang, J.; Xue, S.D.; Li, X.Y. Air temperature empirical formula for large space structure under fire considering the effect of circular wall. Ind. Constr. 2012, 42, 91–94. [Google Scholar]
  40. Xue, S.D.; Liang, J.; Li, X.Y. Empirical formula for air temperature in large space structure under fire. J. Beijing Univ. Technol. 2013, 39, 203–207. [Google Scholar]
  41. Liang, J.; Xue, S.D.; Li, X.Y. Empirical Formula Considering the Smoke Ventilation for Air Temperature in Large Space Structure under Fire. Appl. Mech. Mater. 2011, 94–96, 587–593. [Google Scholar] [CrossRef]
  42. Zhang, G.W.; Zhu, G.Q.; Yuan, G.L.; Li, I.H. Methods for Prediction of Steel Temperature Curve in the Whole Process of a Localized Fire in Large Spaces. Math. Probl. Eng. 2014, 2014, 238515. [Google Scholar]
  43. Zhang, G.; Li, H.; Zhu, G.; Li, J. Temperature fields for fire resistance analysis of structures exposed to natural fires in large space buildings. Struct. Des. Tall Spec. Build. 2020, 29, e1708. [Google Scholar] [CrossRef]
  44. Guo, X.; Zhu, S.; Jiang, S.; Zhang, C.; Chen, C. Fire tests on single-layer aluminum alloy reticulated shells with gusset joints. Structures 2020, 28, 1137–1152. [Google Scholar] [CrossRef]
  45. Guo, X.N.; Chen, C.; Zhu, S.J.; Jiang, S.C. Nondestructive experimental study on fire response of aluminum alloy shells with gusset joints. J. Build. Struct. 2021, 42, 72–84. [Google Scholar]
  46. Bolina, F.L.; Rodrigues, J.P.C. Finite element analysis criteria for composite steel decking concrete slabs subjected to fire. Fire Saf. J. 2023, 139, 103818. [Google Scholar] [CrossRef]
  47. CEN. Eurocode1-Actions on Structures, Part1-2: General Actions-Actions on Structures Exposed to Fire; CEN: Brussels, Belgium, 2003. [Google Scholar]
  48. GB51251-2017; Technical Standard for Smoke Management Systems in Buildings. Ministry of Housing and Urban-Rural Development of the People’s Republic of China: Beijing, China, 2017.
  49. Li, X.F. The influence of air supplement methods on the mechanical smoke exhaust effect of atrium type large space buildings. Fire Sci. Technol. 2016, 35, 193–197. (In Chinese) [Google Scholar] [CrossRef]
  50. National Fire Protection Engineering Handbook Committee (NFPA). SFPE Handbook of Fire Protection Engineering; Springer: Berlin/Heidelberg, Germany, 2015. [Google Scholar]
  51. Chen, B.; Lu, S.; Li, C.; Yuan, M. Analysis of compartment fires with a ceiling vent. Procedia Eng. 2013, 62, 258–265. [Google Scholar] [CrossRef]
  52. Foote, K.L.; Pagni, P.J.; Alvares, N.J. Temperature correlations for forced-ventilated compartment fires. Fire Saf. Sci. 1986, 1, 139–148. [Google Scholar] [CrossRef]
  53. Li, Q.; Zhang, J.; Lu, S. Influence of roof opening on gas temperature rise in an enclosure. Procedia Eng. 2013, 62, 194–201. [Google Scholar] [CrossRef]
  54. Zhang, J.; Lu, S.; Li, Q.; Li, C.; Yuan, M.; Yuen, R. Experimental study on elevated fires in a ceiling vented compartment. J. Therm. Sci. 2013, 22, 377–382. [Google Scholar] [CrossRef]
  55. Ge, S.; Ni, Y.; Zhou, F.; Shen, W.; Li, J.; Guo, F.; Shi, B. Experimental study of the temperature characteristics of the main cables and slings in suspension bridge fires. Int. J. Heat Mass Transf. 2024, 220, 124939. [Google Scholar] [CrossRef]
Figure 1. Large-span spherical dome structure at home and abroad. (Reproduced from Baidu Images (2024), as permitted under the Creative Commons Attribution License Agreement). (a) Millennium dome; (b) Fukuoka Open and Closed Dome Gymnasium; (c) Ejin Horo Sports Center; (d) China Coal Trading Center.
Figure 1. Large-span spherical dome structure at home and abroad. (Reproduced from Baidu Images (2024), as permitted under the Creative Commons Attribution License Agreement). (a) Millennium dome; (b) Fukuoka Open and Closed Dome Gymnasium; (c) Ejin Horo Sports Center; (d) China Coal Trading Center.
Applsci 15 01154 g001
Figure 2. Fire incidents in large-span structures both domestically and internationally. (Reproduced from Baidu Images (2024), as permitted under the Creative Commons Attribution License Agreement). (a) Shanghai Hongkou Sports Stadium Fire; (b) Jinan Olympic Sports Center Fire; (c) Linyi Olympic Sports Center Fire; (d) Denmark Copenhagen Stadium Fire.
Figure 2. Fire incidents in large-span structures both domestically and internationally. (Reproduced from Baidu Images (2024), as permitted under the Creative Commons Attribution License Agreement). (a) Shanghai Hongkou Sports Stadium Fire; (b) Jinan Olympic Sports Center Fire; (c) Linyi Olympic Sports Center Fire; (d) Denmark Copenhagen Stadium Fire.
Applsci 15 01154 g002
Figure 3. The enclosure system and the placement of temperature sensors [44]. (a) The enclosure system; (b) The temperature sensors for air temperature (elevation view); (c) The temperature sensors for air temperature (top view).
Figure 3. The enclosure system and the placement of temperature sensors [44]. (a) The enclosure system; (b) The temperature sensors for air temperature (elevation view); (c) The temperature sensors for air temperature (top view).
Applsci 15 01154 g003
Figure 4. The stable combustion stage of the tests [44]. (a) The test model before the structural fire tests; (b) The test model after the structural fire tests; (c) Test 1; (d) Test 4.
Figure 4. The stable combustion stage of the tests [44]. (a) The test model before the structural fire tests; (b) The test model after the structural fire tests; (c) Test 1; (d) Test 4.
Applsci 15 01154 g004
Figure 5. Numerical model of aluminum alloy reticulated shell fire test.
Figure 5. Numerical model of aluminum alloy reticulated shell fire test.
Applsci 15 01154 g005
Figure 6. Comparison of temperature-time curves in Test 1. (a) G5 (b) G7 (c) G9.
Figure 6. Comparison of temperature-time curves in Test 1. (a) G5 (b) G7 (c) G9.
Applsci 15 01154 g006
Figure 7. Comparison of temperature–time curves in Test 4. (a) G5; (b) G7; (c) G9.
Figure 7. Comparison of temperature–time curves in Test 4. (a) G5; (b) G7; (c) G9.
Applsci 15 01154 g007
Figure 8. Finite element model of spherical dome structure.
Figure 8. Finite element model of spherical dome structure.
Applsci 15 01154 g008
Figure 9. Working condition settings: (a) CASE0; (b) CASE1; (c) CASE2; (d) CASE3; (e) CASE4.
Figure 9. Working condition settings: (a) CASE0; (b) CASE1; (c) CASE2; (d) CASE3; (e) CASE4.
Applsci 15 01154 g009
Figure 10. Slicing and measurement points layout: (a) Temperature slicing layout; (b) Layout diagram of measuring points in half space.
Figure 10. Slicing and measurement points layout: (a) Temperature slicing layout; (b) Layout diagram of measuring points in half space.
Applsci 15 01154 g010
Figure 11. Mesh division of finite element model.
Figure 11. Mesh division of finite element model.
Applsci 15 01154 g011
Figure 12. Heat release rate over time.
Figure 12. Heat release rate over time.
Applsci 15 01154 g012
Figure 13. CASE0 temperature distribution: (a) 500 s temperature distribution; (b) 1200 s temperature distribution.
Figure 13. CASE0 temperature distribution: (a) 500 s temperature distribution; (b) 1200 s temperature distribution.
Applsci 15 01154 g013
Figure 14. 500 s temperature distribution: (a) CASE1; (b) CASE2; (c) CASE3; (d) CASE4.
Figure 14. 500 s temperature distribution: (a) CASE1; (b) CASE2; (c) CASE3; (d) CASE4.
Applsci 15 01154 g014
Figure 15. 1200 s temperature distribution: (a) CASE1; (b) CASE2; (c) CASE3; (d) CASE4.
Figure 15. 1200 s temperature distribution: (a) CASE1; (b) CASE2; (c) CASE3; (d) CASE4.
Applsci 15 01154 g015
Figure 16. Temperature rise curves: (a) CASE1; (b) CASE2; (c) CASE3; (d) CASE4.
Figure 16. Temperature rise curves: (a) CASE1; (b) CASE2; (c) CASE3; (d) CASE4.
Applsci 15 01154 g016
Figure 17. Velocity distribution at different times.
Figure 17. Velocity distribution at different times.
Applsci 15 01154 g017
Figure 18. Fire plume flow.
Figure 18. Fire plume flow.
Applsci 15 01154 g018
Figure 19. Temperature at the center of a fire plume.
Figure 19. Temperature at the center of a fire plume.
Applsci 15 01154 g019
Figure 20. Center velocity of the plume.
Figure 20. Center velocity of the plume.
Applsci 15 01154 g020
Figure 21. Velocity fitting formula.
Figure 21. Velocity fitting formula.
Applsci 15 01154 g021
Figure 22. Path of smoke plume propagation.
Figure 22. Path of smoke plume propagation.
Applsci 15 01154 g022
Figure 23. Temperature variation in the horizontal direction: (a) CASE1; (b) CASE2; (c) CASE3; (d) CASE4.
Figure 23. Temperature variation in the horizontal direction: (a) CASE1; (b) CASE2; (c) CASE3; (d) CASE4.
Applsci 15 01154 g023
Figure 24. CASE1: (a) x = 4; (b) x = 9; (c) x = 14; (d) x = 19.
Figure 24. CASE1: (a) x = 4; (b) x = 9; (c) x = 14; (d) x = 19.
Applsci 15 01154 g024
Figure 25. CASE2: (a) x = 4; (b) x = 9; (c) x = 14; (d) x = 19.
Figure 25. CASE2: (a) x = 4; (b) x = 9; (c) x = 14; (d) x = 19.
Applsci 15 01154 g025
Figure 26. CASE3: (a) x = 4; (b) x = 9; (c) x = 14; (d) x = 19.
Figure 26. CASE3: (a) x = 4; (b) x = 9; (c) x = 14; (d) x = 19.
Applsci 15 01154 g026
Figure 27. CASE4: (a) x = 4; (b) x = 9; (c) x = 14; (d) x = 19.
Figure 27. CASE4: (a) x = 4; (b) x = 9; (c) x = 14; (d) x = 19.
Applsci 15 01154 g027
Figure 28. The two-zone model.
Figure 28. The two-zone model.
Applsci 15 01154 g028
Figure 29. The temperature distribution model.
Figure 29. The temperature distribution model.
Applsci 15 01154 g029
Figure 30. Gas flow in the roof opening of a spherical dome spatial structure.
Figure 30. Gas flow in the roof opening of a spherical dome spatial structure.
Applsci 15 01154 g030
Figure 31. Temperature curves with height: (a) CASE1; (b) CASE2; (c) CASE3; (d) CASE4.
Figure 31. Temperature curves with height: (a) CASE1; (b) CASE2; (c) CASE3; (d) CASE4.
Applsci 15 01154 g031
Figure 32. Revised temperature distribution model.
Figure 32. Revised temperature distribution model.
Applsci 15 01154 g032
Figure 33. Modified temperature curves with height: (a) CASE1; (b) CASE2; (c) CASE3; (d) CASE4.
Figure 33. Modified temperature curves with height: (a) CASE1; (b) CASE2; (c) CASE3; (d) CASE4.
Applsci 15 01154 g033
Figure 34. Calculation process.
Figure 34. Calculation process.
Applsci 15 01154 g034
Figure 35. Modified temperature curves with height (80 m span).
Figure 35. Modified temperature curves with height (80 m span).
Applsci 15 01154 g035
Table 1. Details of the fire tests.
Table 1. Details of the fire tests.
LabelFire PowerQ/kWFire LocationRemarks
Test 1Medium143.11CenterOnly doors open
Test 4High357.77CenterWindows and doors open
Table 2. Thermal properties of materials in numerical model [45].
Table 2. Thermal properties of materials in numerical model [45].
MaterialsModel ComponentDensity/(kg·m−3)Specific Heat/(kJ·kg−1·°C)Conductivity/(kW·m−1·°C−1)
ConcreteGround22801.0400.002
BrickWall7501.0400.004
Ceramic fiberFireproof fabric1180.6700.036
Table 3. Thermal properties of materials in numerical models.
Table 3. Thermal properties of materials in numerical models.
MaterialsModel ComponentDensity/(kg·m−3)Specific Heat/(kJ·kg−1·°C)Conductivity/(kW·m−1·°C−1)
ConcreteWall22801.0400.0020
PVC membrane Roof22001.0000.0024
Yellow pineFloor6402.8500.0014
Table 4. The calculated smoke exhaust volume in public buildings and industrial buildings.
Table 4. The calculated smoke exhaust volume in public buildings and industrial buildings.
Space Net Height (m)Office, School (×104 m3/h)Stores, Exhibition Halls (×104 m3/h)Factory Buildings and Other Public Buildings (×104 m3/h)Warehouse (×104 m3/h)
No Spraywith SprayNo Spraywith SprayNo Spraywith SprayNo Spraywith Spray
6.012.25.217.67.815.07.030.19.3
7.013.96.319.69.116.88.232.810.8
8.015.87.421.810.618.99.635.412.4
9.017.88.724.212.221.111.138.514.2
Natural smoke exhaust side window (opening) wind speed (m/s)0.940.641.060.781.010.741.260.84
Table 5. Working condition settings.
Table 5. Working condition settings.
ConditionNatural Smoke Exhaust Area (m2)Natural Air Inlet Area (m2)Natural Air Inlet Area/Natural Smoke Exhaust Area
CASE05000
CASE12040%
CASE23060%
CASE34080%
CASE450100%
Table 6. The heat flowing out from the opening Qe.
Table 6. The heat flowing out from the opening Qe.
ConditionCASE1CASE2CASE3CASE4
Heat flowing Qe (kW)14,52315,25216,08416,403
Table 7. Value of reduction coefficient.
Table 7. Value of reduction coefficient.
The Proportion of Air Conditioning Outlets40%60%80%100%
Reduction coefficient α0.570.590.610.60
Table 8. Calculation results of flue gas layer temperature.
Table 8. Calculation results of flue gas layer temperature.
ConditionCASE1CASE2CASE3CASE4
Smoke layer height (m)6.167.118.59.56
Mass flow rate at the opening (kg/s)165.97175.99194.7209.98
Calculate the temperature of flue gas layer (°C)62.1759.7855.9553.33
Simulate the temperature of flue gas layer (°C)64.6262.7856.5253.58
Error0.040.050.010.005
Table 9. Calculated values compared with simulated values.
Table 9. Calculated values compared with simulated values.
Height (m)CASE1CASE2CASE3CASE4
c (°C)s (°C)ec (°C)s (°C)ec (°C)s (°C)ec (°C)s (°C)e
14.4103.2102.20.01 98.389.70.10 84.781.70.04 78.675.00.05
14.1100.192.20.09 94.979.80.19 80.770.20.15 74.363.40.17
13.897.096.30.01 91.583.90.09 76.674.90.02 70.068.50.02
13.391.990.90.01 85.877.70.10 69.966.10.06 62.857.20.10
12.886.888.70.02 80.176.10.05 63.165.80.04 55.757.90.04
12.381.784.10.03 74.471.30.04 56.458.70.04 48.549.90.03
11.876.681.50.06 68.868.40.01 49.654.00.08 41.344.20.07
11.371.576.30.06 63.162.80.00 42.846.50.08 34.237.50.09
10.866.473.10.09 57.460.10.04 36.144.60.19 27.036.10.25
10.058.365.40.11 48.352.60.08 25.337.20.32 20.030.50.34
9.250.157.70.13 39.244.40.12 20.031.00.35 20.026.80.25
Note: c represents the calculated temperature value; s represents the simulated temperature value; e is the error between the two.
Table 10. Calculated values with simulated values.
Table 10. Calculated values with simulated values.
Height (m)CASE1CASE2CASE3CASE4
c (°C)s (°C)ec (°C)s (°C)ec (°C)s (°C)ec (°C)s (°C)e
13.291.5795.760.04 84.2283.040.01 68.4273.820.07 65.2361.490.06
12.280.0189.830.11 72.0476.430.06 55.2064.410.14 54.5048.340.13
11.270.0678.740.11 61.9864.600.04 45.5346.390.02 38.6839.330.02
10.261.5071.400.14 53.6857.190.06 38.4538.620.00 32.7833.160.01
9.254.1356.520.04 46.8243.190.08 33.2830.510.09 27.1728.930.06
8.247.7949.960.04 41.1737.850.09 29.5028.190.05 26.0226.030.00
7.242.3344.850.06 36.5034.080.07 26.7326.720.00 25.2624.040.05
6.237.6336.240.04 32.6529.090.12 24.7124.920.01 24.0522.680.06
5.233.5832.540.03 29.4727.710.06 23.2324.260.04 23.5421.750.08
4.230.1028.050.07 26.8526.290.02 22.1523.510.06 22.7021.110.08
3.227.1126.850.01 24.6825.670.04 21.3623.160.08 22.3720.670.08
2.224.5325.860.05 22.8925.010.08 20.7822.770.09 22.1120.370.09
1.222.3123.740.06 21.4223.270.08 20.3622.030.08 21.5120.160.07
Note: c represents the calculated temperature value; s represents the simulated temperature value; e is the error between the two.
Disclaimer/Publisher’s Note: The statements, opinions and data contained in all publications are solely those of the individual author(s) and contributor(s) and not of MDPI and/or the editor(s). MDPI and/or the editor(s) disclaim responsibility for any injury to people or property resulting from any ideas, methods, instructions or products referred to in the content.

Share and Cite

MDPI and ACS Style

Sun, G.; Zhang, X.; Wu, J.; Xiao, S.; Xue, S. Theoretical and Numerical Simulation Research on Fire of Large-Span Spatial Structures. Appl. Sci. 2025, 15, 1154. https://doi.org/10.3390/app15031154

AMA Style

Sun G, Zhang X, Wu J, Xiao S, Xue S. Theoretical and Numerical Simulation Research on Fire of Large-Span Spatial Structures. Applied Sciences. 2025; 15(3):1154. https://doi.org/10.3390/app15031154

Chicago/Turabian Style

Sun, Guojun, Xin Zhang, Jinzhi Wu, Shuo Xiao, and Suduo Xue. 2025. "Theoretical and Numerical Simulation Research on Fire of Large-Span Spatial Structures" Applied Sciences 15, no. 3: 1154. https://doi.org/10.3390/app15031154

APA Style

Sun, G., Zhang, X., Wu, J., Xiao, S., & Xue, S. (2025). Theoretical and Numerical Simulation Research on Fire of Large-Span Spatial Structures. Applied Sciences, 15(3), 1154. https://doi.org/10.3390/app15031154

Note that from the first issue of 2016, this journal uses article numbers instead of page numbers. See further details here.

Article Metrics

Back to TopTop