Abstract
In Paralympic sports, to guarantee fair competition, it is necessary to identify those peculiar abilities that characterize the discipline and the motor limitations that may or may not most affect the athlete’s performance in a specific sports task, assigning an appropriate classification to the level of impairment. This study proposes a minimally invasive assessment system based on a single inertial sensor to support the investigation of the peculiarities of water polo with disabilities by analyzing players’ trunk inclinations during a simulated match and angular speeds in swimming tests. By comparing a small group of athletes of various classes and those without disabilities, we intended to evaluate whether athletes with lower limb disabilities may be disadvantaged compared to athletes with upper limb disabilities. The results suggest no difference in the mean percentage of time in vertical and horizontal positions when comparing players with and without disabilities, although specific impairments led to distinct behaviors (Δ = 0.9%, p = 0.841). Interesting insights emerged in swimming and turning situations in the water. Strong correlations (r > 0.7, p < 0.05) were found between swimming performance metrics and classification points. Furthermore, players with spasticity exhibited lower smoothness in turning movements, suggesting less fluid execution than those with other impairments affecting the same limbs. These findings highlight the IMU system’s potential to provide objective, quantitative data for refining WPA classification protocols.
1. Introduction
In Paralympic sports, to ensure fair competition [], it is essential to adopt particular procedures specific to each discipline that ensure that an athlete’s success is determined primarily by their ability, physical condition, strength, endurance, tactics, and concentration, regardless of their degree of disability []. The procedure that aims to minimize the influence of limitations caused by the athlete’s impairments in the specific competition is a complex, evidence-based process known as classification [,].
In this regard, to properly classify a Paralympic athlete, it is necessary to identify, in the specific sports discipline, those peculiar abilities that characterize it and, on that basis, those particular motor limitations due to the specific disability that may or may not be able to influence the athlete’s performance more [,,]. The classification process is based on identifying the permanent impairment of the athletes [] through an objective medical examination and then evaluating their residual motor skills through specific on-field tests. This classification procedure results in the athletes being assigned to one particular class so that the athletes will participate in competitions among subjects in the same class [,]. In team sports, the composition of each fielded team is carried out with players for whom the sum of the class values assigned to each of them is not more than a predetermined value, allowing, in this way, the deployment of balanced lineups.
Water polo (WP) is one of the most complex sports because alternating swimming and wrestling phases with game aspects of strategy and tactics results in a highly demanding activity from the neuromuscular and metabolic point of view []. The fundamentals of such a discipline consist of swimming in front crawl and backstroke styles (mainly with the head out of the water), swimming with the ball, vertical floating, vertical thrust from the water for passes and shots on goal for the attackers, and defending the goal for the defenders. WP athletes have to manage each of these skills within a match, exploiting specific motor abilities [,,]. WP athletes can assume horizontal or vertical positions during a match depending on the tactical circumstances. The horizontal position is typically associated with swimming phases, while the vertical position corresponds to defending, shooting, or passing [,]. With regard to the shooting and dribbling actions, these are more precise the more the athlete is able to emerge with their torso out of the water [], making the best use of the muscle chains of the trunk, which, as in all movement sports disciplines, is the origin of the action of the limbs and, therefore, of the movement itself. The literature reports different percentages between the swimming (horizontal) and vertical position phases, varying depending on the game’s tactics and the players’ experience: the vertical position time is more significant than the swimming time, ranging from 50% to 77%, as measured using video analysis techniques [,,,]. This percentage did not change significantly with the update of the International Swimming Federation (FINA) rules that occurred in 2018 [,].
Today, this discipline is not yet included in the Paralympic ones. Therefore, in this paper, it is referred to as water polo ability (WPA), since the term “Paralympic” could result, at this moment, in inappropriate usage.
To verify if and how a specific physical impairment can influence the features and tactics of the WP game with WPA athletes, this paper proposes a non-invasive assessment system using a single IMU [,,,,]. The growing use of IMUs in functional assessment in both the clinical and sports science fields is noted in the various proposed applications [,,,,,,,,], where these systems have proven effective in providing objective numerical assessment that is easily interpreted and minimally invasive [,].
Therefore, the purpose of this study was to present the use of a system consisting of a single inertial sensor for sports performance assessment in WPA as an exploratory study on a small sample of Italian WPA championship participants. This preliminary investigation is the first step in structuring a complete assessment protocol that, when conducted on a large scale on a large sample of players from different leagues and federations, may in the future assist the classification process through a statistical numerical analysis of players’ functional abilities.
In particular, we aimed to investigate how specific impairments could affect characteristic movements in WPA and how these limitations could be relevant to matches.
For example, if a disability results in the athlete’s difficulty floating in a vertical position, how does such impairment prejudice their performance? How long is the average time athletes spend in such a position with respect to the match’s whole length? What effects are found in the most frequent swimming styles or turning movements in the water? The proposed tests could be used in the future as part of developing an evidence-based protocol, which still appears to be under discussion by WPA federations. Indeed, it may provide guidelines for evaluating and classifying athletes with disabilities in WPA, supporting the validation and standardization of the protocol.
In analyzing the characteristics of WPA, the aspects investigated in this paper were as follows: (1) players’ trunk position in matches, (2) swimming situations, and (3) turning movements.
The first aspect, namely, which of the positions, horizontal or vertical, is assumed by athletes for a longer time during the match, aimed to validate the hypothesis that in a WPA match, athletes with impairments to the lower limbs are disadvantaged compared to athletes with impairments to the upper limbs.
In the second case, the study presents some tests on controlled swimming situations to better understand how the various types of disabilities can affect performance.
The hypotheses are that low-class players stay horizontal longer compared to high-class players; a player with a strength impairment may move better than a player with a coordination impairment, such as spasticity, affecting the same limbs.
Finally, an analysis of turning movements in water is presented.
2. Materials and Methods
This cross-sectional pilot study is an initial exploratory investigation of the use of this system in WPA. It was not deemed necessary to recruit a large sample of subjects or perform a statistical analysis, which would be insignificant at this research stage.
Consequently, a small sample of water polo players with and without disabilities proposed some tests as a pathfinder for a survey protocol to be performed on a large scale to aid classifiers in this discipline in setting suitable rules.
2.1. Classification Rules
The International Paralympic Committee (IPC) Classification Code [,,] sets basic rules for all Paralympic sports. It establishes a classification system to group athletes into sports classes based on functionality and activity limitations. Therefore, athletes wishing to participate in WPA or other competitions must follow a specific classification procedure. Following the Classification Code criteria and the guidance of the Para Swimming Classification Rules and Regulations, a particular classification system for WPA adopted by the FINP (Italian Paralympic Swimming Federation) was drafted to classify their athletes under the same criteria and be able to proceed with standardized outcomes. Each water polo athlete undergoes this assessment through their classifiers to confirm their disability meets the eligibility criteria [].
The classification process comprises several phases: a classification panel is a team of classifiers appointed by the FINP to perform some or all aspects of the athlete evaluation during an evaluation session. The classifiers’ responsibilities include determining whether an athlete meets the minimum impairment criteria for the sport through physical assessment, evaluating the athlete’s ability to perform the fundamental tasks and activities of the sport through technical assessment, and conducting an observation in competition assessment during the match.
To be eligible for WPA, athletes must have at least one of the eligible impairments [] related to motor disabilities only. The physical and technical assessment tests used by World Para Swimming are designed to produce a point score []. These tests are composite assessments that evaluate the extent of the athlete’s impairment and activity limitation and how these limitations affect the athlete’s sporting performance. The total point score from these tests determines the athlete’s final score. If a single joint movement is influenced by both reduced muscle strength and limited range of motion as measured by passive assessment maneuvers, the lower score for that joint movement is used to calculate the final point score, which then determines the athlete’s sports class. The physical assessment includes several types of tests. Muscle testing uses a six-grade assessment scale (0–5) []. Coordination testing is necessary for athletes with coordination impairments, such as hypertonia, ataxia, athetosis, or similar eligible neurological disorders. These tests involve repeating sequences of movements at varying speeds, and the resulting movement patterns are scored on a scale from 0 to 5. Joint mobility and range of motion assessments use a goniometer to measure the extent of movement possible in various joints, and these measurements are used to produce a point score called the passive functional range of movement for swimming (PFROMS) [,]. The loss of a limb or part of a limb is measured in centimeters using a segmometer from the distal end of the joint segment to the measuring point closest to the upstream joint. For athletes with short stature, the maximum body height allowed is 137 cm for females and 145 cm for males. For athletes with leg length differences, there must be at least a 20 cm difference between the measurements of both legs to qualify as an eligible impairment [].
Technical Assessment and the Observation (OA)
In the technical assessment phase, athletes perform a series of exercises characteristic of the phases of play. These exercises may include prone and supine floating with autonomous rotations, leg support only (where possible) for 30 s, arm support only (where possible) for 30 s, head-up front crawl swimming for 50 m, head-up backstroke swimming for 50 m, breaststroke swimming for 25 m, passing and receiving the ball with one hand, and one-handed shooting at maximum distance, elevation with shooting, and one-to-one tackles in defense and attack. The OA and recall phases have to confirm the awarded score, and in the OA phase, athletes are observed during a competition in which the assigned class may or may not be confirmed [].
WPA rules state that the total disability rating of each team in the field must not exceed 17.5 points []. During water trials, disturbing factors can arise that prevent proper classification, highlighting the need for instrumentation that makes classification as objective as possible. To be able to analyze the results obtained and group subjects with similar residual functional abilities, disability categories were defined. Starting from those proposed in [], they were expanded to allow for greater diversification of the subjects analyzed in Table 1.

Table 1.
Categories of disabilities [].
2.2. Player’s Trunk Position (Horizontal or Vertical) During the Match
Twelve athletes aged 18 to 45 years with impairments in strength, coordination, and limb length due to amputations representing two Italian WPA championship teams (height: 176 ± 4 cm; body mass: 73 ± 5 kg; BMI: 23.6; game experience: 5 ± 2 years) and twelve male players from a water polo team participating in the regional championships (Serie C level) organized by the Italian Swimming Federation (height: 178 ± 6 cm; body mass: 72 ± 9 kg; BMI: 22.7; game experience: 7 ± 2 years) aged 16 to 31 years were involved in the study.
The coaches divided the twelve WPA championship team players into two teams of six equal-level players (5 + 1 goalkeeper). The two goalkeepers were not evaluated; the athletes involved in the study were identified by a progressive number (Table 2).

Table 2.
WPA players enrolled in the comparative match study (identified by a progressive number) with the points of their classification, the code, and the impairments: AMP: amputation; CO: coordination; ROM: range of motion; MP: muscle power.
All the subjects involved in the study successfully passed the medical examination for competitive sports activity. They were in good health, had no recent injuries, and gave written informed consent to data processing for research purposes. The research was approved by the Internal Research Board of the University of Rome Tor Vergata. All procedures were carried out in accordance with the Declaration of Helsinki.
2.2.1. Measurement Protocol
A friendly match lasting two halves of seven minutes was organized for both the WP and WPA groups and monitored using an inertial motion unit (IMU Xsens Movella DOT, Movella Inc., El Segundo, CA, USA) [,,]. This device is water-resistant (IP68-certified), has a small size (36 × 30 × 11 mm) with a weight of 11.2 g, an integrated memory board, and a battery that allows up to 12 h of data recording.
On-field assessment ensures correct recognition of the functional capabilities of each player in the team in coordination with their teammates and of their characteristics during a simulated match.
All the players under test wore specially prepared elastic chest straps with a holder inside, where the IMU was placed with the X-axis vertical upward, the Z-axis along the anteroposterior direction, and the Y-axis along the mid-lateral direction (Figure 1a,b). The inertial sensors, previously calibrated according to Alcala [], were synchronized with each other and set to a 10 Hz offline acquisition mode via the manufacturer’s application. The data extracted from the sensor were derived from onboard processing on the Xsens DOT and optimized using embedded sensor fusion algorithms to track human motion. The signal processing pipeline, as described in [], consists of four main steps: acquisition (at 800 Hz for the accelerometer and the gyroscope, at 60 Hz for the magnetometer), calibration (with low-pass filtering); Strap-Down Integration (SDI) []; and, finally, the Xsens Kalman Filter (XKF) [,,] that produces an output at a sample rate selectable between 1 and 120 Hz. SDI is a patented Movella Inc. system that returns magnetic field readings with orientation and velocity increment. At the same time, the XFK Core exploits gravitational acceleration data obtained from the accelerometer and the Earth’s magnetic north vector measured by the magnetometer to mitigate the gradual drift errors inherent in the integrated angular velocity data from the gyroscope. The output data are wirelessly transmitted through a Bluetooth Low Energy (BLE) 5.0 link.

Figure 1.
Player’s trunk position assessment using an IMU sensor: (a) vertical, (b) horizontal. Arrows represent the IMU coordinate system.
Each sensor was associated with the ID of the player with a disability whose data it recorded. This same sensor assignment procedure was also completed for the two teams without impairments. An action camera (GoPro, GoPro Inc., San Mateo, CA, USA) was placed at 3 m from the ground in the shooting mode at 1920 × 1080 px and 60 fps for a qualitative video observation of the assessments. The matches were held in 25 × 20 m pools. Within the two halves, no changes were made to ensure continuity of measurement of the game phases. The players played the two halves freely without receiving special conditioning or restrictions from the coach or the examiners. The position of the players during the game was investigated by evaluating the trunk tilt corresponding to the value of Euler angle Y (trunk flexion–extension) obtained from the IMU sensor. All instants of the game in which the angle was less than 45° of inclination were classified as the horizontal position (Figure 1b), and those between 45° and 90° as the vertical position (Figure 1a) []. Average percentages of the WP and WPA matches were compared, as well as those of athletes in the same disability category.
2.2.2. Exclusion Criteria
Of the 24 subjects recruited, excluding the goalkeepers, the performance of 20 players was measured. However, it was decided to exclude the acquisitions of one sensor (IMU 26) from the recorded data because the band had not been worn correctly and firmly by the subject, allowing some degree of sensor movement that polluted the value of the acquired data (Figure 2).

Figure 2.
Exclusion criteria for the subjects enrolled in the study.
2.3. Swimming Analysis
Ten WPA athletes (height: 175 ± 5 cm; body mass: 72 ± 5 kg; BMI: 22.9; game experience: 4 ± 2 years) aged 18 to 45 were involved in the study for the swimming analysis and identified by a progressive number from 11 to 20 (Table 3).

Table 3.
WPA players enrolled in the swimming assessment (identified by a progressive number) with the points of their classification, the code, and the impairments. AMP: amputation; CO: coordination; ROM: range of motion; MP: muscle power; NORMO: no disability.
The four swimming tests were monitored using chest IMU straps (as described above): front crawl, front crawl with head out of the water, backstroke, and front crawl with head out of the water with the ball. The sensor was placed on the subjects so that the reference axes of the IMU coincided with the anatomical axes, specifically, the X-axis with the longitudinal axis, the Y-axis with the transverse axis, and the Z-axis with the sagittal axis (Figure 1b). The tests were held in a lane of a 25 × 20 m pool, and the players did not receive any special conditioning or restrictions from the coach or the examiners. A digital camera (SONY RX Mark4, Sony Group Corporation, Tokyo, Japan) was placed at 1 m from the ground in the shooting mode at 1920 × 1080 px and 100 fps for a qualitative video observation of the assessments.
Kinematic Parameters
Kinematic parameters such as angular velocities (in particular, the trunk torsion speed obtained from the X’s gyroscope; Figure 3b), trunk twist angles (Euler of X; Figure 3a), number of strokes (the number of twists performed, obtained using IMU data analysis []), average stroke cycle length (the average displacement of the athlete in one stroke cycle, calculated by dividing the pool length by the stroke cycles performed) [,,], stroke frequency (the inverse of the time to complete one stroke cycle), and the average speed (calculated by multiplying the WP player’s average displacement per stroke by the stroke frequency) were analyzed.

Figure 3.
Examples of the plots related to the front crawl Euler of X (a), X’s gyroscope angular speed (b), angular speed distribution (c), and X’s gyroscope spectrum (d) for player 13 and obtained for each athlete involved in the study.
It is specified that a pair of strokes (left–right), i.e., a complete stroke cycle, was considered for each cycle. In addition, the distribution of the angular speed data was investigated to understand possible asymmetry (Figure 3c). Finally, to quantify the smoothness of the torsion movement, spectrum analysis (obtained using discrete Fourier transform (DFT)) of the acquired angular velocity signal was used (Figure 3d).
2.4. Turning Movements Assessment
Five WPA athletes (two of them also belonging to the previous group) were involved in the study for the turning movements analysis and identified by a progressive number (Table 4).

Table 4.
The WPA players enrolled in the turning movements assessment, identified by a progressive number, the points of their classification, the code, and the impairments. AMP: amputation; CO: coordination; ROM: range of motion; MP: muscle power; NORMO: no disability.
The turning movements tests were monitored using chest IMU straps. The sensor was placed on the subjects as previously described. The subjects were asked to perform a torsion movement as fast as possible from prone to supine, executing a right twist and then a left twist (Figure 4).

Figure 4.
Prone starting position (a) and the final position (b) in the turning movements assessment.
Kinematic parameters such as torsional angular velocity (X’s gyroscope values) and trunk twist angles (Euler of X) were analyzed. To quantify the smoothness of the torsion speed movement, the variance of the first- and second-order signal’s finite differences was calculated, where first-order variance (FOV) was defined as follows:
where M = N − 1 is the number of elements in the vector Δx and is the arithmetic mean of the elements of Δx, calculated as follows:
The second-order variance (SOV) was defined as follows:
where L = N − 2 is the number of elements in the vector and is the arithmetic mean of the elements of , calculated as follows:
In these variables, smaller values were interpreted as greater smoothness. In addition, the percentage of band power (%BP) between 0 and 1 Hz of the X’s gyroscope was calculated to quantify the contribution of low-frequency components to the overall signal strength as follows:
where P1 is the one-sided amplitude spectrum of the signal and f is the corresponding frequencies. In %BP, a higher value (close to 100 percent) indicates that most of the signal energy is concentrated below the defined threshold (1 Hz) and, therefore, is less noisy.
2.5. Statistical Analysis
The statistical analysis of the data was conducted using JASP software (version 0.18.3) []. The Shapiro–Wilk test was used to validate the assumption of normality. Descriptive statistics analysis investigated data distribution, and parametric tests were used for inferences. Student’s t-test was used to compare the WP and WPA match phases. Effect size, given by Cohen’s d, and 95% confidence intervals (CIs) for the effect sizes were calculated. Sample size and the statistical power were calculated through the JASP power analysis module based upon jpower by Richard Moorey [], assuming a two-sided criterion for detection that allows for a maximum Type I error rate of α = 0.05. Pearson correlation (r) between the kinematic variables in the four styles was calculated. In addition, Pearson correlation was computed between the points attributed to the players by the classifiers and the average speed and stroke cycle length. The significance level was set at 0.05. For Pearson correlations, Fisher’s z effect size was calculated.
3. Results
Statistical data were obtained from the matches (WP and WPA matches), 40 swim trials of the ten WPA players analyzed, and the turning movements assessment, as shown in the following subsections. Since the Shapiro–Wilk test found the data to be normally distributed, parametric tests were used for inferences.
3.1. Player’s Trunk Position (Horizontal or Vertical) During the Match
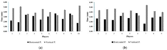
In the water polo match, the players maintained an average vertical position of 4’13” ± 41” over seven minutes of play, or 60.3% of the time, and 39.7% of the time they maintained a horizontal position, corresponding to swimming actions (Figure 5a or Figure 6a). In the water polo ability match, the players maintained an average vertical position for 4’29” ± 34” over 7 min of play, or 61.2% of the time, and 38.8% of the time they maintained a horizontal position, corresponding to swimming actions (Figure 5b or Figure 6b).

Figure 5.
Game times in horizontal and vertical positions during the match of the ten WP players analyzed (a) and nine WPA players (b).

Figure 6.
Percentage of the average game times in horizontal and vertical positions of the players during the WP (a) and WPA (b) matches.
In the WPA match, the players with impairments to one lower limb (classes F, A0, and A1) maintained more vertical positions during the game than those with impairments to both lower limbs (class B1): Δ = 58 s, p = 0.047, effect size = 1.998, 95% confidence intervals for effect size: lower = 0.021 and upper = 3.862, power by effect size = 56% (Figure 7). However, the sample was insufficient to achieve a minimum power of 0.8, which would have required a sample of 6 people in each group.

Figure 7.
Comparison of the time spent in the vertical position between the athletes with impairments to one (classes F, A0, and A1) and two (B1) lower limbs.
Upon comparing the average vertical percentage time between the water polo and water polo ability matches (WP: 60 ± 10%; WPA: 61 ± 9%; Δ = 0.88%; p = 0.841), no statistically significant difference was found (Figure 8).

Figure 8.
Comparison of the average percentage of vertical time between the water polo (WP) match and the water polo ability (WPA) match.
3.2. Swimming Analysis
In the swimming analysis, the strokes made by each athlete in the four styles were detected. The average stroke cycle length and the average speed were calculated for the swimming styles analyzed, as shown in Table 5 and Figure 9 and Figure 10.

Table 5.
Time, stroke cycle length, and average speed. F: front crawl; H: front crawl with the head out of the water; BS: backstroke; FB: front crawl with the ball.

Figure 9.
Illustration of the average distance covered per stroke in the ten analyzed players. F: front crawl; FH: front crawl with the head out of the water; BS: backstroke; FB: front crawl with the ball.

Figure 10.
Illustration of the average speed in the ten analyzed players. F: front crawl; FH: front crawl with the head out of the water; BS: backstroke; FB: front crawl with the ball.
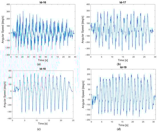
In the following figures, different colors were assigned to each swimming style: blue to depict front crawl measurements, green for backstroke, orange for swimming with the head out of the water, and light blue for swimming with the ball. Figure 11 shows the stroke frequency for the styles analyzed. Figure 12 illustrates, in a three-axis graph, all three parameters described above (average velocity, stroke length, and frequency) in the evaluated players. Figure 13 shows explanatory graphs of the front crawl X’s gyroscope plot of four analyzed players.

Figure 11.
Illustration of the stroke frequency in the ten analyzed players. F: front crawl; FH: front crawl with the head out of the water; BS: backstroke; FB: front crawl with the ball.

Figure 12.
Representation of three parameters (average velocity, stroke length, and frequency) of the evaluated players in a 3-dimensional graph. Positions in the upper right corner indicate better performance.

Figure 13.
Front crawl X’s gyroscope plots for four analyzed players: ID 16 (a); ID 17 (b); ID 18 (c); and ID 19 (d).
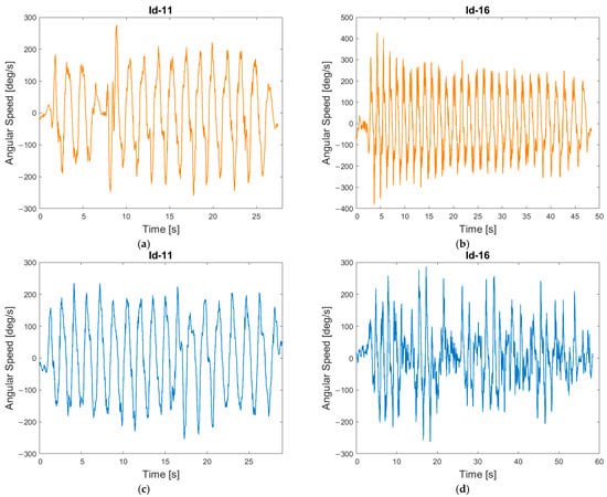
Figure 14 shows the backstroke X’s gyroscope plot of players 11 (a), 13 (b), 15 (c), and 18 (d). A comparison of front crawl with the head out of the water and swimming with the ball is shown in Figure 15 in players 11 (a, c) and 16 (b, d).

Figure 14.
Backstroke X’s gyroscope plots in four analyzed players: ID 11 (a); ID 13 (b); ID 15 (c); and ID 18 (d).

Figure 15.
X’s gyroscope plots of front crawl with the head out of the water in players 11 (a) and 16 (b), and of the front crawl with the head out of the water with the ball in players 11 (c) and 16 (d).
A strong negative Pearson correlation was found between the average time employed to cover 25 m in the four styles and the classification attributed to the players (r = −0.72, p = 0.02, effect size = 0.9, power ≤ 50%).
In all the players, the average speed was higher with front crawl compared with the other styles. No significant differences were found between the stroke frequencies, while a significantly smaller stroke length was found between the front crawl styles with and without the ball (Δ = 0.43 m, p < 0.001, effect size = 1.941, power by effect size = 98%). A strong and significant positive Pearson correlation was found between the points attributed to the players by the classifiers and the performance metrics of swimming, i.e., the average speed (r = 0.71, p = 0.023, effect size = −0.9, power ≤ 50%) and the average stroke cycle length (r = 0.81, p = 0.005).
In addition to the analysis of performance parameters, a qualitative analysis of movements could be conducted based on the data recorded and shown in Figure 13, Figure 14 and Figure 15, which showed, for some of the subjects involved in the study, angular velocity around the X-axis measured for front crawl, backstroke, and front crawl with the head out of the water.
Properly analyzing these waveforms can provide further insight into assessing the swimming gesture performance. Among others, investigating density plots or spectral features can provide useful tools. The angular velocity density plot gives the distribution of velocities over a period. At the same time, the spectral analysis of a periodic signal provides a measure of the frequency components of a periodic signal.
Figure 16 depicts the X’s angular velocity density plot in players 16 (green) and 18 (grey), while Figure 17a shows the spectrum of the X’s gyroscope signal related to players 16 and 19 (Figure 17b). The median, IQR, and range values of players 16 and 18 are reported in Table 6.

Figure 16.
Front crawl X’s angular speed density plot in players 16 and 18.

Figure 17.
Front crawl X’s gyroscope spectrum plots in players 16 (a) and 19 (b).

Table 6.
Front crawl X’s angular speed density plot in players 16 and 18.
3.3. Turning Movements Assessment
The average percentages of band power relative to X’s gyroscope of the left and right turns are reported in Table 7 and Table 8. On the other hand, Table 8 shows the variances of the first- and second-order finite differences of the gyroscope of X in the left and right twisting movements for the lowest-scoring player and the two players with lower limb amputation. The whole rotation movement, taken as the minimum–maximum range of the Euler value of X, and the average angular velocity of the three players are shown in Table 9.

Table 7.
X’s gyroscope’s average percentage of band power between 0 and 1 Hz (%BP[0–1 Hz]) of the left and right turning movements of the five players identified by a progressive test number ID, the points of their classification, and the impairments. AMP: amputation; CO: coordination; ROM: range of motion; MP: muscle power; NORMO: no disability.

Table 8.
X’s gyroscope’s finite differences of the first (FOV) and second order (SOV) in the left and right twisting movements of three players, the points of their classification, and the impairments. AMP: amputation; CO: coordination.

Table 9.
Euler of X range (min–max) and average angular speed of the twisting movements of three players, the points of their classification, and the impairments. AMP: amputation; CO: coordination.
4. Discussion
This paper proposes a minimally invasive assessment system based on a single inertial sensor, applied to the on-field assessment in WPA, finalized to contribute to the correct evaluation of the functional capabilities of each team player and their teammates during the game. In particular, the study aimed to observe if and how disability might affect the amount of time the athlete spent in a horizontal or vertical position during the match (Figure 1), the swimming phases, and turning movements in controlled situations.
The analysis found that the ratio of the times related to vertical and horizontal actions in a WP match varies among the players (Figure 5) and can be influenced by different factors, such as the game’s aspects, teams’ levels, tactics, and player characteristics. However, despite these factors, due to the features of playing, the average vertical position times are always slightly higher than swimming times, as confirmed by what can be found in the literature [,,,,]. It should be pointed out that the analysis of the WP team served to validate the measurement method adopted more than for statistical purposes.
The same percentages were found in the WPA teams analyzed, showing no statistically significant differences when comparing the two matches (Figure 8). The amount of time spent by the players in a vertical position (mainly for passes, shooting, and resting) and a horizontal one (swimming) weighed the predominance of the former over the latter.
Nevertheless, a statistically significant difference in body position was found in the WPA game for players with different disabilities. For example, the players with impairments to one leg showed an average vertical position that was ca. one minute longer than in those with impairments in both lower limbs (Figure 7). As a result, as might be expected regardless of the playing position, athletes with an impairment in both lower limbs tend to take longer to move from the defensive to the offensive zone of the pool (with, consequently, more time spent in the horizontal position), or they could have more difficulties in maintaining a vertical position for a long time.
However, for this purpose, specific structured tests must be implemented to get more information, unaffected by the tactical conditioning of the match.
Interesting insights emerged in the analysis of swimming situations. In the front crawl analysis of WPA athletes, the times employed to cover, at an all-out pace, the 25 m pool were in line with other studies available in the literature []. A strong negative correlation was found between the average time employed to cover the 25 m pool in the four swimming types and the points attributed to the players by the classifier, showing the high correspondence of the classification attributed to the athletes’ performance. There were no significant differences in stroke frequency between front crawl with and without the ball in the subjects, but there was less stroke length in those with the ball. While the stroke frequency alone cannot be a parameter useful for indicating the impairment score for WPA players, the average speed and stroke length presented strong positive correlations with the classification assigned by evaluators to subjects (r > 0.7).
The level of impairment could compromise, to varying degrees, the proper execution of the specific sporting gesture. Therefore, to more accurately assess the performance for classification purposes, it would be helpful to have instruments that could provide the level of gesture compromise in terms of smoothness of the in-water movement or symmetry of the angular velocity and body rotation during front and head-out crawl swimming styles. So, measuring the density of the angular velocities in the different swimming styles can indicate how these are distributed over the range under consideration and provide a parameter for estimating gesture symmetry.
Figure 16 shows the density plot for the angular velocities measured during the front crawl swimming of players 18 (gray) and 16 (green), respectively. It is worth noting that the plot for player 18, which presents a left leg amputation, shows a strong asymmetry in the angular velocity density (median: 21.9°/s; IQR: 172°/s) compared with the same signal recorded for player 16 (median: −0.9°/s; IQR: 113°/s). The same can be observed in the Euler of X plot of front crawl in player 18 (Figure 18).

Figure 18.
Front crawl Euler X plots in player 18.
The spectral analysis of periodic signals can provide, among others, a measure of noisiness. In particular, the spectral analysis of the rotational velocity in swimming movements can supply useful information about the fluidity of the movement in the water. Figure 17a depicts the spectrum of X’s gyroscope of athlete 16. This spectrum shows several frequency components and the main peak corresponding to the stroke rate. The measure of the band is, for this waveform, about 2 Hz, which can be associated with a movement featuring low fluidity. On the contrary, the spectrum depicted in Figure 17b and related to player 19 shows a narrower spectrum (a band of about 0.25 Hz around the peak relative to the stroke rate) due to a more fluid and smoother motion.
In particular, player 16 is affected by limitations in spindle strength and joint mobility in both lower limbs; player 18 presents a left leg amputation, and player 19 has one paralyzed leg.
Although player 16, as observed in Figure 13a, presents a rough trend in the angular velocity waveform, the torsion velocity shows a symmetric distribution (Figure 16—green) with a median value equal to −0.9. In contrast, player 18 presents a smoother waveform in the angular velocity in front crawl (Figure 13c) and backstroke (Figure 14d), but a relevant asymmetry in its distribution (Figure 16—gray) with a median value equal to 21.9. What has been observed could be a consequence of how impairments at the level of muscle power and range of motion in both lower limbs may affect the fluidity of movement more, in contrast to amputations involving a single limb that compromise balance and symmetry during swimming. A muscle power impairment affecting a single lower limb did not affect the fluidity of the movement, as shown by the spectral analysis reported in Figure 17. Similar behaviors can be noted in other styles (backstroke Figure 14, front crawl head out and swimming with the ball Figure 15), where player 18 (with one leg amputation) and player 11 (without impairments) presented a fluid movement compared to player 15 and 16 with an impairment to both legs and player 13, with impairment to two limbs (one arm and the opposite leg).
As for the analysis of turning in the water from the prone to supine position, it allowed us to highlight some differences between players of various score classes. As can be interpreted from the data shown in Table 7 and Table 9, in test #T1, the subject with the lowest class performed the rotation movement in both directions slower than his teammates and made a smaller overall rotation angle. Despite this limitation, however, he did not show significant differences in the fluidity of movement speed, considering the data shown in Table 8. Interestingly, unlike #T1, #T2, and #T5, both with a lower limb amputation, performed both rotations with good speed and a significant difference in the variance of the finite differences, suggesting less continuity and fluidity of movement. As already hypothesized by the classifiers, it is worth noting that players with coordination impairment, therefore with spasticity, generally have more problems than players with impairments affecting the same limbs but with preserved coordination skills. As a result, a player with a strength impairment may move better than a player with spasticity, even though the impaired limbs are the same.
Potentiality and Limitations
Through the proposed system, promising insights into the characteristics of specific disabilities in WPA emerged in this study. This pilot study aimed to contribute to the developing classification protocols by international committees based on minimally invasive, discipline-specific objective testing. Compared to the use of video analysis techniques, the use of specific instrumentation proposed in this paper allows for a more objective assessment that can provide critical information for classifiers while giving feedback to the coaches on how the athletes play to ensure better results in subsequent matches. Using an IMU only for this study allowed a proper analysis of the swimming actions (horizontal position). In contrast, for the actions in which the player is in the vertical position, i.e., passes and shooting mainly, specific protocols, such as those proposed in [], could be exploited. In addition, integrating such a system with others already proposed in the literature, for example, based on video analysis, could provide additional technical and tactical aspects to the investigation [,,,,].
The statistical investigation aimed to provide the performance model of WPA, which is complex since performance analysis depends on various factors such as playing technique, physical conditioning, and, in Paralympic sports, also the specific disability. The major limitation is the markedly small sample on which this first survey was based. Indeed, these types of studies conducted on Paralympic sports are very difficult because of the variability of eligible disabilities and the difficulty of involving large numbers of subjects. For this reason, the contribution of international federations, combined with the process of standardizing assessment protocols, could allow a useful exchange of information to increase the significance of the study.
Finally, the study helps coaches to understand the dynamics of this complex sport better, and that it is even more complicated by the various and even less predictable reactions of players who move in the water environment with complete personal functionality, capacity, and ability. Following these considerations, further analysis and research are needed to evolve the proposed classification.
5. Conclusions
This pilot study successfully demonstrated a single IMU’s utility for objectively assessing WPA athletes’ performance across various game aspects.
The results of the tests performed have shown that:
- There was no significant difference in the average percentage of time spent in vertical (61.2% in WPA vs. 60.3% in traditional WP, Δ = 0.88%, p = 0.841) and horizontal positions between WPA and WP athletes.
- Low-class players stay horizontal for more time because they take more time to move from one side of the pool to the other, while high-class players are quicker in their displacements. This way, they can dedicate more time to passing and covering the defensive positions, waiting for slower players to return.
- Consistent with the classification system, performance metrics in swimming showed strong positive correlations with classification points.
- IMU-derived metrics like the variance of finite differences and spectral analysis have been useful in quantifying movement quality. For instance, players with coordination impairment (spasticity) exhibited lower smoothness in turning movements, suggesting less fluid execution than players with other impairments affecting the same limbs.
Using a protocol that includes analysis of the match, swim phases, turning movements, and actions performed in the vertical floating position (i.e., passing and shooting) proves to be of great interest to the classifiers, allowing a deeper evaluation. Findings strongly support the proposed system’s potential to refine and standardize classification protocols for water polo ability, moving towards a more objective and evidence-based evaluation process. Future research is needed to collect more data and expand on these findings with larger, more diverse samples to validate these metrics further and inform future classification guidelines.
Author Contributions
Conceptualization, C.R., L.C., A.G. and V.B.; methodology, C.R., I.C., L.C., A.G., G.A. and V.B.; formal analysis, I.C. and C.F.; investigation, C.R., I.C., L.C. and C.F.; data curation, C.R., L.C. and C.F.; writing—original draft preparation, L.C. and C.F.; writing—review and editing, C.R., I.C., A.G., G.A. and V.B.; visualization, F.C., S.E., M.G., E.R.M. and E.P.; supervision, A.G., E.R.M., E.P., G.A. and V.B. All authors have read and agreed to the published version of the manuscript.
Funding
This research received no external funding.
Institutional Review Board Statement
The study was approved by the Internal Research Board of the University of Rome Tor Vergata (prot. No. 09/24, 10 June 2024). All the procedures involved in this study were in accordance with the Declaration of Helsinki.
Informed Consent Statement
Informed consent was obtained from all the subjects involved in the study.
Data Availability Statement
The data presented in this study are available upon request from the corresponding author.
Acknowledgments
This work was carried out as part of the agreement between the University of Rome Tor Vergata and the Italian Paralympic Swimming Federation (FINP) on the assessment and biomechanical measurements of the movements of Paralympic water polo athletes. The authors would like to thank the current President of the FINP Franco Riccobello and the former President Roberto Valori, the Italian Paralympics Committee (CIP), water sports teams Napoli Lions, Rari Nantes Florentia, Swimming Club Tivoli, and Octopus A.C. Rome for allowing the measurements and providing the spaces for use. The authors thank Associazione Gian Franco Lupo—Un sorriso alla vita—ONLUS for supporting research through a liberal donation.
Conflicts of Interest
The authors declare no conflicts of interest.
References
- De Luigi, A.J. Adaptive Sports Medicine; Springer: Cham, Switzerland, 2018; Volume 402. [Google Scholar]
- Blauwet, C.A.; Benjamin-Laing, H.; Stomphorst, J.; Van de Vliet, P.; Pit-Grosheide, P.; Willick, S.E. Testing for Boosting at the Paralympic Games: Policies, Results and Future Directions. Br. J. Sports Med. 2013, 47, 832–837. [Google Scholar] [CrossRef]
- Tweedy, S.M.; Vanlandewijck, Y.C. International Paralympic Committee Position Stand—Background and Scientific Principles of Classification in Paralympic Sport. Br. J. Sports Med. 2011, 45, 259–269. [Google Scholar] [CrossRef]
- Vanlandewijck, Y.C.; Thompson, W.R. Handbook of Sports Medicine and Science: The Paralympic Athlete; John Wiley & Sons: Hoboken, NJ, USA, 2011. [Google Scholar]
- Mann, D.L.; Tweedy, S.M.; Jackson, R.C.; Vanlandewijck, Y.C. Classifying the Evidence for Evidence-Based Classification in Paralympic Sport. J. Sports Sci. 2021, 39, 1–6. [Google Scholar] [CrossRef] [PubMed]
- Di Palma, D.; Ascione, A.; Masala, D. Pallanuoto: Dalle Metodologie Dell’Allenamento Ai Benefici Psico-Fisici e Sociali. Form. Insegn. 2018, 16, 205–212. [Google Scholar]
- Idrizović, K.; Milošević, D.; Pavlović, R. Physiological Diferencess between Top Elite and Elite Waterpolo Players. Sport Sci. 2013, 6, 59–65. [Google Scholar]
- Smith, H.K. Applied Physiology of Water Polo. Sports Med. 1998, 26, 317–334. [Google Scholar] [CrossRef]
- Solum, J. Science of Shooting Water Polo Fundamentals; Lulu. com: Morrisville, NC, USA, 2010. [Google Scholar]
- Snyder, P. Water Polo for Players & Teachers of Aquatics; LA Olympic Foundation: Los Angeles, CA, USA, 2008. [Google Scholar]
- Dimitric, G.; Kontic, D.; Versic, S.; Scepanovic, T.; Zenic, N. Validity of the Swimming Capacities and Anthropometric Indices in Predicting the Long-Term Success of Male Water Polo Players: A Position-Specific Prospective Analysis over a Ten-Year Period. Int. J. Environ. Res. Public Health 2022, 19, 4463. [Google Scholar] [CrossRef]
- Canossa, S.; Fernandes, R.J.; Estriga, L.; Abraldes, J.A.; Lupo, C.; Garganta, J.M. Water Polo Offensive Methods after the 2018 FINA Rules Update. Int. J. Environ. Res. Public Health 2022, 19, 2568. [Google Scholar] [CrossRef]
- Lozovina, M.; Durović, N.; Katić, R. Position Specific Morphological Characteristics of Elite Water Polo Players. Coll. Antropol. 2009, 33, 781–789. [Google Scholar]
- Botonis, P.G.; Toubekis, A.G.; Platanou, T.I. Physiological and Tactical On-Court Demands of Water Polo. J. Strength Cond. Res. 2019, 33, 3188–3199. [Google Scholar] [CrossRef]
- De Jesus, K.; Figueiredo, P.; De Jesus, K.; Pereira, F.; Vilas-Boas, J.P.; Machado, L.; Fernandes, R.J. Kinematic Analysis of Three Water Polo Front Crawl Styles. J. Sports Sci. 2012, 30, 715–723. [Google Scholar] [CrossRef]
- Caprioli, L.; Romagnoli, C.; Campoli, F.; Edriss, S.; Padua, E.; Bonaiuto, V.; Annino, G. Reliability of an Inertial Measurement System Applied to the Technical Assessment of Forehand and Serve in Amateur Tennis Players. Bioengineering 2025, 12, 30. [Google Scholar] [CrossRef]
- Alcala, E.; Voerman, J.; Konrath, J.; Vydhyanathan, A. Xsens DOT Wearable Sensor Platform White Paper. White Paper, 20 January 2021. [Google Scholar]
- Slopecki, M.; Charbonneau, M.; Deguire, S.; Côté, J.N.; Clément, J. Technical Performance Analyses in Elite Paralympic Swimming Using Wearable Technology: Two Case Studies. Sports Biomech. 2025, 1–14. [Google Scholar] [CrossRef]
- Delhaye, E.; Bouvet, A.; Nicolas, G.; Vilas-Boas, J.P.; Bideau, B.; Bideau, N. Automatic Swimming Activity Recognition and Lap Time Assessment Based on a Single IMU: A Deep Learning Approach. Sensors 2022, 22, 5786. [Google Scholar] [CrossRef]
- Hamidi Rad, M.; Aminian, K.; Gremeaux, V.; Massé, F.; Dadashi, F. Swimming Phase-Based Performance Evaluation Using a Single IMU in Main Swimming Techniques. Front. Bioeng. Biotechnol. 2021, 9, 793302. [Google Scholar] [CrossRef]
- Xu, D.; Zhou, H.; Jie, T.; Zhou, Z.; Yuan, Y.; Jemni, M.; Quan, W.; Gao, Z.; Xiang, L.; Gusztav, F.; et al. Data-Driven Deep Learning for Predicting Ligament Fatigue Failure Risk Mechanisms. Int. J. Mech. Sci. 2025, 301, 110519. [Google Scholar] [CrossRef]
- Chen, T.; Xu, D.; Zhou, Z.; Zhou, H.; Shao, S.; Gu, Y. Prediction of Vertical Ground Reaction Forces Under Different Running Speeds: Integration of Wearable IMU with CNN-xLSTM. Sensors 2025, 25, 1249. [Google Scholar] [CrossRef]
- Arlotti, J.S.; Carroll, W.O.; Afifi, Y.; Talegaonkar, P.; Albuquerque, L.; Ball, J.E.; Chander, H.; Petway, A. Benefits of IMU-Based Wearables in Sports Medicine: Narrative Review. Int. J. Kinesiol. Sports Sci. 2022, 10, 36–43. [Google Scholar] [CrossRef]
- Bouvet, A.; Pla, R.; Delhaye, E.; Nicolas, G.; Bideau, N. Profiling Biomechanical Abilities during Sprint Front-Crawl Swimming Using IMU and Functional Clustering of Variabilities. Sports Biomech. 2024, 1–21. [Google Scholar] [CrossRef]
- Chadefaux, D.; Olivié, J.; Bonnet, X. Whole-Body Vibration Exposure during Snowboard with Lower Limb Amputations. In Proceedings of the 2024 IEEE International Workshop on Sport, Technology and Research (STAR), Lecco, LC, Italy, 8–10 July 2024; pp. 60–65. [Google Scholar]
- Paté, A.; Petel, M.; Belhassen, N.; Chadefaux, D. Radiated Sound and Transmitted Vibration Following the Ball/Racket Impact of a Tennis Serve. Vibration 2024, 7, 894–911. [Google Scholar] [CrossRef]
- Verdel, N.; Mohorcic, M.; Drobnic, M.; Supej, M.; Depolli, M. Time Synchronization in Wireless Imu Sensors for Accurate Gait Analysis during Running. In Proceedings of the 2023 IEEE International Workshop on Sport, Technology and Research (STAR), Cavalese, TN, Italy, 14–16 September 2023; pp. 126–129. [Google Scholar]
- Leddy, C.; Bolger, R.; Byrne, P.J.; Kinsella, S.; Zambrano, L. Concurrent Validity of the Human Pose Estimation Model “MediaPipe Pose” and the XSENS Inertial Measuring System for Knee Flexion and Extension Analysis During Hurling Sport Motion. In Proceedings of the 2023 IEEE International Workshop on Sport, Technology and Research (STAR), Cavalese, YN, Italy, 14–16 September 2023; pp. 49–52. [Google Scholar]
- Slopecki, M.; Charbonneau, M.; Lavallière, J.-M.; Côté, J.N.; Clément, J. Validation of Automatically Quantified Swim Stroke Mechanics Using an Inertial Measurement Unit in Paralympic Athletes. Bioengineering 2023, 11, 15. [Google Scholar] [CrossRef]
- Edriss, S.; Romagnoli, C.; Caprioli, L.; Zanela, A.; Panichi, E.; Campoli, F.; Padua, E.; Annino, G.; Bonaiuto, V. The Role of Emergent Technologies in the Dynamic and Kinematic Assessment of Human Movement in Sport and Clinical Applications. Appl. Sci. 2024, 14, 1012. [Google Scholar] [CrossRef]
- Tweedy, S.M.; Beckman, E.M.; Connick, M.J. Paralympic Classification: Conceptual Basis, Current Methods, and Research Update. PMR 2014, 6, S11–S17. [Google Scholar] [CrossRef]
- International Paralympic Committee IPC CLASSIFICATION 2024. Available online: https://www.paralympic.org/classification-code (accessed on 1 July 2025).
- World Para Swimming CLASSIFICATION IN PARA SWIMMING 2024. Available online: https://www.paralympic.org/swimming/classification (accessed on 1 July 2025).
- Brown, M.; Hislop, H.; Avers, D. Daniels and Worthingham’s Muscle Testing-E-Book: Daniels and Worthingham’s Muscle Testing-E-Book; Elsevier Health Sciences: Singapore, 2013. [Google Scholar]
- Mullaney, M.J.; McHugh, M.P.; Johnson, C.P.; Tyler, T.F. Reliability of Shoulder Range of Motion Comparing a Goniometer to a Digital Level. Physiother. Theory Pract. 2010, 26, 327–333. [Google Scholar] [CrossRef]
- Kolber, M.J.; Hanney, W.J. The Reliability and Concurrent Validity of Shoulder Mobility Measurements Using a Digital Inclinometer and Goniometer: A Technical Report. Int. J. Sports Phys. Ther. 2012, 7, 306–313. [Google Scholar]
- Federazione Sportiva Paralimpica REGOLAMENTO DELLE CLASSIFICAZIONI DISCIPLINA PALLANUOTO; Approvata con delibera di Consiglio Federale n. 115 del 1 3 /12/2022 2022. Available online: https://www.finp.it/kp/uploads/regolamento-tecnico-pallanuoto-paralimpica-2025-(approvato)_001.pdf (accessed on 1 July 2025).
- Federazione Italiana Nuoto Paralimpico. Finp 2025. Available online: https://www.finp.it (accessed on 1 July 2025).
- Frontuto, C.; Campoli, F.; Caprioli, L.; Edriss, S.; Galvan, A.; Giugliano, M.; Romagnoli, C.; Annino, G.; Bonaiuto, V. Technical Assessment in Paralympic Water Polo: A Measurement Protocol to Support the Classification of Athletes with Disabilities. In Proceedings of the 2024 IEEE International Workshop on Sport, Technology and Research (STAR), Lecco, LC, Italy, 8–10 July 2024; pp. 54–59. [Google Scholar]
- Movella Technologies. Xsens DOT. Available online: https://www.movella.com (accessed on 1 July 2025).
- Beange, K.H.; Chan, A.D.; Graham, R.B. Investigating Concurrent Validity of Inertial Sensors to Evaluate Multiplanar Spine Movement. J. Biomech. 2024, 164, 111939. [Google Scholar] [CrossRef]
- Luinge, H.J.; Bellusci, G.; Dijkstra, F. Compression of IMU Data for Transmission of AP. U.S. Patent 20120223846A1, 17 March 2015. [Google Scholar]
- Caruso, M.; Sabatini, A.M.; Knaflitz, M.; Gazzoni, M.; Della Croce, U.; Cereatti, A. Accuracy of the Orientation Estimate Obtained Using Four Sensor Fusion Filters Applied to Recordings of Magneto-Inertial Sensors Moving at Three Rotation Rates. In Proceedings of the 2019 41st annual International Conference of the IEEE engineering in medicine and biology Society (EMBC), Berlin, Germany, 23–27 July 2019; pp. 2053–2058. [Google Scholar]
- Brückner, H.-P.; Spindeldreier, C.; Blume, H. Exploring Energy Efficiency of Hardware-Architectures for IMU Based Orientation Estimation. In Sensing Technology: Current Status and Future Trends III; Springer: Cham, Switzerland, 2015; pp. 157–178. [Google Scholar]
- LaFiandra, M.; Lynch, S.; Frykman, P.; Harman, E.; Ramos, H.; Mello, R. A Comparison of Two Commercial off the Shelf Backpacks to the Modular Lightweight Load Carrying Equipment (MOLLE) in Biomechanics, Metabolic Cost and Performance; US Army Research Institute of Environmental Medicine: Natick, MA, USA, 2003; p. t03-15. [Google Scholar]
- Bouvet, A.; Pla, R.; Delhaye, E.; Nicolas, G.; Bideau, N. Profiles of Stroke Regulations Discriminate between Finishing Positions during International Open Water Races. J. Sports Sci. 2023, 41, 1309–1316. [Google Scholar] [CrossRef]
- Morais, J.E.; Barbosa, T.M.; Nevill, A.M.; Cobley, S.; Marinho, D.A. Understanding the Role of Propulsion in the Prediction of Front-Crawl Swimming Velocity and in the Relationship between Stroke Frequency and Stroke Length. Front. Physiol. 2022, 13, 876838. [Google Scholar] [CrossRef]
- Verrelli, C.; Romagnoli, C.; Jackson, R.; Ferretti, I.; Annino, G.; Bonaiuto, V. Front Crawl Stroke in Swimming: Phase Durations and Self-Similarity. J. Biomech. 2021, 118, 110267. [Google Scholar] [CrossRef] [PubMed]
- Romagnoli, C.; Bonaiuto, V.; Gatta, G. Arm Propulsion in Front Crawl Stroke. Sports 2025, 13, 6. [Google Scholar] [CrossRef] [PubMed]
- Wagenmakers, E.-J. Jasp 0.18.3 2024. Available online: https://jasp-stats.org (accessed on 1 July 2025).
- Moorey, R. Jpower; github: Tokyo, Japan, 2017. [Google Scholar]
- Lupo, C.; Tessitore, A.; Minganti, C.; Capranica, L. Notational Analysis of Elite and Sub-Elite Water Polo Matches. J. Strength Cond. Res. 2010, 24, 223–229. [Google Scholar] [CrossRef] [PubMed]
- Lupo, C.; Condello, G.; Tessitore, A. Notational Analysis of Elite Men’s Water Polo Related to Specific Margins of Victory. J. Sports Sci. Med. 2012, 11, 516–525. [Google Scholar] [PubMed]
- Platanou, T.; Geladas, N. The Influence of Game Duration and Playing Position on Intensity of Exercise during Match-Play in Elite Water Polo Players. J. Sports Sci. 2006, 24, 1173–1181. [Google Scholar] [CrossRef] [PubMed]
- Dong, L.; Berryman, N.; Romeas, T. Questioning the Validity and Reliability of Using a Video-Based Test to Assess Decision Making among Female and Male Water Polo Players. Int. J. Sports Sci. Coach. 2024, 19, 628–637. [Google Scholar] [CrossRef]
Disclaimer/Publisher’s Note: The statements, opinions and data contained in all publications are solely those of the individual author(s) and contributor(s) and not of MDPI and/or the editor(s). MDPI and/or the editor(s) disclaim responsibility for any injury to people or property resulting from any ideas, methods, instructions or products referred to in the content. |
© 2025 by the authors. Licensee MDPI, Basel, Switzerland. This article is an open access article distributed under the terms and conditions of the Creative Commons Attribution (CC BY) license (https://creativecommons.org/licenses/by/4.0/).