Abstract
To develop an ultra-high performance concrete (UHPC) wall structure suitable for nuclear power plant applications, this study establishes a finite element model to evaluate the ultimate bearing capacity of UHPC walls under eccentric compression with single-sided thermal loading during accident conditions. The accuracy and reliability of the finite element analysis (FEA) method were rigorously validated by simulating and replicating experimental results using the same modeling approach adopted in this study. Based on the validated model, the influence of single-sided thermal loading on the ultimate bearing capacity of UHPC walls under nuclear power plant accident conditions was thoroughly investigated. Key parameters—including the reinforcement ratio, steel fiber volume fraction, temperature, eccentricity, and concrete strength grade—were systematically analyzed to determine their effects on the ultimate bearing capacity of UHPC wall specimens. The results demonstrate that the reinforcement ratio, steel fiber volume fraction, temperature, eccentricity, and concrete strength grade significantly affect the degradation rate of the ultimate load of UHPC walls as the temperature increases. Additionally, this paper proposes a calculation method for the normal section bearing capacity of rectangular cross-sections in UHPC large eccentric compression members under single-sided thermal loads. These findings provide theoretical support and scientific evidence for the design of new UHPC structural specimens in nuclear power plants.
1. Introduction
In the structural design of nuclear power plants, the Loss of Coolant Accident (LOCA) represents one of the most severe design basis accidents. During LOCA scenarios, structural temperatures may rapidly escalate to 138–300 °C or beyond [1,2]. These elevated temperatures frequently coincide with external mechanical loading, such as seismic events, generating substantial secondary stresses through thermal axial forces and bending moments. Furthermore, the High-Energy Piping Break (HEPB) constitutes another critical internal hazard in the nuclear power plant design, similarly creating high-temperature environments. These combined thermal–mechanical effects impose rigorous demands on structural safety, requiring a comprehensive consideration of temperature–stress coupling mechanisms to maintain structural integrity during accident conditions.
UHPC, distinguished by its superior strength, exceptional toughness, and enhanced durability, exhibits significant potential for structural engineering applications [3,4]. The fiber reinforcement within the UHPC matrix effectively restricts crack development, allowing UHPC elements to sustain substantial flexural capacity without conventional steel reinforcement [5,6]. Structural systems utilizing unreinforced UHPC not only achieve considerable weight reduction but also streamline construction procedures [7,8], advantages that have facilitated their successful implementation in numerous domestic and international projects.
The mechanical behavior of UHPC is fundamentally governed by fiber characteristics, with the hybridization of different fiber types capable of substantially modifying its performance. Huang [9] demonstrated that randomly dispersed steel fibers effectively retard the deterioration of UHPC’s mechanical properties at 800 °C. Ahmad [10] established empirical models correlating UHPC’s high-temperature mechanical behavior with fiber content and thermal exposure duration. Zhu [11] systematically classified the effects of distinct fiber types on UHPC’s elevated-temperature performance, whereas Ren [12] examined the synergistic enhancement mechanism between plant-derived and steel fibers in UHPC under thermal loading. Xiong [13] comprehensively analyzed the impacts of fiber typology, dosage, heating rate, and curing regime on UHPC’s thermo-mechanical characteristics. Current research has primarily focused on elucidating the effects of fiber parameters (type, spatial distribution, concentration) and environmental factors on UHPC’s high-temperature performance.
Concerning the elevated-temperature behavior of UHPC structural elements, Chen [14] conducted comparative analyses of UHPC and High-Strength Concrete (HSC) beams, revealing superior stiffness retention and enhanced ductility in UHPC specimens under thermal loading. Banerji [15] systematically investigated the fire performance of ultra-high performance fiber-reinforced concrete beams, demonstrating that polypropylene fiber incorporation substantially improves fire endurance. Yang [16] identified markedly different shear failure patterns in full-scale UHPC beam models exposed to fire conditions compared to ambient-temperature specimens, with increased reinforcement ratios effectively inhibiting crack propagation. Li [17] performed experimental studies on UHPC column elements subjected to combined fire and axial loading conditions, noting that load eccentricity critically diminishes fire resistance while predominantly triggering explosive spalling on the compression face. Banerji [18] developed a macroscopic finite element model for assessing the fire resistance capacity of UHPC beam specimens. Choe [19] examined the post-fire residual capacity of UHPC column models and established an empirical prediction methodology for strength degradation after high-temperature exposure. Christ [20] evaluated the long-term performance of polypropylene-fiber-reinforced UHPC column specimens following 180-day high-temperature curing. Current research on UHPC beam and column elements has principally examined the following: flexural and shear failure modes, fire resistance under multi-axial heating conditions, and post-fire residual structural capacity.
While existing research primarily focuses on the performance of UHPC beam and column elements under multi-directional fire exposure, LOCA and HEPB accident scenarios are typically characterized by unilateral heating conditions. This study investigates UHPC wall specimens subjected to unilateral thermal loading through nonlinear finite element modeling, systematically analyzing the thermo-mechanical coupling effects on their ultimate bearing capacity. The research outcomes provide both a theoretical basis and engineering methodology support for the design of UHPC wall structures in nuclear power plants.
2. Finite Element Modeling and Validation
2.1. Experimental Introduction
To validate the fidelity of material constitutive model parameters and the proposed numerical framework, experimental data from fire resistance tests on UHPC columns subjected to eccentric loading (Specimen ID: U-PPST-30, reported by LI Y [17]) were utilized for model calibration and validation. A finite element (FE) model was developed to simulate the behavior of the eccentrically loaded UHPC column (Specimen ID: U-PPST-30) under standard fire exposure on all four sides, as reported in Reference [17]. The geometric configuration and material mechanical properties are detailed in Figure 1 and Table 1. The column specimen experienced complete cross-sectional thermal exposure during testing.
Figure 1.
Column structure design [17].
Table 1.
Mechanical properties of materials [17].
2.2. Establishment of the Finite Element Model
In this section, the finite element software ABAQUS (6.14) is used to numerically simulate the test column described in Section 2.1.
2.2.1. Material Constitutive Model
In the numerical simulation of eccentrically compressed UHPC column elements under four-face thermal loading, the compressive strength, tensile strength, and elastic modulus were calculated using the analytical expressions established in References [21,22,23,24]. The high-temperature compressive stress–strain behavior was modeled based on Reference [21], while the tensile stress–strain response was characterized using the constitutive models from References [25,26]. The elevated-temperature thermophysical properties were evaluated through the formulations presented in References [21,27].
The fundamental mechanical parameters of UHPC were determined via Equations (1)–(5). The tensile and compressive constitutive relationships were described by Equations (6) and (7), respectively. The thermophysical characteristics, including the specific heat capacity, coefficient of thermal expansion, and thermal conductivity, were computed according to Equations (8)–(10). Figure 2 illustrates the tensile constitutive relationship, whereas Figure 3 presents the compressive constitutive behavior.
where and are the axial compressive strengths of UHPC at high temperature T and at room temperature respectively, and are the axial tensile strengths of UHPC at high temperature T and at room temperature, respectively, and are the elastic modulus of UHPC at high temperature T and at room temperature, respectively, is the cube compressive strength of UHPC at room temperature, and is the characteristic parameter of the volume content of steel fibers.
where is the ratio of the tensile stress to the peak tensile stress at high temperature T, and is the ratio of the tensile strain to the peak tensile strain at high temperature T.
where and are the compressive stress and compressive strain of UHPC, respectively, , , and are the temperature coefficients, is the peak compressive strain of UHPC at high temperature T, and is the axial compressive strength of UHPC at high temperature T.
where , , and denote the specific heat capacity, thermal expansion coefficient, and thermal conductivity of UHPC, respectively, and T denotes temperature.
Figure 2.
Tensile stress–strain curves of UHPC.
Figure 3.
Compressive stress–strain curves of UHPC.
The steel bars follow an ideal elastic–plastic model satisfying the Von Mises yield criterion. Under elevated temperatures, their stress–strain relationship is idealized as a bilinear model incorporating the yield strength and elastic modulus specified in the European standard [28]. The thermophysical properties of steel bars at high temperatures were calculated using expressions from References [28,29,30]. As shown in Figure 4, the constitutive relationship curve employs yield strength and elastic modulus defined by Equations (11) and (12), while the specific heat capacity, thermal expansion coefficient, and thermal conductivity are determined from Equations (13)–(15).
where , , and denote the specific heat capacity, thermal expansion coefficient, and thermal conductivity of steel bars, respectively, and T denotes temperature.
Figure 4.
Stress and strain relation curve of steel bar.
2.2.2. Modeling Details and Parameter Settings
Since both ends of the column member in the test can rotate freely within the bending plane of the column while restricting the translational degrees of freedom, in the finite element model, both ends of the UHPC column member are set as hinge supports with axial eccentric forces applied. The loading end restricts 4 degrees of freedom (, , , ), and the reaction end restricts 5 degrees of freedom (, , , , ). In this section, the finite element analysis method used is sequential thermal–mechanical coupling, which is divided into heat transfer analysis and thermal–mechanical coupling analysis. Therefore, two element types need to be specified for both UHPC and steel reinforcement. For UHPC, DC3D8 (3D 8-node linear continuum element) and C3D8R (3D 8-node linear brick, reduced integration element) elements are used, while for steel reinforcement, DC1D2 (1D 2-node linear continuum element) and T3D2 (3D 2-node truss element) elements are adopted, respectively. A mesh sensitivity analysis was conducted, and the setting method with the highest accuracy (40 mm) was selected. An embedded interaction was defined between UHPC and steel reinforcement. The finite element model of the UHPC column is shown in Figure 5.
Figure 5.
Finite element model of column.
Under high-temperature conditions, the external temperature is transferred to the cross-section through heat convection, heat radiation, and heat conduction. The heat radiation coefficient of the concrete surface is taken as 0.7, and the convective heat transfer coefficient is taken as . The Stefan–Boltzmann constant is defined as , and the absolute zero is defined as −273 °C. The high-temperature condition of the UHPC column specimen is realized through a test furnace, and the temperature rise curve of the test furnace is shown in Figure 6. Within the first 40 min of heating, the temperature of the test furnace is slightly lower than the standard ISO 834 [31] curve. After 40 min, the temperature of the test furnace is slightly higher than the ISO 834 curve. The maximum difference between the furnace temperature and the ISO 834 curve is approximately 100 °C. The temperature rise curve in the finite element simulation is consistent with that of the test furnace.
Figure 6.
The temperature rise curve of the test furnace.
2.3. Simulation Results and Correctness Verification
Figure 7 presents the temperature distribution obtained from finite element modeling. Comparative temperature–time curves at the cross-sectional centroid from both experimental measurements and numerical simulations are shown in Figure 8. The heat transfer analysis rigorously adhered to experimental protocols, maintaining an identical heating duration (47 min). The results demonstrate excellent agreement between simulated and measured temperature profiles during the initial 30 min period. Beyond this interval (30–47 min), the model predicts slightly elevated temperatures compared to experimental data. This deviation likely stems from moisture evaporation-induced cooling effects in the concrete specimen—a thermodynamic process not fully captured by the ABAQUS thermal analysis module. The overall comparison validates that the adopted thermal parameters and boundary conditions effectively represent the temperature field evolution in structural elements.
Figure 7.
The temperature distribution of the specimen in the finite element simulation.
Figure 8.
Temperature–time curve.
Figure 9 compares the experimental failure modes of UHPC specimens with the corresponding plastic strain distributions obtained from finite element modeling. The numerical results demonstrate an accurate representation of compression zone evolution in thermally loaded UHPC column elements, showing remarkable consistency with experimental observations regarding both failure patterns and compressive damage localization.
Figure 9.
Comparison of the fitting of the failure mode of the specimen.
Figure 10 presents a comparative analysis of axial displacement–time relationships between experimental measurements and finite element simulations. The fire resistance behavior of UHPC structural elements undergoes three distinct phases during thermal loading: the (1) expansion phase, (2) contraction phase, and (3) failure phase.
Figure 10.
Load-midspan deflection curve.
During the initial expansion phase, the element exhibits a gradual thermal deformation proportional to temperature increase, with minimal axial displacement. This behavior stems from the 30 mm eccentric loading condition, where induced lateral deflection counterbalances thermal expansion effects.
The subsequent contraction phase demonstrates steady axial shortening from peak expansion to original dimensions. This phenomenon results from a progressive stiffness reduction in the UHPC column due to the temperature-induced degradation of both reinforcing steel and concrete material properties. The magnitude of strength-related contraction exceeds thermal expansion displacement during this phase.
The terminal failure phase manifests as rapid axial displacement accumulation following length recovery, ultimately leading to structural collapse. This accelerated deformation correlates with exponentially increasing material property degradation rates at elevated temperatures.
Based on axial displacement–time curve analysis from Reference [17], specimen U-PPST-30 exhibited a maximum experimental expansion displacement of 0.81957 mm, while the finite element model predicted 0.81813 mm. Comparative analysis in Figure 10 reveals a 4 min discrepancy (≈10% error) between simulated and measured fire resistance durations. These results demonstrate that the adopted finite element modeling approach and material constitutive parameters effectively capture the thermo-mechanical behavior of UHPC structural elements, establishing a reliable basis for subsequent investigations.
3. Bearing Capacity Analysis of UHPC Eccentrically Compressed Walls Under Unidirectional Thermal Loads
3.1. Establishment and Solution of UHPC Wall Models
3.1.1. Specimen Design
In this study, a total of 60 UHPC wall specimens were designed. The specific parameter details are presented in Table 2, and the schematic diagram of the specimens is shown in Figure 11. The dimensions of the eccentrically compressed walls are 800 mm × 400 mm × 2000 mm. The research parameters include load eccentricity, the reinforcement ratio, steel fiber volume fraction, heated surface temperature, and concrete strength grade.
Table 2.
Parameter values of the wall model.
Figure 11.
Structural design.
For specimens with a 1% reinforcement ratio, double-layer reinforcement was adopted. Each layer of longitudinal reinforcement consisted of 8 HRB 400 steel bars with a diameter of 16 mm, spaced at 100 mm. Each layer of horizontal reinforcement comprised 11 HRB 400 steel bars with a diameter of 22 mm, spaced at 190 mm. Straight steel fibers with a diameter of 0.16 mm and a length of 13 mm were selected. The loading pads were made of HRB 400 steel. Due to the significantly higher stiffness and other mechanical properties of steel compared to concrete, the pads were considered to be nearly rigid bodies, and their deformation was neglected.
3.1.2. High-Temperature Simulation and Model Establishment
Under LOCA conditions, coolant depletion leads to sustained reactor temperature escalation, inducing thermal transients in adjacent concrete structures through heat transfer mechanisms. HEPB events generate substantial pressure differentials across pipe walls, resulting in high-velocity fluid discharge through ruptures. The resultant jet stream exerts dynamic impact loads upon encountering structural obstructions (e.g., equipment, piping systems), while simultaneously transferring thermal energy to surrounding elements. Thermal histories of containment structures, derived from nuclear accident temperature–time profiles in References [32,33] (Design Control Documents DCD 2011, DCD 2012), demonstrate rapid temperature escalation to 138–166 °C (280–330 °F), followed by gradual cooling through structural heat dissipation (Figure 12). These elevated temperatures typically persist for multiple days. While Chinese Code NBT 20012-2010 [34] specifies 175 °C as the design basis temperature for accident scenarios, localized temperatures near jet impingement zones may reach 345 °C. This study examines four characteristic peak temperatures (100 °C, 150 °C, 200 °C, 250 °C) to represent accident thermal conditions, with corresponding temperature evolution curves presented in Figure 13.
Figure 12.
The accident temperature–time curve of the main compartments in a nuclear power plant.
Figure 13.
Temperature–time curves under different accident thermal conditions.
In the finite element analysis, it is necessary not only to determine the temperature–time history curve under accident conditions, but also to determine the duration of temperature loading, that is, the most unfavorable load combination. Wu [35] developed a simplified elastic theory-based formulation for calculating nuclear power plant structural forces under LOCA thermal effects. Comparative analysis of temperature-induced forces at different time intervals revealed peak bending moments occurring 360 min post-accident, establishing this timeframe as the reference condition for structural force design.
The ABAQUS(6.14) finite element analysis software was selected for modeling, and the schematic diagram of the model is shown in Figure 14. The UHPC eccentrically compressed wall model consists of UHPC and loading pads, with reinforcement configured in some specimens. Referring to Section 2.2.2, the sequential thermal–mechanical coupling method was adopted for the analysis steps, i.e., the heat transfer analysis and mechanical analysis were performed separately. In the heat transfer analysis and mechanical analysis, the reinforcement was modeled using DC1D2 elements and T3D2 elements, respectively, while the concrete and loading pads were modeled using DC3D8 elements and C3D8R elements, respectively. To ensure the correct import of temperature, the mesh division of the structural heat transfer analysis module was kept consistent with that of the structural mechanical analysis module, with a minimum mesh size of 40 mm.
Figure 14.
Finite element model of the UHPC wall.
3.2. Analysis of the Finite Element Simulation Results of the UHPC Wall Model
3.2.1. Failure Mode
As shown in Figure 15, the figure includes four subfigures, each representing the stress nephograms of the specimen at the elastic stage and peak point under the corresponding case.
Figure 15.
Stress nephograms of the elastic segment and peak point of the model under different accident temperature conditions (Unit: MPa). (a) Under the accident condition of 100 °C. (b) Under the accident condition of 150 °C. (c) Under the accident condition of 200 °C. (d) Under the accident condition of 250 °C.
During the initial elastic loading phase, the cross-section shows a distinct mechanical characteristic. In this case, the area of the compression zone is much larger than that of the tension zone. The stress distribution presents an approximately symmetric linear gradient around the neutral axis. It remains uniform and complies with the equilibrium conditions of elastic theory. When the peak load is reached, the following significant mechanical changes take place:
- (1)
- The neutral axis moves towards the compression zone.
- (2)
- The tension zone expands and its size exceeds that in the elastic phase.
- (3)
- Stress concentrates at the edges of the cross-section.
- (4)
- The area of the compression zone decreases.
3.2.2. Analysis of the Cross-Sectional Temperature Field
Figure 16 depicts the temperature distribution nephograms of the specimen cross-section under four temperature conditions: 100 °C, 150 °C, 200 °C, and 250 °C. For each condition, the temperature ranges are 26.93–74.6 °C at 100 °C, 30.42–110.8 °C at 150 °C, 33.45–146.9 °C at 200 °C, and 36.11–182.7 °C at 250 °C. Across all conditions, as the temperature increases from 100 °C to 250 °C, both the maximum and minimum cross-sectional temperatures rise continuously, accompanied by a significant increase in the temperature gradient. Notably, the temperature distribution pattern remains consistent, exhibiting a top–high, bottom–low gradient, which aligns with the cross-sectional temperature distribution characteristics of elements with the upper surface exposed to heating.
Figure 16.
Temperature distribution nephograms of model cross-sections under different temperature conditions (Unit: °C). (a) Under the accident condition of 100 °C. (b) Under the accident condition of 150 °C. (c) Under the accident condition of 200 °C. (d) Under the accident condition of 250 °C.
3.2.3. Result Analysis
Table 3 presents the ultimate loads of each specimen under normal temperature and accident temperature conditions, respectively. The subsequent analysis focuses on the effects of eccentricity, reinforcement ratio, steel fiber volume fraction, and concrete strength grade on the ultimate load capacity of elements.
Table 3.
The ultimate bearing capacity of the specimen (Unit: kN).
Table 4 compares the simulated ultimate load values of specimens at normal temperature with the calculated values from the formula, serving as a supplementary verification of the finite element results. Here, the simulated values refer to the numerical results obtained via finite element software, while the calculated values are derived using the formulas in Ref. [36]. The discrepancy between the simulated ultimate load values and formula-derived values initially remains within a stable range. As the eccentricity increases, so does this discrepancy. The primary reasons for this divergence are twofold: under high eccentricity, the compression zone height in the UHPC specimen diminishes significantly, shifting the stress state toward a flexural-dominated mode; the simplified treatment of UHPC’s tensile contribution in the normal-temperature bearing capacity formula [36] may underestimate its actual tensile performance.
Table 4.
Comparison of simulated and calculated ultimate loads of specimens at normal temperature (Unit: kN).
- 1.
- Influence of Eccentricity:
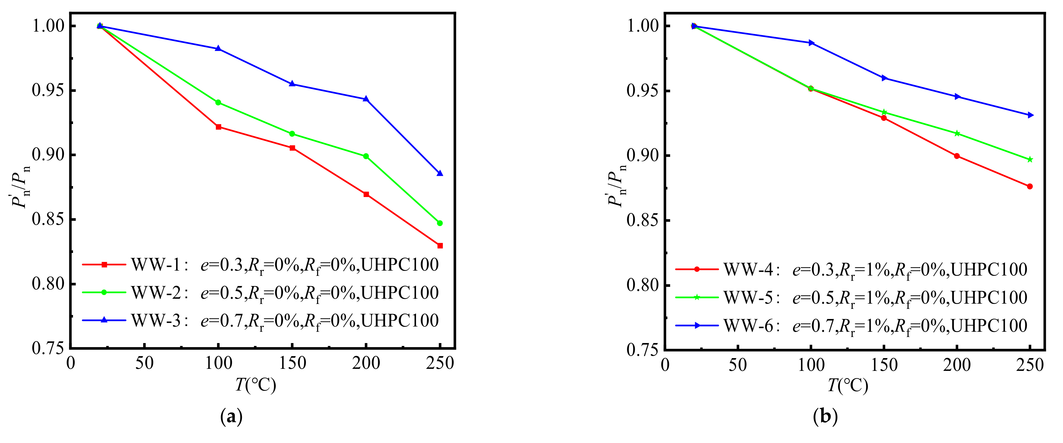
Specimens W-1, W-2, and W-3 are selected for quantitative analysis to compare their ultimate loads under varying eccentricities. These specimens are designed with a reinforcement ratio of 0%, a steel fiber volume fraction of 0%, a concrete strength grade of 100 MPa, and eccentricities of 0.3, 0.5, and 0.7, respectively. Under identical parameter conditions, the ultimate load capacity of elements decreases as eccentricity increases.
Specimens W-1, W-2, and W-3 are selected to generate Figure 17a for qualitative analysis, comparing the decay rates of their ultimate loads with temperature under varying eccentricities. Under identical parameter conditions, the decay rate of the ultimate load capacity of elements with temperature decreases as eccentricity increases.

Figure 17.
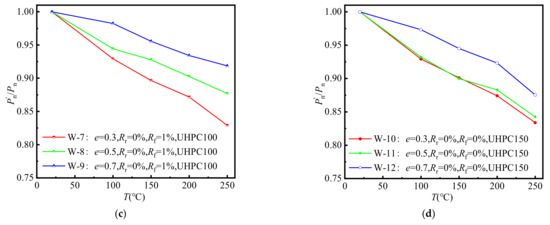
The temperature curve of specimen under different working conditions. Note: denotes the eccentricity. represents the reinforcement ratio of the specimen. represents the steel fiber volume fraction of concrete. UHPC100 denotes that the compressive strength grade of concrete is 100 MPa. T represents the temperature condition. represents the ultimate load of the specimen at temperature T. represents the ultimate load of the specimen at ambient temperature. (a) The -temperature curves of WW-1, WW-2 and WW-3. (b) The -temperature curves of WW-4, WW-5 and WW-6. (c) The -temperature curves of WW-7, WW-8 and WW-9. (d) The -temperature curves of WW-10, WW-11 and WW-12.
- 2.
- Influence of Reinforcement Ratio:
Specimens W-1 through to W-6 are selected for quantitative analysis to compare their ultimate loads under varying reinforcement ratios. Specimens W-1 to W-3 are designed with a reinforcement ratio of 0%, steel fiber volume content of 0%, concrete strength grade of 100 MPa, and eccentricities of 0.3, 0.5, and 0.7, respectively. Specimens W-4 to W-6 share identical parameters except for a 1% reinforcement ratio. Under otherwise identical conditions, the ultimate load capacity of elements increases with the reinforcement ratio.
Specimens W-4, W-5, and W-6 are selected to generate Figure 17b. A qualitative analysis is performed on Figure 17a,b to compare the attenuation rates of the ultimate load capacity of elements with temperature under varying reinforcement ratios. Under identical parameter conditions, the attenuation rate of the ultimate load capacity decreases as the reinforcement ratio increases. Specifically, at the accident temperature of 250 °C, the specimen with a 1% reinforcement ratio exhibits the most significant reduction in the attenuation rate, approximately 5% lower than that of the unreinforced specimen.
- 3.
- Effect of Steel Fiber Volume Fraction:
Specimens W-1, W-2, W-3, W-7, W-8, and W-9 are selected for quantitative analysis to compare their ultimate loads under varying steel fiber volume contents. Specimens W-1 to W-3 are designed with a reinforcement ratio of 0%, steel fiber volume content of 0%, concrete strength grade of 100 MPa, and eccentricities of 0.3, 0.5, and 0.7, respectively. Specimens W-7 to W-9 share identical parameters except for a 1% steel fiber volume content. Under otherwise identical conditions, the ultimate load capacity of elements increases with the steel fiber volume content.
Specimens W-7, W-8, and W-9 are selected to generate Figure 17c. A qualitative analysis is performed on Figure 17a,c to compare the attenuation rates of the ultimate load capacity of elements with varying steel fiber volume contents as the temperature changes. Under identical parameter conditions, increasing the steel fiber volume content reduces the attenuation rate of the ultimate load capacity at the accident temperature of 250 °C.
- 4.
- The Influence of Concrete Strength Grade:
Under identical parameter conditions, a comparison between specimens W-1, W-2, W-3 and specimens W-10, W-11, W-12 demonstrates that the ultimate load capacities of UHPC150 concrete elements are higher than those of UHPC100 concrete elements under both normal and accident temperature conditions. Specimens W-10, W-11, and W-12 are selected to generate Figure 17d. A qualitative analysis of Figure 17a,d is performed to compare the attenuation rates of the ultimate load capacities of elements with different concrete strength grades as the temperature changes. Under otherwise identical conditions, increasing the concrete strength grade from the 100 MPa level to the 150 MPa level results in a reduction of approximately 1% in the variation range of the ultimate load attenuation rate under accident temperature.
3.3. Summary
In this chapter, a UHPC wall model is established to investigate the bearing capacity of specimens under varying temperatures, reinforcement ratios, steel fiber volume fractions, and concrete strength grades, providing a theoretical foundation for the design of UHPC wall structures in new nuclear power plants. The main conclusions of this chapter are summarized as follows:
- (1)
- Load eccentricity is a dominant factor influencing the ultimate load of UHPC walls. Under identical parameters, the ultimate load of elements decreases with increasing eccentricity, while the attenuation rate of ultimate load with temperature slows down.
- (2)
- Increasing the reinforcement ratio or steel fiber volume fraction significantly enhances the bearing capacity of UHPC walls and mitigates the high-temperature attenuation of ultimate load.
- (3)
- Elevating the UHPC strength grade accelerates the high-temperature attenuation of ultimate load.
4. Calculation Formula for the Bearing Capacity of UHPC Eccentrically Compressed Specimens Under High Temperature
Under high-temperature conditions, the failure mechanism of small eccentric compression elements involves complex calculations, making it infeasible to derive a unified formula analogous to that for large eccentric compression elements. Therefore, this section focuses on investigating the calculation method for the normal section bearing capacity of rectangular cross-section UHPC large eccentric compression specimens under high-temperature conditions. The equivalent cross-section method is adopted herein to address the effects of high temperature on the bearing capacity of UHPC members [37]. Through experimental research and theoretical analysis, Yang Jianping et al. [32] revealed that the failure mode and cross-sectional stress–strain behavior of reinforced concrete eccentric compression elements under high temperature exhibit similarities to those at normal temperature, with the exception that the strengths of steel bars and concrete must be reduced correspondingly according to temperature. Based on this theory, the following assumptions are made in this section:
- (1)
- Plane-section assumption: the cross-section remains plane and perpendicular to the longitudinal axis before and after deformation.
- (2)
- Negligible bond-slip: the interaction between steel reinforcement and UHPC is assumed to be perfect, without considering bond-slip effects.
- (3)
- Known temperature field: the temperature distribution across the entire cross-section of the specimen is assumed to be known and uniform.
- (4)
- Bilinear model for UHPC strength: The compressive strength of UHPC under high temperature (see Formulas (1) and (2)) and tensile strength (see Formulas (3) and (4)) are simplified using a two-step bilinear model.
- (5)
- Piecewise-linear and curved model for steel strength: The yield strength of steel reinforcement under high temperature (see Formula (8)) is modeled as a combination of linear segments and a curve.
The simplified model of the compressive strength of UHPC under high temperature is shown in Figure 18, and the simplified model of the tensile strength of UHPC under high temperature is shown in Figure 19.
Figure 18.
Simplification of the compressive strength of UHPC at high temperature.
Figure 19.
Simplification of the tensile strength of UHPC at high temperature.
The yield strength model of the steel bars under high temperature is shown in Figure 20.
Figure 20.
The yield strength of steel bars at high temperature.
Based on the above assumptions, the reduced homogeneous cross-section of the UHPC specimen under high temperature can be derived. The cross-sectional reduction criterion is defined by identifying the 300 °C and 750 °C isotherms on the cross-section, as follows:
- (1)
- For the region with temperatures between 0 and 300 °C, the full cross-sectional area is retained.
- (2)
- For the region with temperatures between 300 and 750 °C, the cross-sectional width is halved, retaining half of the original cross-sectional area.
- (3)
- For the region with temperatures exceeding 750 °C, the cross-section is assumed to lose all bearing capacity.
The strengths of steel reinforcement in both the compression and tension zones are determined according to Figure 20, based on the local temperature at their positions. The bearing capacity calculation method for the reduced cross-section is identical to that of the element at a normal temperature.
The formula for the normal cross-section bearing capacity of UHPC large eccentric compression specimens in the compression zone under high temperature is as follows:
Figure 21.
Calculation diagram of bearing capacity when .
Figure 22.
Calculation diagram of bearing capacity when .
Note: is the design value of the axial compressive force; and are the design values of the axial compressive strength of UHPC at temperatures and , respectively; and are the design values of the axial tensile strength of UHPC at temperatures and , respectively; is the design values of the compressive strength of ordinary steel bars at the corresponding temperatures; is the design value of the tensile strength of ordinary steel bars at the corresponding temperature; and are the cross-sectional areas of the longitudinal ordinary steel bars in the tension zone and the compression zone, respectively; and are the widths of the rectangular cross-section; is the effective height of the cross-section; and are the heights of the rectangular cross-section; is the height of the equivalent compression zone; is the distance from the resultant force point of the longitudinal ordinary steel bars in the tension zone to the tension edge of the cross-section; is the distance from the resultant force point of the longitudinal ordinary steel bars in the compression zone to the compression edge of the cross-section; and is the eccentricity magnification factor of the axial compressive force considering the influence of the second-order moment for the eccentrically compressed specimen.
In this section, the accuracy of the proposed calculation method is verified through finite element analysis. The numerical model Q-1 is established, with the following specifications for the UHPC wall:
The wall dimensions are 800 mm (width) × 400 mm (thickness) × 2000 mm (height), with an eccentricity of 0.5. The reinforcement ratio is 1%, corresponding to double-layer reinforcement, while the steel fiber content is 0%. The specified concrete strength is 100 MPa. For longitudinal distributed reinforcement, each layer consists of eight 16 mm diameter HRB 400-grade steel bars spaced at 100 mm intervals. Similarly, the horizontal distributed reinforcement in each layer includes eleven 22 mm diameter HRB 400-grade bars spaced at 190 mm. The model Q-1 is subjected to one-sided fire exposure on the compression face, following the ISO 834 standard fire curve. The concrete heat transfer coefficient settings remain consistent with the previous description.
To simulate varying temperature conditions, the following loading protocol was adopted: the ISO 834 standard fire curve was applied with heating durations of 4000 s, 8000 s, and 12,000 s, corresponding to distinct thermal states.
Figure 23 illustrates the cross-sectional temperature distribution of the UHPC wall (Model Q-1) under these three heating durations. The results demonstrate that the temperature decreases progressively with increasing cross-sectional height, consistent with one-sided fire exposure. Heat transfers from the heated surface to the opposite side, creating a pronounced temperature gradient. Furthermore, the heating duration significantly affects the temperature distribution. Longer heating times result in higher temperatures at the same cross-sectional height, reflecting cumulative heat absorption and gradual inward thermal penetration.
Figure 23.
Cross-sectional temperature distribution.
As illustrated in Figure 24, a comparison is made between the theoretical values calculated using the proposed formula and the finite element simulation results. Both curves exhibit a consistent downward trend with increasing heating duration, demonstrating the progressive deterioration of the structural bearing capacity under prolonged thermal exposure. This behavior can be attributed to the thermal degradation of material properties: both the compressive strength of UHPC and the mechanical performance of steel reinforcement deteriorate at elevated temperatures, ultimately reducing the member’s load-bearing capacity.
Figure 24.
Comparison between the simulated and calculated values of bearing capacity.
Further observation of the relationship between the simulated and calculated values reveals that their changing trends are generally consistent. This indicates that the calculation method can reasonably reflect the variation pattern of the bearing capacity with heating time, demonstrating its theoretical rationality. However, at each time point, the simulated values are slightly lower than the calculated values. This difference may arise from the following reasons: simplifying assumptions adopted in the calculation process, such as using averaged material parameters or idealized models, whereas the simulation better approximates real conditions by accounting for more complex influencing factors.
The numerical results demonstrate that at a heating duration of 4000 s, the theoretical calculation yields a bearing capacity approaching 4000 kN, while the finite element analysis produces a marginally conservative estimate. This trend persists at 12,000 s, where the calculated capacity of approximately 2500 kN again exceeds the simulated value by a small but consistent margin. Such systematic underestimation in the simulation results requires careful consideration in structural design applications, as the analytical method appears to provide slightly non-conservative capacity predictions.
These findings collectively indicate that while the proposed computational model successfully captures the essential degradation trend of structural capacity with prolonged heating, discernible discrepancies remain. Future investigations should prioritize model refinement through the integration of additional realistic parameters, including material heterogeneity and non-uniform thermal distributions, to enhance predictive accuracy for practical engineering implementation.
5. Conclusions
This study investigates the ultimate bearing capacity of UHPC walls under combined unilateral thermal loading and eccentric compression. First, the fire resistance limits of UHPC eccentrically compressed columns under high-temperature conditions were analyzed by comparing finite element simulations with experimental results, thereby validating the rationality of the modeling approach and material constitutive parameters. Subsequently, a finite element model of UHPC walls under unilateral accidental thermal loading was established. Parametric analyses were conducted to evaluate the influence of eccentricity, reinforcement ratio, steel fiber volume fraction, and concrete strength grade on the bearing capacity. Finally, a calculation method for the normal section bearing capacity of rectangular UHPC large eccentric compression specimens under high-temperature conditions (compression zone) was proposed.
The main conclusions are as follows:
- (1)
- In validation via fire resistance tests (four-sided fire exposure): Temperature field analysis revealed that finite element simulations cannot capture the heat-carrying effect of escaping water vapor, causing simulated temperatures to increasingly exceed experimental values at higher temperatures. Thermo-mechanical coupling analysis showed three characteristic stages (expansion, contraction, and failure), with excellent agreement between simulated and experimental displacement–time curves.
- (2)
- For parametric analysis under unilateral thermal loading: Load eccentricity was identified as the dominant factor affecting ultimate load, with larger eccentricities reducing capacity but slowing its temperature-dependent attenuation. Increased reinforcement ratios and steel fiber content significantly improved high-temperature performance, while higher concrete strength grades accelerated degradation.
- (3)
- The proposed calculation method, based on moment equilibrium equations using the equivalent cross-section approach, provided reasonable bearing capacity estimates for unilateral thermal loading scenarios, with errors within acceptable limits despite slight overestimation. The method’s applicability was extended to multi-sided fire exposure cases.
The key findings demonstrate that while UHPC walls exhibit complex thermo-mechanical behavior, their performance can be effectively predicted and optimized through careful parametric analysis. The validated calculation method offers practical tools for nuclear power plant structural design, particularly highlighting the importance of balancing material properties rather than relying solely on concrete strength improvements.
Future research will systematically analyze the multi-parameter coupling effects through orthogonal experiments or response surface methodology to provide a more comprehensive understanding of the interactive influences among parameters.
Author Contributions
Conceptualization, S.W.; methodology, S.W.; software, Y.L.; validation, Y.L.; formal analysis, Y.L.; data curation, Y.L.; writing—original draft preparation, Y.L.; writing—review and editing, S.W.; visualization, Y.L.; supervision, S.W. All authors have read and agreed to the published version of the manuscript.
Funding
This research received no external funding.
Institutional Review Board Statement
Not applicable.
Informed Consent Statement
Not applicable.
Data Availability Statement
The data cannot be shared at this time due to being part of future studies.
Conflicts of Interest
The authors declare no conflicts of interest.
References
- Bhardwaj, S.R.; Varma, A.H.; Sener, K.C. On the Calculation of Design Demands for Accident thermal Loading Combinations. In Proceedings of the 23rd Conference on Structural Mechanics in Reactor Technology, Manchester, UK, 10–14 August 2015. [Google Scholar]
- Sener, K.C.; Varma, A.H.; Bhardwaj, S.R. Accident Thermal Loading Effects on Seismic Behavior of Safety-Related Nuclear Structures. In Proceedings of the Transactions of the 23rd International Conference on Structural Mechanics in Reactor Technology (SMiRT-23), Manchester, UK, 10–14 August 2015. [Google Scholar]
- Chen, B.C.; Wei, J.G.; Su, J.Z.; Huang, W.; Chen, Y.C.; Huang, Q.W.; Chen, Z.H. Advances in the application of ultra-high performance concrete. J. Archit. Civ. Eng. 2019, 36, 10–20. [Google Scholar]
- Richard, P.; Cheyrezy, M. Composition of reactive powder concretes. J. Cem. Concr. Res. 1995, 25, 1501–1511. [Google Scholar] [CrossRef]
- Yu, Z.R.; Wang, B.H.; An, M.Z. Experimental study on the flexural behavior of ultra-high performance fiber-reinforced concrete slabs. J. Build. Struct. 2019, 40, 131–139. [Google Scholar]
- Zhao, Q.; Yang, M.; Li, C. Experimental study on the flexural performance of reinforced UHPC slabs. J. Ningxia Univ. (Nat. Sci. Ed.) 2019, 40, 331–336. [Google Scholar]
- Wang, D.H.; Shi, C.J.; Wu, L.M. Research and application of ultra-high performance concrete in China. J. Bull. Chin. Ceram. Soc. 2016, 35, 141–149. [Google Scholar]
- Shao, X.D.; Qiu, M.H.; Yan, B.F. Research and application progress of ultra-high performance concrete in bridge engineering at home and abroad. J. Mater. Rev. 2017, 31, 33–43. [Google Scholar]
- Huang, H.; Wang, R.; Gao, X. Improvement effect of fiber alignment on resistance to elevated temperature of ultra-high performance concrete. J. Compos. Part B Eng. 2019, 177, 107454. [Google Scholar] [CrossRef]
- Ahmad, S.; Rasul, M.; Adekunle, S.K.; Al-Dulaijan, S.U.; Maslehuddin, M.; Ali, S.I. Mechanical properties of steel fiber-reinforced UHPC mixtures exposed to elevated temperature: Effects of exposure duration and fiber content. J. Compos. Part B Eng. 2019, 168, 291–301. [Google Scholar] [CrossRef]
- Zhu, Y.; Hussein, H.; Kumar, A. A review: Material and structural properties of UHPC at elevated temperatures or fire conditions. J. Cem. Concr. Compos. 2021, 123, 104212. [Google Scholar] [CrossRef]
- Ren, G.; Gao, X.; Zhang, H. Utilization of hybrid sisal and steel fibers to improve elevated temperature resistance of ultra-high performance concrete. J. Cem. Concr. Compos. 2022, 130, 104555. [Google Scholar] [CrossRef]
- Xiong, M.X.; Liew, J.Y.R. Spalling Behavior and Residual Resistance of Fiber Reinforced Ultra-high Performance Concrete after Exposure to High Temperatures. J. Constr. Build. Mater. 2015, 92, 224–232. [Google Scholar]
- Chen, H.J.; Chen, C.; Lin, H.S. Flexural behavior of ultra-high performance fiber-reinforced concrete beams after exposure to high temperatures. J. Mater. 2021, 14, 5400. [Google Scholar] [CrossRef] [PubMed]
- Banerji, S.; Kodur, V.; Solhmirzaei, R. Experimental behavior of ultra-high performance fiber reinforced concrete beams under fire conditions. J. Eng. Struct. 2020, 208, 110316. [Google Scholar] [CrossRef]
- Yang, J.; Yan, K.; Doh, J.H. Experimental study on shear performance of ultra-high performance concrete beams at elevated temperatures. J. Eng. Struct. 2023, 291, 116304. [Google Scholar] [CrossRef]
- Li, Y.; Du, P.; Tan, K.H. Fire resistance of ultra-high performance concrete columns subjected to axial and eccentric loading. J. Eng. Struct. 2021, 248, 113158. [Google Scholar] [CrossRef]
- Banerji, S.; Solhmirzaei, R.; Kodur, V.K.R. Fire Response of Ultra-high Performance Concrete Beams. In International Interactive Symposium on Ultra-High Performance Concrete; Iowa State University Digital Press: Ames, IA, USA, 2019; Volume 2, pp. 1–10. [Google Scholar]
- Choe, G.; Kim, G.; Gucunski, N. Evaluation of the Mechanical Properties of 200 MPa Ultra-high-strength Concrete at Elevated Temperatures and Residual Strength of Column. J. Constr. Build. Mater. 2015, 86, 159–168. [Google Scholar] [CrossRef]
- Christ, R.; Lerner, L.R.; Ehrenbring, H. Evaluation of Ultra-high Performance Concrete Columns at High Temperatures after 180 Days of Curing. J. Build. 2023, 13, 2254. [Google Scholar] [CrossRef]
- Banerji, S.; Kodur, V. Effect of temperature on mechanical properties of ultra-high performance concrete. J. Fire Mater. 2022, 46, 287–301. [Google Scholar] [CrossRef]
- Fang, Z.; Zheng, H.; Yang, J. Design methods for ultra-high performance concrete structures. J. Archit. Civ. Eng. 2017, 34, 59–67. [Google Scholar]
- Luo, B.F. Study on Explosive Spalling Rules and Mechanical Properties of Reactive Powder Concrete at Elevated Temperatures. Ph.D. Dissertation, Harbin Institute of Technology, Harbin, China, 2013. [Google Scholar]
- Wang, S.N. Study on the Elastoplastic Damage Constitutive Relationship of Ultra-High Performance Concrete. Ph.D. Dissertation, Wuhan University, Wuhan, China, 2022. [Google Scholar]
- Ren, P.; Hou, X.; Rong, Q. Quantifying fire insulation effects on the fire response of hybrid-fiber reinforced reactive powder concrete beams. J. Fire Technol. 2020, 56, 1487–1525. [Google Scholar] [CrossRef]
- Du, R.Y.; Chen, B.C. Experimental Study on the Ultimate Bearing Capacity of Reactive Powder Concrete Arches. J. Eng. Mech. 2013, 30, 42–48. [Google Scholar]
- Hao, X.H. Study on Thermophysical Parameters and Temperature Field of Reactive Powder Concrete at High Temperatures. Master’s Thesis, Shijiazhuang Tiedao University, Shijiazhuang, China, 2018. [Google Scholar]
- European Committee for Standardization. Eurocode 3: Design of Steel Structures—Part 1–2: General Rules—Structural Fire Design; European Committee for Standardization: London, UK, 2007. [Google Scholar]
- British Standards Institution. Structural Use of Steelwork in Building—Part 8: Code of Practice for Fire Resistance Design; BSI: London, UK, 1990. [Google Scholar]
- Lie, T.T.; Chabot, M. Experimental Studies on the Fire Resistance of Hollow Steel Columns Filled with Plain Concrete; NRC-CNRC Internal Report; National Research Council Canada, Institute for Research in Construction: Ottawa, ON, Canada, 1988. [Google Scholar]
- ISO 834-1:1999; Fire—Resistance Tests—Elements of Building Construction—Part 1: General Requirements. International Organization for Standardization: Geneva, Switzerland, 1999.
- Cummins, W.E. AP1000 Design Control Document; R. APP-GW-GL-700, Rev. 17; Westinghouse Electric Company LLC: Cranberry Township, PA, USA, 2008. [Google Scholar]
- MHI, Ltd. Auxiliary Systems US-APWR Design Control Document Contents; MHI, Ltd.: Tokyo, Japan, 2011. [Google Scholar]
- NB/T 20012-2010; Design Requirements for Concrete Structures Related to Nuclear Safety in Pressurized Water Reactor Nuclear Power Plants. China Electric Power Press: Beijing, China, 2010.
- Wu, C.; Meng, S.P.; Zhou, Z. Analysis of LOCA temperature field distribution and thermal internal forces in concrete containment. J. Eng. Mech. 2010, 27, 206–212. [Google Scholar]
- Ma, K.Z.; Ma, Y.D.; Liu, B.Q. Experimental Study on Eccentric Compression Performance of Ultra-High Performance Concrete Columns. J. Eng. Sci. Technol. 2018, 50, 201–208. [Google Scholar]
- Yang, J.P.; Shi, X.D.; Guo, Z.H. Simplified calculation of the ultimate bearing capacity of reinforced concrete compression-bending members at high temperatures. J. Build. Struct. 2002, 32, 23–25. [Google Scholar]
Disclaimer/Publisher’s Note: The statements, opinions and data contained in all publications are solely those of the individual author(s) and contributor(s) and not of MDPI and/or the editor(s). MDPI and/or the editor(s) disclaim responsibility for any injury to people or property resulting from any ideas, methods, instructions or products referred to in the content. |
© 2025 by the authors. Licensee MDPI, Basel, Switzerland. This article is an open access article distributed under the terms and conditions of the Creative Commons Attribution (CC BY) license (https://creativecommons.org/licenses/by/4.0/).