Research on Impact of Planned Path Length and Yaw Cost on Collaborative Search of Unmanned Aerial Vehicle Swarms
Abstract
1. Introduction
- Propose a waypoint update mechanism based on the path grid determination algorithm and multi-objective PSO algorithm: by using the path grid determination algorithm, the path-planning problem is transformed into a waypoint selection problem, allowing UAVs to make quick decisions using PSO;
- Analyze and study the impact of planned path length on collaborative search effectiveness, such as the coverage rate, target capture rate, capture time, and communication and decision-making consumption;
- Analyze and study the impact of the yaw cost on target search effectiveness and reveal its influence mechanism through simulation data analysis.
2. Problem Model
2.1. UAV Model
2.2. Environment Model
2.2.1. Mission Area Division
2.2.2. Situation Information
2.2.3. Detection Interval Time
3. Decision Mechanism for Collaborative Search
3.1. Path Grid Determination Algorithm
3.2. Cost of Path Situation Information
3.3. Yaw Cost
3.4. Path-Planning Algorithm
4. Simulation Experiment and Result Analysis
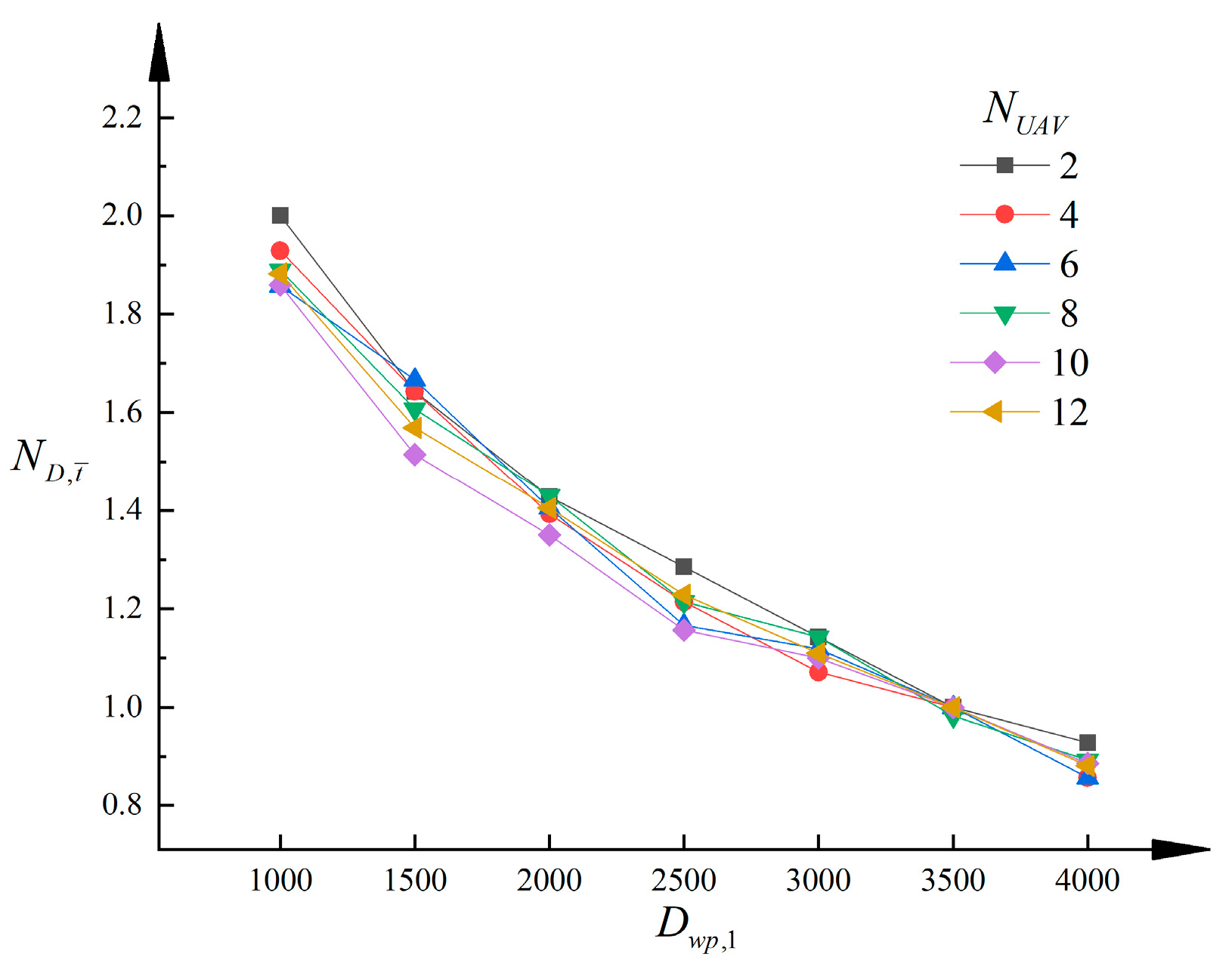
4.1. The Impact of a Planned Path Length on Search Effectiveness
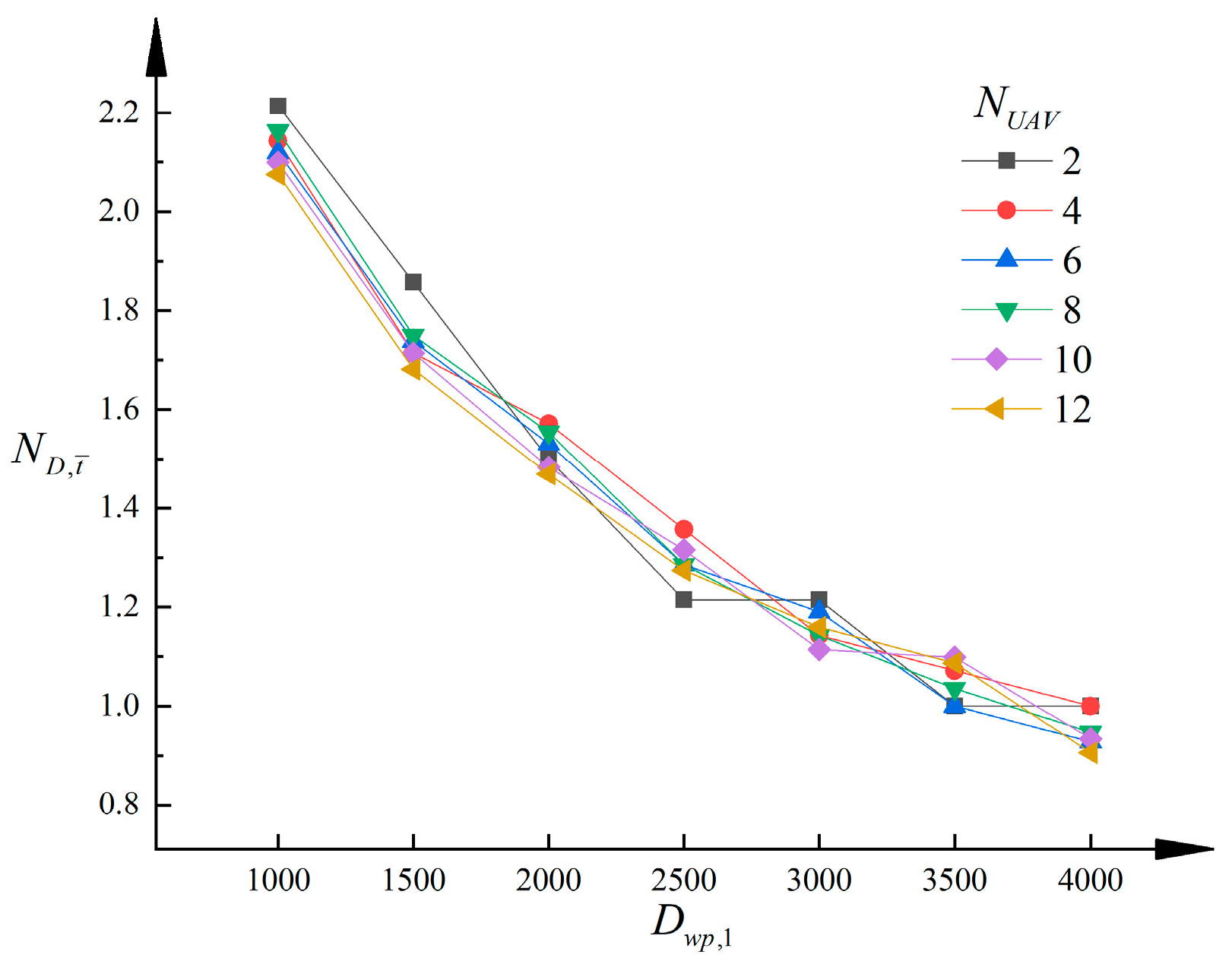
4.2. The Impact of the Yaw Cost on Search Effectiveness
4.3. Stability of Collaborative Search Algorithm
5. Conclusions and Prospect
- A path grid determination algorithm is proposed to acquire situation information from grid cells along planned paths and calculate path costs, transforming the path-planning problem into a waypoint selection problem, which facilitates UAV decision making using the PSO algorithm.
- The impact of on search effectiveness is investigated through simulations. An analysis of the simulation results reveals that increasing has no significant impact on search effectiveness but significantly reduces communication and decision-making consumption.
- The impact of on search effectiveness is comparatively analyzed. Incorporating into the path-planning algorithm reduces the time UAVs spend circling near the previous waypoint, avoiding redundant searches, while also decreasing the time to reach the next waypoint, accelerating the OODA cycle, and improving search effectiveness.
- Through simulation experiments, the impact of a GPS positioning error and UAV disconnection on collaborative search efficiency was analyzed. It was found that although the average capture time increased, the UAV swarm could still complete the task of searching for moving targets.
Author Contributions
Funding
Institutional Review Board Statement
Informed Consent Statement
Data Availability Statement
Conflicts of Interest
References
- Kuru, K.; Ansell, D.; Khan, W.; Yetgin, H. Analysis and Optimization of Unmanned Aerial Vehicle Swarms in Logistics: An Intelligent Delivery Platform. IEEE Access 2019, 7, 15804–15831. [Google Scholar] [CrossRef]
- Lee, M.; Lai, Y.; Chuang, M.; Chen, B. Design and Validation of a Route Planner for Logistic UAV Swarm. Intell. Autom. Soft Comput. 2021, 28, 227–240. [Google Scholar] [CrossRef]
- Ma, Z.; Chen, J. Multi-UAV Urban Logistics Task Allocation Method Based on MCTS. Drones 2023, 7, 679. [Google Scholar] [CrossRef]
- Sánchez-García, J.; Reina, D.G.; Toral, S.L. A Distributed PSO-Based Exploration Algorithm for a UAV Network Assisting a Disaster Scenario. Future Gener. Comput. Syst. 2019, 90, 129–148. [Google Scholar] [CrossRef]
- Khalil, H.; Rahman, S.U.; Ullah, I.; Khan, I.; Alghadhban, A.J.; Al-Adhaileh, M.H.; Ali, G.; ElAffendi, M. A UAV-Swarm-Communication Model Using a Machine-Learning Approach for Search-and-Rescue Applications. Drones 2022, 6, 372. [Google Scholar] [CrossRef]
- Yan, X.; Chen, R. Application Strategy of Unmanned Aerial Vehicle Swarms in Forest Fire Detection Based on the Fusion of Particle Swarm Optimization and Artificial Bee Colony Algorithm. Appl. Sci. 2024, 14, 4937. [Google Scholar] [CrossRef]
- Zanol, R.; Chiariotti, F.; Zanella, A. Drone Mapping through Multi-Agent Reinforcement Learning. In Proceedings of the 2019 IEEE Wireless Communications and Networking Conference (WCNC), Marrakesh, Morocco, 15–19 April 2019; pp. 1–7. [Google Scholar]
- Singh, C.; Mishra, V.; Harshit, H.; Jain, K.; Mokros, M. Application of Uav Swarm Semi-Autonomous System for the Linear Photogrammetric Survey. Int. Arch. Photogramm. Remote Sens. Spatial Inf. Sci. 2022, 43, 407–413. [Google Scholar] [CrossRef]
- Gargalakos, M. The Role of Unmanned Aerial Vehicles in Military Communications: Application Scenarios, Current Trends, and Beyond. J. Def. Model. Simul. 2024, 21, 313–321. [Google Scholar] [CrossRef]
- Deng, H.; Huang, J.; Liu, Q.; Zhao, T.; Zhou, C.; Gao, J. A Distributed Collaborative Allocation Method of Reconnaissance and Strike Tasks for Heterogeneous UAVs. Drones 2023, 7, 138. [Google Scholar] [CrossRef]
- Yang, L.; Hao, Y.; Xu, J.; Li, M. Multi-UAV Collaborative Target Search Method in Unknown Dynamic Environment. Sensors 2024, 24, 7639. [Google Scholar] [CrossRef]
- Cheng, K.; Hu, T.; Wu, D.; Li, T.; Wang, S.; Liu, K.; Tian, Z.; Yi, D. Heterogeneous UAV Swarm Collaborative Search Mission Path Optimization Scheme for Dynamic Targets. Int. J. Aerosp. Eng. 2024, 2024, 6643424. [Google Scholar] [CrossRef]
- Zheng, J.; Ding, M.; Sun, L.; Liu, H. Distributed Stochastic Algorithm Based on Enhanced Genetic Algorithm for Path Planning of Multi-UAV Cooperative Area Search. IEEE Trans. Intell. Transport. Syst. 2023, 24, 8290–8303. [Google Scholar] [CrossRef]
- Li, Y.; Zhang, Z.; Sun, Q.; Huang, Y. A Distributed Framework for Multiple UAV Cooperative Target Search under Dynamic Environment. J. Frankl. Inst. 2024, 361, 106810. [Google Scholar] [CrossRef]
- Liu, H.Y.; Chen, J.; Huang, K.H.; Cheng, G.Q.; Wang, R. UAV Swarm Collaborative Coverage Control Using GV Division and Planning Algorithm. Aeronaut. J. 2023, 127, 446–465. [Google Scholar] [CrossRef]
- Li, Y.; Chen, W.; Fu, B.; Wu, Z.; Hao, L.; Yang, G. Research on Dynamic Target Search for Multi-UAV Based on Cooperative Coevolution Motion-Encoded Particle Swarm Optimization. Appl. Sci. 2024, 14, 1326. [Google Scholar] [CrossRef]
- Saadaoui, H.; Bouanani, F.E.; Illi, E. Information Sharing Based on Local PSO for UAVs Cooperative Search of Moved Targets. IEEE Access 2021, 9, 134998–135011. [Google Scholar] [CrossRef]
- Yan, K.; Xiang, L.; Yang, K. Cooperative Target Search Algorithm for UAV Swarms with Limited Communication and Energy Capacity. IEEE Commun. Lett. 2024, 28, 1102–1106. [Google Scholar] [CrossRef]
- Shafiq, M.; Ali, Z.A.; Israr, A.; Alkhammash, E.H.; Hadjouni, M. A Multi-Colony Social Learning Approach for the Self-Organization of a Swarm of UAVs. Drones 2022, 6, 104. [Google Scholar] [CrossRef]
- Xu, S.; Zhou, Z.; Li, J.; Wang, L.; Zhang, X.; Gao, H. Communication-Constrained UAVs’ Coverage Search Method in Uncertain Scenarios. IEEE Sens. J. 2024, 24, 17092–17101. [Google Scholar] [CrossRef]
- Gupta, A.; Virmani, A.; Mahajan, P.; Nallanthigal, R. A Particle Swarm Optimization-Based Cooperation Method for Multiple-Target Search by Swarm UAVs in Unknown Environments. In Proceedings of the 2021 7th International Conference on Automation, Robotics and Applications (ICARA), Prague, Czech Republic, 4–6 February 2021; pp. 95–100. [Google Scholar]
- Pyke, L.M.; Stark, C.R. Dynamic Pathfinding for a Swarm Intelligence Based UAV Control Model Using Particle Swarm Optimisation. Front. Appl. Math. Stat. 2021, 7, 744955. [Google Scholar] [CrossRef]
- Sun, Z.; Wang, N.; Lin, H.; Zhou, X. Persistent Coverage of UAVs Based on Deep Reinforcement Learning with Wonderful Life Utility. Neurocomputing 2023, 521, 137–145. [Google Scholar] [CrossRef]
- Boulares, M.; Fehri, A.; Jemni, M. UAV Path Planning Algorithm Based on Deep Q-Learning to Search for a Floating Lost Target in the Ocean. Robot. Auton. Syst. 2024, 179, 104730. [Google Scholar] [CrossRef]
- Bernardo, G.T.T.; Vogas, L.M.B.; Rodrigues, S.D.S.; Lopes, T.G.G.; Marcondes, C.A.C.; Loubach, D.S.; Sbruzzi, E.F.; Verri, F.A.N.; Marques, J.C.; Pereira, L.A.; et al. A-Star Based Algorithm Applied to Target Search and Rescue by a UAV Swarm. In Proceedings of the 2022 Latin American Robotics Symposium (LARS), 2022 Brazilian Symposium on Robotics (SBR), and 2022 Workshop on Robotics in Education (WRE), São Bernardo do Campo, Brazil, 18 October 2022; pp. 49–54. [Google Scholar]
- Zhang, X.; Ali, M. A Bean Optimization-Based Cooperation Method for Target Searching by Swarm UAVs in Unknown Environments. IEEE Access 2020, 8, 43850–43862. [Google Scholar] [CrossRef]
- Yang, S.; Lin, D.; He, S.; Hussain, I.; Seneviratne, L. Aerial Swarm Search for GNSS-Denied Maritime Surveillance. IEEE Trans. Aerosp. Electron. Syst. 2024, 60, 3442–3453. [Google Scholar] [CrossRef]
- Yu, W.; Liu, J.; Zhou, J. A Novel Sparrow Particle Swarm Algorithm (SPSA) for Unmanned Aerial Vehicle Path Planning. Sci. Program. 2021, 2021, 5158304. [Google Scholar] [CrossRef]
- Li, J.; Yang, X.; Yang, Y.; Liu, X. Cooperative Mapping Task Assignment of Heterogeneous Multi-UAV Using an Improved Genetic Algorithm. Knowl. -Based Syst. 2024, 296, 111830. [Google Scholar] [CrossRef]
- Li, Y. An Improved Ant Colony Algorithm for Multiple Unmanned Aerial Vehicles Route Planning. J. Frankl. Inst. 2024, 361, 107060. [Google Scholar] [CrossRef]
- Wen, C.; Dong, W.; Xie, W.; Cai, M.; Liu, R. Distributed Cooperative Area Search Method for UAV Swarms Based on Revisit Mechanism. Acta Aeronaut. Et Astronaut. Sin. 2023, 44, 327561. [Google Scholar] [CrossRef]



















| Conditions | Effectiveness Indicators | Result |
|---|---|---|
| Without | 0.811 | |
| 0.875 | ||
| 135.32 | ||
| 1.303 | ||
| With | 0.827 | |
| 0.898 | ||
| 126.65 | ||
| 1.407 |
Disclaimer/Publisher’s Note: The statements, opinions and data contained in all publications are solely those of the individual author(s) and contributor(s) and not of MDPI and/or the editor(s). MDPI and/or the editor(s) disclaim responsibility for any injury to people or property resulting from any ideas, methods, instructions or products referred to in the content. |
© 2025 by the authors. Licensee MDPI, Basel, Switzerland. This article is an open access article distributed under the terms and conditions of the Creative Commons Attribution (CC BY) license (https://creativecommons.org/licenses/by/4.0/).
Share and Cite
Zhang, H.; Meng, W.; Liu, Y.; Liu, G.; Zhang, J. Research on Impact of Planned Path Length and Yaw Cost on Collaborative Search of Unmanned Aerial Vehicle Swarms. Appl. Sci. 2025, 15, 5382. https://doi.org/10.3390/app15105382
Zhang H, Meng W, Liu Y, Liu G, Zhang J. Research on Impact of Planned Path Length and Yaw Cost on Collaborative Search of Unmanned Aerial Vehicle Swarms. Applied Sciences. 2025; 15(10):5382. https://doi.org/10.3390/app15105382
Chicago/Turabian StyleZhang, Heng, Wenyue Meng, Yanan Liu, Guanyu Liu, and Jian Zhang. 2025. "Research on Impact of Planned Path Length and Yaw Cost on Collaborative Search of Unmanned Aerial Vehicle Swarms" Applied Sciences 15, no. 10: 5382. https://doi.org/10.3390/app15105382
APA StyleZhang, H., Meng, W., Liu, Y., Liu, G., & Zhang, J. (2025). Research on Impact of Planned Path Length and Yaw Cost on Collaborative Search of Unmanned Aerial Vehicle Swarms. Applied Sciences, 15(10), 5382. https://doi.org/10.3390/app15105382

