Exploring the Performance of Continuous-Time Dynamic Link Prediction Algorithms
Abstract
1. Introduction
- We introduce the Birth–Death diagram. As illustrated in Figure 1, this simple plot facilitates the visualization and comparison of the lifetimes of nodes and edges (potentially extending to higher-order structures) in a CTDG. Crucially, this visualization tool enables a clear representation of the partitioning of these objects as influenced by the time-based splitting of the history of events. We discuss two key measures derived from these plots, the node and edge surprise indices, quantifying the difficulty of the DLP. We analyze and compare different real-world datasets in terms of these measures.
- We demonstrate the utility of Birth–Death diagrams in the design of more useful negative sampling (NS) strategies for evaluation. By means of these diagrams, we construct a comprehensive taxonomy that categorizes the types of nodes/edges suitable for use as negative instances against which to contrast the scores of positive events. Subsequently, we leverage this taxonomy to develop more targeted NS strategies specifically intended for evaluation. We assess six key NS strategies derived from this approach and analyze the resulting variations in performance.
- Finally, we incorporate time in the evaluation and present a simple visualization method to analyze the time evolution of Dynamic Link Prediction performance of several recent methods and some heuristics.
2. Related Work
3. Understanding the Effect of Splitting a Dynamic Graph Based on Time
3.1. Background: Continuous-Time Dynamic Graphs
3.2. The Birth and Death of Nodes and Edges
3.3. The Birth–Death Diagram
3.4. The Surprise Index
4. Towards More Targeted Negative Sampling Strategies for Dynamic Link Prediction
4.1. Background on Dynamic Link Prediction
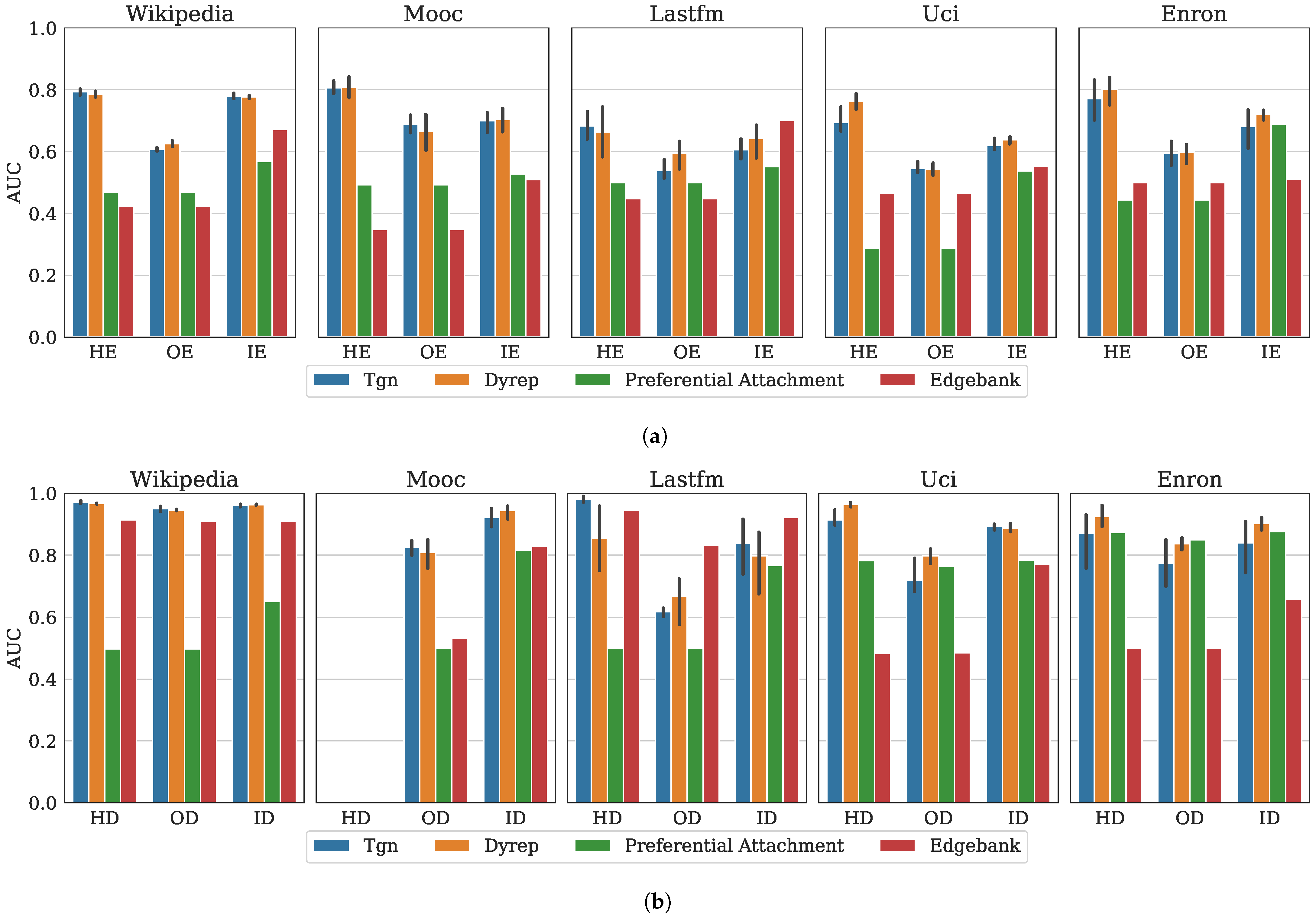
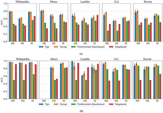
4.2. A Taxonomy of Negative Samples
- Historical Source (HS)
- Overlap Source (OS)
- Inductive Source (IS)
- Historical Destination (HD)
- Overlap Destination (OD)
- Inductive Destination (ID)
- Historical Edge (HE)
- Overlap Edge (OE)
- Inductive Edge (IE)
5. Experimental Setup
5.1. Datasets
5.2. Methods
- Preferential Attachment (PA) assigns a score of 1 to an event if and only if both the nodes have been observed in the past :This method issues a false negative when the true event is such that neither u nor v were ever observed prior to t, and a false positive when the negative event is such that both and were involved in a past event.
- EdgeBank [8] assigns a score of 1 to an event if and only if the edge has been observed in the past :This method yields false negatives whenever the true event is such that the edge was never involved in any event up to time t. It produces false positives whenever the negative event is such that was involved in an event before t.
- TGN-attn [11] is a DLP algorithm composed of two main modules. A memory module is responsible for maintaining a node-level memory state, encoding the past events at the node level. Using an attention module, the memory states of different nodes are then combined and subsequently used to calculate the probability of the event .
- DyRep [32] has a similar architecture, but specifically uses an attention mechanism on the destination node in order to update the memory given an incoming event.
5.3. Metrics
6. Results
6.1. How Do Performances of DLP Algorithms Vary over Different NS Strategies?
6.2. Which Competing Negative Sampling Strategy Misleads the Model More over Time?
7. Guidelines for Practitioners
- One key conclusion is that evaluating DLP algorithms requires exploring the performance along several dimensions of the data, at the node, edge, and time interval level.
- To do so, as much as possible, a good practice for the use of the DLP algorithm is to enable the saving of the list of scores of each positive event and negative event. Indeed, these scores can be the starting point of in-depth evaluations such as the one conducted in this paper. As suggested in [44], this type of standardized output format is critical in order to easily apply diverse evaluation methods, while minimizing evaluation error.
- Birth–Death diagrams are important tools to understand the effect of time-based train–test splitting on the nodes and edges involved in the graph, and may help in hypothesizing the expected performance of a given method on a given dataset.
- Simple baselines such as EdgeBank and Preferential Attachment baselines are indispensable in order to understand whether the model learns anything non-trivial from the data.
- Finally, visualizing how the prediction performance evolves over time can be crucial in understanding the strengths and weaknesses of DLP algorithms.
8. Conclusions
Author Contributions
Funding
Institutional Review Board Statement
Informed Consent Statement
Data Availability Statement
Conflicts of Interest
Abbreviations
| Notation | Description |
| Set of nodes | |
| T | Maximal time |
| Stream of events | |
| Event representing an interaction of node u with node v at timestamp t | |
| Set of all events in that occur up to time t | |
| Set of nodes involved in interactions up to time t | |
| Set of edges involved in interactions up to time t | |
| Set of events in that involve node u | |
| Set of events in that involve edge | |
| Cutoff time for train–test split | |
| Train set of events occurring up to time | |
| Test set of events occurring after time | |
| Birth time of node or edge x in | |
| Death time of node or edge x in |
Appendix A. Birth–Death Diagrams on User–Item Graphs
- Unipartite undirected: For instance, in dynamic graphs of face-to-face interaction such as from the HighSchool dataset, there is only one type of nodes (students), and an interaction between nodes u and v does not have a direction. Contact, SocialEvo, UNvote, and USLegis are examples of such graphs.
- Unipartite directed: For example, in the Enron email dataset, there is only one type of nodes (users involved in mail exchanges). However, the interactions (emails) have an orientation: a given user u sends an email to user v. The datasets UCI, UNtrade, Flights, and Enron are examples of such graphs.
- Bipartite: in this case, there is a clear separation of the nodes into two node types. Typically, in User–Item graphs such as Wikipedia, Lastfm, MOOC, and Reddit, users are always involved in interactions as senders, while items always receive an interaction (a click, a like, a subscription, etc.).

Appendix B. Model Architectures and Hyperparameters Used in the Experiments
- The message function is the identification function (the same as in the original paper [21]).
- The aggregation function is the last message aggregator (we keep for each node only the last message received from the batch).
- The memory updater is a GRU.
- The embedding module is a temporal graph attention layer. Its purpose is to integrate both the network’s connectivity information and temporal data, ensuring that embeddings remain current by combining the memory state with the most recent network information.
- The edge-level decoder (i.e., Link Predictor) is a two-layer MLP with 100 hidden units and ReLU activation.
- The memory updater is a simple RNN.
- The embedding module is the identity: the memory is used directly for prediction. Note that this makes the model vulnerable to the memory staleness problem.
- However, the messages function is calculated using a graph attention module on the destination node.
References
- Yoon, M.; Hooi, B.; Shin, K.; Faloutsos, C. Fast and Accurate Anomaly Detection in Dynamic Graphs with a Two-Pronged Approach. In Proceedings of the 25th ACM SIGKDD International Conference on Knowledge Discovery & Data Mining, Anchorage, AK, USA, 4–8 August 2019; pp. 647–657. [Google Scholar] [CrossRef]
- Machens, A.; Gesualdo, F.; Rizzo, C.; Tozzi, A.E.; Barrat, A.; Cattuto, C. An Infectious Disease Model on Empirical Networks of Human Contact: Bridging the Gap between Dynamic Network Data and Contact Matrices. BMC Infect. Dis. 2013, 13, 185. [Google Scholar] [CrossRef] [PubMed]
- Cadena, J.; Sales, A.P.; Lam, D.; Enright, H.A.; Wheeler, E.K.; Fischer, N.O. Modeling the Temporal Network Dynamics of Neuronal Cultures. PLoS Comput. Biol. 2020, 16, e1007834. [Google Scholar] [CrossRef] [PubMed]
- Klimt, B.; Yang, Y. The Enron Corpus: A New Dataset for Email Classification Research. In Machine Learning: ECML 2004; Boulicaut, J.F., Esposito, F., Giannotti, F., Pedreschi, D., Eds.; Springer: Berlin/Heidelberg, Germany, 2004; Lecture Notes in Computer Science; pp. 217–226. [Google Scholar] [CrossRef]
- Eagle, N.; Pentland, A. Reality Mining: Sensing Complex Social Systems. Pers. Ubiquitous Comput. 2006, 10, 255–268. [Google Scholar] [CrossRef]
- Holme, P.; Saramäki, J. Temporal Networks as a Modeling Framework. arXiv 2021, arXiv:2103.13586. [Google Scholar] [CrossRef]
- Masuda, N.; Lambiotte, R. A Guide to Temporal Networks; Complexity Science, World Scientific Publishing: Singapore, 2016. [Google Scholar]
- Poursafaei, F.; Huang, A.; Pelrine, K.; Rabbany, R. Towards Better Evaluation for Dynamic Link Prediction. In Proceedings of the Thirty-Sixth Conference on Neural Information Processing Systems Datasets and Benchmarks track, New Orleans, LA, USA, 10–16 December 2023. [Google Scholar]
- Kazemi, S.M.; Goel, R.; Jain, K.; Kobyzev, I.; Sethi, A.; Forsyth, P.; Poupart, P. Representation Learning for Dynamic Graphs: A Survey. J. Mach. Learn. Res. 2020, 21, 2648–2720. [Google Scholar]
- Longa, A.; Lachi, V.; Santin, G.; Bianchini, M.; Lepri, B.; Lio, P.; Scarselli, F.; Passerini, A. Graph Neural Networks for Temporal Graphs: State of the Art, Open Challenges, and Opportunities. arXiv 2023, arXiv:2302.01018. [Google Scholar]
- Huang, S.; Poursafaei, F.; Danovitch, J.; Fey, M.; Hu, W.; Rossi, E.; Leskovec, J.; Bronstein, M.; Rabusseau, G.; Rabbany, R. Temporal Graph Benchmark for Machine Learning on Temporal Graphs. arXiv 2023, arXiv:2307.01026. [Google Scholar] [CrossRef]
- Srinivas, V.; Mitra, P.; Srinivas, V.; Mitra, P. Applications of Link Prediction. In Link Prediction in Social Networks; Springer: Cham, Switzerland, 2016; pp. 57–61. [Google Scholar] [CrossRef]
- Kumar, A.; Singh, S.S.; Singh, K.; Biswas, B. Link Prediction Techniques, Applications, and Performance: A Survey. Phys. A Stat. Mech. Its Appl. 2020, 553, 124289. [Google Scholar] [CrossRef]
- Mikolov, T.; Chen, K.; Corrado, G.; Dean, J. Efficient Estimation of Word Representations in Vector Space. arXiv 2013, arXiv:1301.3781. [Google Scholar] [CrossRef]
- Junuthula, R.R.; Xu, K.S.; Devabhaktuni, V.K. Evaluating Link Prediction Accuracy in Dynamic Networks with Added and Removed Edges. In Proceedings of the 2016 IEEE International Conferences on Big Data and Cloud Computing (BDCloud), Social Computing and Networking (SocialCom), Sustainable Computing and Communications (SustainCom) (BDCloud-SocialCom-SustainCom), Atlanta, GA, USA, 8–10 October 2016; pp. 377–384. [Google Scholar] [CrossRef]
- Fournet, J.; Barrat, A. Contact Patterns among High School Students. PLoS ONE 2014, 9, e107878. [Google Scholar] [CrossRef]
- Holme, P.; Saramäki, J. Temporal Networks. Phys. Rep. 2012, 519, 97–125. [Google Scholar] [CrossRef]
- Rozenshtein, P.; Gionis, A. Mining Temporal Networks. In Proceedings of the 25th ACM SIGKDD International Conference on Knowledge Discovery & Data Mining, New York, NY, USA, 25 July 2019; KDD ’19. pp. 3225–3226. [Google Scholar] [CrossRef]
- He, J.; Chen, D. A fast algorithm for community detection in temporal network. Phys. A Stat. Mech. Its Appl. 2015, 429, 87–94. [Google Scholar] [CrossRef]
- Latapy, M.; Viard, T.; Magnien, C. Stream Graphs and Link Streams for the Modeling of Interactions over Time. Soc. Netw. Anal. Min. 2018, 8, 61. [Google Scholar] [CrossRef]
- Rossi, E.; Chamberlain, B.; Frasca, F.; Eynard, D.; Monti, F.; Bronstein, M. Temporal Graph Networks for Deep Learning on Dynamic Graphs. arXiv 2020, arXiv:2006.10637. [Google Scholar]
- Beck, F.; Burch, M.; Diehl, S.; Weiskopf, D. A Taxonomy and Survey of Dynamic Graph Visualization. Comput. Graph. Forum 2017, 36, 133–159. [Google Scholar] [CrossRef]
- Linhares, C.D.G.; Travençolo, B.A.N.; Paiva, J.G.S.; Rocha, L.E.C. DyNetVis: A System for Visualization of Dynamic Networks. In Proceedings of the Symposium on Applied Computing, Marrakech, Morocco, 3–7 April 2017; SAC ’17. pp. 187–194. [Google Scholar]
- Güneş, İ.; Gündüz-Öğüdücü, Ş.; Çataltepe, Z. Link Prediction Using Time Series of Neighborhood-Based Node Similarity Scores. Data Min. Knowl. Discov. 2016, 30, 147–180. [Google Scholar] [CrossRef]
- Huang, Z.; Lin, D.K.J. The Time-Series Link Prediction Problem with Applications in Communication Surveillance. INFORMS J. Comput. 2009, 21, 286–303. [Google Scholar] [CrossRef]
- Liben-Nowell, D.; Kleinberg, J. The link-prediction problem for social networks. J. Am. Soc. Inf. Sci. Technol. 2007, 58, 1019–1031. [Google Scholar] [CrossRef]
- Foulds, J.R.; DuBois, C.; Asuncion, A.U.; Butts, C.T.; Smyth, P. A Dynamic Relational Infinite Feature Model for Longitudinal Social Networks. In Proceedings of the International Conference on Artificial Intelligence and Statistics, Fort Lauderdale, FL, USA, 11–13 April 2011. [Google Scholar]
- Heaukulani, C.; Ghahramani, Z. Dynamic Probabilistic Models for Latent Feature Propagation in Social Networks. In Proceedings of the 30th International Conference on Machine Learning, Atlanta, GA, USA, 16–21 June 2013; pp. 275–283. [Google Scholar]
- Xu, K.S. Stochastic Block Transition Models for Dynamic Networks. arXiv 2015, arXiv:1411.5404. [Google Scholar] [CrossRef]
- Kim, M.; Leskovec, J. Nonparametric Multi-group Membership Model for Dynamic Networks. In Proceedings of the Advances in Neural Information Processing Systems, Lake Tahoe, NV, USA, 5–8 December 2013; Volume 26. [Google Scholar]
- Dunlavy, D.M.; Kolda, T.G.; Acar, E. Temporal Link Prediction Using Matrix and Tensor Factorizations. ACM Trans. Knowl. Discov. Data 2011, 5, 1–27. [Google Scholar] [CrossRef]
- Trivedi, R.; Farajtabar, M.; Biswal, P.; Zha, H. DyRep: Learning Representations over Dynamic Graphs. In Proceedings of the International Conference on Learning Representations, New Orleans, LA, USA, 6–9 May 2019. [Google Scholar]
- Cong, W.; Zhang, S.; Kang, J.; Yuan, B.; Wu, H.; Zhou, X.; Tong, H.; Mahdavi, M. Do We Really Need Complicated Model Architectures for Temporal Networks? In Proceedings of the The Eleventh International Conference on Learning Representations, Kigali, Rwanda, 1–5 May 2023; ICLR: Vienna, Austria, 2023. Available online: https://openreview.net/forum?id=ayPPc0SyLv1 (accessed on 15 April 2024).
- Luo, Y.; Li, P. Neighborhood-Aware Scalable Temporal Network Representation Learning. In Proceedings of the First Learning on Graphs Conference, Virtual, 9–12 December 2022; Volume 198, pp. 1:1–1:18. [Google Scholar]
- Wang, Y.; Chang, Y.Y.; Liu, Y.; Leskovec, J.; Li, P. Inductive Representation Learning in Temporal Networks via Causal Anonymous Walks. In Proceedings of the International Conference on Learning Representations, Virtual, 3–7 May 2021; ICLR: Vienna, Austria, 2021. Available online: https://openreview.net/forum?id=KYPz4YsCPj (accessed on 15 April 2024).
- Wang, L.; Chang, X.; Li, S.; Chu, Y.; Li, H.; Zhang, W.; He, X.; Song, L.; Zhou, J.; Yang, H. TCL: Transformer-based Dynamic Graph Modelling via Contrastive Learning. arXiv 2021, arXiv:2105.07944. [Google Scholar] [CrossRef]
- Xu, D.; Ruan, C.; Korpeoglu, E.; Kumar, S.; Achan, K. Inductive Representation Learning on Temporal Graphs. arXiv 2020, arXiv:2002.07962. [Google Scholar] [CrossRef]
- Yu, L.; Sun, L.; Du, B.; Lv, W. Towards Better Dynamic Graph Learning: New Architecture and Unified Library. In Proceedings of the Thirty-Seventh Conference on Neural Information Processing Systems, New Orleans, LA, USA, 10–16 December 2023. [Google Scholar]
- Daniluk, M.; Dąbrowski, J. Temporal graph models fail to capture global temporal dynamics. arXiv 2023, arXiv:2309.15730. [Google Scholar] [CrossRef]
- Lu, L.; Zhou, T. Link Prediction in Complex Networks A Survey. Phys. A Stat. Mech. Its Appl. 2011, 390, 1150–1170. [Google Scholar] [CrossRef]
- Lichtenwalter, R.; Lussier, J.; Chawla, N. New Perspectives and Methods in Link Prediction. In Proceedings of the ACM SIGKDD International Conference on Knowledge Discovery and Data Mining, Washington, DC, USA, 25–28 July 2010; pp. 243–252. [Google Scholar]
- Yang, Y.; Lichtenwalter, R.N.; Chawla, N.V. Evaluating Link Prediction Methods. Knowl. Inf. Syst. 2015, 45, 751–782. [Google Scholar] [CrossRef]
- Tylenda, T.; Angelova, R.; Bedathur, S. Towards Time-Aware Link Prediction in Evolving Social Networks. In Proceedings of the 3rd Workshop on Social Network Mining and Analysis, Paris, France, 28 June 2009; SNA-KDD ’09. pp. 1–10. [Google Scholar] [CrossRef]
- Mara, A.; Lijffijt, J.; De Bie, T. EvalNE: A Framework for Network Embedding Evaluation. SoftwareX 2022, 17. [Google Scholar] [CrossRef]
- Kingma, D.P.; Ba, J. Adam: A Method for Stochastic Optimization. arXiv 2017, arXiv:1412.6980. [Google Scholar] [CrossRef]






| Events | Nodes | Edges | |||||||||
|---|---|---|---|---|---|---|---|---|---|---|---|
| Total | Historical | Overlap | Inductive | Surprise | Total | Historical | Overlap | Inductive | Surprise | ||
| UCI | 59,835 | 1899 | 1052 | 681 | 166 | 0.196 | 20,296 | 17,069 | 657 | 2570 | 0.796 |
| HighSchool | 45,047 | 180 | 18 | 160 | 2 | 0.012 | 2239 | 1577 | 445 | 217 | 0.328 |
| Wikipedia | 157,474 | 9227 | 5663 | 2648 | 916 | 0.257 | 18,257 | 13,667 | 2046 | 2544 | 0.554 |
| Enron | 25,235 | 184 | 43 | 138 | 3 | 0.021 | 3125 | 1914 | 724 | 487 | 0.402 |
| USLegis | 60,396 | 225 | 112 | 101 | 12 | 0.106 | 26,423 | 18,884 | 5857 | 1682 | 0.223 |
| UNvote | 1,035,742 | 201 | 7 | 194 | 0 | 0.000 | 31,516 | 4487 | 26,583 | 446 | 0.017 |
| UNtrade | 507,497 | 255 | 27 | 228 | 0 | 0.000 | 36,182 | 10,595 | 24,347 | 1240 | 0.048 |
| SocialEvo | 2,099,519 | 74 | 12 | 62 | 0 | 0.000 | 4486 | 2609 | 1827 | 50 | 0.027 |
| MOOC | 411,749 | 7144 | 4732 | 2185 | 227 | 0.094 | 178,443 | 147,612 | 6628 | 24,203 | 0.785 |
| Flights | 1,927,145 | 13,169 | 2182 | 10,698 | 289 | 0.026 | 395,072 | 264,189 | 85,369 | 45,514 | 0.348 |
| 672,447 | 10,984 | 1369 | 9578 | 37 | 0.004 | 78,516 | 53,589 | 17,933 | 6994 | 0.281 | |
| Lastfm | 1,293,103 | 1980 | 227 | 1681 | 72 | 0.041 | 154,993 | 106,038 | 30,883 | 18,072 | 0.369 |
| CanParl | 74,478 | 734 | 384 | 340 | 10 | 0.029 | 51,331 | 38,401 | 7432 | 5498 | 0.425 |
| Predicted/Actual | Actual Positive | Actual Negative |
|---|---|---|
| Predicted Positive | True Positive (TP) | False Positive (FP) |
| Predicted Negative | False Negative (FN) | True Negative (TN) |
Disclaimer/Publisher’s Note: The statements, opinions and data contained in all publications are solely those of the individual author(s) and contributor(s) and not of MDPI and/or the editor(s). MDPI and/or the editor(s) disclaim responsibility for any injury to people or property resulting from any ideas, methods, instructions or products referred to in the content. |
© 2024 by the authors. Licensee MDPI, Basel, Switzerland. This article is an open access article distributed under the terms and conditions of the Creative Commons Attribution (CC BY) license (https://creativecommons.org/licenses/by/4.0/).
Share and Cite
Romero, R.; Buyl, M.; De Bie, T.; Lijffijt, J. Exploring the Performance of Continuous-Time Dynamic Link Prediction Algorithms. Appl. Sci. 2024, 14, 3516. https://doi.org/10.3390/app14083516
Romero R, Buyl M, De Bie T, Lijffijt J. Exploring the Performance of Continuous-Time Dynamic Link Prediction Algorithms. Applied Sciences. 2024; 14(8):3516. https://doi.org/10.3390/app14083516
Chicago/Turabian StyleRomero, Raphaël, Maarten Buyl, Tijl De Bie, and Jefrey Lijffijt. 2024. "Exploring the Performance of Continuous-Time Dynamic Link Prediction Algorithms" Applied Sciences 14, no. 8: 3516. https://doi.org/10.3390/app14083516
APA StyleRomero, R., Buyl, M., De Bie, T., & Lijffijt, J. (2024). Exploring the Performance of Continuous-Time Dynamic Link Prediction Algorithms. Applied Sciences, 14(8), 3516. https://doi.org/10.3390/app14083516

