Design of Series-Fed Circularly Polarized Beam-Tilted Antenna for Microwave Power Transmission in UAV Application
Abstract
1. Introduction
2. Antenna Design
2.1. The Design of Unit Cell and Proposed Series-Fed Antenna
2.2. The Design of the Matching Network of the Proposed Series-Fed Antenna
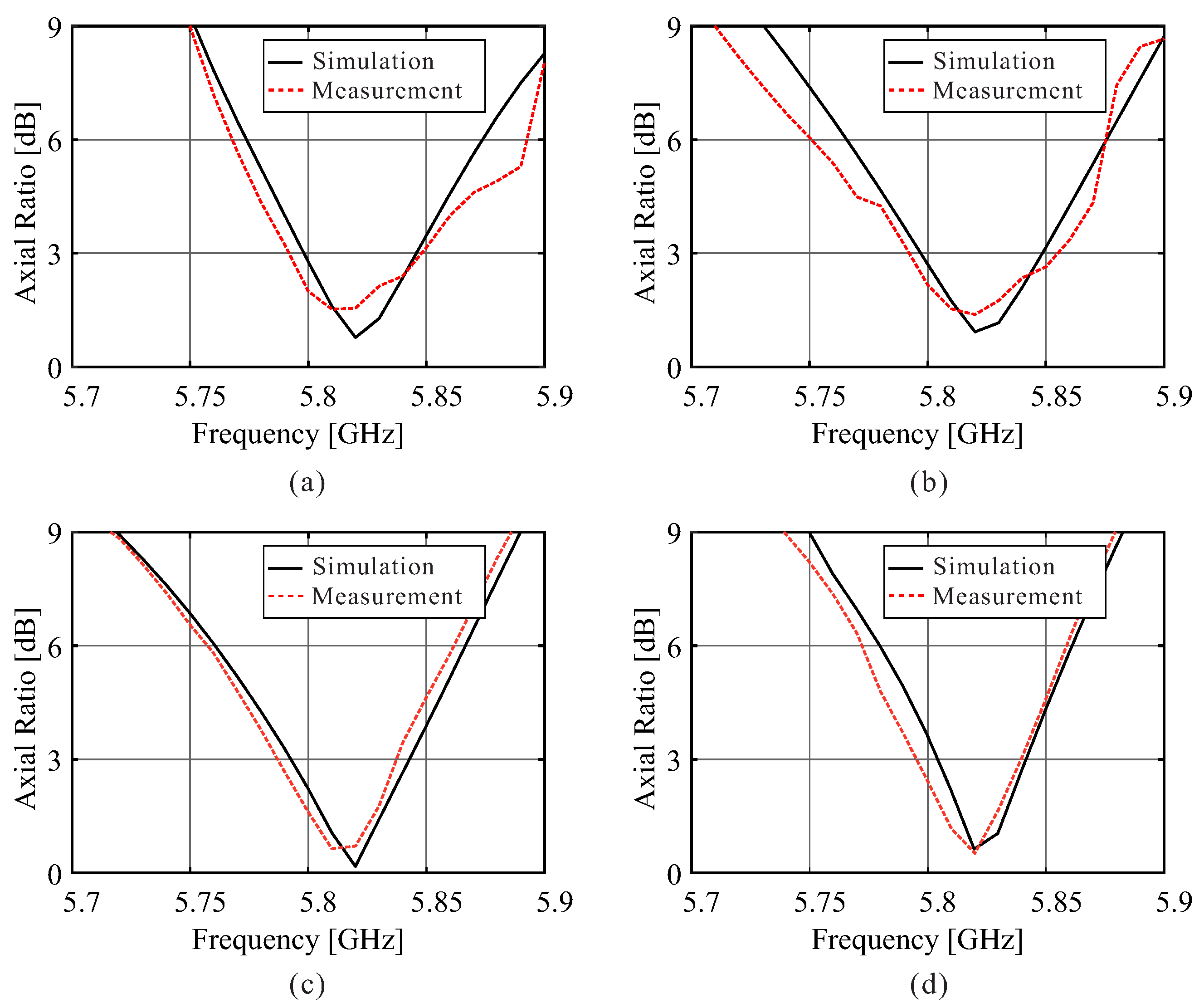
3. Experimental Results
4. Conclusions
Author Contributions
Funding
Institutional Review Board Statement
Informed Consent Statement
Data Availability Statement
Conflicts of Interest
References
- Kim, J.; Kim, S.; Ju, C.; Son, H.I. Unmanned Aerial Vehicles in Agriculture: A Review of Perspective of Platform, Control, and Applications. IEEE Access 2019, 7, 105100–105115. [Google Scholar] [CrossRef]
- Maddikunta, P.K.R.; Hakak, S.; Alazab, M.; Bhattacharya, S.; Gadekallu, T.R.; Khan, W.Z.; Pham, Q.-V. Unmanned Aerial Vehicles in Smart Agriculture: Applications, Requirements, and Challenges. IEEE Sens. J. 2021, 21, 17608–17619. [Google Scholar] [CrossRef]
- Alsamhi, S.H.; Shvetsov, A.V.; Kumar, S.; Shvetsova, S.V.; Alhartomi, M.A.; Hawbani, A.; Rajput, N.S.; Srivastava, S.; Saif, A.; Nyangaresi, V.O. UAV Computing-Assisted Search and Rescue Mission Framework for Disaster and Harsh Environment Mitigation. Drones 2022, 6, 154. [Google Scholar] [CrossRef]
- Gao, J.; Hu, Z.; Bian, K.; Mao, X.; Song, L. AQ360: UAV-Aided Air Quality Monitoring by 360-Degree Aerial Panoramic Images in Urban Areas. IEEE Internet Things J. 2021, 8, 428–442. [Google Scholar] [CrossRef]
- Alawad, W.; Halima, N.B.; Aziz, L. An Unmanned Aerial Vehicle (UAV) System for Disaster and Crisis Management in Smart Cities. Electronics 2023, 12, 1051. [Google Scholar] [CrossRef]
- Nguyen, M.T.; Nguyen, C.V.; Truong, L.H.; Le, A.M.; Quyen, T.V.; Masaracchia, A.; Teague, K.A. Electromagnetic Field Based WPT Technologies for UAVs: A Comprehensive Survey. Electronics 2020, 9, 461. [Google Scholar] [CrossRef]
- Wang, X.; Wu, P.; Hu, Y.; Cai, X.; Song, Q.; Chen, H. Joint Trajectories and Resource Allocation Design for Multi-UAV-Assisted Wireless Power Transfer with Nonlinear Energy Harvesting. Drones 2023, 7, 354. [Google Scholar] [CrossRef]
- Brown, W. Experiments Involving a Microwave Beam to Power and Position a Helicopter. IEEE Trans. Aerosp. Electron. Syst. 1969, AES-5, 692–702. [Google Scholar] [CrossRef]
- Schlesak, J.J.; Alden, A.; Ohno, T. A microwave powered high altitude platform. In Proceedings of the IEEE MTT-S International Microwave Symposium Digest, New York, NY, USA, 25–27 May 1988; pp. 283–286. [Google Scholar]
- Song, K.D.; Kim, J.; Kim, J.W.; Park, Y.; Ely, J.J.; Kim, H.J.; Choi, S.H. Preliminary operational aspects of microwave-powered airship drone. Int. J. Micro Air Veh. 2019, 11, 1–10. [Google Scholar] [CrossRef]
- Hoque, M.U.; Kumar, D.; Audet, Y.; Savaria, Y. Design and Analysis of a 35 GHz Rectenna System for Wireless Power Transfer to an Unmanned Air Vehicle. Energies 2022, 15, 320. [Google Scholar] [CrossRef]
- Matsukura, M.; Moro, R.; Keicho, N.; Shimamura, K.; Yokota, S. Wireless Charging for Hovering-Drone via Millimeter Wave. In Proceedings of the 2022 Wireless Power Week (WPW), Bordeaux, France, 5–8 July 2022; pp. 772–775. [Google Scholar]
- Takabayashi, N.; Kawai, K.; Mase, M.; Shinohara, N.; Mitani, T. Large-Scale Sequentially-Fed Array Antenna Radiating Flat-Top Beam for Microwave Power Transmission to Drones. IEEE J. Microw. 2022, 2, 297–306. [Google Scholar] [CrossRef]
- Liu, X.; Xu, B.; Zheng, K.; Zheng, H. Throughput Maximization of Wireless-Powered Communication Network with Mobile Access Points. IEEE Trans. Wirel. Commun. 2023, 22, 4401–4415. [Google Scholar] [CrossRef]
- Xu, J.; Zeng, Y.; Zhang, R. UAV-Enabled Wireless Power Transfer: Trajectory Design and Energy Optimization. IEEE Trans. Wirel. Commun. 2018, 17, 5092–5106. [Google Scholar] [CrossRef]
- Yuan, X.; Hu, Y.; Schmeink, A. Joint Design of UAV Trajectory and Directional Antenna Orientation in UAV-Enabled Wireless Power Transfer Networks. IEEE J. Sel. Areas Commun. 2021, 39, 3081–3096. [Google Scholar] [CrossRef]
- Roy, S.; Mahin, R.; Mahbub, I. A Comparative Analysis of UWB Phased Arrays with Combining Network for Wireless-Power-Transfer Applications. IEEE Trans. Antennas Propag. 2023, 71, 3204–3215. [Google Scholar] [CrossRef]
- Hasegawa, N.; Ohta, Y. 2-Dimensional Simple Beam Steering for Large-Scale Antenna on Microwave Power Transfer. IEEE Trans. Microw. Theory Tech. 2022, 70, 2432–2441. [Google Scholar] [CrossRef]
- Ide, M.; Shirane, A.; Yanagisawa, K.; You, D.; Pang, J.; Okada, K. A 28-GHz Phased-Array Relay Transceiver for 5G Network Using Vector-Summing Backscatter with 24-GHz Wireless Power and LO Transfer. IEEE J. Solid State Circuits 2022, 57, 1211–1223. [Google Scholar] [CrossRef]
- Eid, A.M.; Alieldin, A.; El-Akhdar, A.M.; El-Agamy, A.F.; Saad, W.M.; Salama, A.A. A novel high power frequency beam-steering antenna array for long-range wireless power transfer. Alex. Eng. J. 2021, 60, 2707–2714. [Google Scholar] [CrossRef]
- Li, M.; Li, S.-K.; Tang, M.-C.; Zhu, L. A Compact, Single-Layer, Index-Modulated Microstrip Antenna with Stable Customized Tilted Beam Over a Wide Bandwidth. IEEE Trans. Antennas Propag. 2022, 70, 11465–11474. [Google Scholar] [CrossRef]
- Zhou, W.L.; Zhu, G.X.; Wang, J.C.; Zhang, H. Symmetrically +/−45° Dual-Polarized Rectenna Array for Orthogonally and/or Two-Tone Excited Polarization-Insensitive and Wide-Coverage MPT. In Proceedings of the 2023 IEEE MTT-S International Microwave Workshop Series on Advanced Materials and Processes for RF and THz Applications (IMWS-AMP), Chengdu, China, 13–15 November 2023; pp. 1–3. [Google Scholar]
- Mishra, P.K.; Jahagirdar, D.R.; Kumar, G. Tilted beam microstrip antenna array conformai to cylindrical section. In Proceedings of the IEEE International Conference on Antenna Innovations & Modern Technologies for Ground, Aircraft and Satellite Applications (iAIM), Bangalore, India, 24–26 November 2017; pp. 1–6. [Google Scholar]
- Alshrafi, W.; Al-Bassam, A.; Heberling, D. Grating Lobe Reduction Using Tilted Beam Unit Cell in Series-Fed Patch Periodic Leaky-Wave Antennas. In Proceedings of the 15th European Conference on Antennas and Propagation (EuCAP), Dusseldorf, Germany, 22–26 March 2021; pp. 1–5. [Google Scholar]
- Du, H.; Li, Z.; Chen, M.; Wang, J. A Broadband Fixed-Beam Leaky-Wave Antenna. IEEE Trans. Antennas Propag. 2023, 71, 5434–5439. [Google Scholar] [CrossRef]
- Hu, Y.-Y.; Sun, S.; Su, H.-J.; Yang, S.; Hu, J. Dual-Beam Rectenna Based on a Short Series-Coupled Patch Array. IEEE Trans. Antennas Propag. 2021, 69, 5617–5630. [Google Scholar] [CrossRef]
- Boskovic, N.; Jokanovic, B.; Radovanovic, M. Printed Frequency Scanning Antenna Arrays with Enhanced Frequency Sensitivity and Sidelobe Suppression. IEEE Trans. Antennas Propag. 2017, 65, 1757–1764. [Google Scholar] [CrossRef]
- Zahid, Z.; Qu, L.; Kim, H.-H.; Kim, H. Circularly Polarized Loop-Type Ground Radiation Antenna for IoT Applications. J. Electromagn. Eng. Sci. 2019, 19, 153–158. [Google Scholar] [CrossRef]
- Chen, Y.T.; Lin, X.Q.; Fan, Y.; Liu, S.L. Generation of Ka-Band Accelerating and Self-Bending Beam by Series-Fed Patch Array. IEEE Antennas Wirel. Propag. Lett. 2021, 20, 239–243. [Google Scholar] [CrossRef]
- Balanis, C.A. Antenna Theory: Analysis and Design, 4th ed.; John Wiley & Sons, Inc.: Hoboken, NJ, USA, 2015. [Google Scholar]
- Shi, J.; Zhu, L.; Liu, N.-W.; Wu, W. A Microstrip Yagi Antenna with an Enlarged Beam Tilt Angle via a Slot-Loaded Patch Reflector and Pin-Loaded Patch Directors. IEEE Antennas Wirel. Propag. Lett. 2019, 18, 679–683. [Google Scholar] [CrossRef]
- Hirose, K.; Orihara, K.; Nakano, H. Formation of a Circularly Polarized Tilted Beam Using Radiation Cells of a Crank-line Antenna. Electron. Commun. Jpn. 2001, 84, 23–30. [Google Scholar] [CrossRef]
- Sumantyo, J.T.S. Design of tilted beam circularly polarized antenna for CP–SAR sensor onboard UAV. In Proceedings of the International Symposium on Antennas and Propagation (ISAP), Okinawa, Japan, 24–28 October 2016; pp. 658–659. [Google Scholar]


















| Parameter | Value | Parameter | Value | ||
|---|---|---|---|---|---|
| 25 | 1.6 | ||||
| 40 | 2.45 | ||||
| 13.7 | 1.6 | ||||
| a | 1.39 | 5.65 | |||
| b | 0.57 | 1.09 | |||
| 0.4 | |||||
| broadside | 0 | broadside | 13.7 | ||
| beam-tilted = | 1.2 | beam-tilted = | 13.4 | ||
| beam-tilted = | 2.1 | beam-tilted = | 13.45 | ||
| beam-tilted = | 2.9 | beam-tilted = | 13.45 | ||
| Impedance Bandwidth [GHz] | AR Bandwidth [GHz] | Gain at a Tilted Angle [dBic] | HPBW in = Plane [deg] | AR 3-dB BW in = Plane [deg] | |
|---|---|---|---|---|---|
| Broadside antenna | 4.79∼6.29 (27.1%) | 5.8∼5.84 (1.03%) | 14.59 | 8.9 | 14.2 |
| = beam-tilted antenna | 5.62∼6.28 (11.1%) | 5.78∼5.84 (1.03%) | 13.09 | 11.2 | 24.3 |
| = beam-tilted antenna | 5.59∼6.05 (7.9%) | 5.78∼5.83 (0.86%) | 12.07 | 13.3 | 18.5 |
| = beam-tilted antenna | 5.52∼5.88 (6.3%) | 5.79∼5.84 (0.86%) | 10.71 | 16.5 | 15.9 |
| Refs. | Center Freq. [GHz] | Array Size | Gain | Polarization | Tilted Angle | Antenna Dimension () | Application |
|---|---|---|---|---|---|---|---|
| [21] | 5.9 | 17 | 9.7 dBi | LP | 50° | 0.4151.60.079 | Not WPT |
| [22] | 6.8 | 12 | 11 dBi | Dual LP | −45°,45° | NG | WPT |
| [24] | 6.1 | 17 | 11 dBi | LP | −30∼30° | 6.11.020.14 | Not WPT |
| [25] | 32 | 110 | 9.7∼15.7 dBi | LP | −25°, 0°, 25° | NG | Not WPT |
| [26] | 2.45 | 15 | 8.5 dBi | Dual LP | NG | 1.230.650.033 | WPT |
| [31] | 5 | 14 | 7.2∼8.9 dBi | LP | 36∼56° | 1.660.830.025 | Not WPT |
| [32] | NG | 14 | 13.5 dBic | CP | 20°, 45° | 14100.25 | Not WPT |
| [33] | 1.27 | 14 | 11.2 dBic | CP | 20° | NG | Not WPT |
| Prop. | 5.84 | 112 | 14.59∼10.71 dBic | CP | 0°, 15°, 30°, 45° | 6.220.780.015 | WPT |
Disclaimer/Publisher’s Note: The statements, opinions and data contained in all publications are solely those of the individual author(s) and contributor(s) and not of MDPI and/or the editor(s). MDPI and/or the editor(s) disclaim responsibility for any injury to people or property resulting from any ideas, methods, instructions or products referred to in the content. |
© 2024 by the authors. Licensee MDPI, Basel, Switzerland. This article is an open access article distributed under the terms and conditions of the Creative Commons Attribution (CC BY) license (https://creativecommons.org/licenses/by/4.0/).
Share and Cite
Park, M.Y.; Kim, J.H.; Yi, S.-h.; Lim, W.; Yang, Y.; Hwang, K.C. Design of Series-Fed Circularly Polarized Beam-Tilted Antenna for Microwave Power Transmission in UAV Application. Appl. Sci. 2024, 14, 3490. https://doi.org/10.3390/app14083490
Park MY, Kim JH, Yi S-h, Lim W, Yang Y, Hwang KC. Design of Series-Fed Circularly Polarized Beam-Tilted Antenna for Microwave Power Transmission in UAV Application. Applied Sciences. 2024; 14(8):3490. https://doi.org/10.3390/app14083490
Chicago/Turabian StylePark, Mok Yoon, Jun Hee Kim, Sang-hwa Yi, Wonseob Lim, Youngoo Yang, and Keum Cheol Hwang. 2024. "Design of Series-Fed Circularly Polarized Beam-Tilted Antenna for Microwave Power Transmission in UAV Application" Applied Sciences 14, no. 8: 3490. https://doi.org/10.3390/app14083490
APA StylePark, M. Y., Kim, J. H., Yi, S.-h., Lim, W., Yang, Y., & Hwang, K. C. (2024). Design of Series-Fed Circularly Polarized Beam-Tilted Antenna for Microwave Power Transmission in UAV Application. Applied Sciences, 14(8), 3490. https://doi.org/10.3390/app14083490

