The Indirect Effect of Lightning Electromagnetic Pulses on Electrostatic, Electromagnetic Fields and Induced Voltages in Overhead Energy Transmission Lines
Abstract
1. Introduction
2. Theoretical Background and Mathematical Models
2.1. Direct LEMP Drop
2.2. Indirect LEMP Drop
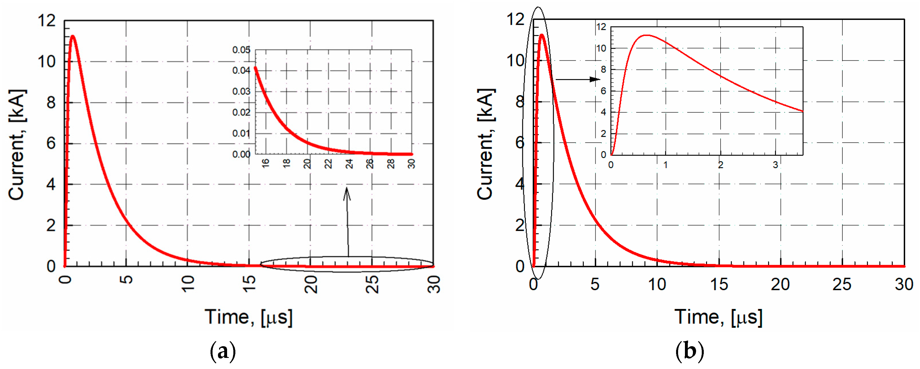
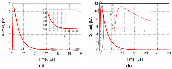
2.3. Lightning Electromagnetic Pulse Current Models
Heidler Current Model
- : time constant of the rising current (s).
- : rot steady of the waveform of the rising current (s).
- n: specified steepness factor (between 2 and 10).
- : sufficiency esteem of the channel base current (A).
- u(t): unit step function.
- t: time (s).
2.4. LEMP Coupling Effect on ETLs
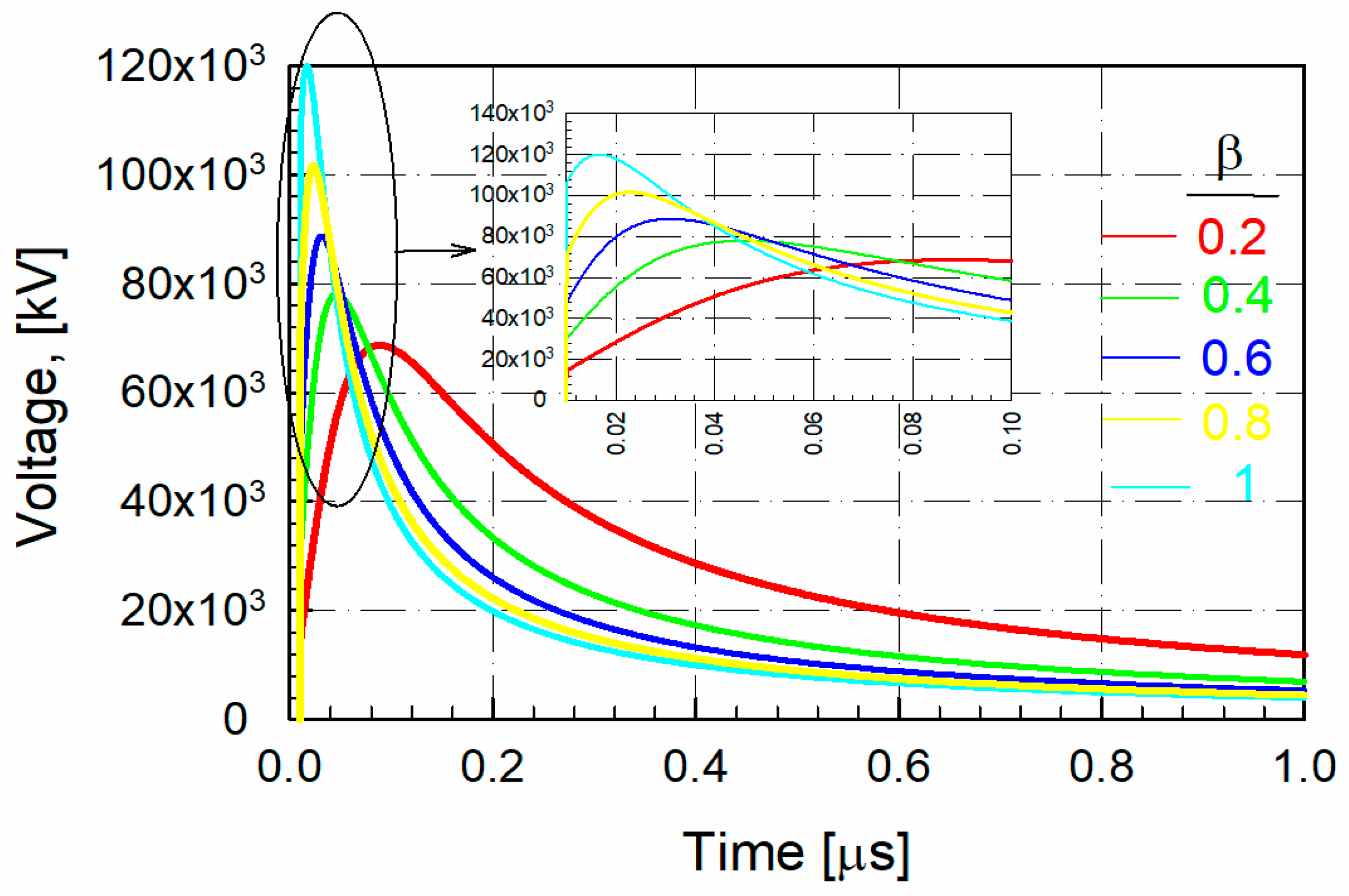
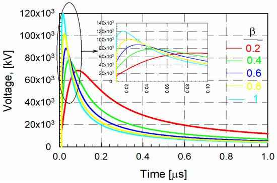
2.5. Rusck Closed Formulation and Rusck Coupling Model
2.5.1. Rusck Coupling Model
- : the scalar potential in the transmission line near the region where the LEMP falls.
- : the total scalar potential generated by the LEMP current.
- t: the time constant.
- Vmax: maximum induced voltage (V).
- : dielectric constant of space (F/m).
- : magnetic permeability of the space (H/m).
- Z: characteristic impedance (Ω).
- : peak value of the LEMP current (A).
- d: distance of the LEMP drop location from the transmission line (m).
- v: speed of the LEMP (m/s).
- c: speed of light (m/s).
- h: height of the line from the ground (m).
2.5.2. Rusck Formulation
- is the scalar potential.
- defines the vector potential.
- β is the value related to the relative velocity.
- Γ is the Lorentz factor.
2.6. The Relationship between Fields and Lines According to Rusck Model
- : the scalar potential.
- l′: the line inductance, (H).
- c′: the line capacitance, (F).

2.7. Electric Field Change in the Initially Uncharged Channel of the LEMP Sprout
2.8. Electric Field Change in the Initially Charged Channel of the LEMP Sprout
3. Results

4. Discussion and Conclusions
Author Contributions
Funding
Informed Consent Statement
Data Availability Statement
Conflicts of Interest
References
- Wagner, K.W. Elektromagnetische Ausgleichs Vorgange in Freileitungen und Kabeln; Electromagnetic and Acoustical Scattering by Simple Shapes; Teubner: Berlin, Germany, 1908; Volume 5. [Google Scholar]
- Bewley, L.W. Traveling Waves due to lightning. AIEE Trans. 1929, 48, 1050–1064. [Google Scholar] [CrossRef]
- Aigner, V. Induzierte Blitzuberspannunen und Ihre Bezie-Hung Zum Ruck Wertigen; Überschlag ETZ: Berlin, Germany, 1935; pp. 497–500. [Google Scholar]
- Szpor, S. A New Theory of the Induced over Voltages; Cigré Report; CIGRE: Paris, France, 1948; p. 308. [Google Scholar]
- Rusck, S. Induced Lightning Over-Voltages on Power Transmission Lines with Special Reference to the Overvoltage Protection of Low-Voltage Networks; Elanders Boktryckeri Aktiebolag: Stockholm, Sweden, 1958. [Google Scholar]
- IEEE Std 1410-2004; IEEE Guide for Improving the Lightning Performance of Electric Power Overhead Distribution. IEEE: Piscataway, NJ, USA, 2004.
- Andreotti, A.; Pierno, A.; Rakov, V.A.; Verolino, L. Analytical Formulations for Lightning-Induced Voltage Calculations. IEEE Trans. Electromagn. Compat. 2013, 55, 109–123. [Google Scholar] [CrossRef]
- Cooray, V.; Cooray, G.; Rubinstein, M.; Rachidi, F. Exact Expressions for Lightning Electromagnetic Fields: Application to the Rusck Field-to-Transmission Line Coupling Model. Atmosphere 2023, 14, 350. [Google Scholar] [CrossRef]
- Nematollahi, A.F.; Vahidi, B. The effect of the inclined lightning channel on electromagnetic fields. Electr. Eng. 2021, 103, 3163–3176. [Google Scholar] [CrossRef]
- Mahmood, F.; Rizk, M.E.M.; Lehtonen, M. Risk-based insulation coordination studies for protection of medium-voltage overhead lines against lightning-induced overvoltages. Electr. Eng. 2019, 101, 311–320. [Google Scholar] [CrossRef]
- Ates, K.; Carlak, H.F.; Ozen, S. Dosimetry analysis of the magnetic field of underground power cables and magnetic field mitigation using an electromagnetic shielding technique. Int. J. Occup. Saf. Ergon. 2022, 28, 1672–1682. [Google Scholar] [CrossRef] [PubMed]
- Lakhdar, A. Numerical Simulation of the Negative Downward Leader Current with the Associated Far-EM Field Generated by Lightning. IEEE Trans. Electromagn. Compat. 2024, 66, 240–246. [Google Scholar] [CrossRef]
- Nicolae, P.-M.T.; Nicolae, I.-D.V.D.; Nitu, M.-C.; Nicolae, M.-S.P.M. Analysis and Experiments Concerning Surges Transferred Between Power Transformer Windings Due to Lightning Impulse. IEEE Trans. Electromagn. Compat. 2023, 65, 1476–1483. [Google Scholar] [CrossRef]
- Rizk, M.E.M.; Ghanem, A.; Abulanwar, S.; Shahin, A.; Baba, Y.; Mahmood, F.; Ismael, I. Induced Electromagnetic Fields on Underground Cable Due to Lightning-Struck Wind Tower. IEEE Trans. Electromagn. Compat. 2023, 65, 1684–1694. [Google Scholar] [CrossRef]
- Koike, S.; Baba, Y.; Tsuboi, T.; Rakov, V.A. Lightning Current Waveforms Inferred from Far-Field Waveforms for the Case of Strikes to Tall Objects. IEEE Trans. Electromagn. Compat. 2023, 65, 1162–1169. [Google Scholar] [CrossRef]
- Ain, N.U.; Andreotti, A.; Mahmood, F.; Rizk, M.E.M. A Correction to Rusck Expression for the Evaluation of Lightning-Induced Overvoltages for High-Resistivity Ground. IEEE Trans. Electromagn. Compat. 2023, 65, 1152–1161. [Google Scholar] [CrossRef]
- Tatematsu, A.; Yamanaka, A. Three-Dimensional FDTD-Based Simulation of Lightning-Induced Surges in Secondary Circuits with Shielded Control Cables Over Grounding Grids in Substations. IEEE Trans. Electromagn. Compat. 2023, 65, 528–538. [Google Scholar] [CrossRef]
- Viscaro, S. Direct Strokes to Transmission Lines: Considerations on the mechanisms of Overvoltage Formation and their Influence on the Lightning Performance of Lines. J. Light. Res. 2007, 1, 60–68. [Google Scholar]
- Master, M.J.; Uman, M.A.; Lin, Y.T.; Standler, R.B. Calculations of lightning return stroke electric and magnetic fields above ground. J. Geophys. Res. 1981, 86, 127–132. [Google Scholar] [CrossRef]
- Diendorfer, G.; Uman, M.A. An improved return stroke model with specified channel-base current. J. Geophys. Res. 1990, 95, 13621–13644. [Google Scholar] [CrossRef]
- Heidler, F. Travelling current source model for LEMP calculation. In Proceedings of the 6th Symposium and Technical Exhibition on Electromagnetic Compatibility, Zurich, Switzerland, 5–7 March 1985. [Google Scholar]
- Nucci, C.A.; Rachidi, F.; Ianoz, M.; Mazzetti, C. Comparison of Two Coupling Models for Lightning-Induced Over-voltage Calculations. IEEE Trans. Power Deliv. 1995, 10, 330–339. [Google Scholar] [CrossRef]
- Montano, R. The Effects of Lightning on Low Voltage Power Networks. Ph.D. Thesis, Uppsala University, Uppsala, Sweden, 2005. [Google Scholar]
- Barker, P.P.; Short, T.A.; Eybert-Berard, A.R.; Berlandis, J.P. Induced voltage measurement on an experimental distribution line during nearby rocket triggered lightning flashes. IEEE Trans. Power Deliv. 1996, 11, 980–995. [Google Scholar] [CrossRef]
- Nucci, C.A.; Rachidi, F.; Ianoz, M.V.; Mazzetti, C. Lightning Induced Voltages on Overhead Power Lines. IEEE Trans. Electromagn. Compat. 1993, 35, 75–86. [Google Scholar] [CrossRef]
- Darveniza, M. A Practical Extension of Rusck’s Formula for Maximum Lightning-Induced Voltages That Accounts for Ground Resistivity. IEEE Trans. Power Deliv. 2007, 22, 605–612. [Google Scholar] [CrossRef]
- Rusck, S.; Golde, R.H. Protection of Distribution Lines in Lightning; Academic Press: London, UK, 1977; Volume 2, pp. 747–771. [Google Scholar]
- Cakil, T. Investigation of The Effects of Lightning Electromagnetic Structures on High Voltage Electrical Facilities. Master’s Thesis, Akdeniz University, Antalya, Turkey, 2017. [Google Scholar]
- Cooray, V. Calculating lightning-induced over voltages in power lines. A comparison of two coupling models. IEEE Trans. Electromagn. Compat. 1994, 36, 179–182. [Google Scholar] [CrossRef]
- Hoidalen, H. Analytical Formulation of Lightning-Induced Voltages on Multiconductor Overhead Lines Above Lossy Ground. IEEE Trans. Electromagn. Compat. 2003, 45, 92–100. [Google Scholar] [CrossRef]
- Liew, A.C.; Mar, S.C. Extension of the Chowdhuri—Gross Model for Lightning Induced Voltage on Overhead Lines. IEEE Trans. Power Syst. 1986, 1, 240–247. [Google Scholar] [CrossRef]
- Rachidi, F.; Nucci, C.A.; Ianoz, M. Transient Analysis of Multiconductor Lines Above a Lossy Ground. IEEE Trans. Power Deliv. 1999, 14, 294–302. [Google Scholar] [CrossRef]
- Cakil, T.; Carlak, H.F.; Ozen, S. The Analysis of Transient Phenomena on Power Transmission Lines Due to Lightning Electromagnetic Pulses. In Proceedings of the 2017 Progress in Electromagnetics Research Symposium—Spring (PIERS), St. Petersburg, Russia, 22–25 May 2017. [Google Scholar]
- Cooray, V. The Lightning Flash; Institution of Electrical Engineers: London, UK, 2003. [Google Scholar]
- Borghetti, A.; Nucci, C.A.; Paolone, M.; Rachidi, F. Characterization of the response of an overhead distribution line to lightning electromagnetic fields. In Proceedings of the ICLP 2000, 25th International Conference on Lightning Protection, Rhodes, Greece, 18–22 September 2000. [Google Scholar]
- Nucci, C.A. Lightning-Induced Voltages on Overhead Power Lines. Part II: Coupling Models for the Evaluation of the Induced Voltages. Electra 1995, 162, 121–145. [Google Scholar]
- Ishimoto, K.; Tossani, F.; Napolitano, F.; Borghetti, A.; Nucci, C.A. LEMP and ground conductivity impact on the direct lightning performance of a medium-voltage line. Electr. Power Syst. Res. 2023, 214, 108845. [Google Scholar] [CrossRef]
- Delfino, F.; Procopio, R.; Andreotti, A.; Verolino, L. Lightning return stroke current identification via field measurements. Electr. Eng. 2002, 84, 41–50. [Google Scholar] [CrossRef]
- Helhel, S.; Ozen, S. Assessment of occupational exposure to magnetic fields in high-voltage substations (154/34.5 kV). Radiat. Prot. Dosim. 2008, 128, 464–470. [Google Scholar] [CrossRef] [PubMed]














Disclaimer/Publisher’s Note: The statements, opinions and data contained in all publications are solely those of the individual author(s) and contributor(s) and not of MDPI and/or the editor(s). MDPI and/or the editor(s) disclaim responsibility for any injury to people or property resulting from any ideas, methods, instructions or products referred to in the content. |
© 2024 by the authors. Licensee MDPI, Basel, Switzerland. This article is an open access article distributed under the terms and conditions of the Creative Commons Attribution (CC BY) license (https://creativecommons.org/licenses/by/4.0/).
Share and Cite
Cakil, T.; Carlak, H.F.; Ozen, S. The Indirect Effect of Lightning Electromagnetic Pulses on Electrostatic, Electromagnetic Fields and Induced Voltages in Overhead Energy Transmission Lines. Appl. Sci. 2024, 14, 3090. https://doi.org/10.3390/app14073090
Cakil T, Carlak HF, Ozen S. The Indirect Effect of Lightning Electromagnetic Pulses on Electrostatic, Electromagnetic Fields and Induced Voltages in Overhead Energy Transmission Lines. Applied Sciences. 2024; 14(7):3090. https://doi.org/10.3390/app14073090
Chicago/Turabian StyleCakil, Turan, Hamza Feza Carlak, and Sukru Ozen. 2024. "The Indirect Effect of Lightning Electromagnetic Pulses on Electrostatic, Electromagnetic Fields and Induced Voltages in Overhead Energy Transmission Lines" Applied Sciences 14, no. 7: 3090. https://doi.org/10.3390/app14073090
APA StyleCakil, T., Carlak, H. F., & Ozen, S. (2024). The Indirect Effect of Lightning Electromagnetic Pulses on Electrostatic, Electromagnetic Fields and Induced Voltages in Overhead Energy Transmission Lines. Applied Sciences, 14(7), 3090. https://doi.org/10.3390/app14073090

