Effectiveness of Noble Gas Addition for Plasma Synthesis of Ammonia in a Dielectric Barrier Discharge Reactor
Abstract
1. Introduction
2. Experimental Setup and Methods
2.1. Experimental Setup
2.2. Parameters Calculation and Kinetic Model
3. Results and Discussion
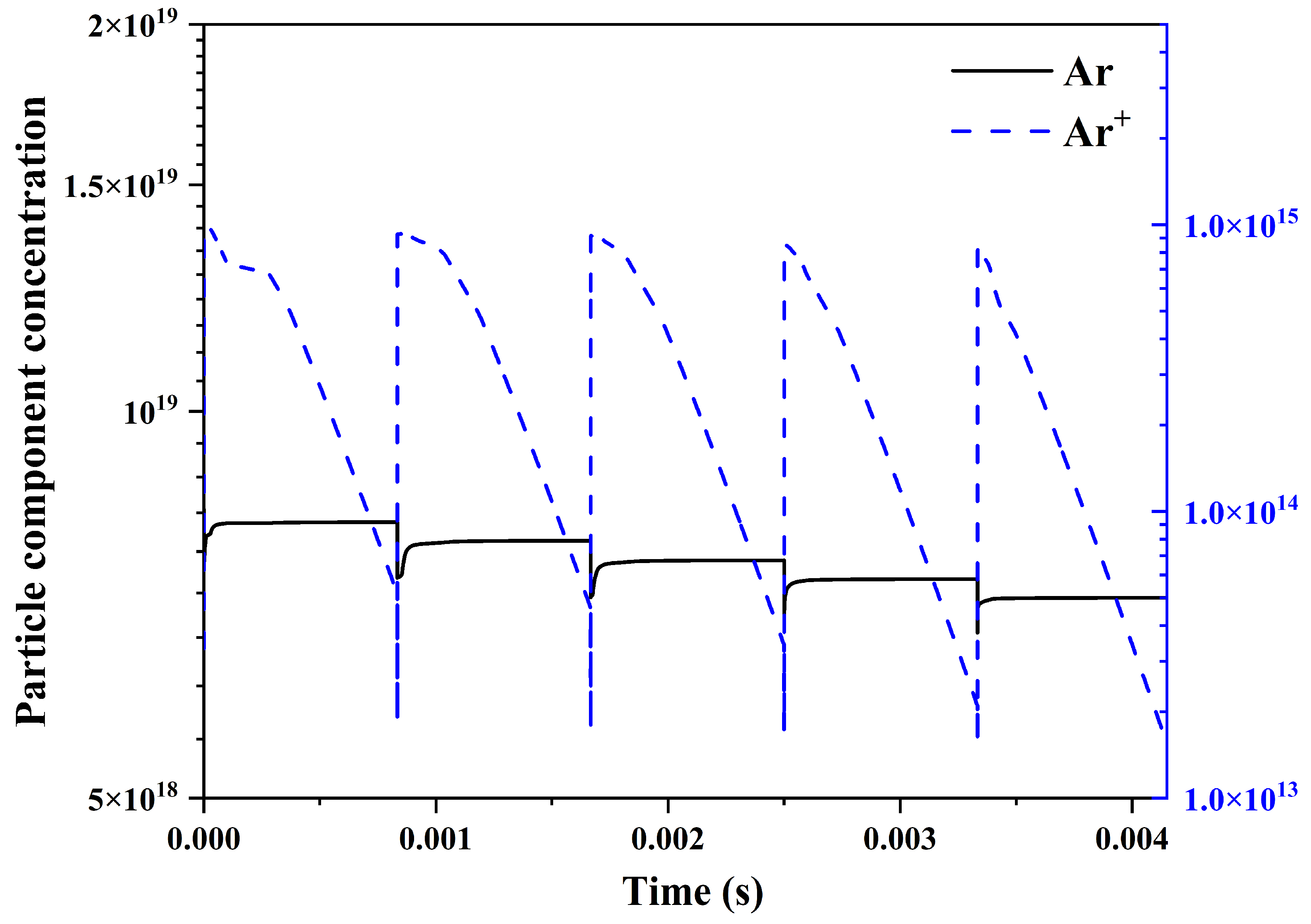
3.1. Effect of Ar and He Addition on Electrical Characteristics
3.2. Effect of Ar and He Addition on NH3 Formation
3.3. Effect of Discharge Parameters on NH3 Formation
3.4. OES of Plasma with Addition of Ar and He
3.5. NH3 Generation Mechanism
4. Conclusions
Supplementary Materials
Author Contributions
Funding
Data Availability Statement
Conflicts of Interest
References
- Peng, P.; Chen, P.; Schiappacasse, C.; Zhou, N.; Anderson, E.; Chen, D.; Liu, J.; Cheng, Y.; Hatzenbeller, R.; Addy, M.; et al. A Review on the Non-Thermal Plasma-Assisted Ammonia Synthesis Technologies. J. Clean. Prod. 2018, 177, 597–609. [Google Scholar] [CrossRef]
- Zhang, J.; Li, X.; Zheng, J.; Du, M.; Wu, X.; Song, J.; Cheng, C.; Li, T.; Yang, W. Non-Thermal Plasma-Assisted Ammonia Production: A Review. Energy Convers. Manag. 2023, 293, 117482. [Google Scholar] [CrossRef]
- Peng, P.; Schiappacasse, C.; Zhou, N.; Addy, M.; Cheng, Y.; Zhang, Y.; Ding, K.; Wang, Y.; Chen, P.; Ruan, R. Sustainable Non-Thermal Plasma-Assisted Nitrogen Fixation—Synergistic Catalysis. ChemSusChem 2019, 12, 3702–3712. [Google Scholar] [CrossRef] [PubMed]
- Hosseini, H. Dielectric Barrier Discharge Plasma Catalysis as an Alternative Approach for the Synthesis of Ammonia: A Review. RSC Adv. 2023, 13, 28211–28223. [Google Scholar] [CrossRef]
- Zeng, X.; Zhang, S.; Liu, Y.; Hu, X.; Ostrikov, K.K.; Shao, T. Energy-Efficient Pathways for Pulsed-Plasma-Activated Sustainable Ammonia Synthesis. ACS Sustain. Chem. Eng. 2023, 11, 1110–1120. [Google Scholar] [CrossRef]
- Zhou, D.; Zhou, R.; Zhou, R.; Liu, B.; Zhang, T.; Xian, Y.; Cullen, P.J.; Lu, X.; Ostrikov, K. Sustainable Ammonia Production by Non-Thermal Plasmas: Status, Mechanisms, and Opportunities. Chem. Eng. J. 2021, 421, 129544. [Google Scholar] [CrossRef]
- Carreon, M.L. Plasma Catalytic Ammonia Synthesis: State of the Art and Future Directions. J. Phys. D Appl. Phys. 2019, 52, 483001. [Google Scholar] [CrossRef]
- Zeng, X.; Zhang, S.; Hu, X.; Zhang, C.; Ostrikov, K.; Shao, T. Recent Advances in Plasma-Enabled Ammonia Synthesis: State-of-the-Art, Challenges, and Outlook. Faraday Discuss. 2023, 243, 473–491. [Google Scholar] [CrossRef]
- de Castro, A.; Alegre, D.; Tabarés, F.L. Influence of Residence Time and Helium Addition in the Ammonia Formation on Tungsten Walls in N2-H2 Glow Discharge Plasmas. Nucl. Mater. Energy 2017, 12, 399–404. [Google Scholar] [CrossRef]
- Bazinette, R.; Paillol, J.; Massines, F. Optical Emission Spectroscopy of Glow, Townsend-like and Radiofrequency DBDs in an Ar/NH3 Mixture. Plasma Sources Sci. Technol. 2015, 24, 055021. [Google Scholar] [CrossRef]
- Yaala, M.B.; Saeedi, A.; Scherrer, D.-F.; Moser, L.; Steiner, R.; Zutter, M.; Oberkofler, M.; Temmerman, G.D.; Marot, L.; Meyer, E. Plasma-Assisted Catalytic Formation of Ammonia in N2–H2 Plasma on a Tungsten Surface. Phys. Chem. Chem. Phys. 2019, 21, 16623–16633. [Google Scholar] [CrossRef] [PubMed]
- Shah, J.; Wang, W.; Bogaerts, A.; Carreon, M.L. Ammonia Synthesis by Radio Frequency Plasma Catalysis: Revealing the Underlying Mechanisms. ACS Appl. Energy Mater. 2018, 1, 4824–4839. [Google Scholar] [CrossRef]
- Hu, J.; Wildfire, C.; Stiegman, A.E.; Dagle, R.A.; Shekhawat, D.; Abdelsayed, V.; Bai, X.; Tian, H.; Bogle, M.B.; Hsu, C.; et al. Microwave-Driven Heterogeneous Catalysis for Activation of Dinitrogen to Ammonia under Atmospheric Pressure. Chem. Eng. J. 2020, 397, 125388. [Google Scholar] [CrossRef]
- Bai, X.; Tiwari, S.; Robinson, B.; Killmer, C.; Li, L.; Hu, J. Microwave Catalytic Synthesis of Ammonia from Methane and Nitrogen. Catal. Sci. Technol. 2018, 8, 6302–6305. [Google Scholar] [CrossRef]
- Indumathy, B.; Ananthanarasimhan, J.; Rao, L.; Yugeswaran, S.; Ananthapadmanabhan, P.V. Catalyst-Free Production of Ammonia by Means of Interaction between a Gliding Arc Plasma and Water Surface. J. Phys. D Appl. Phys. 2022, 55, 395501. [Google Scholar] [CrossRef]
- Muzammil, I.; Lee, D.H.; Dinh, D.K.; Kang, H.; Roh, S.A.; Kim, Y.-N.; Choi, S.; Jung, C.; Song, Y.-H. A Novel Energy Efficient Path for Nitrogen Fixation Using a Non-Thermal Arc. RSC Adv. 2021, 11, 12729–12738. [Google Scholar] [CrossRef] [PubMed]
- Zhang, Y.; Liu, B.; Luo, J.; Nie, L.; Xian, Y.; Lu, X. Research on Key Influencing Factors and Mechanisms of Improved Nitrogen Fixation Efficiency in Magnetic-Driven Gliding Arc. J. Phys. D Appl. Phys. 2023, 57, 125204. [Google Scholar] [CrossRef]
- Shah, J.; Wu, T.; Lucero, J.; Carreon, M.A.; Carreon, M.L. Nonthermal Plasma Synthesis of Ammonia over Ni-MOF-74. ACS Sustain. Chem. Eng. 2019, 7, 377–383. [Google Scholar] [CrossRef]
- Zhu, X.; Hu, X.; Wu, X.; Cai, Y.; Zhang, H.; Tu, X. Ammonia Synthesis over γ-Al2O3 Pellets in a Packed-Bed Dielectric Barrier Discharge Reactor. J. Phys. D Appl. Phys. 2020, 53, 164002. [Google Scholar] [CrossRef]
- van ’t Veer, K.; Engelmann, Y.; Reniers, F.; Bogaerts, A. Plasma-Catalytic Ammonia Synthesis in a DBD Plasma: Role of Microdischarges and Their Afterglows. J. Phys. Chem. C 2020, 124, 22871–22883. [Google Scholar] [CrossRef]
- Uyama, H.; Nakamura, T.; Tanaka, S.; Matsumoto, O. Catalytic Effect of Iron Wires on the Syntheses of Ammonia and Hydrazine in a Radio-Frequency Discharge. Plasma Chem. Plasma Process. 1993, 13, 117–131. [Google Scholar] [CrossRef]
- Gómez-Ramírez, A.; Cotrino, J.; Lambert, R.M.; González-Elipe, A.R. Efficient Synthesis of Ammonia from N2 and H2 Alone in a Ferroelectric Packed-Bed DBD Reactor. Plasma Sources Sci. Technol. 2015, 24, 065011. [Google Scholar] [CrossRef]
- Navascués, P.; Garrido-García, J.; Cotrino, J.; González-Elipe, A.R.; Gómez-Ramírez, A. Incorporation of a Metal Catalyst for the Ammonia Synthesis in a Ferroelectric Packed-Bed Plasma Reactor: Does It Really Matter? ACS Sustain. Chem. Eng. 2023, 11, 3621–3632. [Google Scholar] [CrossRef] [PubMed]
- Xie, Q.; Zhuge, S.; Song, X.; Lu, M.; Yu, F.; Ruan, R.; Nie, Y. Non-Thermal Atmospheric Plasma Synthesis of Ammonia in a DBD Reactor Packed with Various Catalysts. J. Phys. D Appl. Phys. 2019, 53, 064002. [Google Scholar] [CrossRef]
- Yaala, M.B.; Scherrer, D.-F.; Saeedi, A.; Moser, L.; Soni, K.; Steiner, R.; Temmerman, G.D.; Oberkofler, M.; Marot, L.; Meyer, E. Plasma-Activated Catalytic Formation of Ammonia from N2–H2: Influence of Temperature and Noble Gas Addition. Nucl. Fusion 2019, 60, 016026. [Google Scholar] [CrossRef]
- Liu, J.; Zhu, X.; Hu, X.; Zhang, F.; Tu, X. Plasma-Assisted Ammonia Synthesis in a Packed-Bed Dielectric Barrier Discharge Reactor: Effect of Argon Addition. Vacuum 2022, 197, 110786. [Google Scholar] [CrossRef]
- Patil, B.S.; van Kaathoven, A.S.R.; Peeters, F.J.J.; Cherkasov, N.; Lang, J.; Wang, Q.; Hessel, V. Deciphering the Synergy between Plasma and Catalyst Support for Ammonia Synthesis in a Packed Dielectric Barrier Discharge Reactor. J. Phys. D Appl. Phys. 2020, 53, 144003. [Google Scholar] [CrossRef]
- Zhou, R.; Zhou, D.; Liu, B.; Nie, L.; Xian, Y.; Zhang, T.; Zhou, R.; Lu, X.; Ostrikov, K.K.; Cullen, P.J. Controlling Energy Transfer in Plasma-Driven Ammonia Synthesis by Adding Helium Gas. ACS Sustain. Chem. Eng. 2023, 11, 1828–1836. [Google Scholar] [CrossRef]
- Li, Y.; Qin, L.; Wang, H.-L.; Li, S.-S.; Yuan, H.; Yang, D.-Z. High Efficiency NOx Synthesis and Regulation Using Dielectric Barrier Discharge in the Needle Array Packed Bed Reactor. Chem. Eng. J. 2023, 461, 141922. [Google Scholar] [CrossRef]
- Hagelaar, G.; Pitchford, L. Solving the Boltzmann Equation to Obtain Electron Transport Coefficients and Rate Coefficients for Fluid Models. Plasma Sources Sci. Technol. 2005, 14, 722. [Google Scholar] [CrossRef]
- Li, S.; van Raak, T.; Gallucci, F. Investigating the Operation Parameters for Ammonia Synthesis in Dielectric Barrier Discharge Reactors. J. Phys. D Appl. Phys. 2019, 53, 014008. [Google Scholar] [CrossRef]
- Zhang, Y.; Li, J.; Lu, N.; Shang, K.; Mizuno, A.; Wu, Y. Evaluation of Discharge Uniformity and Area in Surface Dielectric Barrier Discharge at Atmospheric Pressure. Vacuum 2016, 123, 49–53. [Google Scholar] [CrossRef]
- Liu, Y.; Wang, C.-W.; Xu, X.-F.; Liu, B.-W.; Zhang, G.-M.; Liu, Z.-W.; Chen, Q.; Zhang, H.-B. Synergistic Effect of Co-Ni Bimetal on Plasma Catalytic Ammonia Synthesis. Plasma Chem. Plasma Process. 2022, 42, 267–282. [Google Scholar] [CrossRef]
- Wang, X.; Du, X.; Chen, K.; Zheng, Z.; Liu, Y.; Shen, X.; Hu, C. Predicting the Ammonia Synthesis Performance of Plasma Catalysis Using an Artificial Neural Network Model. ACS Sustain. Chem. Eng. 2023, 11, 4543–4554. [Google Scholar] [CrossRef]
- Peng, P.; Li, Y.; Cheng, Y.; Deng, S.; Chen, P.; Ruan, R. Atmospheric Pressure Ammonia Synthesis Using Non-Thermal Plasma Assisted Catalysis. Plasma Chem. Plasma Process. 2016, 36, 1201–1210. [Google Scholar] [CrossRef]
- Kim, H.-H.; Teramoto, Y.; Ogata, A.; Takagi, H.; Nanba, T. Atmospheric-Pressure Nonthermal Plasma Synthesis of Ammonia over Ruthenium Catalysts. Plasma Process. Polym. 2017, 14, 1600157. [Google Scholar] [CrossRef]
- Hong, J.; Aramesh, M.; Shimoni, O.; Seo, D.H.; Yick, S.; Greig, A.; Charles, C.; Prawer, S.; Murphy, A.B. Plasma Catalytic Synthesis of Ammonia Using Functionalized-Carbon Coatings in an Atmospheric-Pressure Non-Equilibrium Discharge. Plasma Chem. Plasma Process. 2016, 36, 917–940. [Google Scholar] [CrossRef]
- Qayyum, A.; Zeb, S.; Naveed, M.A.; Rehman, N.U.; Ghauri, S.A.; Zakaullah, M. Optical Emission Spectroscopy of Ar–N2 Mixture Plasma. J. Quant. Spectrosc. Radiat. Transf. 2007, 107, 361–371. [Google Scholar] [CrossRef]
- Zhang, S.; Zong, L.; Zeng, X.; Zhou, R.; Liu, Y.; Zhang, C.; Pan, J.; Cullen, P.J.; Ostrikov, K.; Shao, T. Sustainable Nitrogen Fixation with Nanosecond Pulsed Spark Discharges: Insights into Free-Radical-Chain Reactions. Green Chem. 2022, 24, 1534–1544. [Google Scholar] [CrossRef]
- Abdel-kader, M.E.; Gaber, W.H.; Ebrahim, F.A.; Abd Al-Halim, M.A. Characterization of the Electrical Breakdown for DC Discharge in Ar-He Gas Mixture. Vacuum 2019, 169, 108922. [Google Scholar] [CrossRef]
- Brand, K.P. Dielectric Strength, Boiling Point and Toxicity of Gases—Different Aspects of the Same Basic Molecular Properties. IEEE Trans. Electr. Insul. 1982, 17, 451–456. [Google Scholar] [CrossRef]
- Li, S.-Z.; Zhang, X.; Chen, C.-J.; Zhang, J.; Wang, Y.-X.; Xia, G.-Q. The Quenching Effect of Hydrogen on the Nitrogen in Metastable State in Atmospheric-Pressure N2-H2 Microwave Plasma Torch. Phys. Plasmas 2014, 21, 073513. [Google Scholar] [CrossRef]
- Hu, X.; Zhu, X.; Wu, X.; Cai, Y.; Tu, X. Plasma-Enhanced NH3 Synthesis over Activated Carbon-Based Catalysts: Effect of Active Metal Phase. Plasma Process. Polym. 2020, 17, 2000072. [Google Scholar] [CrossRef]
- Kosarev, I.N.; Khorunzhenko, V.I.; Mintoussov, E.I.; Sagulenko, P.N.; Popov, N.A.; Starikovskaia, S.M. A Nanosecond Surface Dielectric Barrier Discharge at Elevated Pressures: Time-Resolved Electric Field and Efficiency of Initiation of Combustion. Plasma Sources Sci. Technol. 2012, 21, 045012. [Google Scholar] [CrossRef]
- Wang, Q.; Wu, H.; Wang, Y.; Zhang, Y.; Jiang, W.; Zhang, Y. Influence of Pulse Width on the Breakdown Process of Nanosecond Pulse Discharge at Low Pressure. J. Phys. D Appl. Phys. 2023, 56, 465201. [Google Scholar] [CrossRef]
- Sun, J.; Chen, Q.; Zhao, X.; Lin, H.; Qin, W. Kinetic Investigation of Plasma Catalytic Synthesis of Ammonia: Insights into the Role of Excited States and Plasma-Enhanced Surface Chemistry. Plasma Sources Sci. Technol. 2022, 31, 094009. [Google Scholar] [CrossRef]
- Qian, M.; Li, G.; Liu, S.; Zhang, Y.; Li, S.; Lin, Z.; Wang, D. Effect of Pulse Voltage Rising Time on Discharge Characteristics of a Helium–Air Plasma at Atmospheric Pressure. Plasma Sci. Technol. 2017, 19, 064015. [Google Scholar] [CrossRef]
- Nakajima, J.; Sekiguchi, H. Synthesis of Ammonia Using Microwave Discharge at Atmospheric Pressure. Thin Solid Film. 2008, 516, 4446–4451. [Google Scholar] [CrossRef]
- Luo, S.; Denning, C.M.; Scharer, J.E. Laser-Rf Creation and Diagnostics of Seeded Atmospheric Pressure Air and Nitrogen Plasmas. J. Appl. Phys. 2008, 104, 013301. [Google Scholar] [CrossRef]
- Wang, Y.; Craven, M.; Yu, X.; Ding, J.; Bryant, P.; Huang, J.; Tu, X. Plasma-Enhanced Catalytic Synthesis of Ammonia over a Ni/Al2O3 Catalyst at Near-Room Temperature: Insights into the Importance of the Catalyst Surface on the Reaction Mechanism. ACS Catal. 2019, 9, 10780–10793. [Google Scholar] [CrossRef] [PubMed]
- Hong, J.; Pancheshnyi, S.; Tam, E.; Lowke, J.J.; Prawer, S.; Murphy, A.B. Kinetic Modelling of NH3 Production in N2–H2 Non-Equilibrium Atmospheric-Pressure Plasma Catalysis. J. Phys. D Appl. Phys. 2017, 50, 154005. [Google Scholar] [CrossRef]
- Wang, L.; Yi, Y.; Zhao, Y.; Zhang, R.; Zhang, J.; Guo, H. NH3 Decomposition for H2 Generation: Effects of Cheap Metals and Supports on Plasma–Catalyst Synergy. ACS Catal. 2015, 5, 4167–4174. [Google Scholar] [CrossRef]
- Zhang, T.; Zhou, R.; Zhang, S.; Zhou, R.; Ding, J.; Li, F.; Hong, J.; Dou, L.; Shao, T.; Murphy, A.B.; et al. Sustainable Ammonia Synthesis from Nitrogen and Water by One-Step Plasma Catalysis. Energy Environ. Mater. 2023, 6, e12344. [Google Scholar] [CrossRef]
- Hong, J.; Prawer, S.; Murphy, A.B. Production of Ammonia by Heterogeneous Catalysis in a Packed-Bed Dielectric-Barrier Discharge: Influence of Argon Addition and Voltage. IEEE Trans. Plasma Sci. 2014, 42, 2338–2339. [Google Scholar] [CrossRef]
- Sode, M.; Jacob, W.; Schwarz-Selinger, T.; Kersten, H. Measurement and Modeling of Neutral, Radical, and Ion Densities in H2-N2-Ar Plasmas. J. Appl. Phys. 2015, 117, 083303. [Google Scholar] [CrossRef]










Disclaimer/Publisher’s Note: The statements, opinions and data contained in all publications are solely those of the individual author(s) and contributor(s) and not of MDPI and/or the editor(s). MDPI and/or the editor(s) disclaim responsibility for any injury to people or property resulting from any ideas, methods, instructions or products referred to in the content. |
© 2024 by the authors. Licensee MDPI, Basel, Switzerland. This article is an open access article distributed under the terms and conditions of the Creative Commons Attribution (CC BY) license (https://creativecommons.org/licenses/by/4.0/).
Share and Cite
Xu, Y.; Yuan, H.; Wang, H.; Lu, K.; Yang, D. Effectiveness of Noble Gas Addition for Plasma Synthesis of Ammonia in a Dielectric Barrier Discharge Reactor. Appl. Sci. 2024, 14, 3001. https://doi.org/10.3390/app14073001
Xu Y, Yuan H, Wang H, Lu K, Yang D. Effectiveness of Noble Gas Addition for Plasma Synthesis of Ammonia in a Dielectric Barrier Discharge Reactor. Applied Sciences. 2024; 14(7):3001. https://doi.org/10.3390/app14073001
Chicago/Turabian StyleXu, Yihao, Hao Yuan, Hongli Wang, Ke Lu, and Dezheng Yang. 2024. "Effectiveness of Noble Gas Addition for Plasma Synthesis of Ammonia in a Dielectric Barrier Discharge Reactor" Applied Sciences 14, no. 7: 3001. https://doi.org/10.3390/app14073001
APA StyleXu, Y., Yuan, H., Wang, H., Lu, K., & Yang, D. (2024). Effectiveness of Noble Gas Addition for Plasma Synthesis of Ammonia in a Dielectric Barrier Discharge Reactor. Applied Sciences, 14(7), 3001. https://doi.org/10.3390/app14073001

