Theoretical Study of the Evolution Characteristics of the Plastic Deformation Zone of Type I–II Composite Fractured Rock under Osmotic Pressure
Abstract
1. Introduction
2. Theoretical Model of the Plastic Zone
2.1. Rift Model Assumptions
2.2. Infiltration Environment Judgment Guidelines
3. Evolution of the Plastic Zone under Osmotic Pressure
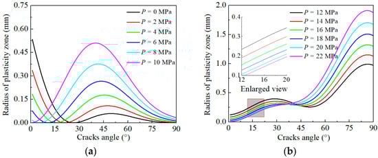
3.1. Fracture Expansion under Low Osmotic Pressure
3.2. Fracture Expansion under High Osmotic Pressures
4. Effect of Fracture Parameters on the Plastic Zone
4.1. Effect of Fracture Dip on the Plastic Zone Radius
4.2. Effect of Poisson’s Ratio on the Plastic Zone Radius
4.3. Effect of Fracture Length on the Plastic Zone Radius
5. Conclusions
- (1)
- The investigation of stress distribution characteristics on the fracture surface under osmotic pressure revealed that the effective positive stress features on the rock body’s fracture surface can serve as a criterion to distinguish between high and low osmotic pressures. The stress intensity factor is derived for composite fractures under osmotic pressure, taking into account the effects on rock microfractures.
- (2)
- An analytical expression is developed to obtain r in fractures exposed to high and low osmotic pressure. The performed analyses indicated that the value of r in fractured rocks is significantly affected by fracture parameters. When subjected to low osmotic pressure, the fracture plastic zone radius exhibited a decreasing–increasing–decreasing trend as the fracture dip angle θ increased, with the peak r occurring at 45°. The fracture length and Poisson’s ratio had no notable impact on the fracture r value.
- (3)
- Under high osmotic pressure, r increased with increasing θ. The effect of changes in Poisson’s ratio v on the plastic zone radius was more noticeable, with an increase in v from 0.20 to 0.28, resulting in a 10.26% rise in r. Moreover, an increase in fracture length from 10 mm to 30 mm doubled the peak plastic zone radius.
Author Contributions
Funding
Institutional Review Board Statement
Informed Consent Statement
Data Availability Statement
Conflicts of Interest
References
- Feng, Z.C.; Zhao, Y.S.; Zhao, D. Investigating the scale effects in strength of fractured rock mass. Chaos Solitons Fractals 2009, 41, 2377–2386. [Google Scholar] [CrossRef]
- Cheng, Y.; Song, Z.P.; Xu, Z.W.; Yang, T.T.; Tian, X.X. Failure mechanism and infrared radiation characteristic of hard siltstone induced by stratification effect. J. Mt. Sci. 2024, 13, 377–396. [Google Scholar]
- Laghaei, M.; Baghbanan, A.; Hashemolhosseini, H.; Dehghanipoodeh, M. Numerical determination of deformability and strength of 3D fractured rock mass. Int. J. Rock Mech. Min. 2018, 110, 246–256. [Google Scholar] [CrossRef]
- Liu, T.Y.; Zhang, C.Y.; Cao, P.; Zhou, K. Freeze-thaw damage evolution of fractured rock mass using nuclear magnetic resonance technology. Cold Reg. Sci. Technol. 2020, 170, 102951. [Google Scholar] [CrossRef]
- Mao, R.; Fang, K.; Zhao, T.B.; Liu, N.W. Failure mechanism of rock with pre-existing surface crack under cone penetration test. China J. Rock Mech. Eng. 2022, 41, 1183–1192. [Google Scholar] [CrossRef]
- Zhao, J.S.; Duan, S.Q.; Chen, B.R. Failure mechanism of rock masses with complex geological conditions in a large underground cavern: A case study. Soil Dyn. Earthq. Eng. 2024, 177, 108439. [Google Scholar] [CrossRef]
- Kong, X.X.; Liu, Q.S.; Zhao, Y.F.; Pan, Y.C.; Liu, J.P. Numerical study on the influence of joint inclination on rock breaking characteristics of rock tunnel boring machine. J. Coal 2015, 40, 1257–1262. [Google Scholar] [CrossRef]
- Li, X.X.; Xu, Y. Hydraulic and solute transport coupling model for fractured rock mass with discrete fracture network using computational method. China J. Geotech. Eng. 2019, 41, 1164–1171. [Google Scholar] [CrossRef]
- Coli, N.; Pranzini, G.; Alfi, A.; Boerio, V. Evaluation of rock-mass permeability tensor and prediction of tunnel inflows by means of geostructural surveys and finite element seepage analysis. Eng. Geol. 2008, 101, 174–184. [Google Scholar] [CrossRef]
- Cheng, Y.; Song, Z.P.; Yang, T.T.; Han, J.J.; Wang, B.W.; Zhang, Z.K. Investigating the aging damage evolution characteristics of layered hard sandstone using digital image correlation. Constr. Build. Mater. 2022, 353, 128838. [Google Scholar] [CrossRef]
- Fan, Y.S.; Song, Z.P.; Xu, T.; Zhang, Y.W. Investigation of the microstructure damage and mechanical properties evolution of limestone subjected to high-pressure water. Constr. Build. Mater. 2022, 316, 125871. [Google Scholar] [CrossRef]
- Zhu, C.; He, M.C.; Jiang, B.; Qin, X.Z.; Qian, Y.; Zhou, Y. Numerical investigation on the fatigue failure characteristics of water-bearing sandstone under cyclic loading. J. MT Sci.-Engl. 2021, 18, 3348–3365. [Google Scholar] [CrossRef]
- Zhu, C.; Xu, Y.Z.; Wu, Y.X.; He, M.C.; Zhu, C.Q.; Meng, Q.X.; Lin, Y. A hybrid artificial bee colony algorithm and support vector machine for predicting blast-induced ground vibration. Earthq. Eng. Eng. Vib. 2022, 21, 861–876. [Google Scholar] [CrossRef]
- Zhu, C.; Karakus, M.; He, M.C.; Meng, Q.X.; Shang, J.L.; Wang, Y.; Yin, Q. Volumetric deformation and damage evolution of Tibet interbedded skarn under multistage constant-amplitude-cyclic loading. Int. J. Rock Mech. Min. 2022, 152, 105066. [Google Scholar] [CrossRef]
- Wu, K.; Shao, Z.S.; Jiang, Y.L.; Zhao, N.N.; Qin, S.; Chu, Z.F. Determination of stiffness of circumferential yielding lining considering the shotcrete hardening property. Rock Mech. Rock Eng. 2023, 56, 2023–2036. [Google Scholar] [CrossRef]
- Wu, K.; Shao, Z.S.; Sharifzadeh, M.; Hong, S.Y.; Qin, S. Analytical computation of support characteristic curve for circumferential yielding lining in tunnel design. J. Rock Mech. Geotech. Eng. 2022, 14, 144–152. [Google Scholar] [CrossRef]
- Liu, N.F.; Li, N.; Li, G.F.; Song, Z.P.; Wang, S.J. Method for evaluating the equivalent thermal conductivity of a freezing rock mass containing systematic fractures. Rock Mech. Rock Eng. 2022, 55, 7333–7355. [Google Scholar] [CrossRef]
- Tang, L.S.; Zhang, P.C.; Wang, S.J. Testing study on effects of chemical action of aqueous solution on crack propagation in rock. China J. Rock Mech. Eng. 2002, 11, 822–827. [Google Scholar]
- Zhao, Y.L.; Tang, J.Z.; Fu, C.C.; Wang, W.; Wang, W.J.; Luo, S.L. Rheological test and creep damage model of viscoelastic-plastic strain separation of rock. J. Rock Mech. Eng. 2016, 35, 1297–1308. [Google Scholar] [CrossRef]
- Zheng, S.H.; Yao, H.L.; Ge, X.R. Analysis of saturated-unsaturated seepage in fissured expansive soil. Geotech. Mech. 2007, 28, 281–285. [Google Scholar] [CrossRef]
- Zhao, K.; Jin, J.F.; Wang, X.J. Study on rock damage and acoustic emission based on ultrasonic velocity test of rock specimen under uniaxial compression. Rock Soil Mech. 2007, 43, 2105–2109+2114. [Google Scholar] [CrossRef]
- Wang, K.; Jiang, Y.F.; Xu, C. Mechanical properties and statistical damage model of coal with different moisture contents under uniaxial compression. China J. Rock Mech. Eng. 2018, 37, 1070–1079. [Google Scholar] [CrossRef]
- Li, H.R.; Qiao, Y.F.; Shen, R.X. Effect of water on mechanical behavior and acoustic emission response of sandstone during loading process: Phenomenon and mechanism. Eng. Geol. 2021, 294, 106386. [Google Scholar] [CrossRef]
- Qiu, L.W.; Zhu, L.L.; Xie, L.F. Study on strength characteristics of interlayer rocks based on thermal–mechanical coupling. Geotech. Geol. Eng. 2023, 41, 3803–3821. [Google Scholar] [CrossRef]
- Song, Z.P.; Wang, J.X.; Jiang, Y.N.; Liu, X.L.; Zhang, X.G. Ultrasonic tests on schist with saturated fractures under uniaxial compression. China J. Rock Mech. Eng. 2014, 33, 2377–2383. [Google Scholar] [CrossRef]
- Song, Z.P.; Cheng, Y.; Tian, X.X.; Wang, J.B.; Yang, T.T. Mechanical properties of limestone from Maixi tunnel under hydro-mechanical coupling. Arab. J. Geosci. 2020, 13, 402–414. [Google Scholar] [CrossRef]
- Song, Z.P.; Song, W.X.; Cheng, Y.; Yang, T.T.; Wang, T.; Wang, K.S. Investigation on strain characteristics and fatigue constitutive model of limestone under osmotic pressure and cyclic disturbance coupling. KSCE J. Civ. Eng. 2022, 26, 1740–1753. [Google Scholar] [CrossRef]
- Mu, W.; Li, L.; Liu, X.; Zhang, L.; Zhang, Z.; Huang, B.; Chen, Y. Diffusion-hydraulic properties of grouting geological rough fractures with power-law slurry. Geomech. Eng. 2020, 21, 357–369. [Google Scholar] [CrossRef]
- Wang, H.; Dong, Q.; De La Vaissière, R.; Vu, M.; La Borderie, C.; Gallipoli, D.; Sun, H. Investigation of hydro-mechanical behaviour of excavation induced damage zone of callovo-oxfordian Claystone: Numerical Modeling and In-situ Experiment. Rock Mech. Rock Eng. 2022, 55, 6079. [Google Scholar] [CrossRef]
- Zhao, H.; Geng, Q.; Liu, X. Influence of freeze–thaw cycles on mechanical properties of pervious concrete: From experimental studies to discrete element simulations. Constr. Build. Mater. 2023, 409, 133988. [Google Scholar] [CrossRef]
- Deng, P.H.; Liu, Q.S.; Huang, X.; Pan, Y.C.; Wu, J. FDEM numerical modeling of failure mechanisms of anisotropic rock masses around deep tunnels. Comput. Geotech. 2022, 142, 104535. [Google Scholar] [CrossRef]
- Lisjak, A.; Garitte, B.; Grasselli, G.; Müller, H.R.; Vietor, T. The excavation of a circular tunnel in a bedded argillaceous rock (Opalinus Clay): Short-term rock mass response and FDEM numerical analysis. Tunn. Undergr. Space Technol. 2015, 45, 227–248. [Google Scholar] [CrossRef]
- Sherzer, G.L.; Alghalandis, Y.F.; Peterson, K.; Shah, S. Comparative study of scale effect in concrete fracturing via lattice discrete particle and finite discrete element models. Eng. Fail. Anal. 2022, 135, 106062. [Google Scholar] [CrossRef]
- Haile, B.F.; Sherzer, G.L.; Peterson, K.; Grasselli, G. Progressive highly stressed volume for size effect analysis. Constr. Build. Mater. 2023, 400, 132600. [Google Scholar] [CrossRef]
- Cheng, Y.; Song, Z.P.; Wu, F.H.; Zhu, X.P.; Yuan, W. Investigating the mechanical deterioration effect of hard sandstone induced by layer structure under uniaxial compression. Buildings 2024, 14, 51. [Google Scholar] [CrossRef]
- Li, D.X.; Wang, E.Y.; Feng, X.J.; Wang, D.M.; Zhang, X.; Ju, Y.Q. Weak current induced by coal deformation and fracture and its response to mine seismicity in a deep underground coal mine. Eng. Geol. 2023, 315, 107018. [Google Scholar] [CrossRef]
- Si, X.F.; Luo, Y.; Luo, S. Influence of lithology and bedding orientation on failure behavior of “D” shaped tunnel. Theor. Appl. Fract. Mech. 2024, 129, 104219. [Google Scholar] [CrossRef]
- Song, Z.P.; Cheng, Y.; Zhang, Z.K. Tunnelling performance prediction of cantilever boring machine in sedimentary hard-rock tunnel using deep belief network. J. Mt. Sci. 2023, 20, 2029–2040. [Google Scholar] [CrossRef]
- Wu, K.; Song, J.A.; Zhao, N.N.; Shao, Z.S. Study on the time—Dependent interaction between surrounding rock and yielding supports in deep soft rock tunnels. Int. J. Numer. Anal. Met. 2023, 47, 3650. [Google Scholar] [CrossRef]
- Wu, K.; Zheng, X.M.; Zhao, N.N. Effect of compressible layer on time-dependent behaviour of soft-rock large deformation tunnels revealed by mathematical analytical method. Appl. Math. Model 2024, 126, 457–481. [Google Scholar] [CrossRef]
- Li, Y.; Yi, Z.J.; Wang, M.; Su, K. The stress intensity factor of a finite-width plate with a mode-ⅰ center crack subjected to uniform stress on the crack surface near the crack tip. Appl. Math. Mech. 2020, 41, 1083–1091. [Google Scholar] [CrossRef]
- Zhao, Y.L.; Wan, W.; Wang, W.J.; Wang, M.; Peng, Q.Y. Fracture experiments on ordered multi-crack body in rock-like materials under uniaxial compression and numerical simulation of wing cracks. China J. Geotech. Eng. 2013, 35, 2097–2109. (In Chinese) [Google Scholar]
- Lee, H.; Jeon, S. An experimental and numerical study of fracture coalescence in pre-cracked specimens under uniaxial compression. Int. J. Solids Struct. 2010, 48, 979–999. [Google Scholar] [CrossRef]
- Pu, C.Z.; Cao, P.; Zhang, C.Y.; Fu, Z.Z. Fracture failure mechanism of rock with closed crack and judging criterion of seepage pressure under biaxial compression. Rock Soil Mech. 2015, 29, 470–474. [Google Scholar] [CrossRef]
- Zeng, J.J.; Zhang, Z.J.; Zhang, B.B.; Pu, C.C. Fracture test and analysis of horizontal fissure rock-like specimens influenced by apertures. China J. Geotech. Eng. 2020, 42, 523–532. [Google Scholar] [CrossRef]








Disclaimer/Publisher’s Note: The statements, opinions and data contained in all publications are solely those of the individual author(s) and contributor(s) and not of MDPI and/or the editor(s). MDPI and/or the editor(s) disclaim responsibility for any injury to people or property resulting from any ideas, methods, instructions or products referred to in the content. |
© 2024 by the authors. Licensee MDPI, Basel, Switzerland. This article is an open access article distributed under the terms and conditions of the Creative Commons Attribution (CC BY) license (https://creativecommons.org/licenses/by/4.0/).
Share and Cite
Niu, Z.; Cheng, Y.; Pei, J.; Xu, T. Theoretical Study of the Evolution Characteristics of the Plastic Deformation Zone of Type I–II Composite Fractured Rock under Osmotic Pressure. Appl. Sci. 2024, 14, 1796. https://doi.org/10.3390/app14051796
Niu Z, Cheng Y, Pei J, Xu T. Theoretical Study of the Evolution Characteristics of the Plastic Deformation Zone of Type I–II Composite Fractured Rock under Osmotic Pressure. Applied Sciences. 2024; 14(5):1796. https://doi.org/10.3390/app14051796
Chicago/Turabian StyleNiu, Zelin, Yun Cheng, Jiafeng Pei, and Tian Xu. 2024. "Theoretical Study of the Evolution Characteristics of the Plastic Deformation Zone of Type I–II Composite Fractured Rock under Osmotic Pressure" Applied Sciences 14, no. 5: 1796. https://doi.org/10.3390/app14051796
APA StyleNiu, Z., Cheng, Y., Pei, J., & Xu, T. (2024). Theoretical Study of the Evolution Characteristics of the Plastic Deformation Zone of Type I–II Composite Fractured Rock under Osmotic Pressure. Applied Sciences, 14(5), 1796. https://doi.org/10.3390/app14051796
