Study on the Causes and Control Measures of Mg–Al Spinel Inclusions in U75V Heavy Rail Steel
Abstract
1. Introduction
2. Investigation Methods
3. Results and Discussion
3.1. Analysis of the Tensile Fracturing of the Rail
3.2. Analysis of Nodules in the Nozzle
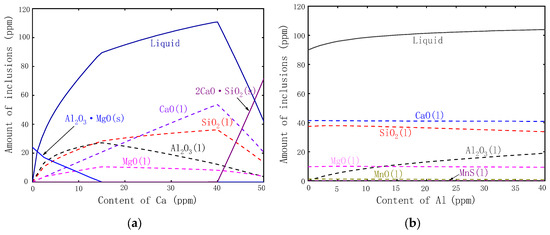
3.3. Formation Analysis of CaO–SiO2–Al2O3–MgO Inclusions
3.4. Precipitation Transition of the Inclusions Themselves
3.5. Analysis of Typical Inclusions in Billet and Rail
3.6. Precipitation of Inclusions during the Solidification of Molten Steel
3.7. Formation Mechanism of Spinel Inclusions
4. Conclusions
- (1)
- Through an immersed nozzle analysis of the U75V heavy rail steel pouring process, spinel inclusions were found in the nozzle nodules, which also existed in the cast billet. The main components were of two types: spinel inclusions existing alone and spinel inclusions wrapped in Ca aluminate.
- (2)
- CaO–SiO2–Al2O3–MgO composite inclusions in steel precipitate themselves during cooling. The precipitation temperature is related to the content of Al2O3 and MgO in the inclusions. Secondary oxidation and corrosion resistance will accelerate the precipitation of spinel inclusions. The small spinel inclusions in U75V heavy rail steel are precipitated during the solidification and cooling of liquid steel, which is related to the composition of liquid steel, while the large spinel inclusions in steel may come from the shedding of the nodule at the nozzle.
- (3)
- To improve the cleanliness of U75V heavy rail steel and to reduce the content of Al2O3 and MgO in inclusions, the content of Mg, Al and other impurity elements in the alloy excipients must be strictly controlled to prevent the secondary oxidation of liquid steel and to reduce the corrosion resistance.
Author Contributions
Funding
Institutional Review Board Statement
Informed Consent Statement
Data Availability Statement
Conflicts of Interest
References
- Qi, J.H.; Yang, C.W.; Zhu, W.J.; Qu, T.; Liu, Y.; Ji, Y. Effect of heat and insulation treatment on MnS inclusion in heavy rail steel. Iron Steel 2013, 48, 79. [Google Scholar]
- Zhang, L.F. Several important scientific research points of non-metallic inclusions in steel. Iron Steel 2016, 32, 1. [Google Scholar]
- Zhang, X.W.; Zhang, L.F.; Yang, W.; Dong, Y.C.; Li, Y.Z. Thermodynamics and dyanmics of MnS inclusions precipitation during solidification process in heavy rail steel. Iron Steel 2016, 51, 30. [Google Scholar]
- Yan-zhao, Z.H.O.U.; Chang-dong, Z.O.U. Cause analysis and control of B type non-metallic inclusions of Al killed special steel. China Metall. 2018, 28, 48. [Google Scholar]
- Qi, J.H.; Wu, J.; Suo, J.P.; Chen, G.; Tian, Q.; Ji, Y. Deoxidization and inclusion control of high speed heavy rail steel. Iron Steel 2011, 46, 18. [Google Scholar]
- Wang, Y.C. Key technologies of cleanliness and homogeneity control for high-speed heavy rail steel. China Metall. 2015, 25, 7. [Google Scholar]
- Zhang, X.W.; Zhang, L.-F.; Yang, W. Dynamics of carbonitrides inclusions precipitation during solidification in heavy rail steels. Steelmaking 2016, 32, 41. [Google Scholar]
- Qi, J.-H.; Zheng, J.-G.; Chen, G.-Y. Discussion on sources of large inclusions in heavy rail steel. Steelmaking 2017, 33, 62. [Google Scholar]
- Verma, N.; Pistorius, P.C.; Fruehan, R.J.; Potter, M.S.; Oltmann, H.G.; Pretorius, E.B. Calcium modification of spinel inclusions in aluminum-killed steel:Reaction steps. Metall. Mater. Trans. B 2012, 43, 830. [Google Scholar] [CrossRef]
- Ji, S.; Luo, Y.; Zhang, G.-F.; Jia, W.-J.; Ren, Y.; Zhang, L.-F. Formation mechanism of submeraged entey nozzle clogging layer structure of 40Cr steel. Iron Steel 2019, 54, 124. [Google Scholar]
- Nightingale, S.; Monaghan, B. Kinetics of spinel formation and growth during dissolution of MgO in CaO-Al2O3-SiO2 slag. Metall. Mater. Trans. B 2008, 39, 643. [Google Scholar] [CrossRef]
- Sandhage, K.; Yurek, G. Indirect dissolution of sapphire into silicate melts. J. Am. Ceram. Soc. 2010, 71, 478. [Google Scholar] [CrossRef]
- Brabie, V. Mechanism of reaction between refractory materials and aluminum deoxidised molten steel. ISIJ Int. 1996, 36, S109–S112. [Google Scholar] [CrossRef]
- Brabie, V. A study on mechanism of reaction between refractory materials and aluminium deoxidised molten steel. Steel Res. 1997, 66, 54–60. [Google Scholar] [CrossRef]
- Itoh, H.; Hino, M.; Ban-Ya, S. Thermodynamics on the formation of spinel nonmetallic inclusion in liquid steel. Metall.·Mater.·Trans.·B 1997, 28B, 953. [Google Scholar] [CrossRef]
- Fujii, K.; Nagasaka, T.; Hino, M. Activities of the constituents in spinel solid solution and free energies of formation of MgO, MgO·Al2O3. ISIJ Int. 2000, 40, 1059. [Google Scholar] [CrossRef]
- Okuyama, G.; Yamaguchi, K.; Takeuchi, S.; Sorimachi, K.I. Effect of slag composition on the kinetics of formation of Al2O3.MgO inclusions in aluminum killed ferritic stainless Steel. ISIJ Int. 2000, 40, 121–128. [Google Scholar] [CrossRef]
- Park, J.H. Formation mechanism of spinel-type inclusions in high-alloyed Stainless Steel Melts. Metall.·Mater.·Trans.·B 2007, 38B, 657. [Google Scholar] [CrossRef]
- Park, J.H.; Kim, D.S. Effect of CaO-Al2O3-MgO slags on the formation of MgO·Al2O3 Inclusions in ferritic stainless steel. Metall.·Mater.·Trans.·B 2005, 36B, 495. [Google Scholar] [CrossRef]
- Zhou, T.-Y.; Yang, S.-F.; Li, J.-S. Inclusions evolution of high-grade ship plate steel in practical production processes. Iron Steel 2019, 54, 33. [Google Scholar]
- Ming, Z.O.U.; Rong-huan, X.U.; Ji-peng, L.I. Nucleation thermodynamic and evolution of non-metallic inclusions in Ti-IF steel. China Metall. 2017, 27, 12. [Google Scholar]
- Harada, A.; Matsui, A.; Nabeshima, S.; Kikuchi, N.; Miki, Y. Effect of slag composition on MgO·Al2O3 spinel-type inclusions in molten steel. ISIJ Int. 2017, 57, 1546. [Google Scholar] [CrossRef]
- Park, J.; Todoroki, H. Control of MgO·Al2O3 spinel inclusions in stainless steel. ISIJ Int. 2010, 50, 1333. [Google Scholar] [CrossRef]
- Bjorklund, J.; Andersson, M.; Jonsson, P. The effect of ladle treatment on inclusion composition in tool steel production. Steel Res. Int. 2008, 79, 261. [Google Scholar] [CrossRef]
- Chi, Y.G.; Deng, Z.Y.; Zhu, M.Y. Effects of refractory and ladle glaze on evolution of non-metallic inclusions in Al-killed steel. Steel Res. Int. 2017, 88, 160. [Google Scholar] [CrossRef]
- Shin, J.; Park, J. Effect of CaF2 content in refining slag on formation behavior of spinel inclusion in Ni-Cr-V-alloyed special structure and mechanical properties of AZ80-Ag alloy processed by hot ring rolling. Mater. Sci. Eng. A 2016, 674, 491. [Google Scholar]
- Chu, Y.P.; Chen, Z.Y.; Liu, N.; Yang, W.; Wang, J.; Zhang, L. Evolution of non-metallic inclusions during the production of U75V heavy rail steel. China Metall. 2018, 28, 83. [Google Scholar]
- Zhang, L.-F.; Wu, W. Control of the impurity elements in clean steel. Steelmaking 1996, 5, 36. [Google Scholar]
- Liu, L. Key production-technology for high-quality special steel. Iron Steel 2018, 53, 1. [Google Scholar]
















| C | Si | Mn | P | S | Al | V | |
|---|---|---|---|---|---|---|---|
| Upper limit | 0.71 | 0.5 | 0.75 | 0.025 | 0.025 | 0.004 | 0.04 |
| Lower limit | 0.8 | 0.8 | 1.05 | 0 | 0 | 0 | 0.12 |
| Area | CaO | SiO2 | Al2O3 | MgO | MnO | C | Fe |
|---|---|---|---|---|---|---|---|
| 1 | 31.86 | 33.24 | 24.60 | 5.10 | 0.00 | 5.21 | 0.00 |
| 2 | 0.00 | 0.70 | 67.64 | 28.84 | 0.85 | 1.97 | 0.00 |
| 3 | 31.27 | 30.82 | 24.79 | 0.00 | 0.00 | 13.12 | 0.00 |
| 4 | 3.18 | 3.10 | 64.93 | 24.26 | 0.00 | 4.54 | 0.00 |
| Composition | Al2O3 | SiO2 | CaO | MnO | MgO | MnS | TS (°C) | TL (°C) |
|---|---|---|---|---|---|---|---|---|
| Real (%) | 12.92 | 44.69 | 11.97 | 25.95 | 0.61 | 3.86 | -- | -- |
| Normalized (%) | 13.52 | 46.78 | 12.53 | 27.17 | -- | -- | 973 | 1082 |
| Al (wt%) | Mg (wt%) | Ca (wt%) | Ti (wt%) | |
|---|---|---|---|---|
| FeSi | 1.37 | 0.036 | 0.87 | 0.13 |
| FeV | 0.096 | <0.005 | 0.02 | -- |
| BaCaSi | 0.20 | 0.036 | 12.68 | 0.11 |
| MnSi | <0.02 | <0.005 | 0.025 | 0.16 |
| CaC2 | 0.52 | 0.024 | 55.22 | -- |
| Process | CaO | Al2O3 | SiO2 | MgO | MnO | FeO | BaO | CaF2 | R |
|---|---|---|---|---|---|---|---|---|---|
| LF slagging | 34.36 | 3.52 | 22.39 | 4.61 | 0.06 | 0.55 | 4.10 | 27.48 | 1.53 |
| LF ending | 37.03 | 3.56 | 23.56 | 5.19 | 0.08 | 1.24 | 3.56 | 23.36 | 1.57 |
| VD vacuum breaking | 38.72 | 3.99 | 24.56 | 6.49 | 0.11 | 0.28 | 3.38 | 20.02 | 1.58 |
| VD ending | 37.40 | 4.13 | 25.06 | 6.69 | 0.22 | 0.55 | 3.31 | 20.32 | 1.49 |
| Location | Chemical Composition/% | Erosion Situation |
|---|---|---|
| Slag line | MgO > 78%, C > 13% | |
| Ladle lining | Al2O3 > 85%, MgO > 3%, C > 3% | 160 kg |
| The bottom of the bag | Al2O3 > 70%, MgO > 10%, C > 5% |
Disclaimer/Publisher’s Note: The statements, opinions and data contained in all publications are solely those of the individual author(s) and contributor(s) and not of MDPI and/or the editor(s). MDPI and/or the editor(s) disclaim responsibility for any injury to people or property resulting from any ideas, methods, instructions or products referred to in the content. |
© 2024 by the authors. Licensee MDPI, Basel, Switzerland. This article is an open access article distributed under the terms and conditions of the Creative Commons Attribution (CC BY) license (https://creativecommons.org/licenses/by/4.0/).
Share and Cite
Zhu, J.; Ren, L.; Yang, J. Study on the Causes and Control Measures of Mg–Al Spinel Inclusions in U75V Heavy Rail Steel. Appl. Sci. 2024, 14, 1718. https://doi.org/10.3390/app14051718
Zhu J, Ren L, Yang J. Study on the Causes and Control Measures of Mg–Al Spinel Inclusions in U75V Heavy Rail Steel. Applied Sciences. 2024; 14(5):1718. https://doi.org/10.3390/app14051718
Chicago/Turabian StyleZhu, Jun, Lei Ren, and Jichun Yang. 2024. "Study on the Causes and Control Measures of Mg–Al Spinel Inclusions in U75V Heavy Rail Steel" Applied Sciences 14, no. 5: 1718. https://doi.org/10.3390/app14051718
APA StyleZhu, J., Ren, L., & Yang, J. (2024). Study on the Causes and Control Measures of Mg–Al Spinel Inclusions in U75V Heavy Rail Steel. Applied Sciences, 14(5), 1718. https://doi.org/10.3390/app14051718

