Abstract
Interior permanent magnet motors are widely used in applications requiring high power density and high efficiency due to their high torque-generating capabilities. Recently, given the price fluctuations and unstable supply of rare earth permanent magnets, alternative configurations with reduced use of permanent magnets are being sought. Among the various candidates related to this, the consequent-pole type rotor structure can halve the number of permanent magnets used compared with conventional structures. However, in a no-load analysis, the waveform of the back electromotive force becomes asymmetric, generating a harmonic component. As a result, there is a disadvantage that the torque ripple increases. To overcome these shortcomings, we propose a novel rotor structure that applies a consequent-pole structure to an embedded permanent-magnet motor structure, wherein a number of permanent magnets are arranged in a flared structure to constitute a single polarity. In the proposed flared-structured magnet arrangement, it is possible to adjust the angle of the permanent magnet and the polar angle to mitigate the asymmetry of the back-EMF waveform. The proposed structure was optimized with a genetic algorithm and a prototype of the optimal model was constructed and experimentally evaluated to verify its validity. Finally, the performance improvement and validity of the proposed structure were verified by comparing the analysis results of the optimal model with the experimental results.
1. Introduction
Permanent magnet (PM) brushless AC motors are widely used as power sources for vehicles and home appliances. These machines can be categorized as interior PM motors (IPM) and surface-mounted PM motors (SPM), wherein the PMs are attached to the rotor surface. In particular, IPM motors are used in a variety of fields because they can provide a reluctance torque component in addition to the magnet torque component, resulting in an increased torque density when compared with that of SPM motors. This is structurally advantageous for high-speed operation, where it helps in the mitigation of the scattering problems of PMs [1,2]. In particular, IPM motors using rare earth magnets with a high residual magnetic flux density are applied to energy systems that require high power density and efficiency. However, rare earth magnets are expensive, and their supply is unstable owing to the limited production and strict policies. Therefore, studies to find an alternative to the series of rare earth PMs are being conducted. In particular, ferrite magnets have a low residual magnetic flux density compared with the rare earth magnets, and extensive research is underway pertaining to the use of a ferrite magnet as a rare-earth substitute because of their low price and stable supply [3,4,5,6]. Therefore, studies on a model based on a ferrite magnet providing reluctance torque and on a model based on a consequent-pole (CP) structure to reduce the use of magnets are being studied. The CP structure can reduce the use of PMs. Also, it can be used in areas that require a high output, while having a multipole structure. In addition, it is possible to review the additional performance by changing the slot/pole combination.
The vernier permanent magnet (VPM) motor has the advantage of generating a high torque at a low speed [7,8]. However, because VPM motors require relatively large magnet usage, studies to apply the CP structure are underway. In particular, research is being conducted to improve the back electromotive force (back-EMF) and torque while reducing the use of PMs by mixing the toroidal-winding outer rotor and CP structure with the VPM motor structure [9,10,11,12]. Further, to improve the torque characteristics in flux-weakening operations, research is also being conducted to apply the CP motor (CPM) structure to the rotor structure [13,14,15]. There are also studies that have applied the CP PMs and Halbach PM arrays to a linear PM vernier machine [16].
The switched reluctance motor (SRM) has a mechanically robust structure and is low-priced due to the absence of PMs. However, it has the disadvantage of having a relatively low efficiency and high noise and vibration compared with the PM motors. To increase the efficiency of SRMs, research is being conducted to apply the CP structure to the SRM structure, securing a wide speed area and increasing the torque density when a sine wave current is applied and reducing the ripple (DC current application) and magnetic usage [17,18]. In addition, a study is also underway to apply the CP structure to the transverse-flux motor structure. In particular, the CP structure is applied to the flux-reversal PM motor to reduce the PM usage and torque ripple [19]. The CP structure which is widely used in various fields is basically arranged with the same polarity, and the opposite polarity is composed of iron cores. Therefore, it is difficult to design, and further studies are required to improve the asymmetric waveforms of the back-EMF and the structural noise vibrations.
In this study, we propose a novel CP rotor structure of the IPM model used in automotive compressor systems. The proposed CP rotor structure represents a mixture of flared-type rotor and CP rotor assembly structures. The flared-type IPM model adopts a flared structure of C-shape ferrite magnets. In particular, the flared-shape structure can increase the amount of useful magnetic flux. So, the flared-type IPM motor is a form of the concentrated-flux-type IPM motor, thereby improving the power density. Additionally, the flared-shape structure makes it easy to adjust the polar angle forming one pole. Through this, the back-EMF and torque waveform can be improved, which has the advantage of reducing torque ripple. This is advantageous for the noise and vibration [20,21,22].
The proposed flared CPM (FCPM) can halve the number of magnets required by applying the CP structure to the flared IPM rotor structure. Therefore, there is an advantage in reducing the price of the motor. This improves the price competitiveness of the motor and allows it to be free from fluctuations in the price of unstable magnets.
The feasibility of the proposed structure was evaluated using finite element analysis, the proposed FCPM is optimized, and the validity is verified experimentally. In particular, to improve the performance of the structure, the angle, thickness, and pole angle of the CP-type magnet were set as variables and optimized. Through this, the performance of the basic model and the proposed optimized model were compared. In addition, a prototype of the proposed model was constructed and experimentally evaluated. Finally, the performance improvement and validity of the proposed structure were confirmed by comparing the analysis results of the proposed model with the experimental results.
2. Structure of Flared-Shaped IPM and Proposed Flared-Type CP IPM Motor
2.1. Typical Flared IPM Motor with Conventional PM Rotor Structure (Baseline Design)
Recently, ferrite magnets have been used due to their low cost and stable supply So, a number of studies have shown that a structure of ferrite magnets inserted into the rotor can be modified for high efficiency and power. Based on this background, a structure of flared-shaped IPM motor using a flared-shape arrangement of ferrite magnets has been proposed and compared to a conventional ferrite IPM motor, and it has been confirmed that the flared-shape arrangement of ferrite magnets is helpful to maximize the use of the magnetic flux.
A flared rotor structure allows more ferrite magnets to be inserted within the limited rotor structure. The main feature is that the permanent magnets are arranged in a flared form inside the rotor in order to fit as many magnets as possible into a limited structure. So, the pole of a flared rotor structure comprises several ferrite PMs. Additionally, the flared rotor structure has the characteristic that the magnetic flux lines from several magnets converge at the center of the pole. This advantage has the effect of concentrating magnetic flux like a spoke rotor structure. Therefore, the flared IPM motor is suitable for applications requiring low cost and high output, particularly as the cost of magnet materials can be greatly reduced compared to the NdFeB IPM motor in our previous work [20]. The flared rotor structure arranges several magnets in a flared shape, so it is easy to adjust the angle of the magnetic pole. Therefore, if the flared structure is adjusted, the angle of the magnetic pole may change, causing a change in the waveform. By optimizing the flared structure through GA, the shape of the rotor and ferrite magnets is optimized. Therefore, the optimal design model can effectively utilize magnetic flux and reduce the torque ripple of the proposed flared motor. As a result, the improvement of torque ripple was effective in the suppression of noise and vibration. To verify the analysis results, the optimal model is manufactured and verified by experimental results in our previous work [21,22]. Figure 1 shows the structure of the IPM model with a flared pole structure. Also, in Figure 1, A, B, and C indicate phases, and (+) and (−) indicate input and output of phases. Additionally, the N-pole consists of 4 red magnets, and the S-pole consists of 4 blue magnets. The yellow arrow indicates the direction of the magnetic field lines generated from one magnet.
Figure 1.
Typical structure of flared-shaped IPM motor (1/4 model).
Table 1 shows the materials and specifications of a typical flared-shaped IPM model.
Table 1.
Specifications of the standard flared-shaped IPM model.
2.2. Proposed Flared-Type CP IPM Motor
Figure 2 shows the basic model of the proposed FCPM in this study, in which the magnets that constitute the S pole are removed from the typical flared IPM motor, as shown in Figure 1. An electric steel plate is placed at the position of the removed S pole. As shown in Figure 2, magnet usage can be reduced by half compared to the typical flared-shaped IPM motor.
Figure 2.
Proposed flared-type CP IPM motor (1/4 model).
In a flared IPM motor with conventional flared-shaped PM rotor structure (Figure 1), the magnetizing directions of the magnets are alternately arranged such that the N and S poles are alternately present. However, the consequent-pole-type rotor structure removes the permanent magnets constituting the S pole and makes the N and S poles alternately formed in the rotor by using the magnetic flux lines of the permanent magnets forming the N pole. Therefore, there is an advantage of reducing the usage of permanent magnets by half. However, the CP-type rotor structure has the disadvantage of increasing the torque ripple because of the asymmetry of the back-EMF.
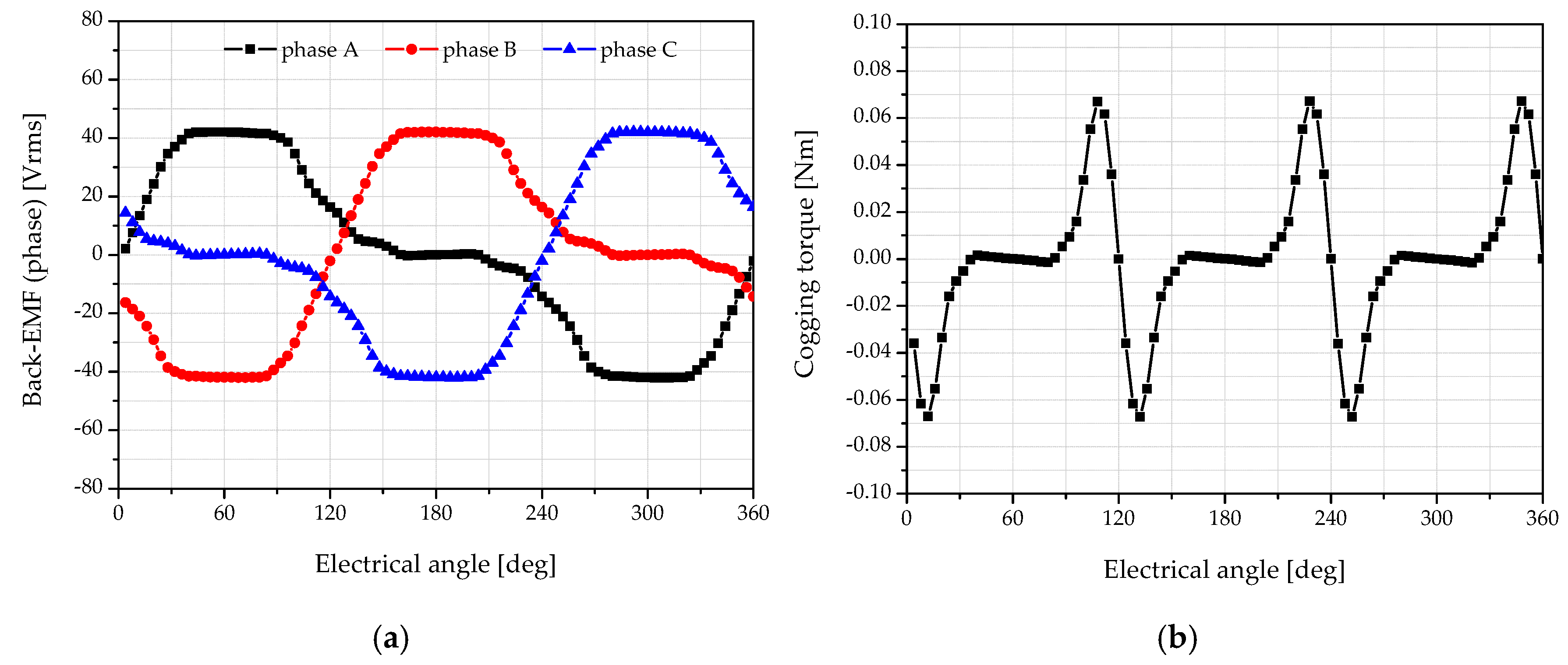
Figure 3 shows the two-dimensional (2D) finite element method (FEM) analysis results of the basic proposed FCPM model under the no-load condition, and Table 2 shows the comparison results of the no-load analysis of the standard flared-type IPM model with that of the basic FCPM model. (In Table 2, ▲ indicates an increase in value, and ▼ indicates a decrease in value.)
Figure 3.
Analysis results of no-load conditions (7500 [rpm]): (a) back-EMF, (b) cogging torque.
Table 2.
Analysis results at no-load.
The basic FCPM model has the advantage of halving the number of magnets used, compared with the standard flared-shaped IPM model. However, as shown in Figure 3, the back-EMF waveform is asymmetrical, and this significantly increases the total harmonic distortion (THD) of the back-EMF to 29.5%. THD represents the ratio of total harmonic components to the fundamental component. If the THD is large, it affects the back-EMF and torque waveform, causing the distortion of the waveform. This causes the motor performance to deteriorate [23].
In addition, a 37.7% reduction can be observed in the back-EMF. Therefore, owing to a decrease in the back-EMF, an increase in the current and a decrease in the efficiency at the rated load are expected. However, due to the decrease in the amount of PMs, the cogging torque ripple decreases by 36.2% and the torque ripple is also expected to decrease at the rated load.
The flared-structured rotor comprises one polarity with four magnets, so it conveniently enables control over the polar angle that conveys a single polarity. Therefore, by optimizing the polar angle to form one polarity and the angle of individual PMs, the waveform of the back-EMF can be made symmetrical. Accordingly, it is possible to minimize the THD and performance reduction. Therefore, in this study, we propose the shape of the basic FCPM model and optimize it. The purpose of this study is to improve the performance while taking advantage of the CP model, thereby reducing the use of PMs. As design variables, the polar angle formed by the PM and the angles of the individual PMs were set as variables to proceed with the design optimization. Through this, an optimal model with a high torque performance and low torque ripple was designed to reduce the use of PMs.
3. Optimal Design of the FCPM Model
Figure 4 shows the optimization process. For optimization, first, the design of the experiment (DOE) should be considered. The DOE is essentially conducted using the Latin hypercube sampling (LHS) technique that has no overlap between the design variables and is easy to implement. There is a disadvantage that it takes a long time to conduct experiments or simulations, but the LHS technique can efficiently analyze the variable space in minimal time [24].
Figure 4.
Optimal design process.
A meta-modeling technique is used to obtain an approximate model that can replace the actual model. It also has the advantage of being easy to approximate and implement a complex design space using average values and deviations [25]. Among various meta-modeling techniques, this study used the kriging modeling technique. A kriging modeling technique with multiple design variables and a strong nonlinearity is used to set the objective function. Also, the kriging modeling technique can accurately interpolate sample data and it is also possible to model multiple local poles [26,27].
Also, a genetic algorithm (GA) was used as the optimization algorithm. The GA efficiently converges to the optimal design value while searching the entire range of the optimization design variables and has a low error rate and high reliability [28]. GAs first distribute a plurality of design points in the initial design phase and thereafter consider the degree of violation of the objective function value and constraints. This makes it suitable for each design point. GA can search for a better design point because the higher the suitability of the individual point, the higher the probability of participating in the mating and variant processes. Through this repetitive process, the GA converges to a better design point [29].
The characteristic analysis for each sample case is performed through 2D FEM, and the electromagnetic field analysis was performed using JMAG Designer v17.1.
3.1. Design Variables, Objective Functions and Constraints (Step I)
First, to improve the performance of the basic FCPM model, design variables that can change the asymmetric waveform of the back-EMF into a symmetric structure are selected in the optimal design. There are various variables, but ultimately, the angle and polar angle of the PM were set as variables. In addition, to take advantage of the CP-type structure, the volume of one CP-type PM was fixed. As the thickness of the PM decreases, it becomes difficult to manufacture the permanent magnet. So, the thickness of the PM is fixed at 3 mm. Figure 5 shows the design parameters for optimization. As shown in Figure 5, the design variable x1 refers to the magnet angle (①), x2 refers to the polar angle (②), and Table 3 shows the range of design parameters.
Figure 5.
Design variables of basic FCPM model.
Table 3.
Ranges of the design variables for LHS.
Table 4 lists the dimensional constraints for determining the magnet angle (x1). As shown in Table 4, R1 represents the inner radius of each magnet, and R2 represents the outer radius. Although the inner and outer radius were changed, the weight of each magnet was the same, and the thickness was limited to 3 mm.
Table 4.
Inner and outer radius for x1 setup.
For optimization, the objective function is determined as the maximum of the back-EMF, as well as the minimum THD of the back-EMF and cogging torque. In addition, the magnitude (RMS value), THD of the back-EMF, and cogging torque were set as performance constraints. The objective function and constraints are as follows:
- (1)
- Objective function:Maximize:
- -
- y1 (magnitude of back-EMF)
Minimize:- -
- y2 (total harmonic distortion (THD)), y3 (peak to peak value of cogging torque)
- (2)
- Constraints:
- -
- back-EMF (Vrms) > 29 Vrms, THD of back-EMF < 10 %, cogging torque < 0.13 Nm
3.2. LHS (Step II)
To design the optimal shape of the rotor structure, the design variables were selected, and the sampling range of the selected design variables was determined using the experimental design method [24]. In the optimal design process, the LHS technique was used to determine the experimental points. In the LHS technique, the experimental points are represented as a matrix of n rows and k columns, and each row is arranged as an experimental point, where n is the number of levels and k is the number of design variables. The characteristic of the LHS technique is that it is easy to implement without causing any overlap between the experimental points depending on the design level at the time of model construction. Two-dimensional FEM is used to calculate the characteristics of the model based on the design variables for each experimental point. Table 5 shows the analysis results corresponding to each DOE case.
Table 5.
Analysis results for DOE cases.
The analysis result values shown in Table 5 represent the cogging torque, back-EMF, and THD according to the DOE model. The kriging model was used to obtain a more accurate approximation model based on the nonlinear analysis results. The GA is applied to find the optimal solution. Optimal design and optimal point convergence using GA are covered in the next section.
3.3. Optimal Design of Basic FCPM Model Using GA (Step III)
GA was used to determine the optimal design point that satisfies the objective function and constraints [28,29]. Figure 6 shows the convergence process for the design variables. It can be seen that the magnet angle x1 and the polar angle x2 converge to 58.3 degrees and 39.4 degrees, respectively.
Figure 6.
Convergence results of the design variables: (a) magnet angle, (b) polar angle.
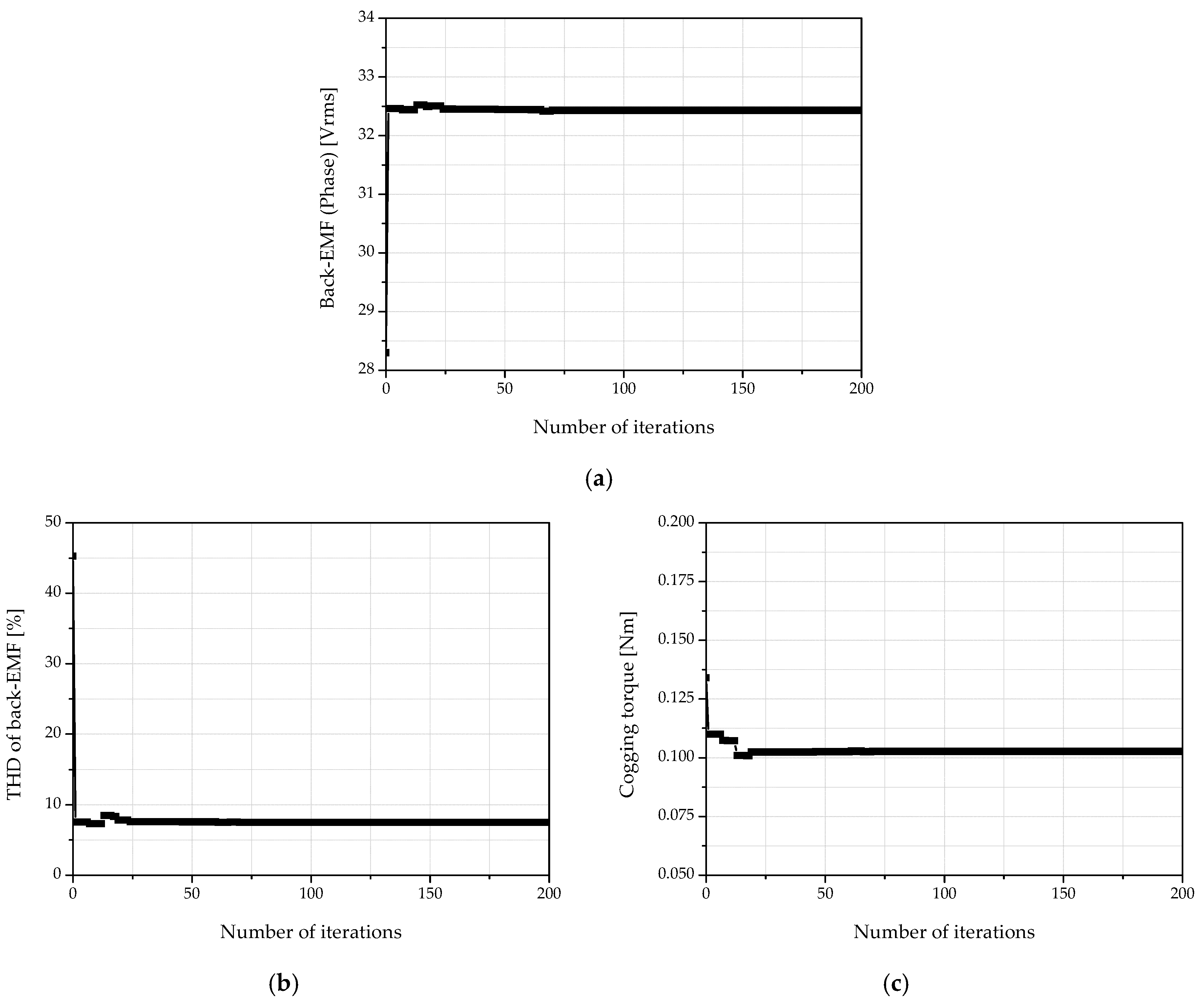
Figure 7 shows the convergence process for the objective functions, and each objective function converges to the optimal point. The number of convergences was set to a total of 200 in consideration of the time to converge to the optimal point.
Figure 7.
Convergence results of the objective function: (a) y1 (magnitude of back-EMF), (b) y2 (total harmonic distortion (THD)), (c) y3 (peak to peak value of cogging torque).
Figure 8 shows the change in the shape of the core through optimization and the optimal points of the design variables calculated through the optimization process are shown in Table 6. As a result, the magnetic angle of the individual magnets is reduced, and the pole angles are widened (Figure 8a). Therefore, as shown in the Figure 8b, the basic model partially has a very high magnetic flux density distribution, but it can be confirmed that the optimal model has a wide distribution of magnetic flux density (on the left is a basic FCPM model and on the right is an optimal FCPM model). Through this, it can be confirmed that the asymmetric back-EMF waveform has been changed to a symmetric structure.
Figure 8.
Comparison of rotor assembly shape and flux density under no-load condition: (a) the rotor assembly shape of basic FCPM model and optimal FCPM model (1/4 model), (b) flux density under no-load condition.
Table 6.
Optimal points of the design variable.
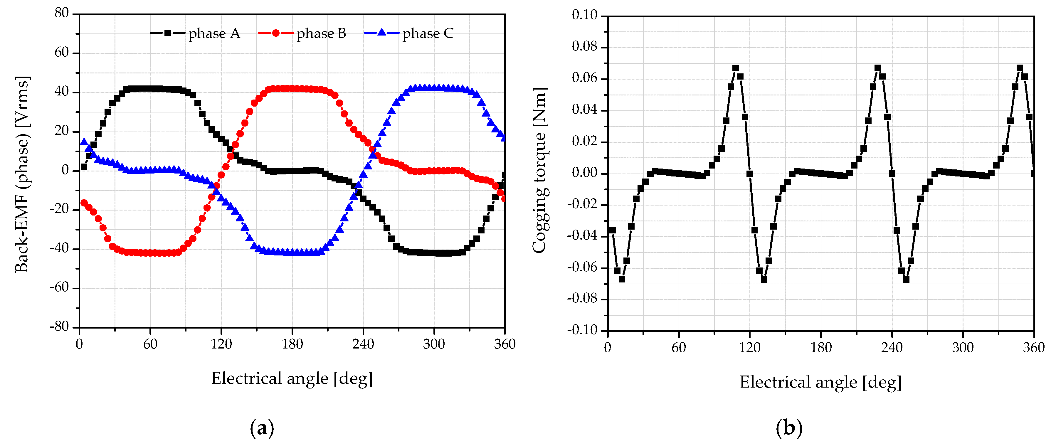
Figure 9 shows a comparison of the analysis under no-load conditions between the basic and optimal FCPM models. As shown in Figure 9, through optimization, the back-EMF waveform of the optimized model was improved, and through the analysis of the harmonic order, it can be confirmed that the THD also improved. The cogging torque due to the combination of the pole slots must generate a total of six ripples when rotating one round electrically. However, the basic model did not show periodicity owing to the influence of the asymmetric back-EMF. In the case of the optimal model, the periodicity of the cogging torque appears, and it can be seen that the magnitude of the ripple is also reduced.
Figure 9.
No-load analysis results after optimization: (a) back-EMF, (b) total harmonic order, (c) cogging torque.
Table 7 shows a comparison of the optimization results under the no-load condition. Through optimization, it can be seen that the back-EMF is increased by 14.5%, and the THD of back-EMF and cogging torque are reduced by 38.3% and 25.4%, respectively.
Table 7.
Analysis results at the no-load condition.
Figure 10 shows the torque waveform and flux density between the basic and optimal FCPM models at the rated load. As shown in Figure 10a, it can be seen that the torque ripple of the optimal FCPM model is greatly improved through optimization. Additionally, as shown in Figure 10b,c, it can be seen that the magnetic flux density in the rotor core is lowered. Through this, it can be estimated that the iron loss of the optimal FCPM model is reduced. The analysis results of the optimal model using a 2D FEM are shown in Table 8 to compare with the characteristics of the basic FCPM model. Through optimization, it can be seen that the torque ripple is reduced by 73.8%, and the efficiency is increased by 2.4%.
Figure 10.
Rated load analysis result after optimization: (a) rated torque waveforms, (b) flux density of basic FCPM model, (c) flux density of optimal FCPM model.
Table 8.
Analysis results at the rated load condition.
4. Verification through Prototyping and Experimentation
4.1. Prototype of Optimal FCPM Model
To verify the performance improvement of the optimal FCPM model, a prototype was produced, and an experiment was conducted. Figure 11 shows the prototype of the proposed, optimal FCPM model. Figure 11a shows the stator assembly and Figure 11b shows the rotor assembly. Also Figure 11c shows the PM arrangement inside the rotor assembly. As shown in Figure 11c, the polarity inside the rotor is composed of a CP-type (four N poles). Figure 12 shows the experimental setup.
Figure 11.
Prototype of the optimal FCPM model: (a) stator assembly, (b) rotor assembly, (c) the PM arrangement inside the rotor assembly.
Figure 12.
Experiment setup (test bench).
Figure 13 shows a rotor assembly of the prototype. As shown in Figure 13, a guide made of a non-magnetic material is inserted inside. This prevents the magnetic flux of the permanent magnet from circulating inside the rotor. The end plate is assembled on the upper and lower parts of the rotor and combines the structure of the rotor. It prevents the permanent magnet from scattering at high speed. Figure 14 shows the surface gauss value of the optimal FCPM rotor assembly. It can be seen that eight poles are formed inside the rotor.
Figure 13.
Rotor assembly of the prototype.
Figure 14.
Surface gauss value of the optimal FCPM rotor assembly.
4.2. Experimental Results of Optimal FCPM Model
A load test was conducted for the prototype at the rated load. Figure 15 shows the comparison of the back-EMF waveform with analysis result and experimental result of the prototype. As shown in Figure 15, a waveform similar to the analysis result was generated.
Figure 15.
Comparison of back-EMF waveform for optimal model (at 900 rpm).
Figure 16 shows the torque waveform at the rated load and Table 9 shows a comparison of the analysis result and experimental results for the FCPM prototype model.
Figure 16.
Experimental results of the prototype at the rated load.
Table 9.
Analysis results at the rated load condition.
As shown in Table 9, the experimental results of the optimal FCPM model are similar to the analysis results. This confirms the performance improvement of the proposed model. In particular, the use of PMs was halved, compared with the basic FCPM model, the efficiency of the optimal FCPM prototype was improved by 2.9% and the torque ripple was significantly reduced by 74.9%.
5. Conclusions
In this study, a novel consequent-pole rotor structure is proposed that applies the flared CP structure to the IPM model structure. In the flared IPM motor structure, a number of PMs are arranged inside the rotor in a flared structure to comprise a single polarity. This is advantageous for concentrating the magnetic flux and controlling the angle of the magnetic pole. In general, the CPM structure has the advantage of reducing the amount of magnet used. However, due to the asymmetry of back-EMF, various problems can occur. Therefore, a novel flared CP structure is proposed by utilizing the characteristics of the flared-structured rotor and the magnitude reduction and asymmetry limitations of the back-EMF are improved through optimization using GA. In particular, compared with the electro-magnetic analysis result of the basic FCPM model, the electro-magnetic analysis result of the optimal FCPM model has increased the magnitude of the back-EMF by 14.5% and the asymmetric back-EMF waveform of the optimal FCPM model is improved symmetrically. Therefore, the THD of the back-EMF is also reduced by 38.3%. In addition, at a rated load, the torque ripple is also reduced by 73.8% and the efficiency improved by 2.7%. Through this, the FCPM structure is proposed, and the performance is improved through optimization. In particular, it was confirmed that the THD and torque ripple reduction were improved.
To confirm the validity of the optimization result, a prototype of the optimal FCPM model was constructed and evaluated experimentally. As a result of comparing the analysis results of the optimal model with the experimental results, the efficiency of the optimal FCPM prototype was improved by 2.9% and the torque ripple was significantly reduced by 74.9%. Finally, it was possible to improve the performance of the proposed FCPM model and verify the validity of the optimization results. In the future, we will conduct an actual SET performance test using the prototype produced in this paper.
Author Contributions
Conceptualization, K.-y.Y. and Y.-m.Y.; methodology, K.-y.Y. and Y.-m.Y.; software, K.-y.Y.; validation, K.-y.Y. and Y.-m.Y.; writing—original draft preparation, K.-y.Y.; writing—review and editing, K.-y.Y. and Y.-m.Y.; and funding acquisition, K.-y.Y. All authors have read and agreed to the published version of the manuscript.
Funding
This study was supported by a 2023 research fund from the Honam University. This research was also supported by the “Regional Innovation Strategy (RIS)” through the National Research Foundation of Korea (NRF) funded by the Ministry of Education (MOE) (2021RIS-002).
Institutional Review Board Statement
Not applicable.
Informed Consent Statement
Not applicable.
Data Availability Statement
The original contributions presented in the study are included in the article.
Conflicts of Interest
The authors declare no conflicts of interest.
References
- Fang, L.; Jung, J.-W.; Hong, J.-P.; Lee, J.-H. Study on High-Efficiency Performance in Interior Permanent-Magnet Synchronous Motor with Double-Layer PM Design. IEEE Trans. Magn. 2008, 44, 4393–4396. [Google Scholar] [CrossRef]
- Dutta, R.; Rahman, M.F. Design and Analysis of an Interior Permanent Magnet (IPM) Machine with Very Wide Constant Power Operation Range. IEEE Trans. Energy Convers. 2008, 23, 25–33. [Google Scholar] [CrossRef]
- Woo, J.-H.; Bang, T.-K.; Lee, H.-K.; Kim, K.-H.; Shin, S.-H.; Choi, J.-Y. Electromagnetic Characteristic Analysis of High-Speed Motors with Rare-Earth and Ferrite Permanent Magnets Considering Current Harmonics. IEEE Trans. Magn. 2021, 57, 8201805. [Google Scholar] [CrossRef]
- Chen, Y.; Cai, T.; Zhu, X.; Fan, D.; Wang, Q. Analysis and Design of a New Type of Less-Rare-Earth Hybrid-Magnet Motor with Different Rotor Topologies. IEEE Trans. Appl. Supercond. 2020, 30, 5200406. [Google Scholar] [CrossRef]
- Baka, S.; Sashidhar, S.; Fernandes, B.G. Design of an Energy Efficient Line-Start Two-Pole Ferrite Assisted Synchronous Reluctance Motor for Water Pumps. IEEE Trans. Energy Convers. 2021, 36, 961–970. [Google Scholar] [CrossRef]
- Jung, Y.-H.; Park, M.-R.; Kim, K.-O.; Chin, J.-W.; Hong, J.-P.; Lim, M.-S. Design of High-Speed Multilayer IPMSM Using Ferrite PM for EV Traction Considering Mechanical and Electrical Characteristics. IEEE Trans. Ind. Appl. 2021, 57, 327–339. [Google Scholar] [CrossRef]
- Toba, A.; Lipo, T.A. Generic torque-maximizing design methodology of surface permanent-magnet vernier machine. IEEE Trans. Ind. Appl. 2000, 36, 1539–1546. [Google Scholar] [CrossRef]
- Chung, S.-U.; Kim, J.-W.; Woo, B.-C.; Hong, D.-K.; Lee, J.-Y.; Koo, D.-H. A Novel Design of Modular Three-Phase Permanent Magnet Vernier Machine with Consequent Pole Rotor. IEEE Trans. Magn. 2011, 47, 4215–4218. [Google Scholar] [CrossRef]
- Niu, S.; Ho, S.L.; Fu, W.N.; Wang, L.L. Quantitative Comparison of Novel Vernier Permanent Magnet Machines. IEEE Trans. Magn. 2010, 46, 2032–2035. [Google Scholar] [CrossRef]
- Yang, J.; Liu, G.; Zhao, W.; Chen, Q.; Jiang, Y.; Sun, L.; Zhu, X. Quantitative Comparison for Fractional-Slot Concentrated-Winding Configurations of Permanent-Magnet Vernier Machines. IEEE Trans. Magn. 2013, 49, 3826–3829. [Google Scholar] [CrossRef]
- Li, D.; Qu, R.; Lipo, T.A. High-Power-Factor Vernier Permanent-Magnet Machines. IEEE Trans. Ind. Appl. 2014, 50, 3664–3674. [Google Scholar] [CrossRef]
- Li, D.; Qu, R.; Li, J.; Xu, W. Consequent-Pole Toroidal-Winding Outer-Rotor Vernier Permanent-Magnet Machines. IEEE Trans. Ind. Appl. 2015, 51, 4470–4481. [Google Scholar] [CrossRef]
- Wang, H.; Fang, S.; Yang, H.; Lin, H.; Wang, D.; Li, Y.; Jiu, C. A Novel Consequent-Pole Hybrid Excited Vernier Machine. IEEE Trans. Magn. 2017, 53, 8112304. [Google Scholar] [CrossRef]
- Amara, Y.; Vido, L.; Gabsi, M.; Hoang, E.; Ahmed AH, B.; Lecrivain, M. Hybrid excitation synchronous machines: Energy-efficient solution for vehicles propulsion. IEEE Trans. Veh. Technol. 2008, 58, 2137–2149. [Google Scholar] [CrossRef]
- Hua, H.; Zhu, Z.Q. Novel Parallel Hybrid Excited Machines with Separate Stators. IEEE Trans. Energy Convers. 2016, 31, 1212–1220. [Google Scholar] [CrossRef]
- Shi, C.; Li, D.; Qu, R.; Zhang, H.; Gao, Y.; Huo, Y. A Novel Linear Permanent Magnet Vernier Machine with Consequent-Pole Permanent Magnets and Halbach Permanent Magnet Arrays. IEEE Trans. Magn. 2017, 53, 2501404. [Google Scholar] [CrossRef]
- Jia, S.; Qu, R.; Li, J.; Li, D.; Kong, W. A Stator-PM Consequent-Pole Vernier Machine with Hybrid Excitation and DC-Biased Sinusoidal Current. IEEE Trans. Magn. 2017, 53, 8105404. [Google Scholar] [CrossRef]
- Gao, Y.; Qu, R.; Li, D.; Li, J.; Zhou, G. Consequent-Pole Flux-Reversal Permanent-Magnet Machine for Electric Vehicle Propulsion. IEEE Trans. Appl. Supercond. 2016, 26, 5200105. [Google Scholar] [CrossRef]
- Zhao, X.; Niu, S. Design of a Novel Consequent-Pole Transverse-Flux Machine with Improved Permanent Magnet Utilization. IEEE Trans. Magn. 2017, 53, 8110405. [Google Scholar] [CrossRef]
- Yoon, K.Y.; Lee, J.H.; Kwon, B.I. Characteristics of new interior permanent magnet motor using flared-shape arrangement of ferrite magnets. Int. J. Appl. Electromagn. Mech. 2016, 52, 591–597. [Google Scholar] [CrossRef]
- Yoon, K.-Y.; Kwon, B.-I. Optimal Design of a New Interior Permanent Magnet Motor Using a Flared-Shape Arrangement of Ferrite Magnets. IEEE Trans. Magn. 2016, 52, 8106504. [Google Scholar] [CrossRef]
- Yoon, K.Y.; Baek, S.W. Performance Improvement of Concentrated-flux Type IPM Motors with Flared-shape Magnet Arrangement. Appl. Sci. 2020, 10, 6061. [Google Scholar] [CrossRef]
- Hou, C.; Zhu, M.; Li, Z.; Li, Y.; Cai, X. Inter Harmonic THD Amplification of Voltage Source Converter: Concept and Case Study. IEEE Trans. Power Electron. 2022, 35, 12651–12656. [Google Scholar] [CrossRef]
- Davey, K.R. Latin Hypercube Sampling and Pattern Search in Magnetic Field Optimization Problems. IEEE Trans. Magn. 2008, 44, 974–977. [Google Scholar] [CrossRef]
- Wang, G.G.; Shan, S. Review of Metamodeling Techniques in Support of Engineering Design Optimization. J. Mech. Des. 2007, 129, 370–380. [Google Scholar] [CrossRef]
- Lebensztajn, L.; RondiniMarretto, C.; CaldoraCosta, M.; Coulomb, J.-L. Kriging: A Useful Tool for Electromagnetic Device Optimization. IEEE Trans. Magn. 2004, 40, 1196–1199. [Google Scholar] [CrossRef]
- Bilicz, S.; Vazquez, E.; Gyimothy, S.; Pavo, J.; Lambert, M. Kriging for Eddy-Current Testing Problems. IEEE Trans. Magn. 2010, 46, 3165–3168. [Google Scholar] [CrossRef]
- Chapman, C.D.; Saitou, K.; Jakiela, M.J. Genetic Algorithms as an Approach to Configuration and Topology Design. J. Mech. Des. 1994, 116, 1005–1012. [Google Scholar] [CrossRef]
- Han, K.-J.; Cho, H.-S.; Cho, D.-H.; Jung, H.-K. Optimal core shape design for cogging torque reduction of brushless DC motor using genetic algorithm. IEEE Trans. Magn. 2000, 36, 1927–1931. [Google Scholar] [CrossRef]
Disclaimer/Publisher’s Note: The statements, opinions and data contained in all publications are solely those of the individual author(s) and contributor(s) and not of MDPI and/or the editor(s). MDPI and/or the editor(s) disclaim responsibility for any injury to people or property resulting from any ideas, methods, instructions or products referred to in the content. |
© 2024 by the authors. Licensee MDPI, Basel, Switzerland. This article is an open access article distributed under the terms and conditions of the Creative Commons Attribution (CC BY) license (https://creativecommons.org/licenses/by/4.0/).















