Direct Numerical Simulation of Turbulent Boundary Layer over Cubical Roughness Elements
Abstract
1. Introduction
2. Numerical Details
3. Results and Discussion
3.1. Roughness Step Change
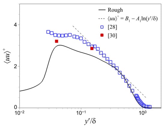
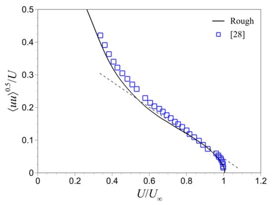
3.2. Data Validation
3.3. Turbulence Statistics
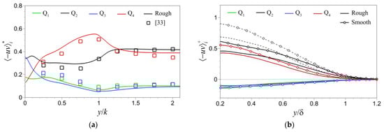
3.4. Quadrant Analysis of Reynolds Shear Stress
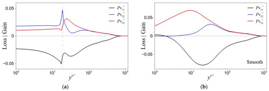
3.5. Turbulent Kinetic Energy Budgets
4. Summary and Conclusions
Funding
Institutional Review Board Statement
Informed Consent Statement
Data Availability Statement
Conflicts of Interest
Nomenclature
| A1 | slop constant 1.26 |
| AFi | area fraction of each quadrant event |
| B | constant 5.1 |
| B1 | constant |
| Ds | viscous dissipation of turbulent kinetic energy budgets |
| Dsij | viscous dissipation of Reynolds stress budgets |
| fi | momentum forcing |
| k | height of roughness elements |
| ks | sand-grain roughness height |
| kz | spanwise wavenumber |
| kzϕuu | pre-multiplied spanwise energy spectrum of streamwise velocity fluctuations |
| k′ | height of roughness elements except virtual origin |
| Li | domain size in each direction |
| lx, lz | streamwise and spanwise sizes of roughness elements |
| M | moment |
| Ni | number of grids in each direction |
| Pi | four locations (P0, P1, P2, and P3) |
| Pd | production of turbulent kinetic energy budgets |
| Pdij | production of Reynolds stress budgets |
| Pv | pressure transport of turbulent kinetic energy budgets |
| Pvii,j | conditionally averaged pressure transport of Reynolds stress budgets |
| Pvij | pressure transport of Reynolds stress budgets |
| pressure | |
| px, pz | streamwise and spanwise spacing of roughness elements |
| Qi | quadrant events of Reynolds shear stress |
| Re0 | Reynolds number |
| Reθ | momentum thickness Reynolds number |
| Reτ | friction Reynolds number |
| Td | turbulent transport of turbulent kinetic energy budgets |
| Tdij | turbulent transport of Reynolds stress budgets |
| U | streamwise mean velocity |
| Ui | conditionally averaged streamwise velocities |
| U∞ | free-stream velocity |
| u, v, w | streamwise, wall-normal, and spanwise velocity fluctuations |
| ũi | raw velocities |
| uτ | friction velocity |
| u1, u2, u3 | streamwise, wall-normal, and spanwise velocity fluctuations |
| Vd | viscous diffusion of turbulent kinetic energy budgets |
| Vdij | viscous diffusion of Reynolds stress budgets |
| x, y, z | streamwise, wall-normal, and spanwise directions |
| xi | Cartesian coordinates |
| y0 | roughness length |
| y′ | wall-normal direction over virtual origin |
| α | constant 3.05 |
| ΔU+ | roughness function |
| Δx, Δz | grid resolutions in streamwise and spanwise directions |
| Δymin | 1st grid resolution in wall-normal direction |
| Δy100 | 100th grid resolution in wall-normal direction |
| δ | boundary layer thickness |
| δ0 | inlet boundary layer thickness |
| δ* | displacement thickness |
| ε | virtual origin |
| η | Kolmogorov length |
| θ | momentum thickness |
| κ | von Kármán constant of 0.41 |
| λci | swirling strength |
| λP | plane density |
| λz | spanwise wavelength |
| ν | kinematic viscosity |
| 0.5Cf | frictional drag |
| 0.5Cp | form drag |
| Reynolds stress components | |
| Reynolds shear stress | |
| fractional contribution of each quadrant |
References
- Molina, M.J.; Molina, L.T. Megacities and atmospheric pollution. J. Air Waste Manag. Assoc. 2004, 54, 644–680. [Google Scholar] [CrossRef]
- Barlow, J.F. Progress in observing and modelling the urban boundary layer. Urban Clim. 2014, 10, 216–240. [Google Scholar] [CrossRef]
- Robinson, S.K. Coherent motions in the turbulent boundary layer. Annu. Rev. Fluid Mech. 1991, 23, 601–639. [Google Scholar] [CrossRef]
- Blocken, B.; Carmeliet, J. Pedestrian wind environment around buildings: Literature review and practical examples. J. Therm. Envel. Build. Sci. 2004, 28, 107–159. [Google Scholar] [CrossRef]
- Raupach, M.R.; Antonia, R.A.; Rajagopalan, S. Rough-wall turbulent boundary layers. Appl. Mech. Rev. 1991, 44, 1–25. [Google Scholar] [CrossRef]
- Jiménez, J. Turbulent flows over rough walls. Annu. Rev. Fluid Mech. 2004, 36, 173–196. [Google Scholar] [CrossRef]
- Leonardi, S.; Orlandi, P.; Smalley, R.J.; Djenidi, L.; Antonia, R.A. Direct numerical simulations of turbulent channel flow with transverse square bars on one wall. J. Fluid Mech. 2003, 491, 229–238. [Google Scholar] [CrossRef]
- Lee, S.H.; Sung, H.J. Direct numerical simulation of the turbulent boundary layer over a rod-roughened wall. J. Fluid Mech. 2007, 584, 125–146. [Google Scholar] [CrossRef]
- Macdonald, R.W. Modelling the mean velocity profile in the urban canopy layer. Bound.-Layer Meteorol. 2000, 97, 25–45. [Google Scholar] [CrossRef]
- Leonardi, S.; Castro, I.P. Channel flow over large cube roughness: A direct numerical simulation study. J. Fluid Mech. 2010, 651, 519–539. [Google Scholar] [CrossRef]
- Sosnowski, M.; Gnatowska, R.; Grabowska, K.; Krzywański, J.; Jamrozik, A. Numerical analysis of flow in building arrangement: Computational domain discretization. Appl. Sci. 2019, 9, 941. [Google Scholar] [CrossRef]
- Choi, Y.K.; Hwang, H.G.; Lee, Y.M.; Lee, J.H. Effects of the roughness height in turbulent boundary layers over rod-and cuboid-roughened walls. Int. J. Heat Fluid Flow 2020, 85, 108644. [Google Scholar] [CrossRef]
- Hemida, H.; Šarkić Glumac, A.; Vita, G.; Kostadinović Vranešević, K.; Höffer, R. On the flow over high-rise building for wind energy harvesting: An experimental investigation of wind speed and surface pressure. Appl. Sci. 2020, 10, 5283. [Google Scholar] [CrossRef]
- Chatzikyriakou, D.; Buongiorno, J.; Caviezel, D.; Lakehal, D. DNS and LES of turbulent flow in a closed channel featuring a pattern of hemispherical roughness elements. Int. J. Heat Fluid Flow 2015, 53, 29–43. [Google Scholar] [CrossRef]
- Wu, S.; Christensen, K.T.; Pantano, C. Modelling smooth-and transitionally rough-wall turbulent channel flow by leveraging inner–outer interactions and principal component analysis. J. Fluid Mech. 2019, 863, 407–453. [Google Scholar] [CrossRef]
- Placidi, M.; Ganapathisubramani, B. Effects of frontal and plan solidities on aerodynamic parameters and the roughness sublayer in turbulent boundary layers. J. Fluid Mech. 2015, 782, 541–566. [Google Scholar] [CrossRef]
- Placidi, M.; Ganapathisubramani, B. Turbulent flow over large roughness elements: Effect of frontal and plan solidity on turbulence statistics and structure. Bound.-Layer Meteorol. 2018, 167, 99–121. [Google Scholar] [CrossRef] [PubMed]
- Forooghi, P.; Stroh, A.; Schlatter, P.; Frohnapfel, B. Direct numerical simulation of flow over dissimilar, randomly distributed roughness elements: A systematic study on the effect of surface morphology on turbulence. Phys. Rev. Fluids 2018, 3, 044605. [Google Scholar] [CrossRef]
- Yuan, J.; Jouybari, M.A. Topographical effects of roughness on turbulence statistics in roughness sublayer. Phys. Rev. Fluids 2018, 3, 114603. [Google Scholar] [CrossRef]
- Kanda, M.; Inagaki, A.; Miyamoto, T.; Gryschka, M.; Raasch, S. A new aerodynamic parametrization for real urban surfaces. Bound.-Layer Meteorol. 2013, 148, 357–377. [Google Scholar] [CrossRef]
- Yang, M.; Oh, G.; Xu, T.; Kim, J.; Kang, J.H.; Choi, J.I. Multi-GPU-based real-time large-eddy simulations for urban microclimate. Build. Environ. 2023, 245, 110856. [Google Scholar] [CrossRef]
- Nikuradse, J. Strömungsgesetze in Rauhen Rohren; VDI: Berlin, Germany, 1933. [Google Scholar]
- Perry, A.E.; Schofield, W.H.; Joubert, P.N. Rough wall turbulent boundary layers. J. Fluid Mech. 1969, 37, 383–413. [Google Scholar] [CrossRef]
- Grimmond, C.S.B.; Oke, T.R. An evapotranspiration-interception model for urban areas. Water Resour. Res. 1991, 27, 1739–1755. [Google Scholar] [CrossRef]
- Castro, I.P.; Cheng, H.; Reynolds, R. Turbulence over urban-type roughness: Deductions from wind-tunnel measurements. Bound.-Layer Meteorol. 2006, 118, 109–131. [Google Scholar] [CrossRef]
- Reynolds, R.T.; Castro, I.P. Measurements in an urban-type boundary layer. Exp. Fluids 2008, 45, 141–156. [Google Scholar] [CrossRef]
- Reynolds, R.T.; Hayden, P.; Castro, I.P.; Robins, A.G. Spanwise variations in nominally two-dimensional rough-wall boundary layers. Exp. Fluids 2007, 42, 311–320. [Google Scholar] [CrossRef]
- Perret, L.; Basley, J.; Mathis, R.; Piquet, T. The atmospheric boundary layer over urban-like terrain: Influence of the plan density on roughness sublayer dynamics. Bound.-Layer Meteorol. 2019, 170, 205–234. [Google Scholar] [CrossRef]
- Basley, J.; Perret, L.; Mathis, R. Spatial modulations of kinetic energy in the roughness sublayer. J. Fluid Mech. 2018, 850, 584–610. [Google Scholar] [CrossRef]
- Basley, J.; Perret, L.; Mathis, R. Structure of high Reynolds number boundary layers over cube canopies. J. Fluid Mech. 2019, 870, 460–491. [Google Scholar] [CrossRef]
- Kanda, M. Large-eddy simulations on the effects of surface geometry of building arrays on turbulent organized structures. Bound.-Layer Meteorol. 2006, 118, 151–168. [Google Scholar] [CrossRef]
- Coceal, O.; Thomas, T.G.; Castro, I.P.; Belcher, S.E. Mean flow and turbulence statistics over groups of urban-like cubical obstacles. Bound.-Layer Meteorol. 2006, 121, 491–519. [Google Scholar] [CrossRef]
- Coceal, O.; Dobre, A.; Thomas, T.G.; Belcher, S.E. Structure of turbulent flow over regular arrays of cubical roughness. J. Fluid Mech. 2007, 589, 375–409. [Google Scholar] [CrossRef]
- Adrian, R.J.; Meinhart, C.D.; Tomkins, C.D. Vortex organization in the outer region of the turbulent boundary layer. J. Fluid Mech. 2000, 422, 1–54. [Google Scholar] [CrossRef]
- Hutchins, N.; Marusic, I. Evidence of very long meandering features in the logarithmic region of turbulent boundary layers. J. Fluid Mech. 2007, 579, 1–28. [Google Scholar] [CrossRef]
- Lee, J.H.; Seena, A.; Lee, S.H.; Sung, H.J. Turbulent boundary layers over rod-and cube-roughened walls. J. Turbul. 2012, 13, N40. [Google Scholar] [CrossRef]
- Ahn, J.; Lee, J.H.; Sung, H.J. Statistics of the turbulent boundary layers over 3D cube-roughened walls. Int. J. Heat Fluid Flow 2013, 44, 394–402. [Google Scholar] [CrossRef]
- Counihan, J. Adiabatic atmospheric boundary layers: A review and analysis of data from the period 1880–1972. Atmos. Environ. 1975, 9, 871–905. [Google Scholar] [CrossRef]
- Kim, K.; Baek, S.J.; Sung, H.J. An implicit velocity decoupling procedure for the incompressible Navier–Stokes equations. Int. J. Numer. Meth. Fluids 2002, 38, 125–138. [Google Scholar] [CrossRef]
- Lee, J.H.; Sung, H.J.; Krogstad, P.Å. Direct numerical simulation of the turbulent boundary layer over a cube-roughened wall. J. Fluid Mech. 2011, 669, 397–431. [Google Scholar] [CrossRef]
- Jacobs, R.G.; Durbin, P.A. Simulations of bypass transition. J. Fluid Mech. 2001, 428, 185–212. [Google Scholar] [CrossRef]
- Hwang, J.; Sung, H.J. Influence of large-scale motions on the frictional drag in a turbulent boundary layer. J. Fluid Mech. 2017, 829, 751–779. [Google Scholar] [CrossRef]
- Kim, J.; Moin, P.; Moser, R. Turbulence statistics in fully developed channel flow at low Reynolds number. J. Fluid Mech. 1987, 177, 133–166. [Google Scholar] [CrossRef]
- Yoon, M.; Hwang, J.; Sung, H.J. Contribution of large-scale motions to the skin friction in a moderate adverse pressure gradient turbulent boundary layer. J. Fluid Mech. 2018, 848, 288–311. [Google Scholar] [CrossRef]
- Jackson, P.S. On the displacement height in the logarithmic velocity profile. J. Fluid Mech. 1981, 111, 15–25. [Google Scholar] [CrossRef]
- Antonia, R.A.; Luxton, R.E. The response of a turbulent boundary layer to a step change in surface roughness Part 1. Smooth to rough. J. Fluid Mech. 1971, 48, 721–761. [Google Scholar] [CrossRef]
- Lee, J.H. Turbulent boundary layer flow with a step change from smooth to rough surface. Int. J. Heat Fluid Flow 2015, 54, 39–54. [Google Scholar] [CrossRef]
- Ismail, U. Direct numerical simulation of a turbulent boundary layer encountering a smooth-to-rough step change. Energies 2023, 16, 1709. [Google Scholar] [CrossRef]
- Zhou, J.; Adrian, R.J.; Balachandar, S.; Kendall, T.M. Mechanisms for generating coherent packets of hairpin vortices in channel flow. J. Fluid Mech. 1999, 387, 353–396. [Google Scholar] [CrossRef]
- Anderson, W.; Li, Q.; Bou-Zeid, E. Numerical simulation of flow over urban-like topographies and evaluation of turbulence temporal attributes. J. Turbul. 2015, 16, 809–831. [Google Scholar] [CrossRef]
- Cheng, H.; Castro, I.P. Near wall flow over urban-like roughness. Bound.-Layer Meteorol. 2002, 104, 229–259. [Google Scholar] [CrossRef]
- Marusic, I.; Monty, J.P.; Hultmark, M.; Smits, A.J. On the logarithmic region in wall turbulence. J. Fluid Mech. 2013, 716, R3. [Google Scholar] [CrossRef]
- Alfredsson, P.H.; Örlü, R. The diagnostic plot—A litmus test for wall bounded turbulence data. Eur. J. Mech.-B/Fluids 2010, 29, 403–406. [Google Scholar] [CrossRef]
- Castro, I.P.; Segalini, A.; Alfredsson, P.H. Outer-layer turbulence intensities in smooth-and rough-wall boundary layers. J. Fluid Mech. 2013, 727, 119–131. [Google Scholar] [CrossRef]
- Townsend, A.A. The Structure of Turbulent Shear Flow, 2nd ed.; Cambridge University Press: London, UK, 1976. [Google Scholar]
- Hwang, J.; Sung, H.J. Wall-attached structures of velocity fluctuations in a turbulent boundary layer. J. Fluid Mech. 2018, 856, 958–983. [Google Scholar] [CrossRef]
- Yoon, M.; Hwang, J.; Yang, J.; Sung, H.J. Wall-attached structures of streamwise velocity fluctuations in an adverse pressure gradient turbulent boundary layer. J. Fluid Mech. 2020, 885, A12. [Google Scholar] [CrossRef]
- Hwang, J.; Sung, H.J. Wall-attached clusters for the logarithmic velocity law in turbulent pipe flow. Phys. Fluids 2019, 31, 055109. [Google Scholar] [CrossRef]
- Hwang, J.; Lee, J.H.; Sung, H.J. Statistical behaviour of self-similar structures in canonical wall turbulence. J. Fluid Mech. 2020, 905, A6. [Google Scholar] [CrossRef]
- Yoon, M.; Sung, H.J. Wall-attached structures in a drag-reduced turbulent channel flow. J. Fluid Mech. 2022, 943, A14. [Google Scholar] [CrossRef]
- Hultmark, M.; Vallikivi, M.; Bailey, S.C.C.; Smits, A.J. Turbulent pipe flow at extreme Reynolds numbers. Phys. Rev. Lett. 2012, 108, 094501. [Google Scholar] [CrossRef]
- Jiménez, J.; Hoyas, S. Turbulent fluctuations above the buffer layer of wall-bounded flows. J. Fluid Mech. 2008, 611, 215–236. [Google Scholar] [CrossRef]
- Ahn, J.; Lee, J.H.; Lee, J.; Kang, J.H.; Sung, H.J. Direct numerical simulation of a 30R long turbulent pipe flow at Reτ = 3008. Phys. Fluids 2015, 27, 065110. [Google Scholar] [CrossRef]
- Lee, M.; Moser, R.D. Direct numerical simulation of turbulent channel flow up to Reτ ≈ 5200. J. Fluid Mech. 2015, 774, 395–415. [Google Scholar] [CrossRef]
- Perry, A.E.; Chong, M.S. On the mechanism of wall turbulence. J. Fluid Mech. 1982, 119, 173–217. [Google Scholar] [CrossRef]
- Perry, A.E.; Abell, C.J. Asymptotic similarity of turbulence structures in smooth-and rough-walled pipes. J. Fluid Mech. 1977, 79, 785–799. [Google Scholar] [CrossRef]
- Bernardini, M.; Pirozzoli, S. Inner/outer layer interactions in turbulent boundary layers: A refined measure for the large-scale amplitude modulation mechanism. Phys. Fluids 2011, 23, 061701. [Google Scholar] [CrossRef]
- Ganapathisubramani, B.; Hutchins, N.; Monty, J.P.; Chung, D.; Marusic, I. Amplitude and frequency modulation in wall turbulence. J. Fluid Mech. 2012, 712, 61–91. [Google Scholar] [CrossRef]
- Wallace, J.M.; Eckelmann, H.; Brodkey, R.S. The wall region in turbulent shear flow. J. Fluid Mech. 1972, 54, 39–48. [Google Scholar] [CrossRef]
- Schultz, M.P.; Flack, K.A. Outer layer similarity in fully rough turbulent boundary layers. Exp. Fluids 2005, 38, 328–340. [Google Scholar] [CrossRef]
- Blackman, K.; Calmet, I.; Perret, L.; Rivet, C. Turbulent kinetic energy budget in the boundary layer developing over an urban-like rough wall using PIV. Phys. Fluids 2017, 29, 085113. [Google Scholar] [CrossRef]
- Tennekes, H.; Lumley, J.L. A First Course in Turbulence; MIT Press: Cambridge, MA, USA, 1972. [Google Scholar]
- Blackman, K.; Perret, L.; Savory, E. Effects of the upstream-flow regime and canyon aspect ratio on non-linear interactions between a street-canyon flow and the overlying boundary layer. Bound.-Layer Meteorol. 2018, 169, 537–558. [Google Scholar] [CrossRef]
- Mathis, R.; Hutchins, N.; Marusic, I. Large-scale amplitude modulation of the small-scale structures in turbulent boundary layers. J. Fluid Mech. 2009, 628, 311–337. [Google Scholar] [CrossRef]














| Lx/δ0 | Ly/δ0 | Lz/δ0 | Nx | Ny | Nz | Δx+ | Δz+ | Δymin+ | Δy100+ |
|---|---|---|---|---|---|---|---|---|---|
| 885 | 100 | 37 | 4609 | 541 | 385 | 11.92 | 5.97 | 0.16 | 0.95 |
Disclaimer/Publisher’s Note: The statements, opinions and data contained in all publications are solely those of the individual author(s) and contributor(s) and not of MDPI and/or the editor(s). MDPI and/or the editor(s) disclaim responsibility for any injury to people or property resulting from any ideas, methods, instructions or products referred to in the content. |
© 2024 by the author. Licensee MDPI, Basel, Switzerland. This article is an open access article distributed under the terms and conditions of the Creative Commons Attribution (CC BY) license (https://creativecommons.org/licenses/by/4.0/).
Share and Cite
Yoon, M. Direct Numerical Simulation of Turbulent Boundary Layer over Cubical Roughness Elements. Appl. Sci. 2024, 14, 1418. https://doi.org/10.3390/app14041418
Yoon M. Direct Numerical Simulation of Turbulent Boundary Layer over Cubical Roughness Elements. Applied Sciences. 2024; 14(4):1418. https://doi.org/10.3390/app14041418
Chicago/Turabian StyleYoon, Min. 2024. "Direct Numerical Simulation of Turbulent Boundary Layer over Cubical Roughness Elements" Applied Sciences 14, no. 4: 1418. https://doi.org/10.3390/app14041418
APA StyleYoon, M. (2024). Direct Numerical Simulation of Turbulent Boundary Layer over Cubical Roughness Elements. Applied Sciences, 14(4), 1418. https://doi.org/10.3390/app14041418

