Optimization of Pin Type Single Screw Mixer for Fabrication of Functionally Graded Materials
Abstract
1. Introduction
2. Materials and Methods
2.1. Governing Equations
2.2. Finite Element Model
2.3. Simulation Settings and Paste Properties
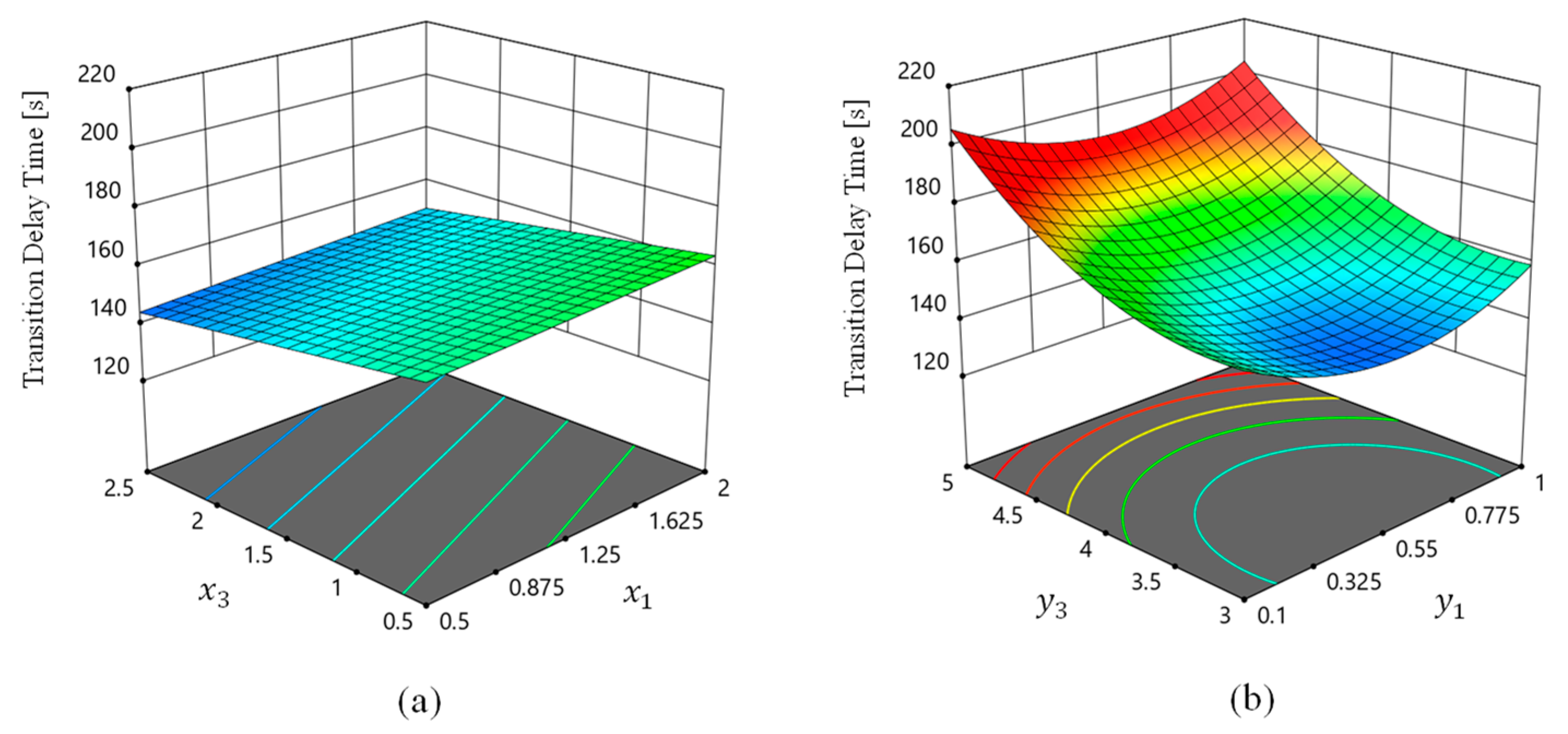
2.4. Response Surface Method and Optimization
3. Results and Discussion
3.1. Numerical Validation
3.2. Printing System
3.3. Verification Experiment
3.4. Comparison of Transition Delay Distances
3.5. Functionally Graded Materials Part Print Specimen
4. Conclusions
Author Contributions
Funding
Institutional Review Board Statement
Informed Consent Statement
Data Availability Statement
Conflicts of Interest
References
- Jojith, R.; Sam, M.; Radhika, N. Recent advances in tribological behavior of functionally graded composites: A review. Eng. Sci. Technol. Int. J. 2022, 25, 100999. [Google Scholar] [CrossRef]
- Kumar, J.; Singh, D.; Kalsi, N.S.; Sharma, S.; Pruncu, C.I.; Pimenov, D.Y.; Rao, K.V.; Kapłonek, W. Comparative study on the mechanical, tribological, morphological and structural properties of vortex casting processed, Al–SiC–Cr hybrid metal matrix composites for high strength wear-resistant applications: Fabrication and characterizations. J. Mater. Res. Technol. 2020, 9, 13607–13615. [Google Scholar] [CrossRef]
- Dmitrievskiy, A.A.; Zhigacheva, D.G.; Grigoriev, G.V. Ca-ATZ/Ca-ATZ+SiO2 functionally graded ceramic. Adv. Appl. Ceram. 2023, 122, 31–35. [Google Scholar] [CrossRef]
- Osman, S.; Ahmed, K.; Ahmed, M. Performance of Two-Dimensional Functionally Graded Anode Supported Solid-Oxide Fuel Cells. J. Energy Resour. Technol. 2022, 144, 070911. [Google Scholar] [CrossRef]
- Verma, R.K.; Chopkar, M.K. Dry Sliding Wear Investigation of Centrifugally Casted AA6061–B4C Functionally Graded Metal Matrix Composite Material by Response Surface Methodology (RSM). Arab. J. Sci. Eng. 2023, 48, 4095–4107. [Google Scholar] [CrossRef]
- Huang, C.; Chen, Y. Effect of varied alumina/zirconia content on ballistic performance of a functionally graded material. Int. J. Refract. Met. Hard Mater. 2017, 67, 129–140. [Google Scholar] [CrossRef]
- Huang, C.-Y.; Chen, Y.-L. Design and impact resistant analysis of functionally graded Al2O3–ZrO2 ceramic composite. Mater. Des. 2016, 91, 294–305. [Google Scholar] [CrossRef]
- Huang, C.-Y.; Chen, Y.-L. Effect of mechanical properties on the ballistic resistance capability of Al2O3-ZrO2 functionally graded materials. Ceram. Int. 2016, 42, 12946–12955. [Google Scholar] [CrossRef]
- Coffigniez, M.; Grémillard, L.; Boulnat, X. Sinter-Based Additive Manufacturing of Graded Porous Titanium Scaffolds by Multi-Inks 3D Extrusion. Adv. Eng. Mater. 2022, 25, 2201159. [Google Scholar] [CrossRef]
- George, S.M.; Nayak, C.; Singh, I.; Balani, K. Multifunctional Hydroxyapatite Composites for Orthopedic Applications: A Review. ACS Biomater. Sci. Eng. 2022, 8, 3162–3186. [Google Scholar] [CrossRef]
- Zhang, Y.B.; Yang, H.L.; Lei, S.Q.; Zhu, S.J.; Wang, J.F.; Sun, Y.F.; Guan, S.K. Preparation of Biodegradable Mg/β-TCP Biofunctional Gradient Materials by Friction Stir Processing and Pulse Reverse Current Electrodeposition. Acta Metall. Sin. (Engl. Lett.) 2020, 33, 103–114. [Google Scholar] [CrossRef]
- Wang, Y.; Liu, Q.; Lan, Z.-F.; Zhang, B.; Zhang, H.-Q.; Liu, J.-W.; Ye, F. Strong and tough bioinspired nacre-like B4C/Al functionally graded materials with eliminated abrupt interfaces. Compos. Commun. 2021, 25, 100741. [Google Scholar] [CrossRef]
- Caño, P.; Hinojosa, M.; Nguyen, H.; Morgan, A.; Fuertes Marrón, D.; García, I.; Johnson, A.; Rey-Stolle, I. Hybrid III-V/SiGe solar cells grown on Si substrates through reverse graded buffers. Sol. Energy Mater. Sol. Cells 2020, 205, 110246. [Google Scholar] [CrossRef]
- Du, J.; Zhou, Z.J.; Song, S.X.; Zhong, Z.H.; Ge, C.C. Research on Mo/Cu functionally graded materials by resistance sintering under ultra-high pressure. AIP Conf. Proc. 2008, 973, 862–867. [Google Scholar] [CrossRef]
- Hurdoganoglu, D.; Safaei, B.; Sahmani, S.; Onyibo, E.C.; Qin, Z. State-of-the-Art Review of Computational Static and Dynamic Behaviors of Small-Scaled Functionally Graded Multilayer Shallow Arch Structures from Design to Analysis. Arch. Comput. Methods Eng. 2023, 31, 389–453. [Google Scholar] [CrossRef]
- Srividhya, S.; Raghu, P.; Rajagopal, A.; Reddy, J.N. Nonlocal nonlinear analysis of functionally graded plates using third-order shear deformation theory. Int. J. Eng. Sci. 2018, 125, 1–22. [Google Scholar] [CrossRef]
- Jeshrun Shalem, M.; Devaraju, A.; Karthik, K. Synthesis and Characterization of Functionally Graded Ceramic Material for Aerospace Applications. In Intelligent Manufacturing and Energy Sustainability; Springer: Singapore, 2020; pp. 483–488. [Google Scholar] [CrossRef]
- Kumar, S.; Reddy, K.V.V.S.M.; Kumar, A.; Devi, G.R. Development and characterization of polymer-ceramic continuous fiber reinforced functionally graded composites for aerospace application. Aerosp. Sci. Technol. 2013, 26, 185–191. [Google Scholar] [CrossRef]
- Ramesh, M.; Karthik, A.; Jafrey Daniel James, D.; Karthik Pandiyan, G. Functionally graded materials: Review on manufacturing by Liquid and gas based techniques. Mater. Res. Express 2023, 10, 085305. [Google Scholar] [CrossRef]
- Ren, L.; Song, Z.; Liu, H.; Han, Q.; Zhao, C.; Derby, B.; Liu, Q.; Ren, L. 3D printing of materials with spatially non-linearly varying properties. Mater. Des. 2018, 156, 470–479. [Google Scholar] [CrossRef]
- Yang, L.; Miyanaji, H.; Janaki Ram, D.; Zandinejad, A.; Zhang, S. Functionally Graded Ceramic Based Materials Using Additive Manufacturing: Review and Progress. Addit. Manuf. Strateg. Technol. Adv. Ceram. 2016, 258, 43–55. [Google Scholar] [CrossRef]
- Erisken, C.; Kalyon, D.M.; Wang, H. Functionally graded electrospun polycaprolactone and β-tricalcium phosphate nanocomposites for tissue engineering applications. Biomaterials 2008, 29, 4065–4073. [Google Scholar] [CrossRef] [PubMed]
- Brackett, J.; Yan, Y.; Cauthen, D.; Kishore, V.; Lindahl, J.; Smith, T.; Sudbury, Z.; Ning, H.; Kunc, V.; Duty, C. Characterizing material transitions in large-scale Additive Manufacturing. Addit. Manuf. 2021, 38, 101750. [Google Scholar] [CrossRef]
- Guo, W.; Jiang, Z.; Zhang, C.; Zhao, L.; Jiang, Z.; Li, X.; Chen, G. Fabrication process of smooth functionally graded materials through a real-time inline control of the component ratio. J. Eur. Ceram. Soc. 2021, 41, 256–265. [Google Scholar] [CrossRef]
- Tang, D.; Hao, L.; Li, Y.; Li, Z.; Dadbakhsh, S. Dual gradient direct ink writing for formation of kaolinite ceramic functionally graded materials. J. Alloys Compd. 2020, 814, 152275. [Google Scholar] [CrossRef]
- Li, W.; Armani, A.; Martin, A.; Kroehler, B.; Henderson, A.; Huang, T.; Watts, J.; Hilmas, G.; Leu, M. Extrusion-based additive manufacturing of functionally graded ceramics. J. Eur. Ceram. Soc. 2021, 41, 2049–2057. [Google Scholar] [CrossRef]
- Netto, J.M.J.; Idogava, H.T.; Santos, L.E.F.; Silveira, Z.D.; Romio, P.; Alves, J.L. Screw-assisted 3D printing with granulated materials: A systematic review. Int. J. Adv. Manuf. Tech. 2021, 115, 2711–2727. [Google Scholar] [CrossRef] [PubMed]
- Valkenaers, H.; Vogeler, F.; Ferraris, E.; Voet, A.; Kruth, J.P. A novel approach to additive manufacturing: Screw extrusion 3D-printing. In Proceedings of the International Conference on Multi-Material Micro Manufacture, San Sebastián, Spain, 8–10 October 2013. [Google Scholar]
- Cartwright, J.H.E.; Feingold, M.; Piro, O. An Introduction to Chaotic Advection. In Mixing: Chaos and Turbulence; Chaté, H., Villermaux, E., Chomaz, J.M., Eds.; Springer: Boston, MA, USA, 1999; pp. 307–342. [Google Scholar]
- Castelain, C.; Mokrani, A.; Legentilhomme, P.; Peerhossaini, H. Residence time distribution in twisted pipe flows: Helically coiled system and chaotic system. Exp. Fluids 1997, 22, 359–368. [Google Scholar] [CrossRef]
- Aref, H. Stirring by chaotic advection. J. Fluid Mech. 1984, 143, 1–21. [Google Scholar] [CrossRef]
- Sundararajan, P.; Stroock, A. Transport Phenomena in Chaotic Laminar Flows. Annu. Rev. Chem. Biomol. Eng. 2012, 3, 473–496. [Google Scholar] [CrossRef]
- Xu, B.; Liu, Y.; Yu, H.; Turng, L.; Liu, C. A Numerical Simulation of Enhanced Mixing of a Non-Newtonian Fluid in a Cavity with Asymmetric Non-Twin Rotors. Macromol. Theory Simul. 2018, 27, 1800021. [Google Scholar] [CrossRef]
- Xu, B.; Liu, Y.; He, L.; Turng, L.; Liu, C. Effect of centerline distance on mixing of a Non-Newtonian fluid in a cavity with asymmetric rotors. Phys. Fluids 2018, 31, 021205. [Google Scholar] [CrossRef]
- Wei, J.J.; Liang, X.L.; Chen, D.; Yang, Y.; Zhou, D.M. Evaluation of the mixing performance for one novel twin screw kneader with particle tracking. Polym. Eng. Sci. 2014, 54, 2407–2419. [Google Scholar] [CrossRef]
- Wei, J.; Sun, Q.; Sun, X.; Sun, W. A study on rotor profiles design for a novel twin-screw kneader. Int. J. Precis. Eng. Manuf. 2013, 14, 451–459. [Google Scholar] [CrossRef]
- Zhu, X.Z.; He, Y.D.; Wang, G. Effect of Dynamic Center Region on the Flow and Mixing Efficiency in a New Tri-Screw Extruder Using 3D Finite Element Modeling. Int. J. Rotating Mach. 2013, 2013, 258197. [Google Scholar] [CrossRef]
- Bauer, H.; Matić, J.; Khinast, J. Characteristic parameters and process maps for fully-filled twin-screw extruder elements. Chem. Eng. Sci. 2021, 230, 116202. [Google Scholar] [CrossRef]
- Bhattacharyya, A.; Janarthanan, G.; Tran, H.N.; Ham, H.J.; Yoon, J.; Noh, I. Bioink homogeneity control during 3D bioprinting of multicomponent micro/nanocomposite hydrogel for even tissue regeneration using novel twin screw extrusion system. Chem. Eng. J. 2021, 415, 128971. [Google Scholar] [CrossRef]
- Kohlgrüber, K. 4—Applications of Co-Rotating Twin-Screw Extruders. In Co-Rotating Twin-Screw Extruders: Applications; Kohlgrüber, K., Ed.; Hanser: Pawleys Island, SC, USA, 2021; pp. 217–339. [Google Scholar]
- Kim, S.J.; Kwon, T.H. Enhancement of mixing performance of single-screw extrusion processes via chaotic flows: Part I. Basic concepts and experimental study. Adv. Polym. Technol. 1996, 15, 41–54. [Google Scholar] [CrossRef]
- Kim, S.J.; Kwon, T.H. Enhancement of mixing performance of single-screw extrusion processes via chaotic flows: Part II. Numerical study. Adv. Polym. Technol. 1996, 15, 55–69. [Google Scholar] [CrossRef]
- Hwang, W.R.; Kwon, T.H. Dynamical modeling of chaos single-screw extruder and its three-dimensional numerical analysis. Polym. Eng. Sci. 2000, 40, 702–714. [Google Scholar] [CrossRef]
- Wiggins, S.; Ottino, J. Foundation of chaotic mixing. Philos. Transactions. Ser. A Math. Phys. Eng. Sci. 2004, 362, 937–970. [Google Scholar] [CrossRef]
- Park, G.; Eom, T.; Kwak, H.; Kim, C. Optimization of Screw Mixer to Improve Drying Performance of Livestock Manure Dryer Using CFD Analysis. Appl. Sci. 2022, 12, 2872. [Google Scholar] [CrossRef]
- Shankar, T.J.; Sokhansanj, S.; Bandyopadhyay, S.; Bawa, A.S. A Case Study on Optimization of Biomass Flow During Single-Screw Extrusion Cooking Using Genetic Algorithm (GA) and Response Surface Method (RSM). Food Bioprocess Technol. 2010, 3, 498–510. [Google Scholar] [CrossRef]
- Liu, T.; Wang, J.; Li, Y.; Liu, Z.; Sun, J.; Liu, D. Design and Experiment of Substrate Grass Seed Blanket Extrusion Device. Sustainability 2022, 14, 11046. [Google Scholar] [CrossRef]
- Phelan Jr, F.; Hughes, N.; Pathak, J. Chaotic Mixing in Microfluidic Devices Driven by Oscillatory Cross Flow. Phys. Fluids 2008, 20, 023101. [Google Scholar] [CrossRef]
- Orisaleye, J.; Adefuye, O.; Ogundare, A.; Fadipe, O. Parametric analysis and design of a screw extruder for slightly non-Newtonian (pseudoplastic) materials. Eng. Sci. Technol. Int. J. 2018, 21, 229–237. [Google Scholar] [CrossRef]
- Rauwendaal, C. (Ed.) 7—Functional Process Analysis. In Polymer Extrusion, 5th ed.; Hanser: Pawleys Island, SC, USA, 2014; pp. 255–508. [Google Scholar]
- Hosseini, S.M.; Razzaghi, K.; Shahraki, F. Design and characterization of a Low-pressure-drop static mixer. AIChE J. 2019, 65, 1126–1133. [Google Scholar] [CrossRef]


















| x-Axis | y-Axis | |
|---|---|---|
| Point 1 | 0.5~2 mm | 0.1~1 mm |
| Point 2 | 0.5~2.5 mm | 3~5 mm |
| Point 3 | 0.5~2.5 mm | 3~5 mm |
| Name | Value [Unit] |
|---|---|
| Length of screw | 60 mm |
| Minor diameter of screw | 6 mm |
| Pitch of screw | 8 mm |
| Screw flight width | 1 mm |
| Channel width of screw | 7 mm |
| Screw flight height | 1 mm |
| Pin height | 1 mm |
| Input diameter | 2.5 mm |
| Outlet diameter | 1 mm |
| Contraction angle | 65° |
| Major diameter of contraction channel | 9 mm |
| Length of forming channel | 6 mm |
| Material A | 59.59 | 0.31 |
| Material B | 67.68 | 0.32 |
| Coded Levels | ||||||
|---|---|---|---|---|---|---|
| −2.378 | −1 | 0 | +1 | +2.378 | ||
| Point 1 | x-axis | 0.5 | 0.93 | 1.25 | 1.57 | 2 |
| y-axis | 0.1 | 0.36 | 0.55 | 0.74 | 1 | |
| Point 2 | x-axis | 0.5 | 1.08 | 1.5 | 1.92 | 2.5 |
| y-axis | 3 | 3.58 | 4 | 4.42 | 5 | |
| Point 3 | x-axis | 0.5 | 1.08 | 1.5 | 1.92 | 2.5 |
| y-axis | 3 | 3.58 | 4 | 4.42 | 5 | |
| Nr. | Point 1 | Point 2 | Point 3 | Delay Time |
|---|---|---|---|---|
| 1 | (0.93, 0.36) | (1.92, 3.58) | (1.92, 3.58) | 141 |
| 2 | (1.57, 0.36) | (1.92, 4.42) | (1.92, 3.58) | 143 |
| 3 | (1.25, 0.55) | (1.5, 3) | (1.5, 4) | 173 |
| 4 | (1.57, 0.36) | (1.92, 3.58) | (1.92, 4.42) | 175 |
| 5 | (1.57, 0.74) | (1.08, 3.58) | (1.08, 3.58) | 169 |
| 6 | (1.25, 0.55) | (1.5, 4) | (1.5, 4) | 154 |
| 7 | (0.93, 0.36) | (1.92, 3.58) | (1.08, 4.42) | 174 |
| 8 | (0.5, 0.55) | (1.5, 4) | (1.5, 4) | 155 |
| 9 | (0.93, 0.36) | (1.92, 4.42) | (1.08, 3.58) | 151 |
| 10 | (0.93, 0.74) | (1.08, 4.42) | (1.92, 4.42) | 161 |
| 11 | (1.57, 0.36) | (1.08, 4.42) | (1.08, 3.58) | 152 |
| 12 | (1.57, 0.74) | (1.08, 3.58) | (1.92, 4.42) | 174 |
| 13 | (1.25, 0.55) | (1.5, 4) | (1.5, 5) | 187 |
| 14 | (1.25, 1) | (1.5, 4) | (1.5, 4) | 169 |
| 15 | (0.93, 0.36) | (1.08, 4.42) | (1.08, 4.42) | 173 |
| 16 | (1.25, 0.55) | (1.5, 4) | (1.5, 4) | 154 |
| 17 | (1.57, 0.74) | (1.92, 4.42) | (1.92, 4.42) | 156 |
| 18 | (0.93, 0.36) | (1.92, 4.42) | (1.92, 4.42) | 163 |
| 19 | (0.93, 0.74) | (1.92, 3.58) | (1.08, 3.58) | 146 |
| 20 | (1.57, 0.36) | (1.08, 4.42) | (1.92, 4.42) | 161 |
| 21 | (1.25, 0.55) | (1.5, 4) | (1.5, 4) | 154 |
| 22 | (1.25, 0.55) | (2.5, 4) | (1.5, 4) | 150 |
| 23 | (1.25, 0.55) | (1.5, 4) | (2.5, 4) | 148 |
| 24 | (0.93, 0.36) | (1.08, 3.58) | (1.92, 4.42) | 173 |
| 25 | (1.25, 0.55) | (1.5, 4) | (1.5, 4) | 154 |
| 26 | (1.57, 0.74) | (1.92, 4.42) | (1.08, 3.58) | 148 |
| 27 | (1.25, 0.55) | (1.5, 4) | (1.5, 4) | 154 |
| 28 | (1.57, 0.36) | (1.08, 3.58) | (1.92, 3.58) | 158 |
| 29 | (2, 0.55) | (1.5, 4) | (1.5, 4) | 158 |
| 30 | (1.25, 0.55) | (1.5, 4) | (1.5, 4) | 154 |
| 31 | (1.25, 0.55) | (1.5, 4) | (1.5, 3) | 149 |
| 32 | (0.93, 0.36) | (1.08, 3.58) | (1.08, 3.58) | 150 |
| 33 | (0.93, 0.74) | (1.92, 3.58) | (1.92, 4.42) | 171 |
| 34 | (0.93, 0.74) | (1.08, 3.58) | (1.92, 3.58) | 150 |
| 35 * | (1.57, 0.74) | (1.08, 4.42) | (1.92, 3.58) | 148 |
| 36 | (0.93, 0.36) | (1.08, 4.42) | (1.92, 3.58) | 142 |
| 37 | (0.93, 0.74) | (1.92, 4.42) | (1.92, 3.58) | 142 |
| 38 | (1.25, 0.55) | (1.5, 4) | (1.5, 4) | 154 |
| 39 | (1.57, 0.74) | (1.92, 3.58) | (1.08, 4.42) | 175 |
| 40 | (1.57, 0.74) | (1.92, 3.58) | (1.92, 3.58) | 152 |
| 41 | (1.57, 0.36) | (1.08, 3.58) | (1.079, 4.42) | 179 |
| 42 | (1.25, 0.55) | (1.5, 4) | (0.5, 4) | 160 |
| 43 | (1.25, 0.55) | (1.5, 5) | (1.5, 4) | 148 |
| 44 | (1.25, 0.1) | (1.5, 4) | (1.5, 4) | 170 |
| 45 | (0.93, 0.74) | (1.08, 3.58) | (1.08, 4.42) | 181 |
| 46 | (1.57, 0.36) | (1.92, 4.42) | (1.08, 4.42) | 170 |
| 47 | (0.93, 0.74) | (1.08, 4.42) | (1.08, 3.58) | 149 |
| 48 | (1.57, 0.74) | (1.08, 4.42) | (1.08, 4.42) | 162 |
| 49 | (1.25, 0.55) | (1.5, 4) | (1.5, 4) | 154 |
| 50 | (0.93, 0.74) | (1.92, 4.42) | (1.08, 4.42) | 172 |
| 51 | (1.57, 0.36) | (1.92, 3.58) | (1.08, 3.58) | 160 |
| 52 | (1.25, 0.55) | (0.5, 4) | (1.5, 4) | 157 |
| Screw without Pins | Screw with Cylindrical Pins | Screw with Optimized Pins | |
|---|---|---|---|
| Lyapunov exponents | 0.007833 | 0.00965 | 0.03402 |
Disclaimer/Publisher’s Note: The statements, opinions and data contained in all publications are solely those of the individual author(s) and contributor(s) and not of MDPI and/or the editor(s). MDPI and/or the editor(s) disclaim responsibility for any injury to people or property resulting from any ideas, methods, instructions or products referred to in the content. |
© 2024 by the authors. Licensee MDPI, Basel, Switzerland. This article is an open access article distributed under the terms and conditions of the Creative Commons Attribution (CC BY) license (https://creativecommons.org/licenses/by/4.0/).
Share and Cite
Wang, S.; Zhou, J.; Duan, G. Optimization of Pin Type Single Screw Mixer for Fabrication of Functionally Graded Materials. Appl. Sci. 2024, 14, 1308. https://doi.org/10.3390/app14031308
Wang S, Zhou J, Duan G. Optimization of Pin Type Single Screw Mixer for Fabrication of Functionally Graded Materials. Applied Sciences. 2024; 14(3):1308. https://doi.org/10.3390/app14031308
Chicago/Turabian StyleWang, Shijie, Jing Zhou, and Guolin Duan. 2024. "Optimization of Pin Type Single Screw Mixer for Fabrication of Functionally Graded Materials" Applied Sciences 14, no. 3: 1308. https://doi.org/10.3390/app14031308
APA StyleWang, S., Zhou, J., & Duan, G. (2024). Optimization of Pin Type Single Screw Mixer for Fabrication of Functionally Graded Materials. Applied Sciences, 14(3), 1308. https://doi.org/10.3390/app14031308

